Effects of Saline Irrigation Water Applications on Evapotranspiration Partitioning and Crop Coefficient of Tomato Grown in Mediterranean-Type Greenhouses
Abstract
1. Introduction
2. Materials and Methods
2.1. Experimental Area
2.2. Experimental Conditions, Design and Treatments
2.3. Measurements
2.4. Statistical Analysis
3. Results and Discussion
3.1. Soil Salinity
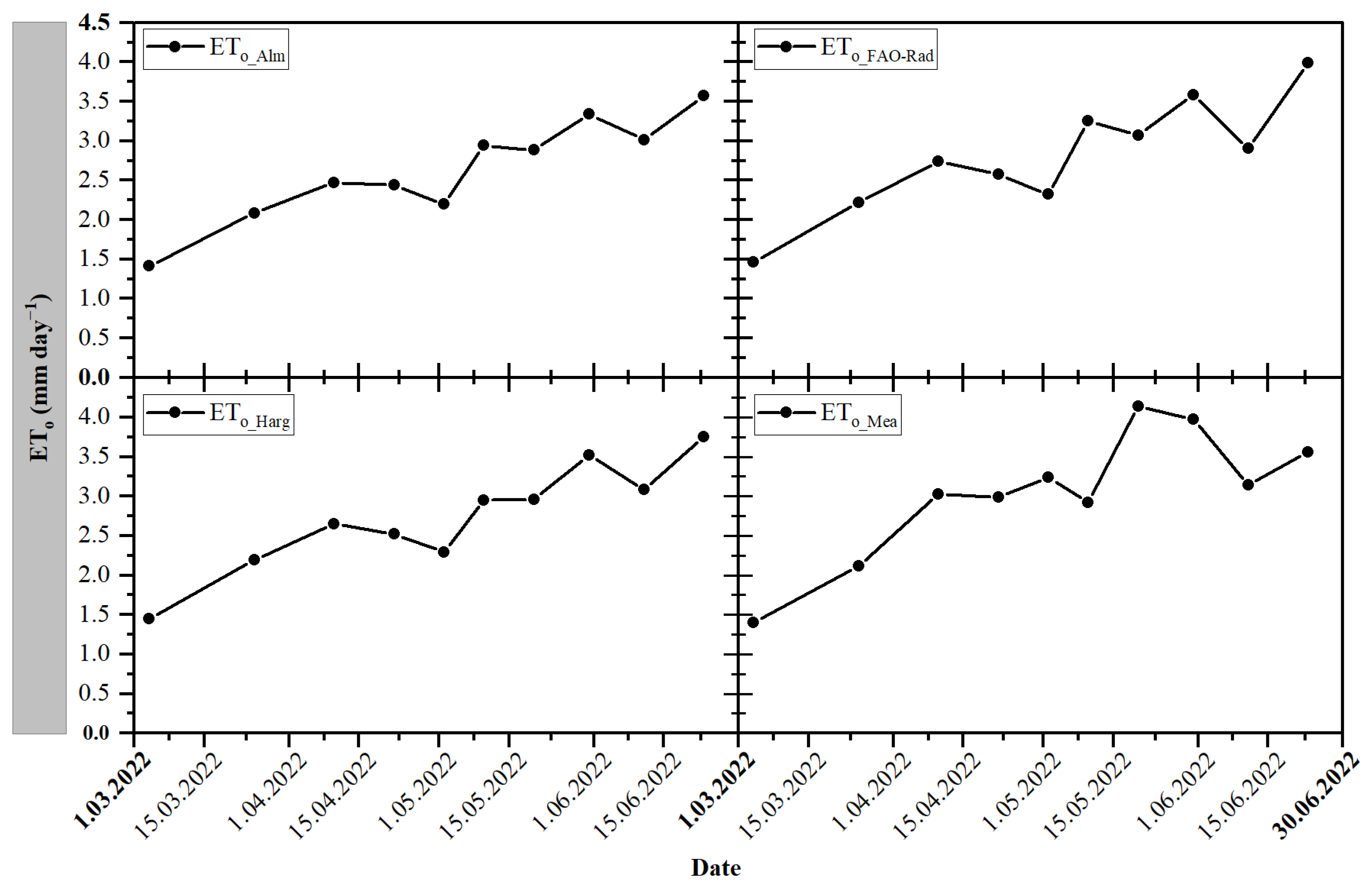
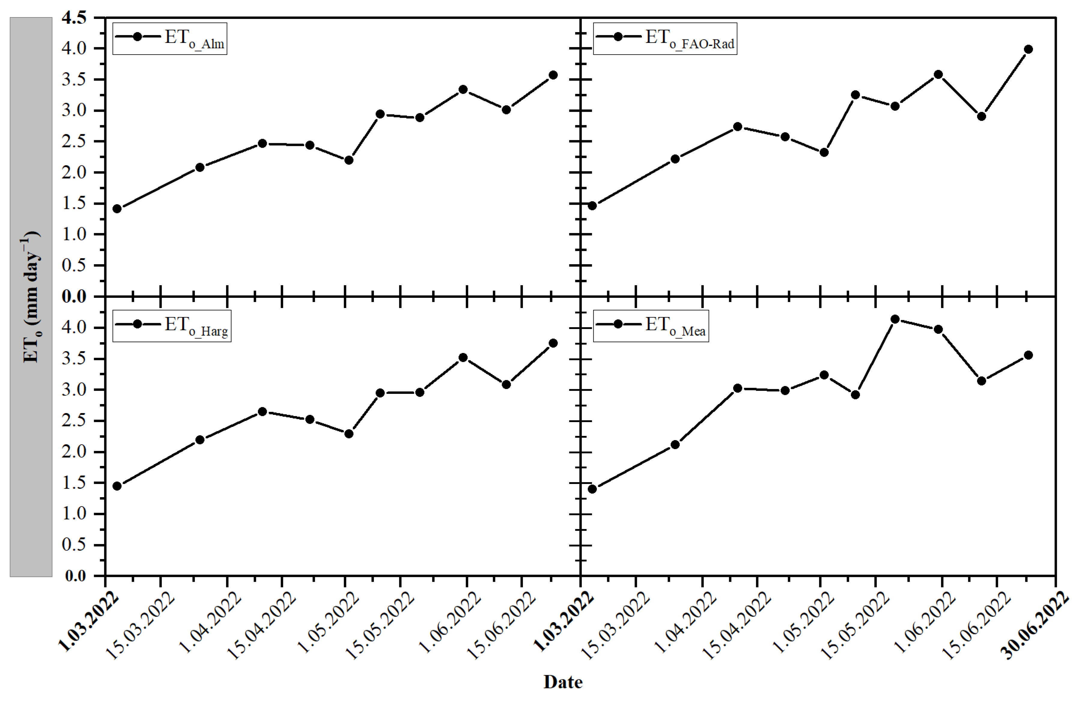
3.2. Comparison of Measured and Estimated Reference Evapotranspiration Values
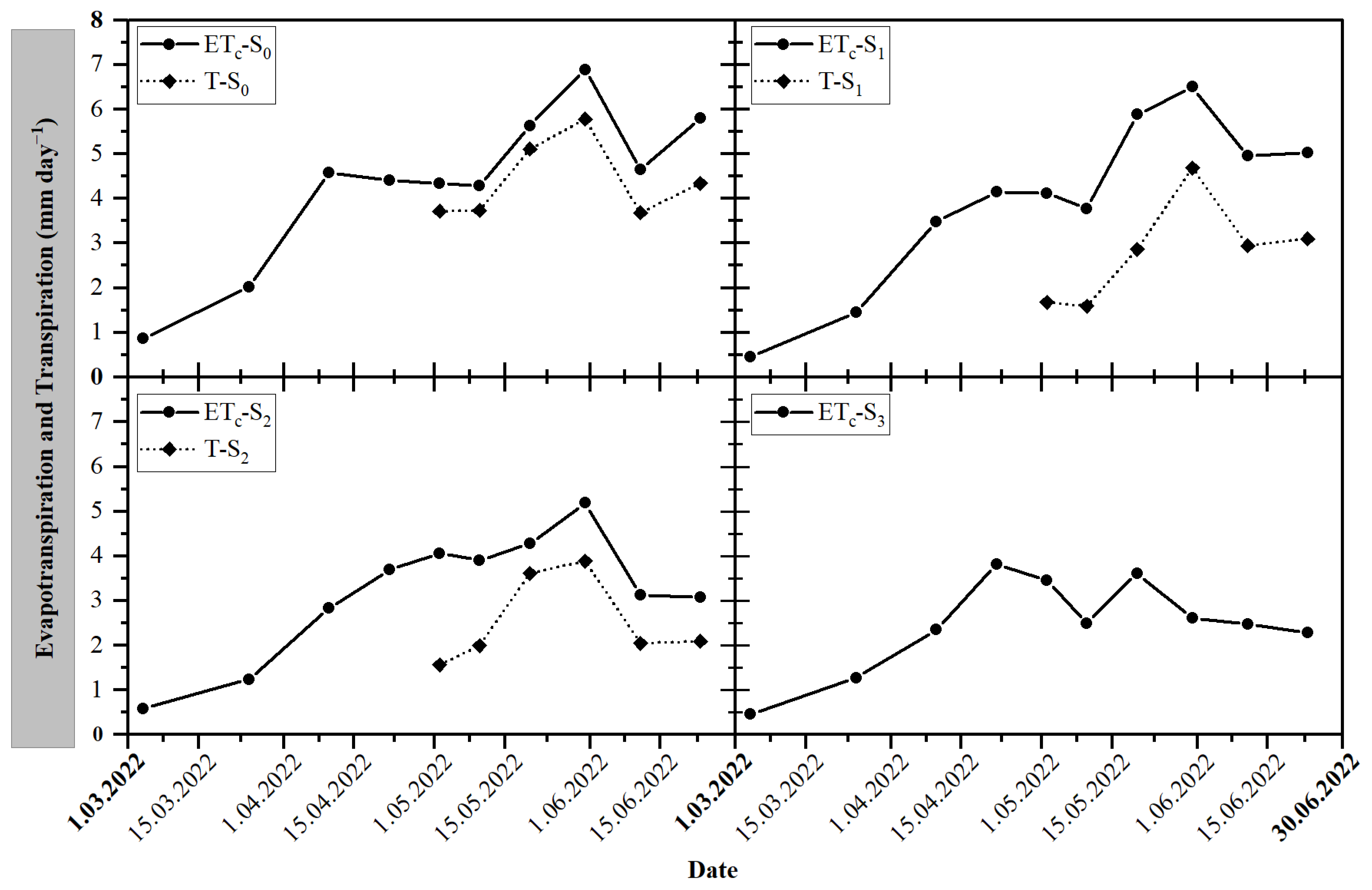
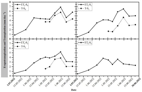
3.3. Measured Crop Evapotranspiration (ETc) and Transpiration (Tr)
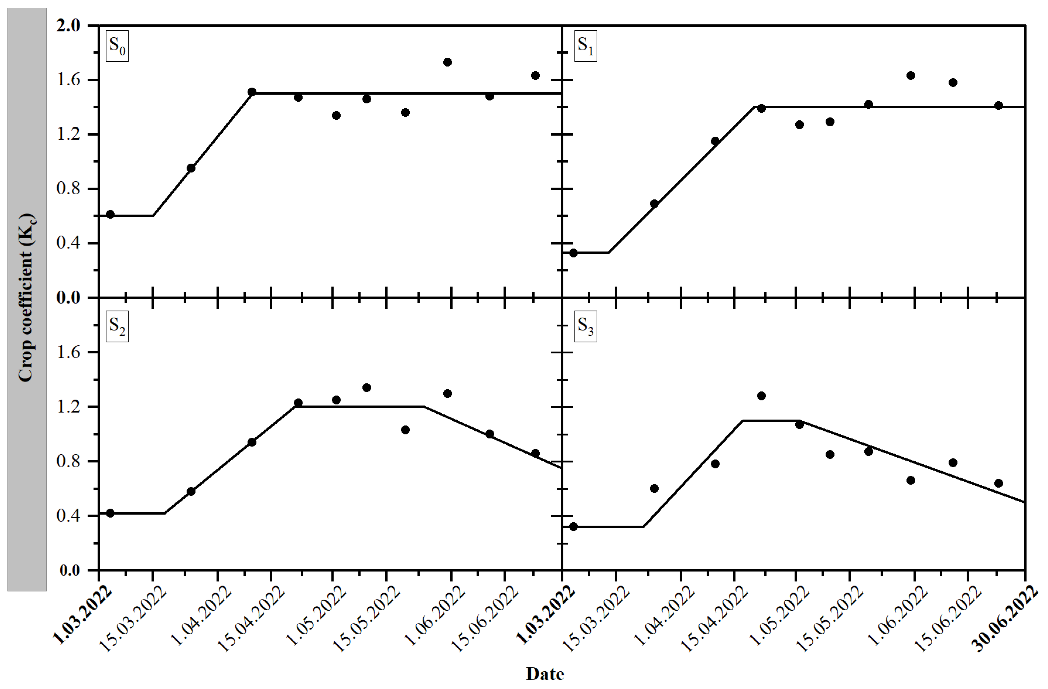
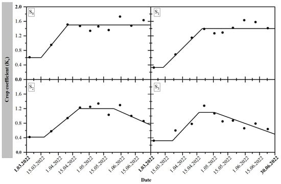
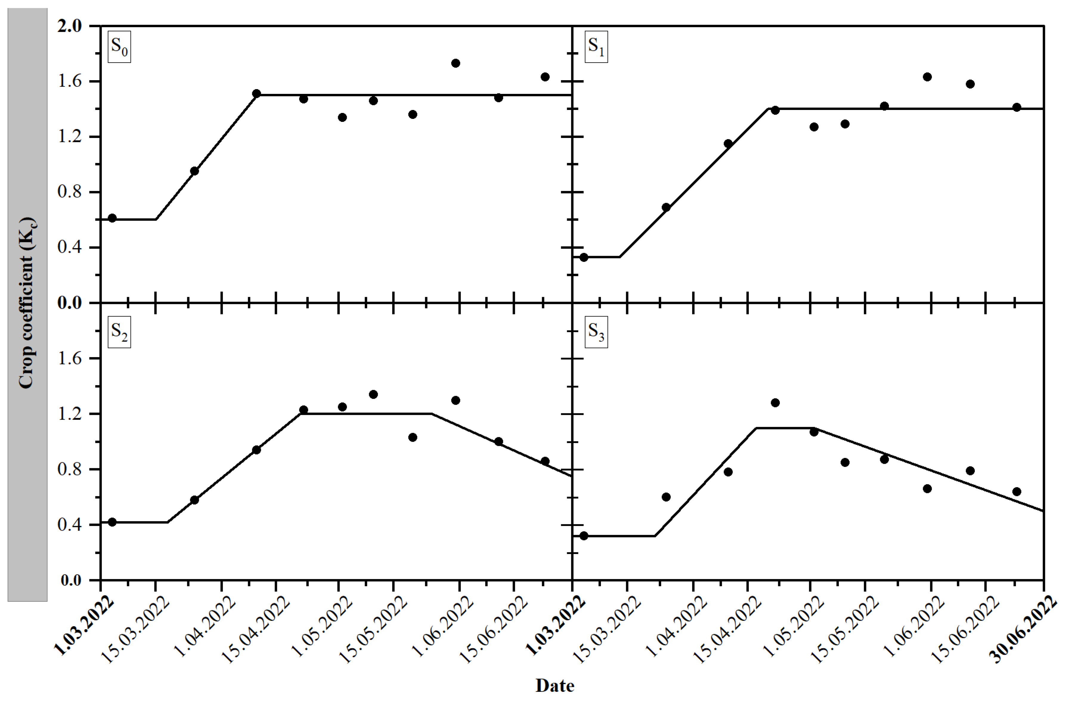
3.4. Change in Crop Coefficient (Kc) Values
4. Conclusions
Author Contributions
Funding
Data Availability Statement
Conflicts of Interest
References
- Savary, S.; Akter, S.; Almekinders, C.; Harris, J.; Korsten, L.; Rötter, R.; Waddington, S.; Watson, D. Mapping disruption and resilience mechanisms in food systems. Food Secur. 2020, 12, 695–717. [Google Scholar] [CrossRef] [PubMed]
- Fang, Q.X.; Ma, L.; Green, T.R.; Yu, Q.; Wang, T.D.; Ahuja, L.R. Water resources and water use efficiency in the North China Plain: Current status and agronomic management options. Agric. Water Manag. 2010, 97, 1102–1116. [Google Scholar] [CrossRef]
- Kool, D.; Kustas, W.P.; Ben-Gal, A.; Lazarovitch, N.; Heitman, J.L.; Sauer, T.J.; Agam, N. Energy and evapotranspiration partitioning in a desert vineyard. Agric. For. Meteorol. 2016, 218, 277–287. [Google Scholar] [CrossRef]
- Lin, F.F.; Qiu, L.F.; Deng, J.S.; Shi, Y.Y.; Chen, L.S.; Wang, K. Investigation of SPAD meter-based indices for estimating rice nitrogen status. Comput. Electron. Agric. 2010, 715, 60–65. [Google Scholar] [CrossRef]
- Lazzara, P.; Rana, G. The use of crop coefficient approach to estimate actual evapotranspiration: A critical review for major crops under Mediterranean climate. Ital. J. Agrometeorol. 2010, 15, 25–39. [Google Scholar]
- Liu, H.; Duan, A.; Li, F.; Sun, J.; Wang, Y.; Sun, C. Drip Irrigation Scheduling for Tomato Grown in Solar Greenhouse Based on Pan Evaporation in North China Plain. J. Integr. Agric. 2013, 12, 520–531. [Google Scholar] [CrossRef]
- Fernández, M.D.; Bonachela, S.; Orgaz, F.; Thompson, R.; López, J.C.; Granados, M.R.; Gallardo, M.; Fereres, E. Measurement and estimation of plastic greenhouse reference evapotranspiration in a Mediterranean climate. Irrig. Sci. 2010, 28, 497–509. [Google Scholar] [CrossRef]
- Gong, X.; Liu, H.; Sun, J.; Gao, Y.; Zhang, X.; Jha, S.K.; Zhang, H.; Ma, X.; Wang, W. A proposed surface resistance model for the Penman-Monteith formula to estimate evapotranspiration in a solar greenhouse. J. Arid Land 2017, 9, 530–546. [Google Scholar] [CrossRef]
- Zhang, B.; Xu, D.; Liu, Y.; Li, F.; Cai, J.; Du, L. Multi-scale evapotranspiration of summer maize and the controlling meteorological factors in north China. Agric. For. Meteorol. 2016, 216, 1–12. [Google Scholar] [CrossRef]
- Allen, R.G.; Pereira, L.S.; Howell, T.A.; Jensen, M.E. Evapotranspiration Information Reporting: I. Factors Governing Measurement Accuracy. Agric. Water Manag. 2011, 98, 899–920. [Google Scholar] [CrossRef]
- Qiu, R.; Kang, S.; Du, T.; Tong, L.; Hao, X.; Chen, R.; Chen, J.; Li, F. Effect of convection on the Penman-Monteith model estimates of transpiration of hot pepper grown in solar greenhouse. Sci. Hortic. 2013, 160, 163–171. [Google Scholar] [CrossRef]
- Valdés-Gómez, H.; Ortega-Farías, S.; Argote, M. Evaluation of the water requirements for a greenhouse tomato Crop using the Priestley-Taylor method. Chil. J. Agric. Res. 2009, 69, 3–11. [Google Scholar]
- Huang, S.; Yan, H.; Zhang, C.; Wang, G.; Acquah, S.J.; Yu, J.; Li, L.; Ma, J.; Opoku Darko, R. Modeling evapotranspiration for cucumber plants based on the Shuttleworth-Wallace model in a Venlo-type greenhouse. Agric. Water Manag. 2020, 228, 105861. [Google Scholar] [CrossRef]
- Wang, P.; Li, S.; Chen, Q.; Li, X.-Y.; Liu, S.; Wu, X.; Yang, X.; Xu, Z. A novel method for simulating the dynamics of the single and dual maize crop coefficients in an arid ecosystem. Eur. J. Agron. 2023, 142, 126688. [Google Scholar] [CrossRef]
- Allen, R.G.; Pereira, L.S.; Raes, D.; Smith, M. Crop Evapotranspiration: Guidelines for Computing Crop Water Requirements; FAO: Roma, Italy, 1998. [Google Scholar]
- Katerji, N.; Rana, G. Modelling evapotranspiration of six irrigated crops under Mediterranean climate conditions. Agric. For. Meteorol. 2006, 138, 142–155. [Google Scholar] [CrossRef]
- Karaca, C.; Tezcan, A.; Buyuktas, K.; Buyuktas, D.; Bastug, R. Equations developed to estimate evapotranspiration in greenhouses. Yuz. Yıl Univ. J. Agric. Sci. 2018, 28, 482–489. [Google Scholar] [CrossRef]
- Paço, T.A.; Ferreira, M.I.; Conceição, N. Peach orchard evapotranspiration in a sandy soil: Comparison between eddy covariance measurements and estimates by the FAO 56 approach. Agric. Water Manag. 2006, 85, 305–313. [Google Scholar] [CrossRef]
- Pereira, L.S.; Paredes, P.; López-Urrea, R.; Hunsaker, D.J.; Mota, M.; Mohammadi Shad, Z. Standard Single and Basal Crop Coefficients for Vegetable Crops, an Update of FAO56 Crop Water Requirements Approach. Agric. Water Manag. 2021, 243, 106196. [Google Scholar] [CrossRef]
- Harmanto; Salokhe, V.M.; Babel, M.S.; Tantau, H.J. Water requirement of drip irrigated tomatoes grown in greenhouse in tropical environment. Agric. Water Manag. 2005, 71, 225–242. [Google Scholar] [CrossRef]
- Gong, X.; Liu, H.; Sun, J.; Gao, Y.; Zhang, H. Comparison of Shuttleworth-Wallace model and dual crop coefficient method for estimating evapotranspiration of tomato cultivated in a solar greenhouse. Agric. Water Manag. 2019, 217, 141–153. [Google Scholar] [CrossRef]
- Katsoulas, N.; Stanghellini, C. Modelling Crop Transpiration in Greenhouses: Different Models for Different Applications. Agronomy 2019, 9, 392. [Google Scholar] [CrossRef]
- Gong, X.; Qiu, R.; Ge, J.; Bo, G.; Ping, Y.; Xin, Q.; Wang, S. Evapotranspiration partitioning of greenhouse grown tomato using a modified Priestley–Taylor model. Agric. Water Manag. 2021, 247, 106709. [Google Scholar] [CrossRef]
- Allen, R.G.; Pereira, L.S.; Smith, M.; Raes, D.; Wright, J.L. FAO-56 Dual Crop Coefficient Method for Estimating Evaporation from Soil and Application Extensions. J. Irrig. Drain. Eng. 2005, 131, 2–13. [Google Scholar] [CrossRef]
- Hanping, M.; Ullah, I.; Jiheng, N.; Javed, Q.; Azeem, A. Estimating tomato water consumption by sap flow measurement in response to water stress under greenhouse conditions. J. Plant Interact. 2017, 12, 402–413. [Google Scholar] [CrossRef]
- Hayat, M.; Iqbal, S.; Zha, T.; Jia, X.; Qian, D.; Bourque, C.P.-A.; Khan, A.; Tian, Y.; Bai, Y.; Liu, P.; et al. Biophysical control on nighttime sap flow in Salix psammophila in a semiarid shrubland ecosystem. Agric. For. Meteorol. 2021, 300, 108329. [Google Scholar] [CrossRef]
- Brito, P.; Lorenzo, J.R.; González-Rodríguez, Á.M.; Morales, D.; Wieser, G.; Jiménez, M.S. Canopy transpiration of a semi arid Pinus canariensis forest at a treeline ecotone in two hydrologically contrasting years. Agric. For. Meteorol. 2015, 201, 120–127. [Google Scholar] [CrossRef]
- Fernández-García, N.; Martínez, V.; Carvajal, M. Effect of salinity on growth, mineral composition, and water relations of grafted tomato plants. J. Plant Nutr. Soil Sci. 2004, 167, 616–622. [Google Scholar] [CrossRef]
- Duan, R.; Fedler, C.B. Salt management for sustainable degraded water land application under changing climatic conditions. Environ. Sci. Technol. 2013, 17, 10114. [Google Scholar] [CrossRef] [PubMed]
- Qadir, M.; Quillérou, E.; Nangia, V.; Murtaza, G.; Singh, M.; Thomas, R.J.; Drechsel, P.; Noble, A.D. Economics of salt-induced land degradation and restoration. Nat. Resour. Forum 2014, 38, 282–295. [Google Scholar] [CrossRef]
- Hazell, P.; Wood, S. Drivers of change in global agriculture. Philos. Trans. R. Soc. B Biol. Sci. 2008, 363, 495–515. [Google Scholar] [CrossRef]
- Massaretto, I.L.; Albaladejo, I.; Purgatto, E.; Flores, F.B.; Plasencia, F.; Egea-Fernández, J.M.; Bolarin, M.C.; Egea, I. Recovering tomato landraces to simultaneously improve fruit yield and nutritional quality against salt stress. Front. Plant Sci. 2018, 9, 1778. [Google Scholar] [CrossRef]
- Baath, G.S.; Shukla, M.K.; Bosland, P.W.; Steiner, R.L.; Walker, S.J. Irrigation water salinity influences at various growth stages of Capsicum annuum. Agric. Water Manag. 2017, 179, 246–253. [Google Scholar] [CrossRef]
- Munns, R.; Tester, M. Mechanisms of salinity tolerance. Annu. Rev. Plant Biol. 2008, 59, 651–681. [Google Scholar] [CrossRef]
- Zhao, S.; Zhang, Q.; Liu, M.; Zhou, H.; Ma, C.; Wang, P. Regulation of plant responses to salt stress. Int. J. Mol. Sci. 2021, 22, 4609. [Google Scholar] [CrossRef]
- Albaladejo, I.; Meco, V.; Plasencia, F.; Flores, F.B.; Bolarin, M.C.; Egea, I. Unravelling the strategies used by the wild tomato species Solanum pennellii to confront salt stress: From leaf anatomical adaptations to molecular responses. Environ. Exp. Bot. 2017, 135, 1–12. [Google Scholar] [CrossRef]
- Poór, P.; Borbély, P.; Czékus, Z.; Takács, Z.; Ördög, A.; Popović, B.; Tari, I. Comparison of changes in water status and photosynthetic parameters in wild type and abscisic acid-deficient sitiens mutant of tomato (Solanum lycopersicum cv. Rheinlands Ruhm) exposed to sublethal and lethal salt stress. J. Plant Physiol. 2019, 232, 130–140. [Google Scholar] [CrossRef]
- Li, J.; Song, J.; Li, M.; Shang, S.; Mao, X.; Yang, J.; Adeloye, A.J. Optimization of irrigation scheduling for spring wheat based on simulation-optimization model under uncertainty. Agric. Water Manag. 2018, 208, 245–260. [Google Scholar] [CrossRef]
- Theiveyanathan, S.; Benyon, R.G.; Marcar, N.E.; Myers, B.J.; Polglase, P.J.; Falkiner, R.A. An irrigation-scheduling model for application of saline water to tree plantations. For. Ecol. Manag. 2004, 193, 97–112. [Google Scholar] [CrossRef]
- Minhas, P.S.; Ramos, T.B.; Ben-Gal, A.; Pereira, L.S. Coping with Salinity in Irrigated Agriculture: Crop Evapotranspiration and Water Management Issues. Agric. Water Manag. 2020, 227, 105832. [Google Scholar] [CrossRef]
- FAOSTAT Crops and Livestock Products. Available online: https://www.fao.org/faostat/en/#data/QCL (accessed on 7 August 2023).
- Cuartero, J.; Fernández-Muñoz, R. Tomato and salinity. Sci. Hortic. 1998, 78, 83–125. [Google Scholar] [CrossRef]
- Shalhevet, J.; Yaron, B. Effect of soil and water salinity on tomato growth. Plant Soil 1973, 39, 285–292. [Google Scholar] [CrossRef]
- Möller, M.; Assouline, S. Effects of a shading screen on microclimate and crop water requirements. Irrig. Sci. 2007, 25, 171–181. [Google Scholar] [CrossRef]
- Eliades, G.; Orphanos, P.I. Irrigation of tomatoes grown in unheated greenhouses. J. Hortic. Sci. 1986, 61, 95–101. [Google Scholar] [CrossRef]
- Quaglietta Chiarandà, F.; Zerbi, G. Effect of irrigation regimen on yield and water consumption of greenhouse tomato grown in lysimeters. Acta Hortic. 1981, 119, 179–190. [Google Scholar] [CrossRef]
- Zhao, W.; Li, J.; Wang, Z.; Li, Y. Engineer Developing crop coefficients and pan coefficient for greenhouse-grown tomato under drip irrigation. In Proceedings of the ASABE (American Society of Agricultural and Biological Engineers) Annual International Meeting Presentation, Kansas City, MO, USA, 21–24 July 2013; American Society of Agricultural and Biological Engineers: Kansas City, MO, USA, 2013. [Google Scholar]
- Gallardo, M.; Thompson, R.B.; Fernández, M.D. Water requirements and irrigation management in Mediterranean greenhouses: The case of the southeast coast of Spain. In Good Agricultural Practices for Greenhouse Vegetable Crops—Principles for Meditterranean Climate Areas; Baudoin, W., Nono-Womdim, R., Lutaladio, N., Hodder, A., Castilla, N., Leonardi, C., De Pascale, S., Qaryouti, M., Eds.; Food and Agriculture Organization of the United Nations: Rome, Italy, 2013; pp. 109–136. [Google Scholar]
- Harel, D.; Sofer, M.; Broner, M.; Zohar, D.; Gantz, S. Growth-Stage-Specific Kc of greenhouse tomato plants grown in semi-arid mediterranean region. J. Agric. Sci. 2014, 6, 132–142. [Google Scholar] [CrossRef]
- Gong, X.; Wang, S.; Xu, C.; Zhang, H.; Ge, J. Evaluation of several reference evapotranspiration models and determination of crop water requirement for tomato in a solar greenhouse. HortScience 2020, 55, 244–250. [Google Scholar] [CrossRef]
- Gong, X.; Qiu, R.; Sun, J.; Ge, J.; Li, Y.; Wang, S. Evapotranspiration and crop coefficient of tomato grown in a solar greenhouse under full and deficit irrigation. Agric. Water Manag. 2020, 235, 106154. [Google Scholar] [CrossRef]
- Mori, M.; Amato, M.; Di Mola, I.; Caputo, R.; Quaglietta Chiarandà, F.; Di Tommaso, T. Productive behaviour of “cherry”-type tomato irrigated with saline water in relation to nitrogen fertilisation. Eur. J. Agron. 2008, 29, 135–143. [Google Scholar] [CrossRef]
- Reina-Sánchez, A.; Romero-Aranda, R.; Cuartero, J. Plant water uptake and water use efficiency of greenhouse tomato cultivars irrigated with saline water. Agric. Water Manag. 2005, 78, 54–66. [Google Scholar] [CrossRef]
- Yang, H.; Du, T.; Mao, X.; Shukla, M.K. Modeling tomato evapotranspiration and yield responses to salinity using different macroscopic reduction functions. Vadose Zone J. 2020, 19, e20074. [Google Scholar] [CrossRef]
- TUIK Greenhouse agricultural area. Available online: https://biruni.tuik.gov.tr/medas/?kn=92&locale=tr (accessed on 22 May 2024).
- TUIK Water and Wastewater Statistics. Available online: https://data.tuik.gov.tr/Bulten/Index?p=Water-and-Wastewater-Statistics-2020-37197&dil=2 (accessed on 22 May 2024).
- Sönmez, İ.; Kaplan, M. Determination of salinity of soil and irrigation waters of greenhouses in Demre region. Akdeniz Üniversitesi Ziraat Fakültesi Derg. 2004, 17, 155–160. [Google Scholar]
- Kurunc, A. Effects of water and salinity stresses on growth, yield, and water use of iceberg lettuce. J. Sci. Food Agric. 2021, 101, 5688–5696. [Google Scholar] [CrossRef] [PubMed]
- Ildır, M.İ.; Aktaş, H. Effect of different type of pruning on the yield and quality of greenhouse tomato production. Süleyman Demirel Üniversitesi Fen Bilim. Enstitüsü Derg. 2018, 22, 1241–1248. [Google Scholar] [CrossRef]
- Dunkerly, C.; Huntington, J.L.; McEvoy, D.; Morway, A.; Allen, R.G. Agweather-Qaqc: An Interactive Python Package for Quality Assurance and Quality Control of Daily Agricultural Weather Data and Calculation of Reference Evapotranspiration. J. Open Source Softw. 2024, 9, 6368. [Google Scholar] [CrossRef]
- Doorenboos, J.; Pruitt, W.O. Guidelines for predicting crop water requirements, Irrigation and Drainage Paper 24. L. Water Dev. Div. FAO Rome 1977, 24, 179. [Google Scholar]
- Hargreaves, G.H.; Samani, Z.A. Estimating potential evapotranspiration. J. Irrig. Drain. Div.-ASCE 1982, 108, 225–230. [Google Scholar] [CrossRef]
- Sakuratani, T. A heat balance method for measuring water flux in the stem of intact plants. J. Agric. Meteorol. 1981, 37, 9–17. [Google Scholar] [CrossRef]
- Baker, J.M.; van Bavel, C.H.M. Measurement of mass flow of water in the stems of herbaceous plants. Plant Cell Environ. 1987, 10, 777–782. [Google Scholar] [CrossRef]
- Navarro, A.; Scotto di Covella, F.; Cacini, S.; Sodini, M.; Traversari, S.; Venezia, A.; Massa, D. Testing sap-flow sensors to predict irrigation of soilless tomato fertigated with saline water. Acta Hortic. 2023, 639–646. [Google Scholar] [CrossRef]
- Carter, M.R.; Gregorich, E.G.; Pennock, D.; Yates, T.; Braidek, J. Soil Sampling and Methods of Analysis, 2nd ed.; CRC Press: Boca Raton, FL, USA, 2007; ISBN 9780849335860. [Google Scholar]
- Karaca, C.; Aslan, G.E.; Buyuktas, D.; Kurunc, A.; Bastug, R.; Navarro, A. Effects of salinity stress on drip-irrigated tomatoes grown under Mediterranean-type greenhouse conditions. Agronomy 2023, 13, 36. [Google Scholar] [CrossRef]
- Hanson, B.R.; Grattan, S.R.; Fulton, A. Agricultural Salinity and Drainage; Department of Land, Air and Water Resources, University of California: Davis, CA, USA, 2006; ISBN 160107946X. [Google Scholar]
- Kurunc, A.; Unlukara, A.; Cemek, B. Salinity and drought affect yield response of bell pepper similarly. Acta Agric. Scand. Sect. B Soil Plant Sci. 2011, 61, 514–522. [Google Scholar] [CrossRef]
- Yang, L.; Liu, H.; Tang, X.; Li, L. Tomato evapotranspiration, crop coefficient and irrigation water use efficiency in the winter period in a sunken Chinese solar greenhouse. Water 2022, 14, 2410. [Google Scholar] [CrossRef]
- Deng, Y.; Wu, S.; Ke, J.; Zhu, A. Effects of meteorological factors and groundwater depths on plant sap flow velocities in karst critical zone. Sci. Total Environ. 2021, 781, 146764. [Google Scholar] [CrossRef] [PubMed]
- Dudley, L.M.; Ben-Gal, A.; Shani, U. Influence of plant, soil, and water on the leaching fraction. Vadose Zone J. 2008, 7, 420–425. [Google Scholar] [CrossRef]
- Romero-Aranda, M.R.; Jurado, O.; Cuartero, J. Silicon alleviates the deleterious salt effect on tomato plant growth by improving plant water status. J. Plant Physiol. 2006, 163, 847–855. [Google Scholar] [CrossRef] [PubMed]
- Rodriguez, P.; Dell’Amico, J.; Morales, D.; Sanchez Blanco, M.J.; Alarcon, J.J. Effects of salinity on growth, shoot water relations and root hydraulic conductivity in tomato plants. J. Agric. Sci. 1997, 128, 439–444. [Google Scholar] [CrossRef]
- Lv, X.; Chen, S.; Wang, Y. Advances in understanding the physiological and molecular responses of sugar beet to salt stress. Front. Plant Sci. 2019, 10, 1431. [Google Scholar] [CrossRef] [PubMed]
- Ben-Gal, A.; Karlberg, L.; Jansson, P.; Shani, U. Temporal robustness of linear relationships between production and transpiration. Plant Soil 2003, 251, 211–218. [Google Scholar] [CrossRef]
- Shani, U.; Ben-Gal, A.; Tripler, E.; Dudley, L.M. Plant response to the soil environment: An analytical model integrating yield, water, soil type, and salinity. Water Resour. Res. 2007, 43, W08418. [Google Scholar] [CrossRef]
- Zhang, B.; Liu, Y.; Xu, D.; Zhao, N.; Lei, B.; Rosa, R.D.; Paredes, P.; Paço, T.A.; Pereira, L.S. The dual crop coefficient approach to estimate and partitioning evapotranspiration of the winter wheat–summer maize crop sequence in North China Plain. Irrig. Sci. 2013, 31, 1303–1316. [Google Scholar] [CrossRef]
- Naveen-Gupta; Eberbach, P.L.; Humphreys, E.; Balwinder-Singh; Sudhir-Yadav; Kukal, S.S. Estimating soil evaporation in dry seeded rice and wheat crops after wetting events. Agric. Water Manag. 2019, 217, 98–106. [Google Scholar] [CrossRef]
- Orgaz, F.; Fernández, M.D.; Bonachela, S.; Gallardo, M.; Fereres, E. Evapotranspiration of horticultural crops in an unheated plastic greenhouse. Agric. Water Manag. 2005, 72, 81–96. [Google Scholar] [CrossRef]
- Grattan, S.R.; Bowers, W.; Dong, A.; Snyder, R.L.; Carroll, J.J.; George, W. New crop coefficients estimate water use of vegetables, row crops. Calif. Agric. 1998, 52, 16–21. [Google Scholar] [CrossRef]
- Bhantana, P.; Lazarovitch, N. Evapotranspiration, crop coefficient and growth of two young pomegranate (Punica granatum L.) varieties under salt stress. Agric. Water Manag. 2010, 97, 715–722. [Google Scholar] [CrossRef]
- Pereira, L.S.; Paredes, P.; Hunsaker, D.J.; López-Urrea, R.; Mohammadi Shad, Z. Standard Single and Basal Crop Coefficients for Field Crops. Updates and Advances to the FAO56 Crop Water Requirements Method. Agric. Water Manag. 2021, 243, 106466. [Google Scholar] [CrossRef]






| Sampling Time (T) | Water Salinity Treatment (S) (dS m−1) | |||||||
|---|---|---|---|---|---|---|---|---|
| S0 (Control-0.7 dS m−1) | S1 (Low-2.5 dS m−1) | S2 (Moderate-5.0 dS m−1) | S3 (High-7.5 dS m−1) | |||||
| 23 February 2022 | 0.67 † | l ‡ | 0.89 | kl | 1.76 | ik | 2.04 | hj |
| 26 March 2022 | 1.07 | jl | 1.69 | ik | 2.35 | gi | 3.48 | ef |
| 26 April 2022 | 1.02 | kl | 2.32 | gi | 3.53 | ef | 5.31 | d |
| 22 May 2022 | 1.60 | il | 3.13 | fg | 6.05 | cd | 6.55 | bc |
| 27 June 2022 | 2.76 | fh | 4.26 | e | 7.32 | ab | 7.90 | a |
| Significant Level | S: p < 0.01, T: p < 0.05, S × T: p < 0.01 | |||||||
| Measurement Calculation Period | Transpiration Rate Tr/ETc (%) | Evaporation Rate Es/ETc (%) | |||||
|---|---|---|---|---|---|---|---|
| Start | End | S0 | S1 | S2 | S0 | S1 | S2 |
| 27 April | 5 May | 85.68 | 40.78 | 38.77 | 14.32 | 59.22 | 61.23 |
| 6 May | 14 May | 87.38 | 42.18 | 51.28 | 12.62 | 57.82 | 48.72 |
| 15 May | 24 May | 90.76 | 48.64 | 84.35 | 9.24 | 51.36 | 15.65 |
| 25 May | 4 June | 83.89 | 72.15 | 74.95 | 16.11 | 27.85 | 25.05 |
| 5 June | 16 June | 79.35 | 59.39 | 65.50 | 20.65 | 40.61 | 34.50 |
| 17 June | 27 June | 75.00 | 61.43 | 68.08 | 25.00 | 38.57 | 31.92 |
| Mean | 83.68 | 55.00 | 63.82 | 16.32 | 45.00 | 36.18 | |
Disclaimer/Publisher’s Note: The statements, opinions and data contained in all publications are solely those of the individual author(s) and contributor(s) and not of MDPI and/or the editor(s). MDPI and/or the editor(s) disclaim responsibility for any injury to people or property resulting from any ideas, methods, instructions or products referred to in the content. |
© 2024 by the authors. Licensee MDPI, Basel, Switzerland. This article is an open access article distributed under the terms and conditions of the Creative Commons Attribution (CC BY) license (https://creativecommons.org/licenses/by/4.0/).
Share and Cite
Aslan, G.E.; Bastug, R.; Karaca, C.; Kurunc, A.; Buyuktas, D.; Navarro, A. Effects of Saline Irrigation Water Applications on Evapotranspiration Partitioning and Crop Coefficient of Tomato Grown in Mediterranean-Type Greenhouses. Agronomy 2024, 14, 1771. https://doi.org/10.3390/agronomy14081771
Aslan GE, Bastug R, Karaca C, Kurunc A, Buyuktas D, Navarro A. Effects of Saline Irrigation Water Applications on Evapotranspiration Partitioning and Crop Coefficient of Tomato Grown in Mediterranean-Type Greenhouses. Agronomy. 2024; 14(8):1771. https://doi.org/10.3390/agronomy14081771
Chicago/Turabian StyleAslan, Gulcin Ece, Ruhi Bastug, Cihan Karaca, Ahmet Kurunc, Dursun Buyuktas, and Alejandra Navarro. 2024. "Effects of Saline Irrigation Water Applications on Evapotranspiration Partitioning and Crop Coefficient of Tomato Grown in Mediterranean-Type Greenhouses" Agronomy 14, no. 8: 1771. https://doi.org/10.3390/agronomy14081771
APA StyleAslan, G. E., Bastug, R., Karaca, C., Kurunc, A., Buyuktas, D., & Navarro, A. (2024). Effects of Saline Irrigation Water Applications on Evapotranspiration Partitioning and Crop Coefficient of Tomato Grown in Mediterranean-Type Greenhouses. Agronomy, 14(8), 1771. https://doi.org/10.3390/agronomy14081771

