Next Article in Journal
Leveraging Wheat Competition to Manage Seasonal Expansion of Feathertop Rhodes Grass (Chloris virgata)
Previous Article in Journal
Evaluation of the Improvement Effect of Chemical Fertilizer Combined with Different Additives on Newly Built Paddy Soil
 
 
Font Type:
Arial Georgia Verdana
Font Size:
Aa Aa Aa
Line Spacing:
Column Width:
Background:
Article

Effects of Phosphorus-Mediated Alleviation of Salt Stress on Cotton Genotypes: Biochemical Responses and Growth Adaptations

1
State Key Laboratory of Cotton Biology, Institute of Cotton Research of Chinese Academy of Agricultural Sciences, Anyang 455000, China
2
Western Agricultural Research Center of Chinese Academy of Agricultural Sciences, Changji 831100, China
*
Authors to whom correspondence should be addressed.
Agronomy 2024, 14(8), 1707; https://doi.org/10.3390/agronomy14081707
Submission received: 5 June 2024 / Revised: 21 July 2024 / Accepted: 30 July 2024 / Published: 3 August 2024
(This article belongs to the Section Plant-Crop Biology and Biochemistry)

Abstract

Salinity stress can significantly impact productivity in agricultural area with limited water re-sources. Our study focused on how plants under salt stress respond to phosphorus availability in terms of growth and biochemical reactions in cotton genotypes. Two cotton genotypes with different P efficiencies (SK39 and JM21) were used in a hydroponic experiment with 300 mM NaCl and three P treatments (10, 20, and 30 mM). Salinity stress decreases root growth, shoot growth, biomass production, and chlorophyll content, according to the experimental findings. In treated plants, it also increased the levels of oxidative stress. However, this effect was alleviated by phosphorus therapy, which controlled the production of proline, total soluble sugars, and hydrogen peroxide (H2O2). Interestingly, salt-sensitive JM21 responded to phosphorus supplementation more favorably than salt-tolerant SK39. Our research emphasizes the critical role that phosphorus especially P20 plays increasing the salinity stress sensitivity of cotton plants and offers insightful in-formation on the mechanisms underlying the role of phosphorus in reducing salinity stress effects. This study also revealed interspecific variability in cotton genotypes and characteristics, primarily represented by attributes related to cotton growth and morphological indicators such as dry matter biomass.

1. Introduction

Global agricultural productivity is significantly impacted by a number of abiotic stress conditions, including extreme cold, dryness, soil salinity, floods, and heat [1]. In particular, damaging environmental stresses such as soil salinity reduce the amount of arable land available for cultivation and the production and quality of crops. High salinity affects approximately 20% of cultivated and 33% of irrigated agricultural fields worldwide. Sadly, the problem will grow as a result of global warming and rising sea levels. Salinized areas are thus progressively growing each year and are anticipated to reach 50% by 2050 [2,3,4,5,6,7,8,9,10,11]. The effects of salinity on plant growth and development include osmotic stress, imbalanced cellular ionic flow, altered Na+/K+ ratios, and altered Na+ and Cl ion concentrations inside cells [3]. The influx of ions results in oxidative stress, which impairs intracellular potassium homeostasis, alters the activity of key cytosolic enzymes, and has a detrimental effect on photosynthesis [4].
The macromolecules nucleic acids, nucleotides, and phospholipids all depend on phosphorus (P), an important nutrient. Phosphate (Pi) also play important metabolic and protein-regulating roles. However, only 15% to 25% of the P fertilizer given to plants is absorbed; the remaining 75–80% is discharged into the environment. As a result, soil erosion, water eutrophication, and reduced P availability occur in the soil [5].
Plants employ different strategies to boost P mobilization and absorption in response to reduced P availability in soil. To increase phosphorus intake, they can improve either their acquisition or use efficiency of phosphorus. The ability to extract P from soils through root features and underground activities, as well as P utilization, which includes cellular processes such as P remobilization, are the key determinants of P efficiency. As a result, it is crucial to grow P-efficient crop cultivars that can increase the P balance in agroecosystems by improving P acquisition and utilization. Over the last 20 years, there has been a concentration of research on increasing plant P [6].
For years, farmers have used P acquisition features to increase the phosphorus levels in their crops. However, it is crucial to understand the factors that affect phosphorus. Recent studies have concentrated on increasing phosphorus levels, which are connected to the structure of the root and shoot system and rhizosphere activities, according to Neumann and Martinoia at moderate P concentrations, lateral root growth exceeded primary root growth [7]. By modifying root structure and encouraging the activation of numerous phosphorus-related genes, low P levels in Arabidopsis increase the capacity of roots to absorb P, hence enhancing the adaptive response of roots. Similar findings were reported for traditional rice cultivars with longer roots and early root development, which are regulated by the protein kinase PSTOL1 [8]. The amount of phosphorus provided to and remobilized from collections and tissues over the plant growth cycle, as well as the size of the plant’s P pools, has a substantial impact on how efficiently phosphorus is used. Hybrid corn varieties with higher root-to-shoot ratios ought to be cultivated to enhance the availability of phosphorus [6]. The genomic variation in phosphorus and its constituents in numerous crop species has been studied. According to a study on wheat, the P-efficient cultivar maintained higher levels of inorganic P in its organs than the P-inefficient cultivar [12]. P-efficient rice genotypes, as opposed to P-inefficient rice genotypes, may increase their phosphorus and maintain vital activities under diverse P supply conditions by altering the root architecture because of P deprivation [5]. The late-maturing source groups from tropical maize landraces with high net P uptake, high dry matter, and P partitioning to the grain and the maintenance of high grain P concentrations may be used as characteristics of adaptive value for P-limited situations [9].
The production of natural fibers, which are used as the main raw material in the textile industry, makes cotton an essential crop for the world economy [13,14,15,16,17,18,19,20,21]. Phosphorus deficits have a large impact on cotton’s agronomic qualities since they can lower the plant’s height, leaf area, and dry matter quality. The effectiveness of phosphorus usage and the significance of variation among various cotton genotypes in response to variable phosphorus availability, however, have only been briefly examined in a few studies. Further study is required because of the drawbacks indicated above and the lack of understanding of cotton genotypic diversity [10].
Our study aimed to understand how phosphorus can help cotton plants overcome the negative effects of salinity stress. The effects of phosphorus on the growth parameters, proline concentrations, H2O2 and MDA levels, some biochemical properties, and antioxidant enzyme activities of cotton plants and seedlings were observed. Our findings shed light on the important role that phosphorus plays in promoting healthy cotton growth under stressful conditions.

2. Materials and Methods

2.1. Plant Material and Growth Conditions

Two cotton genotypes, SK39 (salt resistant) as Variety 1 (V1) and JM21 (V2) (salt sensi-tive), were studied via hydroponic cultivation at the Cotton Research Institute of the Chi-nese Academy of Agricultural Sciences in Anyang, China. The seeds were cleaned with a sodium hypochlorite solution (2.5% v/v) for 15 minutes to guarantee healthy growth and then sterilized with ethyl alcohol (75% v/v) before being rinsed five times with double-distilled water [22]. Following a 7-day incubation period in a growth chamber, we transplanted the uniform seedlings into 8 L plastic containers and raised them in a greenhouse with natural light, temperatures of 25/20 °C (day/night), and a humidity level of 60% [15]. Each genotype seven replications for each P treatment, and at the point of two true leaves, the plants were given various nutritional solutions. The average nutrient solution contained the following components: 0.1 mmol/L EDTA-FeNa, 1 mmol/L MgSO4H2O, and 2 mmol/L ZnSO4.H2O, 46 mmol/L H3BO3, 4mmol/L MnCl2.4H2O, and 0.12 mmol/L NH4 are the concentrations in this solution. 6Mo7O24.4H2O, 0.5 mmol/L KH2PO4, 2.5 mmol/L Ca (NO3)2.4H2O, that are provided as KH2PO4 are all present after germination every week. The pH was maintained at 5.80.5 as neutral, and the nutritional solutions were continu-ously aerated. The pH was adjusted every day with HCl and NaOH. An electric pump is utilized to aerate the nutritional solutions, which are replaced every 7 days. Eight plants from each group were collected for further study after the plants were treated with NaCl every week after leaf development. NaCl solution was gradually added to the pots to achieve the required level of 300 mM NaCl of 200 ml because this concentration reduced germination as well as plant growth (Gillespie, 2019). Treatments were designated as control (Ck), phosphorus treatments (P10, P20, and P30 mM), and phosphorous treatments with salinity stress (P10+ NaCl, P20+ NaCl, and P30+ NaCl mM).

2.2. Measurement of Plant Growth Attributes

At 40 days after sowing (DAS), the plants were carefully removed and soaked in water to remove any clinging particles without harming their roots. Then, the lengths of both their roots and shoots were measured using a meter scale. After that, the roots were separated from the shoots and dried with a blotter. Next, we weighed the roots and shoots separately to determine their fresh weight and then placed them in an oven for 72 h at 80 °C to obtain their dry weight. Finally, the leaf area was calculated by tracing the leaf outline on graph paper and counting the squares it covered using the gravimetric method [18].

2.3. Chlorophyll Extraction

Pigments were extracted from the leaves by weighing 0.5 g of the uppermost unfolded leaf, cutting it into pieces, and placing it in 15 mL of a 1:1 acetone and ethanol mixture (v/v). The leaf was then incubated in the dark at room temperature (25 °C) for 24 hours. Absorbance at 663, 645, and 470 nm was measured using a UV–Vis spectrophotometer (UV-1280; Shimadzu, Kyoto, Japan). Chlorophyll a and b values were used to calculate the total chlorophyll and the chlorophyll a/b ratio [20].

2.4. Determination of Proline and Total Soluble Sugars

The samples were ground with a Heiko Sample Mill from Tokyo, Japan’s Heiko Seisakusho Ltd., before the proline content was analyzed. We placed 0.1 g of dried leaf powder in a 100 mL conical flask added 10 mL of hot 80% ethanol, and we heated the mixture on a hotplate at 80 °C to extract the proline. Once extracted, we put the materials via a funnel on one layer of filter paper (5B, ADVANTEC Corp., Tokyo, Japan) into a 50 mL volumetric flask. We used 10 mL of hot 80% ethanol to rinse the conical flask and funnel four times before filling the volumetric flask to the 50 mL mark [16].
Ten milliliters of the extract were placed in a fifty-milliliter test tube for proline analysis. A mixture of 1.25 g of ninhydrin in 30 mL of glacial acetic acid and 20 mL of 6 M phosphoric acid was added to 2 mL of acid ninhydrin, along with 5 mL of glacial acetic acid. For 45 min, we boiled water in the test tube before allowing it to cool for 5 min on ice. Then, we warmed the contents to room temperature and combined them with 10 mL of toluene. Finally, we used a blank of toluene at 520 nm to measure the intensity of the top layer. The proline concentration (in millimoles per gram of dry weight) was calculated using a standard proline curve [5].
Total soluble sugars were measured by adding 0.5 milliliters of soluble sugar extract to 4.5 milliliters of 80% ethanol in a test tube. The sample tubes were placed in a cold bath, and 10 mL of anthrone reagent was carefully added. The tubes were then immersed in a boiling water bath for exactly 7.5 min before being cooled in an ice bath. We measured the absorbance at 630 nm after cooling for 1 h [23].

2.5. Measurement of H2O2 and Malondialdehyde (MDA) Content

After interacting with potassium iodide (KI), the hydrogen peroxide levels in the plant sections were assessed using a spectrophotometric technique. The reaction mixture was composed of reagent (1 M KI, w/v in fresh double-distilled water, 2 mL), 0.1% trichloroacetic acid (TCA), 100 mM K-phosphate buffer, and plant leaf, stem, and root extract supernatant (0.25 mm). Using only 0.1% TCA and no plant extract, a blank probe was also created. The absorbance was determined at 390 nm following an hour of incubation in the dark. A standard curve created with known H2O2 concentrations was used to determine the quantity of hydrogen peroxide [9]. The level of malondialdehyde (MDA) generated was calculated via the thiobarbituric acid (TBA) method, as reported by Billah, M; to quantify the lipid peroxidation of plant components [10]. A mortar and pestle were used to thoroughly blend 1 mL of 0.5% trichloroacetic acid (TCA) with 1 g of powdered (0.25 mm) plant sample. The homogenate was centrifuged at 9000 rpm for 20 min. After being heated for 30 min in a boiling water bath and then swiftly cooled in an ice bath, the supernatant (0.5 mL) was combined with 20% TCA (2.5 mL) containing 0.5% TBA. The supernatant was centrifuged at 9000 rpm for 10 min to extract it, and the extracted supernatant was utilized to measure the MDA level [18]. The absorbance at 532 nm was measured.

2.6. Determination of Antioxidant Enzymatic Activity

All of the biochemical analyses were performed on plant shoots that had been collected. Liquid nitrogen was used to finely grind 0.5 g of frozen plant material, which was then homogenized in 1 mL of extraction buffer. For enzyme tests, the supernatant from centrifuging the homogenate at 13,000 rpm for 20 min at 4 °C was collected. The superoxide dismutase (SOD) and ascorbate peroxidase (APX) extraction solutions included 50 mM sodium phosphate buffer (pH 7.0), 0.1 mM EDTA, 5 mM mercaptoethanol, 2% PVP, 5 mM ascorbic acid, and 1 mM PMSF [24]. The homogenates were centrifuged at 4 °C for 20 min. The supernatant was collected and utilized for enzymatic activity tests. The enzyme extract preparation process was completed at 4 °C. SOD and POD activities were assessed following the method of [10,11,12,13,14,15,16,17,18,19,20,21,22,23,24,25,26]. The Nakano and Asada (1981) approach was used to determine APX activity. The activity of catalase (CAT, EC 1.11.1.6) was determined based on a decrease in absorbance at 240 nm for 1 min following the decomposition of H2O2 [9].

2.7. Statistical Analysis

The data were analyzed using one-way ANOVA with SPSS software 16.0 package (IBM, New York, NY, USA), and Origin Pro 2022. To separate significant treatments at p ≤ 0.05, Duncan’s multiple range test was used. The values are presented as the means of seven replications ± SEs. Principal component analysis (PCA) was conducted using Origin 2018 software (Originlab, Northampton, MA, USA) to extract valuable information on the investigated traits, including root distribution parameters, agronomic traits, and nutrient concentrations. Pearson’s correlation analysis was conducted using the SPSS package to examine relationships among variables.

3. Results

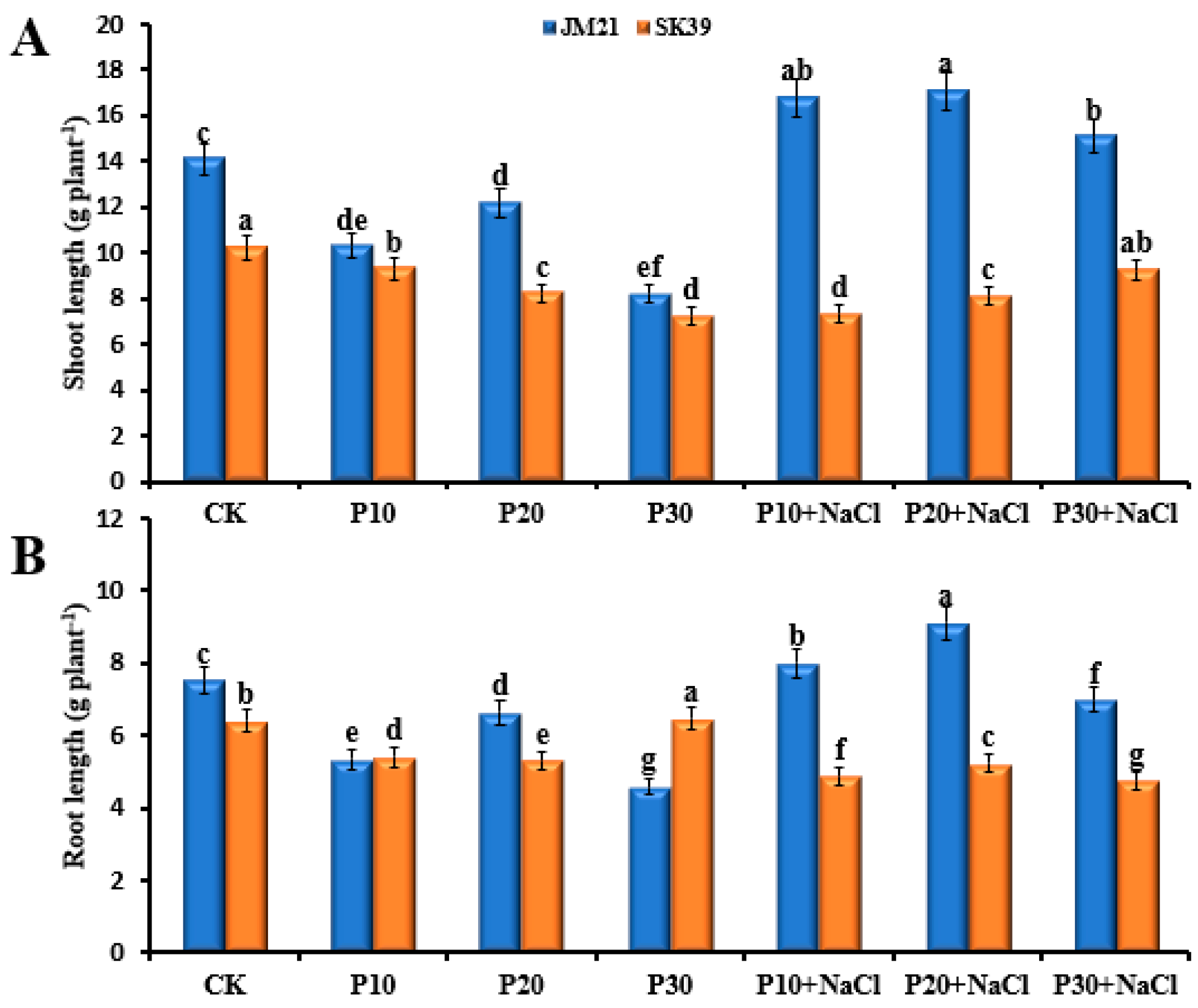
In this research, the responses of two types of cotton, JM21 (V1) and SK39 (V2), along with those of a control group (CK) to various treatments were examined, including exposure to salt and unstressed conditions. When exposed to salt stress, JM21 (V1) had a moderate 10% increase in shoot length, while SK39 (V2) had a more significant 18% increase in growth, indicating a greater tolerance to salt stress. This suggests that SK39 (V2) performs better under challenging conditions. Under unstressed conditions at P20, JM21 (V1) had a 12% growth increase, while SK39 (V2) had an impressive increase of 20%, indicating its strong growth potential. In the other treatments, P10 showed a minor increase of 4% under salinity stress, indicating that it had a limited response to salt stress. However, P30 had a detrimental effect on growth of −8% across both genotypes. Similarly, under CK conditions at P20, P10 slightly increased shoot length by 5%, while P30 significantly decreased in shoot length 12%, indicating its adverse influence on growth, as shown in Figure 1A.
When exposed to salt stress, JM21 (V1) displayed a modest 8% increase in root length, while SK39 (V2) showed a more significant 15% increase in growth, indicating its superior ability to tolerate salt stress. These findings confirmed that SK39 (V2) performed exceptionally well under challenging conditions. At P20, under normal conditions, JM21 (V1) displayed increased growth by 10%, and SK39 (V2) displayed an even more impressive increase of 17%, highlighting its robust growth potential. For the other treatments, under salinity stress, the P10 treatment resulted in a minor increase of 3%, indicating its limited response to salt stress in terms of root length. In contrast, the P30 treatment significantly impacted root growth, with a decrease of 6%, emphasizing its adverse influence on both genotypes. Similarly, under normal conditions at P20, the P10 treatment slightly improved the root length by 4%, while the P30 treatment decreased it by 10%, reinforcing its negative impact on root growth. This study underscores the superior salt stress tolerance and growth potential performance of SK39 (V2), especially in terms of root length. Even under salt stress, SK39 (V2) outperformed JM21 (V1), as shown in Figure 1B.
At P20, the shoot fresh weight of JM21 (V1) increased by 11% under normal conditions, while that of SK39 (V2) increased by 19%, indicating its strong growth potential. The fresh shoot weight of P10 increased slightly, by 3%, under salt stress conditions, indicating a limited response to salt stress. However, P30 showed a significant decrease of 7% in shoot fresh weight, showing its negative impact on growth for both genotypes. Under normal conditions at P20, P10 had a modest growth increase of 4% in shoot fresh weight, while P30 led to a significant decrease of 11%, showing its unfavorable effects on growth. JM21 (V1) increased shoot dry weight by 7% under salt stress, while SK39 (V2) increased shoot dry weight by 14%, indicating its superior performance under salt stress conditions. Under normal conditions at P20, JM21 (V1) had a growth improvement of 9%, while SK39 (V2) had an even more substantial increase of 16%, highlighting its strong growth potential, as shown in Figure 2.
When response to salt stress, the P10 treatment slightly increased the fresh weight of the roots by 2%, indicating a limited response to salinity stress. However, treatment P30 resulted in a significant decrease of 6% in root fresh weight, highlighting its adverse impact on growth for both genotypes. Under unstressed conditions at P20, treatment P10 resulted in a modest 3% increase in root fresh weight, while treatment P30 led to a significant decrease of 9%, emphasizing its unfavorable effects on growth. JM21 (V1) exhibited a 6% increase in root dry weight under salt stress conditions, while SK39 (V2) showed a 12% increase in root dry weight, indicating its superior response to salt stress conditions. Under unstressed conditions at P20, JM21 (V1) demonstrated a 7% increase in root dry weight, while SK39 (V2) showed a more pronounced increase of 14%, reinforcing its robust growth potential. Similarly, when exposed to salinity stress conditions, treatment P10 resulted in a minor increase in root dry weight of 2%, whereas treatment P30 led to a decrease of −5%, highlighting its negative influence on growth for both genotypes, as shown in Figure 3.
For total chlorophyll, the content of JM21 (V1) at P20 increased by 10% under unstressed conditions, while that of SK39 (V2) increased by 18%, suggesting its potential for robust total chlorophyll accumulation. Treatment P10 only had a minor 4% increase in total chlorophyll content under salt stress conditions, while treatment P30 resulted in a significant decrease of 9%, negatively impacting total chlorophyll accumulation for both genotypes. Under unstressed conditions at P20, treatment P10 resulted in a modest increase of 5% in total chlorophyll content, while treatment P30 resulted in a significant decrease of 11%, highlighting its unfavorable effects on total chlorophyll accumulation.
At P20, the total soluble sugar content of JM21 (V1) increased by 10% under normal conditions, while that of SK39 (V2) increased by 18%, indicating its strong potential for sugar accumulation. However, under salt stress conditions, in the P10 treatment, only a small increase (4%) in the total soluble sugar content was detected, suggesting that P10 cannot respond to salinity stress, as shown in Figure 4.
Under unstressed conditions, the chlorophyll content of JM21 (V1) at P20 significantly increased by 12%, while that of SK39 (V2) exhibited a more significant 20% increase, indicating its potential for robust chlorophyll accumulation. However, under salt stress conditions, treatment P10 only had a minor 5% increase in chlorophyll content, while treatment P30 resulted in a notable decrease of 11%, negatively impacting chlorophyll accumulation for both genotypes stress conditions at P20, treatment P10 resulted in a modest 6% increase in chlorophyll content, while treatment P30 resulted in a significant reduction of 13%, further emphasizing its unfavorable effects on chlorophyll accumulation Figure 5.
JM21 (V1) at P20 exhibited a significant 7% increase in chlorophyll b content under unstressed conditions, whereas SK39 (V2) exhibited a more pronounced increase in chlorophyll b content of 14%, indicating its strong potential for chlorophyll b accumulation. The P10 treatment under salt stress conditions resulted in a minor 3% increase in the chlorophyll b content, while the P30 treatment resulted in a decrease of 8%, which negatively affected chlorophyll b accumulation in both genotypes. Under unstressed conditions at P20, in the P10 treatment, the chlorophyll b content significantly increased by 4%, while in the P30 treatment, the chlorophyll b content significantly decreased by 9%, further emphasizing its unfavorable effects on chlorophyll b accumulation Figure 5.
Regarding hydrogen peroxide (H2O2) levels, at P20, JM21 (V1) showed a 7% increase in its content under unstressed conditions, while SK39 (V2) exhibited a more pronounced increase of 14%, indicating its strong potential for H2O2 accumulation. Under salt stress conditions, P10 showed a minor increase of 3% in H2O2 content, underscoring its limited response to salinity stress. In contrast, treatment P30 yielded a decrease of 8% in H2O2 content, indicating its negative influence on H2O2 accumulation for both genotypes. Similarly, under unstressed conditions at P20, treatment P10 exhibited a slight increase of 4% in H2O2 content, while treatment P30 led to a significant decrease of 9%, further emphasizing its unfavorable effects on H2O2 accumulation Figure 6A.
At P20, the MDA levels were measured in JM21 (V1) and SK39 (V2) plants under unstressed and salt-stress conditions. JM21 (V1) exhibited a 10% increase in the MDA content under unstressed conditions, while SK39 (V2) exhibited a more substantial increase of 18%, indicating its strong potential for MDA accumulation. On the other hand, treatment P10 slightly increased the MDA content by 4% under salt stress conditions, indicating its limited response to salinity stress. Conversely, treatment with P30 resulted in a notable decrease of 7% in the MDA content, implying its adverse impact on MDA accumulation for both genotypes under salt stress conditions. Additionally, under unstressed conditions at P20, treatment P10 resulted in a modest increase of 5% in the MDA content, while treatment P30 significantly decreased the MDA content by 11%, highlighting its unfavorable effects on MDA accumulation Figure 6B.
Finally, at P20, JM21 (V1) showed a 9% increase in proline content under unstressed conditions, while SK39 (V2) demonstrated a more substantial increase of 17%, suggesting its strong potential for robust proline accumulation. Under salt stress conditions, P10 exhibited a minor increase of 4% in proline content, indicating its limited response to salinity stress.
However, the P30 treatment resulted in a significant decrease of 8% in proline content, implying its adverse impact on proline accumulation in both genotypes. Similarly, under unstressed conditions at P20, treatment P10 resulted in a modest increase of 5% in proline content Figure 7.

3.1. Determination of Antioxidants

The superoxide dismutase (SOD), peroxidase (POD), catalase (CAT), and ascorbate peroxidase (APX) levels at P20 for the JM21 (V1) and SK39 (V2) genotypes under unstress and salt stress conditions. Under unstressed conditions, JM21 (V1) exhibited a 6% increase in SOD activity under treatment P20, whereas SK39 (V2) shown a more substantial increase of 14%, indicating its potential for robust SOD activity. Under salt stress conditions, the SOD activity of both genotypes in the P10 treatment group slightly increased by 3%, suggesting a limited response to salinity stress. However, treatment with P30 resulted in a significant decrease of 7% in SOD activity for both genotypes, suggesting its adverse impact on SOD activity.
Under unstressed conditions, at P20, the POD activity of JM21 (V1) increased by 7%, while that of SK39 (V2) increased by 15%, indicating its potential for robust POD activity. Under salt stress conditions, the POD activity of plants in the P10 treatment group exhibited a minor increase of 4% for both genotypes, indicating a limited response to salinity stress. However, treatment P30 resulted in a significant decrease of 49% in POD activity for both genotypes, suggesting its adverse impact on POD activity.
Under unstressed conditions, at P20, JM21 (V1) displayed an 8% increase in CAT activity, while SK39 (V2) showed a more significant increase of 16%, suggesting its potential for robust CAT activity. Under salt stress conditions, the CAT activity in the P10 treatment group exhibited a minor 3% increase in both genotypes, indicating a limited response to salinity stress. However, treatment P30 resulted in a significant decrease of 6% in CAT activity for both genotypes, suggesting its adverse impact on CAT activity Figure 8A.
Under unstressed conditions, at P20, JM21 (V1) exhibited a 9% increase in APX activity, while SK39 (V2) displayed a more substantial increase of 17%, indicating its potential for robust APX activity. Under salt stress conditions, the APX activity in the P10 treatment group exhibited a minor increase of 4% for both genotypes, suggesting a limited response to salinity stress. However, treatment with P30 resulted in a significant decrease of 8% in APX activity for both genotypes, implying its adverse impact on APX activity (Figure 8B). These results suggest that SK39 (V2) generally has greater potential for robust antioxidant enzyme activity (SOD, POD, CAT, APX) than JM21 (V1), and both genotypes exhibited limited responses to salt stress under treatment P10 and adverse effects under treatment P30 for these enzymes.

3.2. Principal Component Analysis (PCA)

Based on the relative values of each morphological characteristic, eight principal components for this study were retrieved via PCA. The accumulation of biomass and phosphorus-efficiency-related qualities were the morphological traits that described genotypic variation in PC1, while, within PC2, the greatest amount of genotypic variation was explained by what might be called morphological root traits Figure 9.

3.3. Correlations among Morphological Traits

The Pearson test was used to determine whether there were any relationships between the relative values of the morphological features. For most of these qualities, there were notable relationships (Figure 10). Each of these attributes positively correlated with the other traits.

4. Discussion

Different crop species and genotypes exhibit varying responses to different levels of phosphorus supply [25]. Similarly, in our study, cotton genotypes demonstrated distinct reactions to varying phosphorus concentrations, distinct variations were observed among cotton genotypes in terms of morphological and physiological traits. The poisonous buildup of Na+ ions, which makes it difficult to sequester into vacuoles for nonhalophytes, might increase this stress, can also interfere with the nutrition of minerals, causing imbalances and nutrient deficits. These elements may eventually cause a plant to die due to molecular harm and the cessation of growth. In a recent study, it was discovered that adding 300 mM NaCl dramatically reduced plant growth, resulting in a decrease in the weights of roots and shoots, both fresh and dry, as well a decrease in the number of pigments used for photosynthetic processes. While SK39 (V2) demonstrated an even greater improvement of 14% at P20 under unstress conditions, JM21 (V1) showed a 7% increase under stressful conditions, indicating its significant growth potential [26]. The amount of inhibition that was detected in the plants was inversely related to the amount of salt that was used. The greatest decline in plant development was observed at the highest salt concentration (300 mM). This study’s findings show that, compared to the growth of untreated plants cultivated under the same conditions, P20 considerably improved the growth of cotton JM21 (V1) under both normal and salt-stressed conditions. However, P30 had a detrimental effect on growth, with an overall decline of 8% across both genotypes. Similar to P10, which caused a slight growth increase of 5% under unstressed conditions at P20, P30 caused a significant decrease in shoot length of 12%, indicating its detrimental influence on growth (Figure 1, Figure 2, Figure 3, Figure 4 and Figure 5). P is thought to have favorable impacts on plant growth because of its antioxidant qualities, which can shield cell membranes from lipid peroxidation in the presence of environmental stresses [27,28]. A high NaCl concentration lowers the osmotic potential of the soil solution. This causes water stress for plants and can result in severe ion toxicity [12,17,18,19,20,21,22,23,24,29,30,31].
Plants may face a decline in their capacity to synthesize the pigments required for photosynthesis when exposed to salty environments [19]. Chlorophyllase and other pigment-degrading enzymes may be activated, causing this to occur. However, studies have revealed that adding P20 can aid in minimizing this harm and increase the amount of chlorophyll in cotton plants. This phenomenon was observed in JM21 (V1) plants, and it was corroborated by earlier research demonstrating that P20 is helpful for crops under salt stress. Overall, the application of P20 could help plants develop more quickly and prevent the loss of chlorophyll. According to our research, the amount of chlorophyll decreased when plants were exposed to high concentrations of P20 and 300 mM NaCl [16]. Reference [32], a high P20 concentration exacerbated the damage to the photosynthetic system of Zea mays and reduced its net photosynthetic rate. Furthermore, P was found to increase the chlorophyll content. P treated plants had greater chlorophyll contents, and, in our investigation, P20 significantly increased the total chlorophyll content in cotton JM21 (V1) plants. By preserving the equilibrium between the osmotic cytosol intensity, that of the cell vacuole, and that of the external medium that maintains cell turgor, P treatment enhanced photosynthetic pigments and offered cellular protection [15].
In our findings, cotton plants that responded to NaCl stress had less total soluble sugar present (as shown in Figure 4B). However, these plants showed higher levels of soluble sugars after phosphorous treatment. The chlorophyll content increased by 12% in JM21 (V1) at P20 under normal circumstances, whereas it increased by 20% in SK39 (V2), indicating the latter’s potential for significant chlorophyll accumulation. While P30 caused a noticeable decrease of 11% in chlorophyll content under salt stress conditions, P10 caused a minor increase of only 5%, adversely affecting chlorophyll accumulation in both genotypes. To maintain a balance between the osmotic cytosol intensity and that of the cell vacuole and external medium, P20 was found to increase the amount of soluble sugars [14]. This helped maintain cell turgor and protect cells.
H2O2 has dual functions in plants, it serves as an indicator molecule that aids plants with adapting to various biotic and abiotic stresses when present at low concentrations [29]. However, it can stress plants by oxidizing them when present in high concentrations [9], a progressive buildup of H2O2 in the roots of plants exposed to 300 mM NaCl. Treatment with P10 only slightly increased the H2O2 content under salt stress conditions (3%), showing that it has limited sensitivity to salinity stress [24]. In contrast, treatment P30 resulted in an 8% decrease in H2O2 content for both genotypes, indicating that it had a detrimental effect on accumulation, with their antioxidant defense compromised by salt stress, cotton plants produce much more H2O2 and show increased lipid peroxidation, which results in oxidative damage [33]. In contrast to salt stress alone, P20 dramatically reduced the levels of H2O2 and MDA in salt-stressed plants (Figure 6). P inhibited the development of MDA. The antioxidative action of P, which is shown by decreases in lipid peroxidation and H2O2 levels, may be responsible for its beneficial effects on plant growth [24,26,30,31,34,35]. Our investigation revealed that proline levels decreased with increasing phosphorous, while the opposite trend occurred with increasing salt concentration. Under no stressed conditions, the MDA content of JM21 (V1) increased 10%, while that of SK39 (V2) increased more substantially, by 18%, showing its high potential for MDA accumulation [23]. However, in the P10 treatment, the MDA concentration slightly increased by 4% under salt stress conditions, demonstrating its limited responsiveness to salinity stress. The mechanism of proline accumulation in phosphorus-supplemented plants has not yet been thoroughly elucidated. Maintaining the water balance in plant cells is critical for survival during salt stress. This shows that P can help maintain plant water homeostasis under salinity stress. This shows that phosphorus can help maintain plant water homeostasis under salinity stress (Figure 10), at P20 for JM21 (V1), the level of proline increased by 9% under normal conditions, whereas SK39 (V2) exhibited a more substantial increase of 17%, showing its potential for robust proline accumulation. The low capacity of P10 to respond to salinity stress was shown by the fact that it only slightly increased the proline concentration when exposed to salt stress conditions (by 4%). It is important to remember that high salt concentrations can decrease the osmotic potential of the soil solution, which can cause severe ion toxicity and water stress in plants [36].
The enzyme SOD plays a crucial role in how plants respond to oxidative stress. The significance of SOD in reducing oxidative damage is indicated by our observation of an increase in SOD activity in plants treated with phosphorus under salt stress conditions. SOD dismutase O2- into H2O2 and O2. This is crucial for reducing the negative effects of the SOD that are produced in excess during salt stress. Another essential enzyme that neutralizes ROS is POD [37]. The ability of POD to detoxify H2O2 and other peroxides can be used to mechanistically explain the increase in POD activity in response to P therapy. Increased POD activity aids in the conversion of H2O2 into water and oxygen, limiting the accumulation of this damaging ROS. H2O2 is a byproduct of SOD activity. An enzyme CAT converts H2O2 into water and oxygen. P may facilitate the breakdown of H2O2, lowering oxidative stress, according to the enhanced CAT activity shown in plants treated with this element under salt stress conditions. The significance of CAT as a crucial element of the antioxidant defense system is consistent with this mechanistic insight [25,37,38]. Under salt stress conditions, plants dramatically accelerate the production of ROS, and excess ROS causes oxidative damage to plant macromolecules [32]. To control the excessive accumulation of ROS and to protect macromolecules from oxidative damage, plants have evolved stronger ROS-scavenging systems including enzymatic antioxidants (SOD, CAT, and POD) and nonenzymatic antioxidants [9], that treatments activated germination via the effect of SOD and POD. The presented results indicate that the salinity stress tolerance of cotton is correlated with the activation of SOD, POD, and CAT, in agreement with the findings of previous studies [37].
The ascorbate-glutathione cycle, a crucial antioxidant mechanism, includes APX. The increased APX activity under salt stress shows how important this enzyme is for detoxifying H2O2 by utilizing ascorbate as a substrate. Ascorbate functions as a reducing agent, oxidizing to dehydroascorbate while turning H2O2 into water. Treatment with phosphorus probably increases the availability of ascorbate, facilitating the detoxification of H2O2 by APX. According to the molecular explanation of these reactions with antioxidant enzymes, phosphorus treatment strengthens the plant’s antioxidant defense system when exposed to salt stress [25]. Together, these enzymes work to neutralize ROS, which are produced in excess under stressful circumstances. This is consistent with the observation of increased soluble sugar concentrations in treated plants, as a better antioxidant defense system contributes to improved stress tolerance by maintaining cell integrity and turgor pressure. Phosphorous plays a role in reducing salt-induced oxidative stress in cotton plants [25].

5. Conclusions

In conclusion, our study underscores the pivotal role of phosphorus availability in ameliorating the adverse impacts of salinity stress on cotton genotypes. Salinity stress significantly threatens agricultural productivity in regions with limited water resources. Through a hydroponic experiment, we demonstrated that while salinity stress hindered root and shoot growth, biomass production, and chlorophyll content, phosphorus treatment mitigated these effects. By regulating the biosynthesis of key compounds such as total soluble sugars and proline and moderating oxidative stress through H2O2 activity, phosphorus has the potential to enhance stress resistance. Notably, the salt-sensitive genotype exhibited remarkable responses to phosphorus supplementation, shedding light on its potential for stress management. These insights contribute to our understanding of biochemical adaptations and growth dynamics and offer practical avenues for bolstering crop productivity in salt-affected regions, thereby advancing sustainable agricultural practices.

Author Contributions

Writing—original draft preparation, N.M.; methodology, N.M., X.W. and T.L.; writing—review and editing, H.G. and Q.D.; resources, Q.W., N.P., X.Z., X.W., X.M. and M.S.; and supervision, N.M. All authors have read and agreed to the published version of the manuscript.

Funding

The authors express their gratitude for the financial support provided by the Agricultural Science and Technology Innovation Program of the Chinese Academy of Agricultural Sciences and the Natural Science Foundation of Xinjiang Uygur Autonomous Region (grant number 2020D01B61).

Data Availability Statement

The original contributions presented in the study are included in the article, further inquiries can be directed to the corresponding authors.

Conflicts of Interest

The authors declare no conflicts of interest.

Abbreviations

Phosphorus (P); variety1 (V1); sodium-potassium (Na+/K+); day after sowing (DAS); trichloroacetic acid (TCA); thiobarbituric acid (TBA); potassium iodide (KI); hydrogen peroxide (H2O2); oxygen (O2); superoxide dismutase (SOD); reac-tive oxygen species (ROS); ascorbate peroxidase (APX); peroxidase dismutase (POD); catalase (CAT); principal component analysis (PCA).

References

  1. Liu, Y.; Lan, X.; Hou, H.; Ji, J.; Liu, X.; Lv, Z. Multifaceted Ability of Organic Fertilizers to Improve Crop Productivity and Abiotic Stress Tolerance: Review and Perspectives. Agronomy 2024, 14, 1141. [Google Scholar] [CrossRef]
  2. Arun, M.; Radhakrishnan, R.; Ai, T.; Naing, A.; Lee, I.; Kim, C. Nitrogenous compounds enhance the growth of petunia and reprogram biochemical changes against the adverse effect of salinity. J. Hortic. Sci. Biotechnol. 2016, 91, 562. [Google Scholar] [CrossRef]
  3. Xue, T.; Hartikainen, H.; Piironen, V. Antioxidative and growth-promoting effect of selenium on senescing lettuce. Plant Soil 2001, 237, 55–61. [Google Scholar] [CrossRef]
  4. Menezes-Blackburn, D.; Giles, C.; Darch, T.; George, T.S.; Blackwell, M.; Stutter, M.; Shand, C.; Lumsdon, D.; Cooper, P.; Wendler, R.; et al. Opportunities for mobilizing recalcitrant phosphorus from agricultural soils: A review. Plant Soil 2017, 427, 5–16. [Google Scholar] [CrossRef] [PubMed]
  5. Poirier, Y.; Jaskolowski, A.; Clúa, J. Phosphate acquisition and metabolism in plants. Curr. Biol. 2022, 32, R623–R629. [Google Scholar] [CrossRef] [PubMed]
  6. Radhakrishnan, R.; Khan, A.L.; Kang, S.M.; Lee, I.-J. A comparative study of phosphate solubilization and the host plant growth promotion ability of Fusarium verticillioides RK01 and Humicola sp. KNU01 under salt stress. Ann. Microbiol. 2014, 65, 585–593. [Google Scholar] [CrossRef]
  7. Neumann, G.; Martinoia, E. Cluster roots—An underground adaptation for survival in extreme environments. Trends Plant Sci. 2002, 7, 162–167. [Google Scholar] [CrossRef] [PubMed]
  8. Haggag, W.M.; Abouziena, H.; Abd-El-Kreem, F.; El Habbasha, S. Agriculture biotechnology for management of multiple biotic and abiotic environmental stress in crops. J. Chem. Pharm. Res. 2015, 7, 882. [Google Scholar]
  9. Xiao, J.; Wang, M.; Pang, Z.; Dai, L.; Lu, J.; Zou, J. Simultaneous spectrophotometric determination of peracetic acid and the coexistent hydrogen peroxide using potassium iodide as the indicator. Anal. Methods 2019, 11, 1930–1938. [Google Scholar] [CrossRef]
  10. Iqbal, A.; Dong, Q.; Wang, X.; Gui, H.; Zhang, H.; Zhang, X.; Song, M. High nitrogen enhance drought tolerance in cotton through antioxidant enzymatic activities, nitrogen metabolism and osmotic adjustment. Plants 2020, 9, 178. [Google Scholar] [CrossRef]
  11. Li, Y.; You, X.; Tang, Z.; Zhu, T.; Liu, B.; Chen, M.; Xu, Y.; Liu, T. Isolation and identification of plant growth-promoting rhizobacteria from tall fescue rhizosphere and their functions under salt stress. Physiol. Plant. 2022, 174, e13817. [Google Scholar] [CrossRef] [PubMed]
  12. Djanaguiraman, M.; Devi, D.D.; Shanker, A.K.; Sheeba, J.A.; Bangarusamy, U. Selenium—An antioxidative protectant in soybean during senescence. Plant Soil 2005, 272, 77–86. [Google Scholar] [CrossRef]
  13. La Rosa, A.D.; Grammatikos, S.A. Comparative life cycle assessment of cotton and other natural fibers for textile applications. Fibers 2019, 12, 101. [Google Scholar] [CrossRef]
  14. Chen, H.; Feng, H.; Zhang, X.; Zhang, C.; Wang, T.; Dong, J. An Arabidopsis E3 ligase HUB2 increases histone H2B monoubiquitination and enhances drought tolerance in transgenic cotton. Plant Biotechnol. J. 2018, 17, 556–568. [Google Scholar] [CrossRef] [PubMed]
  15. Parihar, P.; Singh, S.; Singh, R.; Singh, V.P.; Prasad, S.M. Effect of salinity stress on plants and its tolerance strategies: A review. Environ. Sci. Pollut. Res. 2014, 22, 4056–4075. [Google Scholar] [CrossRef] [PubMed]
  16. Dien, D.C.; Mochizuki, T.; Yamakawa, T. Effect of various drought stresses and subsequent recovery on proline, total soluble sugar and starch metabolisms in Rice (Oryza sativa L.) varieties. Plant Prod. Sci. 2019, 22, 530–545. [Google Scholar] [CrossRef]
  17. Subramanyam, K.; Du Laing, G.; Van Damme, E.J. Sodium selenate treatment using a combination of seed priming and foliar spray alleviates salinity stress in rice. Front. Plant Sci. 2019, 10, 116. [Google Scholar] [CrossRef]
  18. Schneider, K.D.; Thiessen Martens, J.R.; Zvomuya, F.; Reid, D.K.; Fraser, T.D.; Lynch, D.H.; O’Halloran, I.P.; Wilson, H.F. Options for improved phosphorus cycling and use in agriculture at the field and regional scales. J. Environ. Qual. 2019, 48, 1247–1264. [Google Scholar] [CrossRef]
  19. Sharma, A.; Kumar, V.; Shahzad, B.; Ramakrishnan, M.; Sidhu, G.P.S.; Bali, A.S.; Handa, N.; Kapoor, D.; Yadav, P.; Khanna, K.; et al. Photosynthetic response of plants under different abiotic stresses: A review. J. Plant Growth Regul. 2020, 39, 509–531. [Google Scholar] [CrossRef]
  20. Dong, Y.; Wang, W.; Hu, G.; Chen, W.; Zhuge, Y.; Wang, Z.; He, M.R. Role of exogenous 24-epibrassinolide in enhancing the salt tolerance of wheat seedlings. J. Soil Sci. Plant Nutr. 2017, 17, 554. [Google Scholar] [CrossRef]
  21. Uddin, F. Introductory chapter: Textile manufacturing processes. In Textile Manufacturing Processes; IntechOpen: London, UK, 2019. [Google Scholar]
  22. Lutts, S.; Benincasa, P.; Wojtyla, L.; Kubala, S.; Pace, R.; Lechowska, K.; Garnczarska, M. Seed priming: New comprehensive approaches for an old empirical technique. New Chall. Seed Biol. Basic Transl. Res. Driv. Seed Technol. 2016, 46, 64420. [Google Scholar]
  23. Hussain, M.I.; Lyra, D.-A.; Farooq, M.; Nikoloudakis, N.; Khalid, N. Salt and drought stresses in safflower: A review. Agron. Sustain. Dev. 2015, 36, 4. [Google Scholar] [CrossRef]
  24. Sofo, A.; Scopa, A.; Nuzzaci, M.; Vitti, A. Ascorbate peroxidase and catalase activities and their genetic regulation in plants subjected to drought and salinity stresses. Int. J. Mol. Sci. 2015, 16, 13561–13578. [Google Scholar] [CrossRef] [PubMed]
  25. Ueda, Y.; Wissuwa, M. Physiological evidence that nitrate use positively correlates with internal phosphorus utilization efficiency and phosphorus uptake efficiency in rice (Oryza sativa L.). Plant Soil 2022, 481, 547–561. [Google Scholar] [CrossRef]
  26. Yildiztugay, E.; Ozfidan-Konakci, C.; Kucukoduk, M. Modulation of osmotic adjustment and antioxidant status in salt-stressed leaves of Thermopsis turcica. Acta Physiol. Plant 2014, 36, 125–138. [Google Scholar] [CrossRef]
  27. Khalid, M.F.; Hussain, S.; Ahmad, S.; Ejaz, S.; Zakir, I.; Ali, M.A.; Ahmed, N.; Anjum, M.A. Impacts of Abiotic Stresses on Growth and Development of Plants. In Plant Tolerance to Environmental Stress; CRC Press: Boca Raton, FL, USA, 2019; pp. 1–8. [Google Scholar]
  28. Ali, Y.; Krishnamurthy, L.; Saxena, N.P.; Rupela, O.P.; Kumar, J.; Johansen, C. Scope for genetic manipulation of mineral acquisition in chickpea. In Food Security in Nutrient-Stressed Environments: Exploiting Plants’ Genetic Capabilities; Springer: Berlin/Heidelberg, Germany, 2002; pp. 165–176. [Google Scholar]
  29. Yadav, S.; Modi, P.; Dave, A.; Vijapura, A.; Patel, D.; Patel, M. Effect of Abiotic Stress on Crops. In Sustainable Crop Production; IntechOpen: London, UK, 2020; p. 3. [Google Scholar]
  30. Borie, F.; Aguilera, P.; Castillo, C.; Valentine, A.; Seguel, A.; Barea, J.M.; Cornejo, P. Revisiting the nature of phosphorus pools in Chilean volcanic soils as a basis for arbuscular mycorrhizal management in plant P acquisition. J. Soil Sci. Plant Nutr. 2019, 19, 390. [Google Scholar] [CrossRef]
  31. Seppänen, M.; Turakainen, M.; Hartikainen, H. Selenium effects on oxidative stress in potato. Plant Sci. 2003, 165, 311–319. [Google Scholar] [CrossRef]
  32. Bayuelo-Jiménez, J.S.; Gallardo-Valdéz, M.; Pérez-Decelis, V.A.; Magdaleno-Armas, L.; Ochoa, I.; Lynch, J.P. Genotypic variation for root traits of maize (Zea mays L.) from the Purhepecha Plateau under contrasting phosphorus availability. Field Crops Res. 2011, 121, 350–362. [Google Scholar] [CrossRef]
  33. Malhotra, H.; Sharma, S.; Pandey, R. Phosphorus nutrition: Plant growth in response to deficiency and excess. In Plant Nutrients and Abiotic Stress Tolerance; Springer: Berlin/Heidelberg, Germany, 2018; p. 171. [Google Scholar]
  34. Gurrieri, L.; Merico, M.; Trost, P.; Forlani, G.; Sparla, F. Impact of drought on soluble sugars and free proline content in selected Arabidopsis mutants. Biology 2020, 9, 367. [Google Scholar] [CrossRef]
  35. Ye, Y.; Jia, X.; Xue, M.; Gao, Y.; Yue, H.; Ma, F.; Gong, X. MpSnRK2.10 confers salt stress tolerance in apple via the ABA signaling pathway. Sci. Hortic. 2022, 298, 110998. [Google Scholar] [CrossRef]
  36. Arnao, M.B.; Hernández-Ruiz, J. Functions of melatonin in plants: A review. J. Pineal Res. 2015, 59, 133–150. [Google Scholar] [CrossRef] [PubMed]
  37. Billah, M.; Rohman, M.M.; Hossain, N.; Shalim Uddin, M. Exogenous ascorbic acid improved tolerance in maize (Zea mays L.) by increasing antioxidant activity under salinity stress. Afr. J. Agric. Res. 2017, 12, 1437–1446. [Google Scholar]
  38. Sehar, S.; Adil, M.F.; Zeeshan, M.; Holford, P.; Cao, F.; Wu, F.; Wang, Y. Mechanistic Insights into Potassium-Conferred Drought Stress Tolerance in Cultivated and Tibetan Wild Barley: Differential Osmoregulation, Nutrient Retention, Secondary Metabolism and Antioxidative Defense Capacity. Int. J. Mol. Sci. 2021, 22, 13100. [Google Scholar] [CrossRef] [PubMed]
Figure 1. Comparative impact of different treatments on (A) shoot length (SL) and (B) root length) of two cotton genotypes, JM21 (V1) and SK39 (V2), and their corresponding treatments under different conditions. Data are the means of 2 measurements and a small letter on each bar indicates a significant difference between each material (p < 0.05, LSD).
Figure 1. Comparative impact of different treatments on (A) shoot length (SL) and (B) root length) of two cotton genotypes, JM21 (V1) and SK39 (V2), and their corresponding treatments under different conditions. Data are the means of 2 measurements and a small letter on each bar indicates a significant difference between each material (p < 0.05, LSD).
Agronomy 14 01707 g001
Figure 2. Comparative impact of different treatments on (A) shoot fresh weight (SFW) and (B) shoot dry weight (SDW) of two cotton genotypes, JM21 (V1) and SK39 (V2), and their corresponding treatments under different conditions. Data are the means of 2 measurements and a small letter on each bar indicates a significant difference between each material (p < 0.05, LSD).
Figure 2. Comparative impact of different treatments on (A) shoot fresh weight (SFW) and (B) shoot dry weight (SDW) of two cotton genotypes, JM21 (V1) and SK39 (V2), and their corresponding treatments under different conditions. Data are the means of 2 measurements and a small letter on each bar indicates a significant difference between each material (p < 0.05, LSD).
Agronomy 14 01707 g002
Figure 3. Comparative impact of different treatments on the (A) root fresh weight (RFW) and (B) root dry weight (RDW) of two cotton genotypes, JM21 (V1) and SK39 (V2), and their corresponding treatments under different conditions. Data are the means of 2 measurements and a small letter on each bar indicates a significant difference between each material (p < 0.05, LSD).
Figure 3. Comparative impact of different treatments on the (A) root fresh weight (RFW) and (B) root dry weight (RDW) of two cotton genotypes, JM21 (V1) and SK39 (V2), and their corresponding treatments under different conditions. Data are the means of 2 measurements and a small letter on each bar indicates a significant difference between each material (p < 0.05, LSD).
Agronomy 14 01707 g003
Figure 4. Comparative impact of different (A) total chlorophyll (T.Chl) and (B) total soluble sugar (TSS) contents of two cotton genotypes, JM21 (V1) and SK39 (V2), and their corresponding treatments under different conditions. Data are the means of 2 measurements and a small letter on each bar indicates a significant difference between each material (p < 0.05, LSD).
Figure 4. Comparative impact of different (A) total chlorophyll (T.Chl) and (B) total soluble sugar (TSS) contents of two cotton genotypes, JM21 (V1) and SK39 (V2), and their corresponding treatments under different conditions. Data are the means of 2 measurements and a small letter on each bar indicates a significant difference between each material (p < 0.05, LSD).
Agronomy 14 01707 g004
Figure 5. Comparative impact of different (A) chlorophyll a (Chl a) and (B) chlorophyll b (Chl b) concentrations of two cotton genotypes, JM21 (V1) and SK39 (V2), and their corresponding treatments under different conditions. Data are the means of 2 measurements and a small letter on each bar indicates a significant difference between each material (p < 0.05, LSD).
Figure 5. Comparative impact of different (A) chlorophyll a (Chl a) and (B) chlorophyll b (Chl b) concentrations of two cotton genotypes, JM21 (V1) and SK39 (V2), and their corresponding treatments under different conditions. Data are the means of 2 measurements and a small letter on each bar indicates a significant difference between each material (p < 0.05, LSD).
Agronomy 14 01707 g005
Figure 6. Comparative impact of different treatments on (A) H2O2 and (B) MDA contents of two cotton genotypes, JM21 (V1) and SK39 (V2), and their corresponding treatments under different conditions. Data are the means of 2 measurements and a small letter on each bar indicates a significant difference between each material (p < 0.05, LSD).
Figure 6. Comparative impact of different treatments on (A) H2O2 and (B) MDA contents of two cotton genotypes, JM21 (V1) and SK39 (V2), and their corresponding treatments under different conditions. Data are the means of 2 measurements and a small letter on each bar indicates a significant difference between each material (p < 0.05, LSD).
Agronomy 14 01707 g006
Figure 7. Comparative impact of different treatments on proline contents of two cotton genotypes, JM21 (V1) and SK39 (V2), and their corresponding treatments under different conditions. Data are the means of 2 measurements and a small letter on each bar indicates a significant difference between each material (p < 0.05, LSD).
Figure 7. Comparative impact of different treatments on proline contents of two cotton genotypes, JM21 (V1) and SK39 (V2), and their corresponding treatments under different conditions. Data are the means of 2 measurements and a small letter on each bar indicates a significant difference between each material (p < 0.05, LSD).
Agronomy 14 01707 g007
Figure 8. Antioxidant enzyme activity trends in cotton plants under salt stress and phosphorous treatment: SOD, POD, CAT, and APX levels in response to NaCl stress and phosphorous treatment, illustrating the mechanistic insights into oxidative stress mitigation. All data are mean ± standard deviation. Differences between treatments having different letters above the error bars are significant at p < 0.05.
Figure 8. Antioxidant enzyme activity trends in cotton plants under salt stress and phosphorous treatment: SOD, POD, CAT, and APX levels in response to NaCl stress and phosphorous treatment, illustrating the mechanistic insights into oxidative stress mitigation. All data are mean ± standard deviation. Differences between treatments having different letters above the error bars are significant at p < 0.05.
Agronomy 14 01707 g008
Figure 9. Principal component analysis (PCA) of morphological traits of cotton genotypes in response to changes in each trait’s relative values. (A) JM21 (V1) and (B) SK39 (V2) are indicated in morph physiological traits of 2 cotton genotypes grown under various P concentrations. Dhoot fresh weight; shoot dry weight, root length; root dry weight; MDA; proline; H2O2; photosynthesis; T. Chl a b.
Figure 9. Principal component analysis (PCA) of morphological traits of cotton genotypes in response to changes in each trait’s relative values. (A) JM21 (V1) and (B) SK39 (V2) are indicated in morph physiological traits of 2 cotton genotypes grown under various P concentrations. Dhoot fresh weight; shoot dry weight, root length; root dry weight; MDA; proline; H2O2; photosynthesis; T. Chl a b.
Agronomy 14 01707 g009
Figure 10. Pearson correlation analysis of the relative values of the phenotypic traits of different cotton genotypes. (A) The red boxes represent positive correlations, (B) the blue boxes represents negative correlations, and the size of the number indicates the size of the correlation coefficient.
Figure 10. Pearson correlation analysis of the relative values of the phenotypic traits of different cotton genotypes. (A) The red boxes represent positive correlations, (B) the blue boxes represents negative correlations, and the size of the number indicates the size of the correlation coefficient.
Agronomy 14 01707 g010
Disclaimer/Publisher’s Note: The statements, opinions and data contained in all publications are solely those of the individual author(s) and contributor(s) and not of MDPI and/or the editor(s). MDPI and/or the editor(s) disclaim responsibility for any injury to people or property resulting from any ideas, methods, instructions or products referred to in the content.

Share and Cite

MDPI and ACS Style

Muhammad, N.; Luo, T.; Gui, H.; Dong, Q.; Wang, Q.; Pang, N.; Zhang, X.; Wang, X.; Ma, X.; Song, M. Effects of Phosphorus-Mediated Alleviation of Salt Stress on Cotton Genotypes: Biochemical Responses and Growth Adaptations. Agronomy 2024, 14, 1707. https://doi.org/10.3390/agronomy14081707

AMA Style

Muhammad N, Luo T, Gui H, Dong Q, Wang Q, Pang N, Zhang X, Wang X, Ma X, Song M. Effects of Phosphorus-Mediated Alleviation of Salt Stress on Cotton Genotypes: Biochemical Responses and Growth Adaptations. Agronomy. 2024; 14(8):1707. https://doi.org/10.3390/agronomy14081707

Chicago/Turabian Style

Muhammad, Noor, Tong Luo, Huiping Gui, Qiang Dong, Qianqian Wang, Nianchang Pang, Xiling Zhang, Xiangru Wang, Xiaoyan Ma, and Meizheng Song. 2024. "Effects of Phosphorus-Mediated Alleviation of Salt Stress on Cotton Genotypes: Biochemical Responses and Growth Adaptations" Agronomy 14, no. 8: 1707. https://doi.org/10.3390/agronomy14081707

APA Style

Muhammad, N., Luo, T., Gui, H., Dong, Q., Wang, Q., Pang, N., Zhang, X., Wang, X., Ma, X., & Song, M. (2024). Effects of Phosphorus-Mediated Alleviation of Salt Stress on Cotton Genotypes: Biochemical Responses and Growth Adaptations. Agronomy, 14(8), 1707. https://doi.org/10.3390/agronomy14081707

Note that from the first issue of 2016, this journal uses article numbers instead of page numbers. See further details here.

Article Metrics

Back to TopTop