From Marginal Lands to Biofuel Bounty: Predicting the Distribution of Oilseed Crop Idesia polycarpa in Southern China’s Karst Ecosystem
Abstract
1. Introduction
2. Materials and Methods
2.1. Study Area
2.2. Compilation of Occurrence Data
2.3. Selection and Preprocessing of Environmental Variables
2.4. Establishment of Models
2.5. Model Accuracy Assessment
2.6. Suitable Area Classification
3. Results
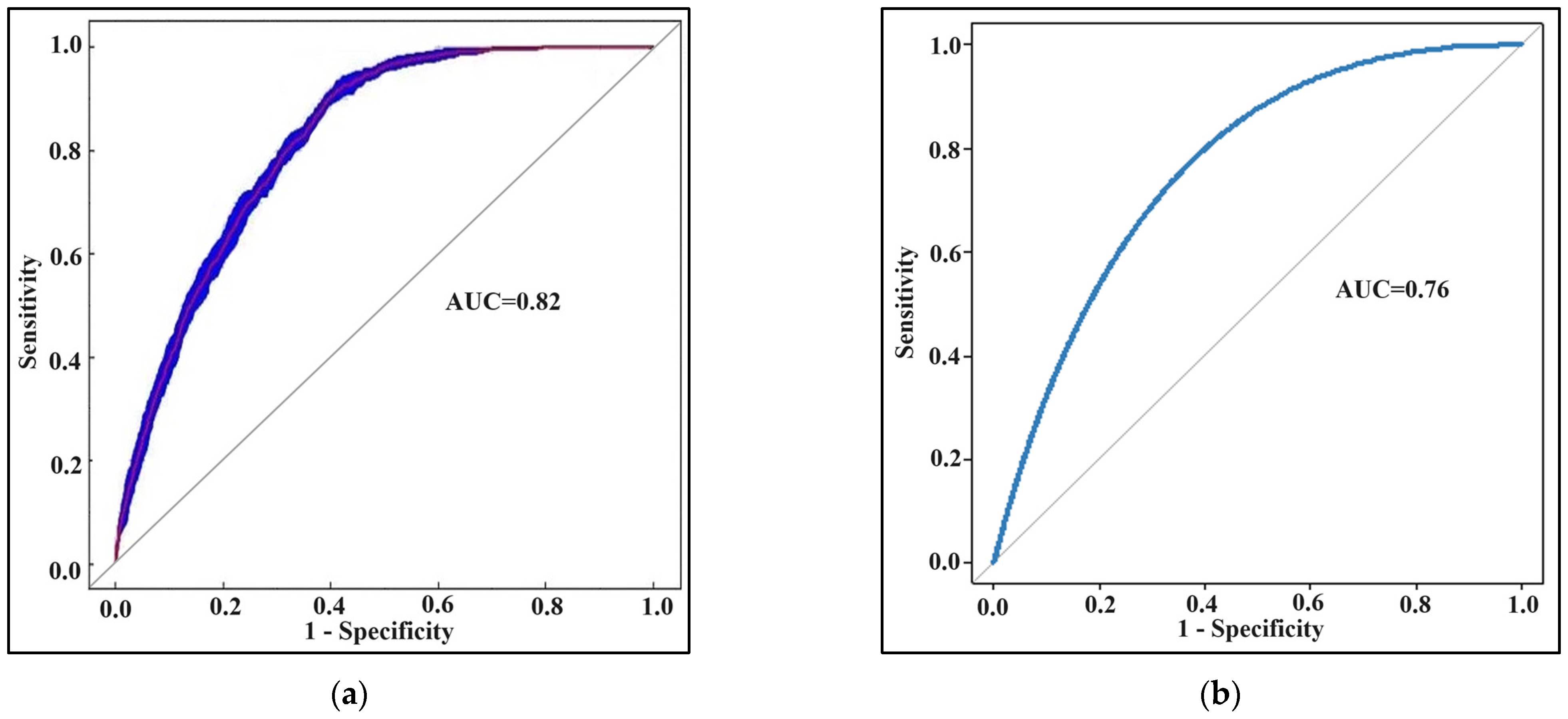
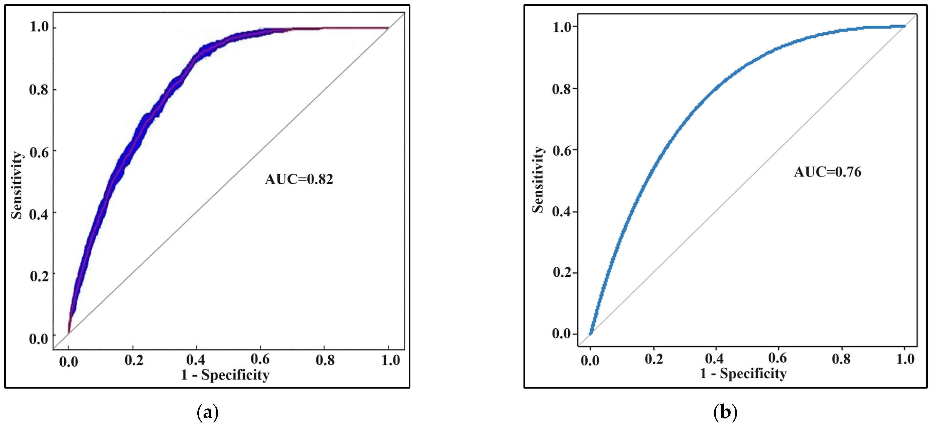
3.1. Model Accuracy
3.2. Distribution Patterns of Suitable Areas in the Karst Region of Southern China
3.3. Proportion of Suitable Areas in Impoverished Regions
4. Discussion
4.1. Spatial Distribution of Idesia polycarpa Suitability in Southern China’s Karst Region
4.2. Sustainable Development through Idesia polycarpa: Enhancing China’s Food and Energy Security
4.3. Ecological and Economic Synergies in the Southern Karst Region: The Role of Idesia polycarpa Cultivation
5. Conclusions
Author Contributions
Funding
Data Availability Statement
Acknowledgments
Conflicts of Interest
References
- Hussain, S.A.; Razi, F.; Hewage, K.; Sadiq, R. The Perspective of Energy Poverty and 1st Energy Crisis of Green Transition. Energy 2023, 275, 127487. [Google Scholar] [CrossRef]
- Fargione, J.E.; Plevin, R.J.; Hill, J.D. The Ecological Impact of Biofuels. Annu. Rev. Ecol. Evol. Syst. 2010, 41, 351–377. [Google Scholar] [CrossRef]
- Carriquiry, M.A.; Du, X.; Timilsina, G.R. Second Generation Biofuels: Economics and Policies. Energy Policy 2011, 39, 4222–4234. [Google Scholar] [CrossRef]
- Rahman, M.M.; Mostafiz, S.B.; Paatero, J.V.; Lahdelma, R. Extension of Energy Crops on Surplus Agricultural Lands: A Potentially Viable Option in Developing Countries While Fossil Fuel Reserves Are Diminishing. Renew. Sustain. Energy Rev. 2014, 29, 108–119. [Google Scholar] [CrossRef]
- Qaseem, M.F.; Wu, A.-M. Marginal Lands for Bioenergy in China; an Outlook in Status, Potential and Management. GCB Bioenergy 2021, 13, 21–44. [Google Scholar] [CrossRef]
- Luty, L.; Zioło, M.; Knapik, W.; Bąk, I.; Kukuła, K. Energy Security in Light of Sustainable Development Goals. Energies 2023, 16, 1390. [Google Scholar] [CrossRef]
- Tang, Y.; Xie, J.-S.; Geng, S. Marginal Land-Based Biomass Energy Production in China. J. Integr. Plant Biol. 2010, 52, 112–121. [Google Scholar] [CrossRef] [PubMed]
- Zhuang, D.; Jiang, D.; Liu, L.; Huang, Y. Assessment of Bioenergy Potential on Marginal Land in China. Renew. Sustain. Energy Rev. 2011, 15, 1050–1056. [Google Scholar] [CrossRef]
- Tang, C.; Li, S.; Li, M.; Xie, G.H. Bioethanol Potential of Energy Sorghum Grown on Marginal and Arable Lands. Front. Plant Sci. 2018, 9, 291348. [Google Scholar] [CrossRef] [PubMed]
- Wang, S.; Zhang, X.; Bai, X. An Outline of Karst Geomorphology Zoning in the Karst Areas of Southern China. J. Mt. Sci. 2015, 33, 641–648. [Google Scholar] [CrossRef]
- Liu, C.; Lang, Y.; Li, S.; Piao, H.; Tu, C.; Liu, Z.; Zhang, W.; Zhu, S. Researches on biogeochemical processes and nutrient cycling in karstic ecological systems, southwest China: A review. Earth Sci. Front. 2009, 16, 1–12. [Google Scholar]
- Wu, Y.; Gu, L.; Li, S.; Guo, C.; Yang, X.; Xu, Y.; Yue, F.; Peng, H.; Chen, Y.; Yang, J.; et al. Responses of NDVI to Climate Change and LUCC along Large-Scale Transportation Projects in Fragile Karst Areas, SW China. Land 2022, 11, 1771. [Google Scholar] [CrossRef]
- Yan, J.; Li, J.; Ye, Q.; Li, K. Concentrations and Exports of Solutes from Surface Runoff in Houzhai Karst Basin, Southwest China. Chem. Geol. 2012, 304–305, 1–9. [Google Scholar] [CrossRef]
- Wang, K.; Cheng, H.; Zeng, F.; Yue, Y.; Zhang, W.; Fu, Z. Alleviation in Karst Region of Southwest China. Bull. Chin. Acad. Sci. 2018, 33, 213–222. [Google Scholar] [CrossRef]
- Chen, Q.; Lu, S.; Xiong, K.; Zhao, R. Coupling Analysis on Ecological Environment Fragility and Poverty in South China Karst. Environ. Res. 2021, 201, 111650. [Google Scholar] [CrossRef] [PubMed]
- Wang, L.; Lee, D.; Zuo, P.; Zhou, Y.; Xu, Y. Karst Environment and Eco-Poverty in Southwestern China: A Case Study of Guizhou Province. Chin. Geogr. Sci. 2004, 14, 21–27. [Google Scholar] [CrossRef]
- Dai, G.; Xie, S.; Liu, F.; Wang, J. Afforestation Techniques for Ecology Resume and Reconstruction in Rocky Desertification Mountain Region of Chongqing——Take Idesia polycarpa as the Example. Hubei Agric. Sci. 2012, 51, 770–775. [Google Scholar] [CrossRef]
- Mo, K.; Zhang, Z.; Luo, X.; Yang, L. Exploitage of Idesia polycarpa Oil. Sci. Technol. Cereals Oils Foods 2009, 17, 23–25. [Google Scholar] [CrossRef]
- Gong, B.; Li, D.; Jiang, X.; Wu, K.; Peng, J.; Bai, J. Variation Analysis of Composition of Fatty Acids of Fruit of Idesia polycarpa from Different Population. Plant Physiol. J. 2012, 48, 505–510. [Google Scholar] [CrossRef]
- Dai, G.; Xie, S.; Wan, T.; An, X. Outlook and Prospect for Idesia polycarpa Exploitage. J. Chongqing Three Gorges Univ. 2011, 27, 105–109. [Google Scholar] [CrossRef]
- Yang, F.-X.; Su, Y.-Q.; Li, X.-H.; Zhang, Q.; Sun, R.-C. Preparation of Biodiesel from Idesia polycarpa var. vestita Fruit Oil. Ind. Crops Prod. 2009, 29, 622–628. [Google Scholar] [CrossRef]
- Carpenter, G.; Gillison, A.N.; Winter, J. DOMAIN: A Flexible Modelling Procedure for Mapping Potential Distributions of Plants and Animals. Biodivers. Conserv. 1993, 2, 667–680. [Google Scholar] [CrossRef]
- Yee, T.W.; Mitchell, N.D. Generalized Additive Models in Plant Ecology. J. Veg. Sci. 1991, 2, 587–602. [Google Scholar] [CrossRef]
- Lehmann, A.; Overton, J.M.; Leathwick, J.R. GRASP: Generalized Regression Analysis and Spatial Prediction. Ecol. Model. 2002, 157, 189–207. [Google Scholar] [CrossRef]
- Hirzel, A.; Guisan, A. Which Is the Optimal Sampling Strategy for Habitat Suitability Modelling. Ecol. Model. 2002, 157, 331–341. [Google Scholar] [CrossRef]
- O’Hanley, J.R. NeuralEnsembles: A Neural Network Based Ensemble Forecasting Program for Habitat and Bioclimatic Suitability Analysis. Ecography 2009, 32, 89–93. [Google Scholar] [CrossRef]
- Tantipisanuh, N.; Gale, G.A.; Pollino, C. Bayesian Networks for Habitat Suitability Modeling: A Potential Tool for Conservation Planning with Scarce Resources. Ecol. Appl. 2014, 24, 1705–1718. [Google Scholar] [CrossRef] [PubMed]
- Zhao, X.; Zheng, Y.; Wang, W.; Wang, Z.; Zhang, Q.; Liu, J.; Zhang, C. Habitat Suitability Evaluation of Different Forest Species in Lvliang Mountain by Combining Prior Knowledge and MaxEnt Model. Forests 2023, 14, 438. [Google Scholar] [CrossRef]
- Tsoar, A.; Allouche, O.; Steinitz, O.; Rotem, D.; Kadmon, R. A Comparative Evaluation of Presence-Only Methods for Modelling Species Distribution. Divers. Distrib. 2007, 13, 397–405. [Google Scholar] [CrossRef]
- Olden, J.D.; Lawler, J.J.; Poff, N.L. Machine Learning Methods without Tears: A Primer for Ecologists. Q. Rev. Biol. 2008, 83, 171–193. [Google Scholar] [CrossRef] [PubMed]
- Phillips, S.J.; Anderson, R.P.; Schapire, R.E. Maximum Entropy Modeling of Species Geographic Distributions. Ecol. Model. 2006, 190, 231–259. [Google Scholar] [CrossRef]
- Ao, Y.; Li, H.; Zhu, L.; Ali, S.; Yang, Z. The Linear Random Forest Algorithm and Its Advantages in Machine Learning Assisted Logging Regression Modeling. J. Pet. Sci. Eng. 2019, 174, 776–789. [Google Scholar] [CrossRef]
- Fawagreh, K.; Gaber, M.M.; Elyan, E. Random Forests: From Early Developments to Recent Advancements. Syst. Sci. Control Eng. 2014, 2, 602–609. [Google Scholar] [CrossRef]
- Xiao, J.; Wang, S.; Bai, X.; Zhou, D.; Tian, Y.; Li, Q.; Wu, L.; Qian, Q.; Chen, F.; Zeng, C. Determinants and spatial-temporal evolution of vegetation coverage in the karst critical zone of South China. Acta Ecol. Sin. 2018, 38, 8799–8812. [Google Scholar]
- Zhou, W.; Li, J.; Liu, Y.; Xie, Z. Resources of woody oil plant in Wuling mountainous area and prospect of its development and utilization. Food Mach. 2013, 29, 218–222. [Google Scholar]
- Xiong, D.; Li, S.; Zhou, B.; Hu, Y.; Song, F. Benefit Analysis of Walnut Understory Compound Management Model in Wuling Mountain Area. South China Agric. 2019, 13, 92–93. [Google Scholar] [CrossRef]
- Zhang, R. Economic forest resources in Qinba Mountainous Area and its rational development and utilization. Shanxi J. Agric. Sci. 1988, 2, 36–38. [Google Scholar]
- Gou, Z. Development status and main problems of walnut industry in Qinba mountain area. Farmers Consult. 2018, 4, 106. [Google Scholar]
- Zhang, S. Analysis of Genetic Variation and ISSR of Sapium sebiferum Traits in Dabie Mountain, Hubei Province. Master’s Thesis, Huazhong Agricultural University, Wuhan, China, 2010. [Google Scholar]
- Ferguson, C.J. An effect size primer: A guide for clinicians and researchers. Prof. Psychol. Res. Pract. 2009, 40, 532–538. [Google Scholar] [CrossRef]
- Wei, B.; Wang, R.; Hou, K.; Wang, X.; Wu, W. Predicting the Current and Future Cultivation Regions of Carthamus tinctorius L. Using MaxEnt Model under Climate Change in China. Glob. Ecol. Conserv. 2018, 16, e00477. [Google Scholar] [CrossRef]
- Zhao, Z.; Xiao, N.; Shen, M.; Li, J. Comparison between Optimized MaxEnt and Random Forest Modeling in Predicting Potential Distribution: A Case Study with Quasipaa boulengeri in China. Sci. Total Environ. 2022, 842, 156867. [Google Scholar] [CrossRef] [PubMed]
- Barbet-Massin, M.; Jiguet, F.; Albert, C.H.; Thuiller, W. Selecting Pseudo-Absences for Species Distribution Models: How, Where and How Many? Methods Ecol. Evol. 2012, 3, 327–338. [Google Scholar] [CrossRef]
- Thuiller, W.; Lafourcade, B.; Engler, R.; Araújo, M.B. BIOMOD—A Platform for Ensemble Forecasting of Species Distributions. Ecography 2009, 32, 369–373. [Google Scholar] [CrossRef]
- Liaw, A.; Wiener, M. Classification and Regression by Random Forest. R News 2002, 2, 18–22. [Google Scholar]
- Araújo, M.B.; Pearson, R.G.; Thuiller, W.; Erhard, M. Validation of Species–Climate Impact Models under Climate Change. Glob. Chang. Biol. 2005, 11, 1504–1513. [Google Scholar] [CrossRef]
- Zhou, G.; Wu, F.; Li, C.; He, C.; Guo, L. Advance in Studies of the Resource Exploration of Idesia polycarpa in Chaotian District of Guangyuan City. J. Sichuan For. Sci. Technol. 2009, 30, 70–73. [Google Scholar] [CrossRef]
- Guo, Y.; Liu, Y. Sustainable Poverty Alleviation and Green Development in China’s Underdeveloped Areas. J. Geogr. Sci. 2022, 32, 23–43. [Google Scholar] [CrossRef]
- Gelfand, I.; Sahajpal, R.; Zhang, X.; Izaurralde, R.C.; Gross, K.L.; Robertson, G.P. Sustainable Bioenergy Production from Marginal Lands in the US Midwest. Nature 2013, 493, 514–517. [Google Scholar] [CrossRef] [PubMed]
- Nitsche, M.; Hensgen, F.; Wachendorf, M. Using Grass Cuttings from Sports Fields for Anaerobic Digestion and Combustion. Energies 2017, 10, 388. [Google Scholar] [CrossRef]
- Qin, Z.; Zhuang, Q.; Zhu, X.; Cai, X.; Zhang, X. Carbon Consequences and Agricultural Implications of Growing Biofuel Crops on Marginal Agricultural Lands in China. Environ. Sci. Technol. 2011, 45, 10765–10772. [Google Scholar] [CrossRef]
- Wu, L.; Deng, W.; Lu, X.; Niu, C.; Tian, H.; Li, Z. Research progress in the development and utilization of Idesia polycarpa. Non-Wood For. Res. 2023, 41, 242–252. [Google Scholar] [CrossRef]
- Zhou, Y.; Zhao, W.; Lai, Y.; Zhang, B.; Zhang, D. Edible plant oil: Global status, health issues, and perspectives. Front. Plant Sci. 2020, 11, 1315. [Google Scholar] [CrossRef] [PubMed]
- Lewandowski, I. Securing a Sustainable Biomass Supply in a Growing Bioeconomy. Glob. Food Secur. 2015, 6, 34–42. [Google Scholar] [CrossRef]
- Liu, Y.; Deng, X.; Hu, Y. Rocky Land Degradation and Poverty Alleviation Strategy in Guangxi Karst Mountainous Area. J. Mt. Sci. 2006, 24, 228–233. [Google Scholar]
- Wu, Y.; Liu, L.; Guo, C.; Zhang, Z.; Hu, G.; Ni, J. Low carbon storage of woody debris in a karst forest in southwestern China. Acta Geochim. 2019, 38, 576–586. [Google Scholar] [CrossRef]
- Zhou, Y.; Li, Y.; Liu, Y. The Nexus between Regional Eco-Environmental Degradation and Rural Impoverishment in China. Habitat Int. 2020, 96, 102086. [Google Scholar] [CrossRef]
- Fu, B.; Chen, L.; Ma, K.; Zhou, H.; Wang, J. The Relationships between Land Use and Soil Conditions in the Hilly Area of the Loess Plateau in Northern Shaanxi, China. CATENA 2000, 39, 69–78. [Google Scholar] [CrossRef]
- Shen, H.; Liu, Z.; Xiong, K.; Li, L. A Study Revelation on Market and Value-Realization of Ecological Product to the Control of Rocky Desertification in South China Karst. Sustainability 2022, 14, 3060. [Google Scholar] [CrossRef]
- Liu, F.; Luo, J.; Yang, J. The Geographical Distribution and Potential Suitable Cultivation Area Zoning of Chinese Parasol. For. Res. 2017, 30, 1028–1033. [Google Scholar] [CrossRef]
- Liu, Y.; Zhou, Y.; Liu, J. Regional Differentiation Characteristics of Rural Poverty and Targeted Poverty Alleviation Strategy in China. Bull. Chin. Acad. Sci. 2016, 31, 269–278. [Google Scholar] [CrossRef]






| Variable | Description | Unit |
|---|---|---|
| bio1 | Annual mean temperature | °C |
| bio2 | Mean diurnal range (mean of monthly (max − min temp)) | °C |
| bio3 | Isothermality (Bio2/Bio7) (×100) | - |
| bio4 | Temperature seasonality (standard deviation ×100) | - |
| bio5 | Maximum temperature of the warmest month | °C |
| bio6 | Minimum temperature of the coldest month | °C |
| bio7 | Temperature annual range (Bio5–Bio6) | °C |
| bio8 | Mean temperature of the wettest quarter | °C |
| bio9 | Mean temperature of the driest quarter | °C |
| bio10 | Mean temperature of the warmest quarter | °C |
| bio11 | Mean temperature of the coldest quarter | °C |
| bio12 | Annual precipitation | mm |
| bio13 | Precipitation of the wettest month | mm |
| bio14 | Precipitation of the driest month | mm |
| bio15 | Precipitation seasonality (coefficient of variation) | - |
| bio16 | Precipitation of the wettest quarter | mm |
| bio17 | Precipitation of the driest quarter | mm |
| bio18 | Precipitation of the warmest quarter | mm |
| bio19 | Precipitation of the coldest quarter | mm |
| karst | Karst distribution | - |
| karst | bio15 | bio18 | bio2 | bio3 | bio5 | |
|---|---|---|---|---|---|---|
| bio15 | 0.10 | |||||
| bio18 | 0.05 | 0.05 | ||||
| bio2 | 0.07 | 0.48 | 0.45 | |||
| bio3 | 0.05 | 0.66 | 0.03 | 0.77 | ||
| bio5 | 0.06 | 0.62 | 0.36 | 0.63 | 0.62 | |
| bio8 | 0.05 | 0.26 | 0.61 | 0.61 | 0.37 | 0.80 |
Disclaimer/Publisher’s Note: The statements, opinions and data contained in all publications are solely those of the individual author(s) and contributor(s) and not of MDPI and/or the editor(s). MDPI and/or the editor(s) disclaim responsibility for any injury to people or property resulting from any ideas, methods, instructions or products referred to in the content. |
© 2024 by the authors. Licensee MDPI, Basel, Switzerland. This article is an open access article distributed under the terms and conditions of the Creative Commons Attribution (CC BY) license (https://creativecommons.org/licenses/by/4.0/).
Share and Cite
Wu, Y.; Yuan, P.; Li, S.; Guo, C.; Yue, F.; Luo, G.; Yang, X.; Zhang, Z.; Zhang, Y.; Yang, J.; et al. From Marginal Lands to Biofuel Bounty: Predicting the Distribution of Oilseed Crop Idesia polycarpa in Southern China’s Karst Ecosystem. Agronomy 2024, 14, 1563. https://doi.org/10.3390/agronomy14071563
Wu Y, Yuan P, Li S, Guo C, Yue F, Luo G, Yang X, Zhang Z, Zhang Y, Yang J, et al. From Marginal Lands to Biofuel Bounty: Predicting the Distribution of Oilseed Crop Idesia polycarpa in Southern China’s Karst Ecosystem. Agronomy. 2024; 14(7):1563. https://doi.org/10.3390/agronomy14071563
Chicago/Turabian StyleWu, Yangyang, Panli Yuan, Siliang Li, Chunzi Guo, Fujun Yue, Guangjie Luo, Xiaodong Yang, Zhonghua Zhang, Ying Zhang, Jinli Yang, and et al. 2024. "From Marginal Lands to Biofuel Bounty: Predicting the Distribution of Oilseed Crop Idesia polycarpa in Southern China’s Karst Ecosystem" Agronomy 14, no. 7: 1563. https://doi.org/10.3390/agronomy14071563
APA StyleWu, Y., Yuan, P., Li, S., Guo, C., Yue, F., Luo, G., Yang, X., Zhang, Z., Zhang, Y., Yang, J., Wu, H., & Zhou, G. (2024). From Marginal Lands to Biofuel Bounty: Predicting the Distribution of Oilseed Crop Idesia polycarpa in Southern China’s Karst Ecosystem. Agronomy, 14(7), 1563. https://doi.org/10.3390/agronomy14071563

