Effects of Biochar Pyrolysis Temperature and Application Rate on Saline Soil Quality and Maize Yield
Abstract
1. Introduction
2. Materials and Methods
2.1. Overview of the Experimental Site
2.1.1. Study Site
2.1.2. Initial Soil Properties
2.2. Biochar Preparation and Characteristics
2.2.1. Source of Raw Materials
2.2.2. Preparation Method for the Biochar
2.3. Experimental Design
2.3.1. Biochar Treatment
2.3.2. Maize Planting and Drip Irrigation System Arrangement
2.3.3. Irrigation and Fertilization
2.4. Measurement Indicators and Methods
2.4.1. Soil Bulk Density and Porosity
2.4.2. Soil Moisture Content and Electrical Conductivity (EC)
2.4.3. Soil Nutrient Content
2.4.4. Measurement of Maize Yield
2.5. Soil Quality Index (SQI) Evaluation
2.5.1. Soil Indicator Scores
2.5.2. Soil Quality Index (SQI)
2.6. Data Processing and Analysis
3. Results and Analysis
3.1. The Impact of Biochar Produced at Different Pyrolysis Temperatures on Soil Properties
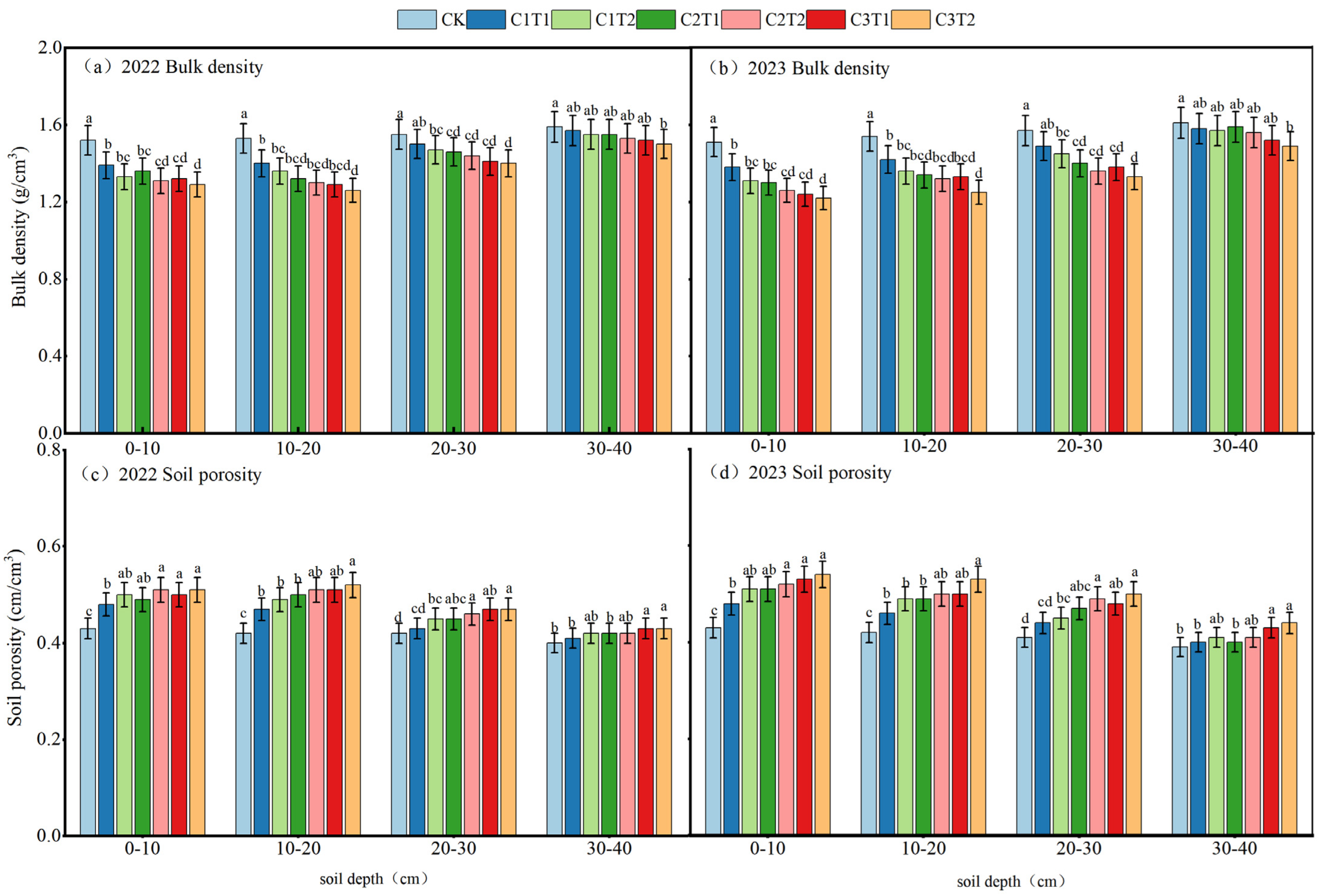
3.1.1. The Effects of Biochar Produced at Different Pyrolysis Temperatures on Soil Bulk Density and Porosity
3.1.2. The Impact of Biochar Produced at Different Pyrolysis Temperatures on Soil Moisture
3.1.3. The Impact of Biochar Produced at Different Pyrolysis Temperatures on Soil Salinity
3.1.4. The Impact of Biochar Produced at Different Pyrolysis Temperatures on Soil Nutrients
3.2. Soil Quality Evaluation
3.2.1. Principal Component Analysis (PCA)
3.2.2. Soil Quality Index (SQI)
3.3. Corn Yield and Its Relationship with Soil Quality Index
4. Discussion
4.1. Effect of Biochar on Soil Characteristics
4.1.1. Soil Bulk Density and Porosity
4.1.2. Characteristics of Soil Moisture and Salinity Distribution
4.1.3. Soil Nutrients
4.2. Relationship between Mazie Yield and SQI
5. Conclusions
- (1)
- Biochar produced at medium and high pyrolysis temperatures (500 and 700 °C) effectively alleviated soil compaction, improved the soil water and salt conditions, increased the soil organic carbon content, and increased the crop yield at low application rates (10 t/ha). However, further increasing the application rate of biochar resulted in increased soil salinity and decreased soil water retention capacity, leading to reduced crop yield.
- (2)
- Compared with the control without biochar application, different pyrolysis temperature biochar treatments significantly increased the soil quality index (SQI), with the greatest increase observed with biochar produced at high pyrolysis temperature (700 °C) under low application rates (10 t/ha). This enhancement is primarily attributed to improvements in soil physical properties and soil water and salt conditions.
- (3)
- There was a strong correlation between the soil quality index (SQI) and maize yield, which was attributed to the reduction in soil salinity, increased soil moisture, and elevated soil organic carbon content under the biochar treatments. These findings indicate that biochar-induced improvements in soil quality contribute to the increase in maize yield.
Author Contributions
Funding
Data Availability Statement
Conflicts of Interest
References
- Cho, K.H.; Beon, M.S.; Jeong, J.C. Dynamics of soil salinity and vegetation in areclaimed area in Saemangeum, Republic of Korea. Geoderma 2018, 321, 42–51. [Google Scholar] [CrossRef]
- Sun, J.; Yang, R.; Li, W.; Pan, Y.; Zheng, M.; Zhang, Z. Effect of biochar amendment on water infiltration in a coastal saline soil. J. Soil. Sediment. 2018, 18, 3271–3279. [Google Scholar] [CrossRef]
- Zhou, R.; Li, Y.; Wu, J.; Gao, M.; Wu, X.; Bi, X. Need to link river management with estuarine wetland conservation: A case study in the Yellow River Delta, China. Ocean Coast. Manag. 2017, 146, 43–49. [Google Scholar] [CrossRef]
- Nouri, H.; Chavoshi Borujeni, S.; Nirola, R.; Hassanli, A.; Beecham, S.; Alaghmand, S.; Saint, C.; Mulcahy, D. Application of green remediation on soil salinity treatment: A review on halophytoremediation. Process Saf. Environ. Prot. 2017, 107, 94–107. [Google Scholar] [CrossRef]
- Amini, S.; Ghadiri, H.; Chen, C.; Marschner, P. Salt-affected soils, reclamation, carbon dynamics, and biochar: A review. J. Soil Sediment. 2016, 16, 939–953. [Google Scholar] [CrossRef]
- Zheng, H.; Wang, X.; Chen, L.; Wang, Z.; Xia, Y.; Zhang, Y.; Wang, H.; Luo, X.X.; Xing, B.S. Enhanced growth of halophyte plants in biochar-amended coastal soil: Roles of nutrient availability and rhizosphere microbial modulation. Plant Cell Environ. 2018, 41, 517–532. [Google Scholar] [CrossRef]
- Fidel, R.B.; Laird, D.A.; Thompson, M.L.; Lawrinenko, M. Characterization and quantification of biochar alkalinity. Chemosphere 2017, 167, 367–373. [Google Scholar] [CrossRef] [PubMed]
- Yuan, J.H.; Xu, R.K.; Zhang, H. The forms of alkalis in the biochar produced from crop residues at different temperatures. Bioresour. Technol. 2011, 102, 3488–3497. [Google Scholar] [CrossRef] [PubMed]
- Zhang, J.H.; Bai, Z.G.; Huang, J.; Hussain, S.; Zhao, F.T.; Zhu, C.J.; Zhu, L.F.; Cao, X.C.; Jin, Q.Y. Biochar alleviated the salt stress of induced saline paddy soil and improved the biochemical characteristics of rice seedlings differing in salt tolerance. Soil Tillage Res. 2019, 195, 104372. [Google Scholar] [CrossRef]
- Zhang, J.; Liu, J.; Liu, R. Effects of pyrolysis temperature and heating time on biochar obtained from the pyrolysis of straw and lignosulfonate. Bioresour. Technol. 2015, 176, 288–291. [Google Scholar] [CrossRef]
- Gell, K.; van Groenigen, J.W.; Cayuela, M.L. Residues of bioenergy production chains as soil amendments: Immediate and temporal phytotoxicity. J. Hazard. Mater. 2011, 186, 2017–2025. [Google Scholar] [CrossRef]
- Zhao, L.; Guan, H.; Wang, R.; Wang, H.; Xu, W. Effects of tobacco stem-derived biochar on soil properties and bacterial community structure under continuous cropping of bletilla striata. J. Soil Sci. Plant Nutr. 2021, 21, 1318–1328. [Google Scholar] [CrossRef]
- Zhao, W.; Zhou, Q.; Tian, Z.; Cui, Y.; Wang, H. Apply biochar to ameliorate soda saline-alkali land, improve soil function and increase corn nutrient availability in the songnen plain. Sci. Total Environ. 2020, 722, 137428. [Google Scholar] [CrossRef] [PubMed]
- Fu, Q.; Zhao, H.; Li, T.; Hou, R.; Liu, D.; Ji, Y.; Zhou, Z.; Yang, L. Effects of biochar addition on soil hydraulic properties before and after freezing-thawing. Catena 2019, 176, 112–124. [Google Scholar] [CrossRef]
- Biederman, L.A.; Harpole, W.S. Biochar and its effects on plant productivity and nutrient cycling: A meta-analysis. GCB Bioenergy 2013, 5, 202–214. [Google Scholar] [CrossRef]
- Li, C.J.; Xiong, Y.X.; Qu, Z.Y.; Xu, X.; Huang, Q.Z.; Huang, G.H. Impact of biochar addition on soil properties and water-fertilizer productivity of tomato in semi-arid region of Inner Mongolia, China. Geoderma 2018, 331, 100–108. [Google Scholar] [CrossRef]
- Wang, L.; Ok, Y.S.; Tsang, D.C.; Alessi, D.S.; Rinklebe, J.; Wang, H.; Hou, D. New trends in biochar pyrolysis and modification strategies: Feedstock, pyrolysis conditions, sustainability concerns and implications for soil amendment. Soil Use Manag. 2020, 36, 358–386. [Google Scholar] [CrossRef]
- Wu, Y.; Wang, X.; Zhang, L.; Zheng, Y.; Liu, X.; Zhang, Y. The critical role of biochar to mitigate the adverse impacts of drought and salinity stress in plants. Front. Recent Dev. Plant Sci. 2023, 14, 1163451. [Google Scholar] [CrossRef]
- Soil Survey Staff. Keys to Soil Taxonomy; United States Department of Agriculture: New York, NY, USA, 2014; pp. 65–69. [Google Scholar]
- Bao, S.D. Soil and Agricultural Chemistry Analysis; China Agriculture Press: Beijing, China, 2000; pp. 151–166. [Google Scholar]
- Liang, J.; Li, Y.; Si, B.; Wang, Y.; Biswas, A. Optimizing biochar application to improve soil physical and hydraulic properties in saline-alkali soils. Sci. Total Environ. 2021, 771, 144802. [Google Scholar] [CrossRef]
- Zhou, Y.; Berruti, F.; Greenhalf, C.; Tian, X.; Henry, H.A. Increased retention of soil nitrogen over winter by biochar application: Implications of biochar pyrolysis temperature for plant nitrogen availability. Agric. Environ. 2017, 236, 61–68. [Google Scholar] [CrossRef]
- Murphy, J.; Riley, J.P. A modified single solution method for the determination of phosphate in natural waters. Anal. Chim. Acta 1962, 27, 31–36. [Google Scholar] [CrossRef]
- Shang, Q.; Ling, N.; Feng, X.; Yang, X.; Wu, P.; Zou, J.; Shen, Q.; Guo, S. Soil fertility and its significance to crop productivity and sustainability in typical agroecosystem: A summary of long-term fertilizer experiments in China. Plant Soil 2014, 381, 13–23. [Google Scholar] [CrossRef]
- Xu, J.; Han, H.F.; Ning, T.Y.; Li, Z.J.; Lal, R. Long-term effects of tillage and straw management on soil organic carbon, crop yield, and yield stability in a wheat-maize system. Field Crop. Res. 2019, 233, 33–40. [Google Scholar] [CrossRef]
- He, K.; He, G.; Wang, C.; Zhang, H.; Xu, Y.; Wang, S.; Hu, R. Biochar amendment ameliorates soil properties and promotes Miscanthus growth in a coastal saline-alkali soil. Appl. Soil Ecol. 2020, 155, 103674. [Google Scholar] [CrossRef]
- Koide, R.T.; Nguyen, B.T.; Skinner, R.H.; Dell, C.J.; Peoples, M.S.; Adler, P.R. Biochar amendment of soil improves resilience to climate change. GCB. Bioenergy 2015, 7, 1084–1091. [Google Scholar] [CrossRef]
- Trifunovic, B.; Gonzales, H.B.; Ravi, S.; Sharratt, B.S.; Mohanty, S.K. Dynamic effects of biochar concentration and particle size on hydraulic properties of sand. Land Degrad. Dev. 2018, 29, 884–893. [Google Scholar] [CrossRef]
- Kumari, K.; Swain, A.A.; Kumar, M.; Bauddh, K. Utilization of Eichhornia crassipes biomass for production of biochar and its feasibility in agroecosystems: A review. Environ Sustain. 2021, 42, 285–297. [Google Scholar] [CrossRef]
- Shepherd, M.A.; Harrison, R.; Webb, J. Managing soil organic matter–implications for soil structure on organic farms. Soil Use Manag. 2002, 18, 284–292. [Google Scholar] [CrossRef]
- Verheijen, F.G.; Zhuravel, A.; Silva, F.C.; Amaro, A.; Ben-Hur, M.; Keizer, J.J. The influence of biochar particle size and concentration on bulk density and maximum water holding capacity of sandy vs sandy loam soil in a column experiment. Geoderma 2019, 347, 194–202. [Google Scholar] [CrossRef]
- Omondi, M.O.; Xia, X.; Nahayo, A.; Liu, X.; Korai, P.K.; Pan, G. Quantification of biochar effects on soil hydrological properties using meta-analysis of literature data. Geoderma 2016, 274, 28–34. [Google Scholar] [CrossRef]
- An, N.; Zhang, L.; Liu, Y.; Shen, S.; Li, N.; Wu, Z.; Han, X. Biochar application with reduced chemical fertilizers improves soil pore structure and rice productivity. Chemosphere 2022, 298, 134304. [Google Scholar] [CrossRef] [PubMed]
- Saha, R.; Galagedara, L.; Thomas, R.; Nadeem, M.; Hawboldt, K. Investigating the influence of biochar amendment on the physicochemical properties of podzolic soil. Agriculture 2020, 10, 471. [Google Scholar] [CrossRef]
- Toková, L.; Igaz, D.; Horák, J.; Aydin, E. Effect of biochar application and re-Application on soil bulk density, porosity, saturated hydraulic conductivity, water content and soil water availability in a silty loam haplic luvisol. Agronomy 2020, 10, 1005. [Google Scholar] [CrossRef]
- Blanco-Canqui, H. Biochar and soil physical properties. Soil Sci. Soc. Am. J. 2017, 81, 687–711. [Google Scholar]
- Kim, H.S.; Kim, K.R.; Yang, J.E.; Ok, Y.S.; Owens, G.; Nehls, T. Effect of biochar on reclaimed tidal land soil properties and maize (Zea mays L.) response. Chemosphere 2016, 142, 153–159. [Google Scholar] [CrossRef] [PubMed]
- Zhang, X.; Zhang, P.; Yuan, X.; Li, Y.; Han, L. Effect of pyrolysis temperature and correlation analysis on the yield and physicochemical properties of crop residue biochar. Bioresour. Technol. 2020, 296, 122318. [Google Scholar] [CrossRef] [PubMed]
- Kloss, S.; Zehetner, F.; Dellantonio, A.; Hamid, R.; Ottner, F.; Liedtke, V.; Schwanninger, M. Characterization of slow pyrolysis biochars: Effects of feedstocks and pyrolysis temperature on biochar properties. J. Environ. Qual. 2012, 41, 990. [Google Scholar] [CrossRef] [PubMed]
- Novak, J.M.; Lima, I.; Xing, B.; Gaskin, J.W.; Steiner, C.; Ahmedna, M. Characterization of designer biochar produced at different temperatures and their effects on a loamy sand. Ann. Environ. Sci. 2009, 3, 195–206. [Google Scholar]
- Wu, J.; Jin, L.; Wang, N.; Wei, D.; Pang, M.; Li, D.; Wang, L. Effects of combined application of chemical fertilizer and biochar on soil physio-biochemical properties and maize yield. Agriculture 2023, 13, 1200. [Google Scholar] [CrossRef]
- Plaza, C.; Giannetta, B.; Fernández, J.M.; López-de-Sá, E.G.; Polo, A.; Gascó, G. Response of different soil organic matter pools to biochar and organic fertilizers. Agric. Environ. 2016, 225, 150–159. [Google Scholar] [CrossRef]
- Zhao, B.; O’Connor, D.; Zhang, J.; Peng, T.; Shen, Z.; Tsang, D.C.; Hou, D. Effect of pyrolysis temperature, heating rate, and residence time on rapeseed stem derived biochar. J. Cleaner Prod. 2018, 174, 977–987. [Google Scholar] [CrossRef]
- Singh, B.P.; Cowie, A.L.; Smernik, R.J. Biochar carbon stability in a clayey soil as a function of feedstock and pyrolysis temperature. Environ. Sci Technol. 2012, 46, 11770–11778. [Google Scholar] [CrossRef] [PubMed]
- He, Z.; Wang, C.; Cao, H.; Liang, J.; Pei, S.; Li, Z. Nitrate absorption and desorption by biochar. Agronomy 2023, 13, 2440. [Google Scholar] [CrossRef]
- Elgharably, A.G. Nutrient Availability and Wheat Growth as Affected by Plant Residues and Inorganic Fertilizers in Saline Soils. Ph.D. Dissertation, The University of Adelaide, Adelaide, Australia, 2008; pp. 245–248. [Google Scholar]
- Lakitan, B.; Alberto, A.; Lindiana, L.; Kartika, K.; Herlinda, S.; Kurnianingsih, A. The benefits of biochar on rice growth and yield in tropical riparian wetland, South Sumatra, Indonesia. Chiang Mai Univ. J. Nat. Sci. 2018, 17, 111–126. [Google Scholar] [CrossRef]
- Uchimiya, M.; Hiradate, S.; Antal, M.J. Dissolved phosphorus speciation of flash carbonization, slow pyrolysis, and fast pyrolysis biochars. ACS Sustain. Chem. Eng. 2015, 3, 1642–1649. [Google Scholar] [CrossRef]
- Ye, L.; Camps-Arbestain, M.; Shen, Q.; Lehmann, J.; Singh, B.; Sabir, M. Biochar effects on crop yields with and without fertiliser: A meta-analysis of field studies using separate controls. Soil Use Manag. 2020, 36, 2–18. [Google Scholar] [CrossRef]
- Nguyen, T.T.N.; Xu, C.Y.; Tahmasbian, I.; Che, R.; Xu, Z.; Zhou, X. Effects of biochar on soil available inorganic nitrogen: A review and meta-analysis. Geoderma 2017, 288, 79–96. [Google Scholar] [CrossRef]
- Taghizadeh-Toosi, A.; Clough, T.J.; Sherlock, R.R.; Condron, L.M. Biochar adsorbed ammonia is bioavailable. Plant Soil 2012, 350, 57–69. [Google Scholar] [CrossRef]
- Tang, J.; Zhang, S.; Zhang, X.; Chen, J.; Zhang, Q. Effects of pyrolysis temperature on soil-plant-microbe responses to solidago canadensis l.-derived biochar in coastal saline-alkali soil. Sci. Total Environ. 2020, 731, 138938. [Google Scholar] [CrossRef]
- Tian, K.; Zhang, B.R.; Zhang, H.D.; Huang, B.; Darilek, J.L.; Zhao, Y.C.; Yang, J.S. Evaluation of soil quality in major grain-producing region of the North China Plain: Integrating minimum data set and established critical limits. Ecol. Indicat. 2020, 117, 106613. [Google Scholar] [CrossRef]
- Ye, H.; Roorkiwal, M.; Valliyodan, B.; Zhou, L.; Chen, P.; Varshney, R.K.; Nguyen, H.T. Genetic diversity of root system architecture in response to drought stress in grain legumes. J. Exp. Bot. 2018, 69, 3267–3277. [Google Scholar] [CrossRef] [PubMed]
- Chang, F.D.; Zhang, H.Y.; Song, J.S.; Yu, R.; Zhang, X.; Lia, H.R.; Wang, J. Once-middle amount of straw interlayer enhances saline soil quality and sunflower yield in semi-arid regions of China: Evidence from a four-year experiment. J. Environ. Res. Manag. 2023, 334, 118530. [Google Scholar] [CrossRef] [PubMed]
- He, L.L.; Zhong, Z.K.; Yang, H.M. Effects on soil quality of biochar and straw amendment in conjunction with chemical fertilizers. Journal of Integrative. Agriculture 2017, 16, 704–712. [Google Scholar]
- Durenkamp, M.; Luo, Y.; Brookes, P.C. Impact of black carbon addition to soil on the determination of soil microbial biomass by fumigation extraction. Soil Biol. Biochem. 2010, 42, 2026–2029. [Google Scholar] [CrossRef]










| Soil Layer | BD | Sand | Silt | Clay | FC | θs | Soil Texture |
|---|---|---|---|---|---|---|---|
| (cm) | (g/cm3) | (2–0.05 mm) | (0.05–0.002 mm) | (<0.002 mm) | (cm3/cm3) | (cm3/cm3) | |
| 0–20 | 1.52 | 23.20 | 72.30 | 4.50 | 0.235 | 0.320 | SCL |
| 20–40 | 1.55 | 15.19 | 62.13 | 22.68 | 0.253 | 0.345 | SCL |
| 40–60 | 1.59 | 25.12 | 70.25 | 4.63 | 0.273 | 0.368 | SCL |
| 60–80 | 1.60 | 48.54 | 35.12 | 16.34 | 0.292 | 0.393 | SL |
| 80–100 | 1.61 | 52.36 | 40.32 | 7.32 | 0.285 | 0.386 | SL |
| Soil Layer (cm) | Ion Content (g/kg) | Soil Salt Content (g/kg) | |||||
|---|---|---|---|---|---|---|---|
| Na+ | Mg2+ | Ca2+ | Cl− | SO42− | HCO3− | ||
| 0–20 | 0.127 | 0.040 | 0.092 | 0.184 | 0.50 | 0.360 | 1.59 |
| 20–40 | 0.106 | 0.051 | 0.085 | 0.143 | 0.32 | 0.372 | 1.21 |
| 40–60 | 0.083 | 0.049 | 0.073 | 0.122 | 0.21 | 0.411 | 0.88 |
| 60–100 | 0.059 | 0.037 | 0.070 | 0.103 | 0.21 | 0.351 | 0.76 |
| Soil Layer (cm) | Organic Matter (g/kg) | Total N (g/kg) | Alkaline Hydrolysis N (mg/kg) | Available P (mg/kg) | Available K (mg/kg) | EC (dS/m) | pH |
|---|---|---|---|---|---|---|---|
| 0–20 | 8.26 | 0.91 | 33.26 | 26.32 | 152.39 | 1.59 | 8.2 |
| 20–40 | 2.58 | 0.25 | 10.52 | 8.59 | 55.25 | 1.21 | 8.2 |
| 40–60 | 1.66 | 0.09 | 5.36 | 5.25 | 30.25 | 0.88 | 8.0 |
| 60–100 | 0.18 | 0.04 | 1.99 | 2.39 | 15.54 | 0.76 | 7.9 |
| Property | BC300 | BC500 | BC700 |
|---|---|---|---|
| EC | 4.52 ± 0.05 c | 5.21 ± 0.22 b | 6.65 ± 0.96 a |
| pH | 7.8 ± 0.1 c | 9.0 ± 0.1 b | 10.0 ± 0.1 a |
| productivity (%) | 48.56 ± 1.6 a | 33.25 ± 1.2 b | 29.14 ± 0.9 c |
| C (%) | 62.17 ± 0.3 c | 65.36 ± 0.2 b | 71.25 ± 0.1 a |
| H (%) | 4.15 ± 0.05 a | 3.33 ± 0.15 b | 2.12 ± 0.09 c |
| N (%) | 1.99 ± 0.12 a | 0.52 ± 0.05 b | - |
| O (%) | 21.02 ± 1.02 a | 15.26 ± 0.82 b | 8.68 ± 0.09 c |
| H/C | 0.76 ± 0.01 a | 0.51 ± 0.01 b | 0.50 ± 0.02 b |
| O/C | 0.20 ± 0.01 a | 0.14 ± 0.03 b | 0.08 ± 0.03 c |
| (O + N)/C | 0.22 ± 0.01 a | 0.14 ± 0.01 b | 0.08 ± 0.01 c |
| TOC (g/kg) | 417.79 ± 1.5 b | 430.08 ± 1.3 b | 518.93 ± 2.69 a |
| Total P (g/kg) | 3.94 ± 0.09 a | 2.57 ± 0.06 b | 1.61 ± 0.03 c |
| Total K (g/kg) | 54.15 ± 0.25 a | 42.15 ± 0.69 b | 38.25 ± 0.52 b |
| Treatment | Biochar Pyrolysis Temperature (°C) | Biochar Application Rate (t/ha) |
|---|---|---|
| CK | - | - |
| C1T1 | 300 | 10 |
| C1T2 | 300 | 20 |
| C2T1 | 500 | 10 |
| C2T2 | 500 | 20 |
| C3T1 | 700 | 10 |
| C3T2 | 700 | 20 |
| Growth Stage of Maize | 2022 | Irrigation Water Amount | 2023 | Irrigation Water Amount | Fertilizer Application Amount (kg/ha) | ||
|---|---|---|---|---|---|---|---|
| (mm) | (mm) | N | P | K | |||
| Sowing date | 5 May | - | 10 May | - | 60 | 200 | 150 |
| Seedling stage | 25 May | 22.5 | 27 May | 22.5 | - | - | - |
| 11 June | 22.5 | 13 June | 22.5 | 90 | - | - | |
| Jointing stage | 25 June | 22.5 | 29 June | 22.5 | - | - | - |
| 10 July | 22.5 | 15 July | 22.5 | - | - | - | |
| Tasselling stage | 23 July | 22.5 | 27 July | 22.5 | 90 | - | - |
| 2 August | 22.5 | 9 August | 22.5 | - | - | - | |
| Filling stage | 17 August | 22.5 | 21 August | 22.5 | 60 | - | - |
| 30 August | 22.5 | 2 September | 22.5 | - | - | - | |
| Years | Treatments | Ammonium–Nitrogen (mg/kg) | Nitrate–Nitrogen (mg/kg) | Organic Carbon (g/kg) | Available P (mg/kg) | Available K (mg/kg) | |||||
|---|---|---|---|---|---|---|---|---|---|---|---|
| 0–20 cm | 20–40 cm | 0–20 cm | 20–40 cm | 0–20 cm | 20–40 cm | 0–20 cm | 20–40 cm | 0–20 cm | 20–40 cm | ||
| 2022 | CK | 9.98 a | 2.13 a | 26.03 a | 7.25 a | 3.05 e | 0.45 f | 10.88 e | 4.55 d | 147.25 a | 50.24 a |
| C1T1 | 10.35 a | 2.25 a | 25.25 ab | 6.48 ab | 4.36 d | 0.52 e | 18.15 b | 7.23 a | 146.36 a | 53.14 a | |
| C1T2 | 10.23 a | 2.76 a | 23.54 b | 6.2 bc | 5.15 c | 0.61 d | 20.33 a | 7.69 a | 149.25 a | 49.85 a | |
| C2T1 | 9.65 a | 1.55 a | 21.21 c | 5.77 c | 5.48 c | 0.62 d | 16.36 c | 6.32 b | 146.25 a | 50.58 a | |
| C2T2 | 9.88 a | 1.62 a | 19.98 c | 5.21 d | 6.59 b | 0.74 c | 17.35 bc | 5.91 b | 150.341 a | 55.24 a | |
| C3T1 | 9.78 a | 1.71 a | 17.191 d | 5.025 d | 8.31 ab | 0.9 b | 15.11 d | 5.02 c | 152.45 a | 49.85 a | |
| C3T2 | 10.10 a | 2.05 a | 15.54 d | 4.67 e | 9.24 a | 1.25 a | 14.89 d | 4.9 c | 155.21 a | 51.22 a | |
| 2023 | CK | 9.15 a | 1.85 a | 27.17 a | 8.05 a | 3.16 f | 0.51 f | 8.65 f | 3.11 f | 145.12 a | 48.73 a |
| C1T1 | 10.32 a | 2.01 a | 25.67 ab | 7.49 ab | 5.09 e | 0.62 e | 15.85 b | 6.11 b | 146.26 a | 52.14 a | |
| C1T2 | 9.06 a | 1.77 a | 23.98 b | 7.01 b | 6.39 d | 0.9 d | 17.92 a | 6.95 a | 148.21 a | 49.25 a | |
| C2T1 | 10.09 a | 1.23 a | 19.28 c | 5.91 c | 7.52 c | 1.12 c | 15.01 b | 6.02 b | 147.25 a | 53.18 a | |
| C2T2 | 10.13 a | 1.98 a | 16.1 d | 5.06 d | 7.99 bc | 1.15 c | 14.12 c | 5.46 c | 142.21 a | 50.25 a | |
| C3T1 | 9.12 a | 1.45 a | 13.99 e | 4.25 e | 8.65 ab | 1.48 b | 11.69 d | 5.06 d | 150.32 a | 49.25 a | |
| C3T2 | 9.45 a | 2.05 a | 11.34 e | 4.01 e | 8.99 a | 1.63 a | 10.11 e | 4.18 e | 151.23 a | 55.01 a | |
| Index | Soil Moisture Content | EC | Porosity | Nitrate Nitrogen | Ammonium Nitrogen | Organic Carbon |
|---|---|---|---|---|---|---|
| EC | −0.482 * | |||||
| Porosity | 0.703 ** | 0.241 | ||||
| Nitrate–nitrogen | −0.693 ** | −0.263 | –0.880 ** | |||
| Ammonium–nitrogen | −0.570 * | 0.523 * | −0.177 | 0.323 | ||
| Organic carbon | 0.622 ** | 0.345 | 0.881 ** | −0.991 ** | −0.165 | |
| Available phosphorus | 0.080 | 0.065 | 0.372 | 0.110 | 0.390 | −0.060 |
| Index | EC | Bulk Density | Porosity | Nitrate–Nitrogen | Ammonium–Nitrogen | Organic Carbon | Available Phosphorus |
|---|---|---|---|---|---|---|---|
| EC | −0.973 ** | ||||||
| Bulk density | −0.598 * | 0.672 ** | |||||
| Porosity | 0.588 * | −0.655 ** | −0.999 ** | ||||
| Nitrate–nitrogen | −0.626 ** | 0.700 ** | 0.921 ** | −0.921 ** | |||
| Ammonium–nitrogen | −0.648 ** | 0.628 ** | 0.253 | −0.256 | 0.324 | ||
| Organic carbon | 0.691 ** | −0.758 ** | −0.983 ** | 0.981 ** | −0.955 ** | −0.381 | |
| Available phosphorus | 0.091 | −0.095 | −0.152 | 0.141 | 0.216 | 0.073 ** | 0.071 ** |
| Year | 2022 | 2023 | ||||
|---|---|---|---|---|---|---|
| Principal Components | PC1 | PC2 | PC3 | PC1 | PC2 | PC3 |
| Soil moisture content | 0.912 | −0.001 | −0.290 | 0.902 | 0.386 | −0.092 |
| EC | 0.250 | 0.855 | 0.034 | −0.919 | 0.335 | −0.067 |
| Bulk density | −0.025 | 0.260 | −0.725 | −0.320 | 0.862 | −0.232 |
| Porosity | 0.855 | 0.121 | 0.082 | 0.895 | 0.339 | 0.079 |
| Nitrate–nitrogen | −0.292 | 0.756 | −0.224 | −0.438 | 0.855 | 0.133 |
| Ammonium–nitrogen | −0.045 | 0.739 | 0.741 | −0.229 | 0.792 | 0.232 |
| Organic carbon | 0.832 | −0.225 | 0.215 | 0.877 | 0.035 | 0.077 |
| Available phosphorus | 0.105 | 0.255 | 0.815 | 0.024 | 0.188 | 0.893 |
| Available potassium | 0.172 | 0.423 | −0.065 | 0.200 | 0.588 | −0.230 |
| eigenvalue | 8.320 | 2.380 | 1.530 | 6.883 | 2.360 | 1.130 |
| Proportion explained | 59.68% | 10.91% | 8.26% | 56.60% | 11.91% | 10.06% |
Disclaimer/Publisher’s Note: The statements, opinions and data contained in all publications are solely those of the individual author(s) and contributor(s) and not of MDPI and/or the editor(s). MDPI and/or the editor(s) disclaim responsibility for any injury to people or property resulting from any ideas, methods, instructions or products referred to in the content. |
© 2024 by the authors. Licensee MDPI, Basel, Switzerland. This article is an open access article distributed under the terms and conditions of the Creative Commons Attribution (CC BY) license (https://creativecommons.org/licenses/by/4.0/).
Share and Cite
Zhou, H.; Guo, J.; Liu, H.; Wang, J.; Wang, Y. Effects of Biochar Pyrolysis Temperature and Application Rate on Saline Soil Quality and Maize Yield. Agronomy 2024, 14, 1529. https://doi.org/10.3390/agronomy14071529
Zhou H, Guo J, Liu H, Wang J, Wang Y. Effects of Biochar Pyrolysis Temperature and Application Rate on Saline Soil Quality and Maize Yield. Agronomy. 2024; 14(7):1529. https://doi.org/10.3390/agronomy14071529
Chicago/Turabian StyleZhou, Hui, Jiawei Guo, Hu Liu, Jian Wang, and Yongqiang Wang. 2024. "Effects of Biochar Pyrolysis Temperature and Application Rate on Saline Soil Quality and Maize Yield" Agronomy 14, no. 7: 1529. https://doi.org/10.3390/agronomy14071529
APA StyleZhou, H., Guo, J., Liu, H., Wang, J., & Wang, Y. (2024). Effects of Biochar Pyrolysis Temperature and Application Rate on Saline Soil Quality and Maize Yield. Agronomy, 14(7), 1529. https://doi.org/10.3390/agronomy14071529
