Next Article in Journal
The Isolation and Identification of a New Pathogen Causing Sunflower Disk Rot in China
Previous Article in Journal
Climate Change Impacts on Future Wheat (Triticum aestivum) Yield, Growth Periods and Irrigation Requirements: A SALTMED Model Simulations Analysis
 
 
Font Type:
Arial Georgia Verdana
Font Size:
Aa Aa Aa
Line Spacing:
Column Width:
Background:
Article

Operation Mechanism Analysis and Parameter Optimization of Bean Impurity-Separation Device for Tiger Nut Harvester

1
College of Mechanical and Electrical Engineering, Shihezi University, Shihezi 832000, China
2
Engineering Research Center for Production Mechanization of Oasis Special Economic Crop, Ministry of Education, Shihezi 832000, China
3
Key Laboratory of Northwest Agricultural Equipment, Ministry of Agriculture and Rural Affairs, Shihezi 832000, China
*
Authors to whom correspondence should be addressed.
Agronomy 2024, 14(7), 1485; https://doi.org/10.3390/agronomy14071485
Submission received: 17 May 2024 / Revised: 6 July 2024 / Accepted: 6 July 2024 / Published: 9 July 2024
(This article belongs to the Section Precision and Digital Agriculture)

Abstract

This study aimed to enhance the efficiency of tiger nut combine harvesters by reducing impurity and loss rates during processing. Scholars focused on analyzing the composition and suspension speed of the bean mixture, leading to the development of a wind-screen impurity-removal method. The wind-screen-type bean-separation device was designed with a cross-flow fan, louver screen, frame, and driving mechanism. Theoretical analysis was employed to discuss the motion characteristics and behavior of the sieve body and material, thereby revealing the screening dynamics of tiger nuts and impurities. Factors such as crank radius, crank speed, and fan speed were identified as crucial for optimizing separation performance. Initial single-factor tests helped narrow down the range of influencing factors. Subsequently, a three-factor, three-level Box–Behnken test was conducted with crank radius, crank speed, and fan speed as variables and impurity rate and loss rate as evaluation indexes. This led to the establishment of a multiple regression equation linking these factors to the evaluation indexes. Through response surface analysis and multi-objective optimization using the regression model, the optimal operational parameters for the device were determined: crank radius of 45 mm, crank speed of 497 r/min, and the fan speed of 1100 r/min. Theoretical calculations predicted an impurity rate of 2.42% and a loss rate of 0.51%. Verification tests confirmed these findings, showing an average impurity rate of 2.53% and a loss rate of 0.56%, which met the mechanized harvesting standards for tiger nuts. Overall, this study introduces a novel method and technical framework for effectively separating tiger nuts from impurities, thereby advancing the mechanization of tiger nut harvesting processes.

1. Introduction

The tiger nut, also known as Cyperus esculentus, belongs to the sedge family. It is an economic crop with a high comprehensive utilization value for grain, oil, and feed [1]. Its underground tubers are rich in protein, fiber, fat, and carbohydrates [2,3]. The oil yield is as high as 25%, which is two times that of peanuts and four times that of rapeseed [4,5,6]. Known as the ‘underground walnut’, it is expected to become a soybean substitute to meet the growing domestic demand for oil. However, tiger nuts grow underground. Tiger nuts are mixed with rhizomes and sand during harvest, which is more complicated. The existing tiger nut harvesters in China are mostly improved from potato and other tuber harvesters, and a few have added cleaning and separation devices. However, due to the mismatch between device structure and working parameters, there are problems such as poor separation effects, high impurity rates, and loss rates of the whole machine [7,8].
In the previous study, we designed a conveying and separating device for tiger nut harvesters to solve the problem of the difficult separation from sand and the high power consumption of tiger nut harvesters in the Xinjiang sandy area. The material dynamics model under the dual action of screw conveying and vibrating-screen vibration was constructed. Through dynamic analysis and discrete element simulation, we clarified the critical separation conditions and revealed the separation pattern of materials in the transportation process. After parameter optimization, we successfully achieved an efficient and low-power tiger nut delivery and sand removal treatment. This provides convenience for follow-up work in the cleaning separation operation [9]. The preliminary test of the project team showed that during the operation of the tiger fruit combine harvester, airflow could effectively separate the broken stems and fibrous roots quite differently from the tiger fruit tubers. However, long stems with small differences in suspension speed are easy to mix with tubers, resulting in high losses and impurity rates. Therefore, this paper introduces a combined cleaning and separation technology involving airflow and mechanical vibration. This is to improve the separation effect of beans and miscellaneous items and the mechanized harvesting level of tiger nut combine harvesters, to help develop the tiger nut industry.
In terms of the mechanized harvesting of tiger nuts, the harvester designed in Spain in the early stage is mainly composed of a digging shovel, drum screen, and conveying device. Its overall design principle is still in use [10]. In recent years, there have been some combined harvesters in China capable of realizing the integrated operation of digging, removing soil, picking, screening, and collecting tiger nuts [11,12,13]. However, there are some problems, such as low performance and the unstable reliability of the harvester, and the performance needs to be further improved. Zheng et al. [14] used EDEM to verify the feasibility of a vibrating screen for separating tiger nuts. Zhang et al. [15] designed a double-layer drum-screen fruit impurity-separation device. However, the impurity content is high, and the stability is not high, which needs further optimization.
In recent years, scholars at home and abroad have researched the operation mechanism, structural parameters, and working parameters of the critical components of the cleaning and separation device. Their efforts are aimed at effectively improving the operating performance of the cleaning and separation device. It is of great significance to analyze the movement of particles on the screen surface to improve the performance of the separation device. Ma et al. [16] and Wang et al. [17] have shown that the problem of screen surface accumulation can be effectively improved by changing the structure parameters and working parameters of the screen to change the backward migration speed of the screen surface materials. Lian et al. [18], Zhang et al. [19], and Krzysia et al. [20] found that factors such as crank speed, crank radius, screen inclination, and airflow velocity have a great influence on the particle motion state during the separation process. Voicu et al. [21] constructed the motion model of the material on the sieve. They studied the conditions of the material moving upward or downward on the sieve and the separation of the material. In addition, Wan et al. [22] and Ma et al. [23] simulated the cleaning separation device, revealed the internal airflow distribution and material movement pattern, and provided a basis for enhancing the separation device.
Regarding related tuber harvesting, Qin et al. [24] designed a negative-pressure peanut-soil separation device and analyzed the material movement mechanism during the conveying and screening process. Although airflow separation is relatively simple, it is not easy to fully achieve the separation of fruit and soil by pure airflow. Li et al. [25] reduced the load of the separation device by reducing the amount of soil entering the separation device, which could provide a reference for tuber harvest and separation. In summary, scholars at home and abroad have researched cleaning separation technology and equipment. However, there are few reports detailing research on tiger-nut separation equipment. Therefore, more mature and reliable equipment is needed.
Based on this, to reduce tiger nut harvesters’ impurity and loss rates, this study proposes a separation method combining air flow and mechanical vibration based on the difference in composition and suspension velocity of bean mixtures. A wind-screen bean-separation device was designed, mainly composed of a cross-flow fan, louver screen, frame, and driving mechanism. Subsequently, the motion pattern of the screen body and the dynamic and kinematic characteristics of the separation process of tiger nuts and impurities were analyzed. The screening pattern of the separation device is revealed. This study aims to improve the separation performance of tiger nut combine harvesters and provide technical support for developing mechanized harvesting equipment for tiger nuts in Xinjiang.

2. Materials and Methods

2.1. Materials

The test material was taken from the cultivation bases of tiger nuts around Shihezi City, Xinjiang, and the variety was Zhongyousha 1. The row spacing of tiger nuts was 20~30 cm, the plant spacing was 4~7 cm, and the growth depth was 10~12 cm. The tiger nuts plot with good growth conditions was selected, and the test area was delineated for sampling. The tiger nuts were dug out, and the root sand was removed by manual excavation as the test feed. The previous test showed that the optimal feeding amount of the threshing device was 2 kg/s, and the mass of threshed matter was 1.3 kg/s. The mass ratios of each component of tiger nut tubers, rhizomes, and light impurities in the threshed matter were 78.5%, 3.6%, and 17.9%, respectively, as shown in Figure 1.
Using a vernier caliper (accuracy of 0.02 mm), a 101-1 B electric hot blast constant-temperature drying oven (temperature range of 50–300 °C, temperature control accuracy of 1 °C, manufacturer: Shangdao Instrument Manufacturing Co., Ltd., Shanghai, China), and a WKT-120 A automatic electronic densimeter (density measurement range: 0.001–99.999 g/cm3, manufacturer: Hongtuo Instrument Technology Co., Ltd., Guangdong, China), we found the three-axis dimensions of tiger nuts to be 6.85–10.4 mm, 8.09–14.77 mm, and 5.96–9.74 mm, respectively. The average moisture content was 9.20%, the average weight of a single fruit was 2.05 g, and the density was 1.089 g/cm3. The average moisture content of impurities was 21.05%, and the density was 0.025 g/cm3.

2.2. Determination of Suspension Velocity of Bean Mixture

The suspension speed of the material is an essential basis for determining the device’s structural and motion parameters. The suspension velocity of the extract was determined by theoretical calculation and practical tests. Under vertical airflow, when the gravity of the material itself is equal to the force of the airflow on the material, the material is floating, and the airflow speed is the suspension speed of the material [26]. Tiger nuts are irregular spheres. The suspension state of tiger nuts under the action of airflow is shown in Figure 2. The gravity of tiger nuts is equal to the force of airflow.
From Figure 2, we can conclude that Equation (1) represents the force of the tiger nut when it is suspended in the airflow [26].
m g = F r + F p F r = m ρ 1 ρ 2 g F p = 1 2 C A ρ 2 v 2
where m is the mass of material, kg; FP is the resistance of airflow to material, N; Fr is the buoyant force of the airflow on the material, N; C is the resistance coefficient of the material in the air; A is the windward area of the material, m2; ρ1 is the material density, and the density of tiger nuts is 1089 × 103 kg/m3; ρ2 is air density, 1.2 × 103 kg/m3, 20 °C; v is the material suspension speed, m/s; and g is the acceleration of gravity, taking 9.8 m/s2.
Using Equation (2), we can calculate the suspension velocity by sorting Equation (1).
v = 2 m g ρ 1 ρ 2 C A ρ 1 ρ 2
The resistance coefficient reflects the basic properties of the flow field. In fluid mechanics, the gas flow resistance coefficient is divided into three regions: the Stokes region, Allen region, and Newton region. They are dp ≤ 2.2T, 2.2Tdp ≤ 20.4T, and 20.4Tdp ≤ 1000T (dp is the particle size of the material, mm). The particle size method is used to determine the resistance coefficient region [27,28], and the calculation factor can be calculated by Equation (3).
T = u 2 ρ 2 ρ 1 ρ 2 1 3 = 6.331 × 10 2   mm
where T is the calculation factor and u is the kinematic viscosity of air, 1.82 × 10−5 Pa·s, 20 °C.
In Section 2.1, we found the particle size of tiger nuts to be 6.85–14.77 mm, from which it can be judged that the air resistance coefficient belongs to the Newton area, C = 0.44. In the actual calculation, the suspension velocity of the material is related to the density, diameter, and resistance coefficient. Because the tiger nuts are irregular spheres, the correction coefficient S needs to be introduced in the solution. The suspension velocity of tiger nuts can be calculated by Equation (4).
v = 5.451 S d p ρ 1 ρ 2 ρ 1
where S is the material correction coefficient, taking 1.1.
The theoretical suspension velocity of tiger nuts was 13.60~19.96 m/s, found using Equation (4).
The suspension velocity of different components of the bean mixture was determined according to the method for determining the suspension velocity of forage seeds [29]. The suspension velocity of tiger nuts, stems, and light impurities (such as broken roots and broken stems) was determined by the WXS-1 agricultural material suspension test bench (manufacturer: Aoshen Technology Co., Ltd., Harbin, China), as shown in Figure 3. The tiger nuts, stems, and light impurities were placed on the load net in the measuring tube, respectively. The movement state of the material in the transparent tube was observed by adjusting the frequency converter to change the device’s fan speed and airflow speed. After the movement was balanced, the wind speed value and suspension height collected by the wind speed sensor were recorded. Each group was repeated three times, and Equation (5) can calculate the suspension velocity [27].
v 1 = v × 190 190 + 2 × h × tan a 2
where v1 is the suspension speed, m/s; v is wind speed, m/s; h is the suspension height, mm; and α is the angle, 3.5°.
The results showed that the suspension velocity of tiger nuts was 13.5~19.6 m/s, and the suspension velocities of stems and light impurities were 8.6~17.8 m/s and 4.6~8.5 m/s, respectively. The difference in suspension velocity is an important basis for air separation. The suspension velocity of light residual impurities is small and can be removed by airflow. However, the suspension velocity of the stem overlaps with that of tiger nuts, and it is difficult to separate by airflow alone. Therefore, it is considered to realize the separation of beans and impurities under the dual action of a vibrating screen and airflow.

2.3. Bean Impurity-Separation Device Assembly

2.3.1. Structure Composition of Bean Impurity-Separation Device

The wind-screen bean impurity-separation device is mainly composed of a diversion hood, frame, driving mechanism, screen body, eccentric wheel, connecting rod and rocker mechanism, discharge screw conveyor, cross-flow fan, feeding device, angle adjustment mechanism of the screen body, louver screen blade, key-type picker, connection plate between screen and screen body, fixed block, and adjustment mechanism for the screen-blades opening degree. The adjustment mechanism for the screen-blades opening degree is installed on the lower side of the back end of the screen body and is composed of the opening plate and the adjusting rod. The connecting rod connects the screen body to the crank rocker mechanism. The structure diagram is shown in Figure 4.

2.3.2. Working Principle

The bean mixture (tiger nuts, broken rhizomes, and a small amount of sand), after threshing through the threshing device, enters the separation device through the concave plate screen. When the material is cleaned, the motor drives the crank rocker mechanism to drive the screen body back and forth. At the same time, the fan provides airflow to enter the separation chamber through the air duct. After entering the separation chamber, the bean mixture begins to separate under the dual action of the vibrating screen and the airflow. The tiger nut tubers fall through the screen hole and are transported from the bottom discharge screw conveyor to the collection warehouse for collection. Impurities such as rhizomes are transported to the rear end of the screen surface under airflow and then discharged. The cleaning and separation process of the tiger-nut separation device is shown in Figure 5. The technical parameters of the cleaning and separation device for tiger nuts are shown in Table 1.

2.4. Design of Separation Chamber Structure

2.4.1. Structure Design of Vibrating Screen

The vibrating screen is the essential working part of the separation device [30]. It includes the screen frame and the angle adjustment mechanism of the screen body, and it is driven by the crank connecting the rod-rocker mechanism. The louvered screen is used in the vibrating screen. The louvered screen is a long rectangular steel plate with good wind conductivity. The extract falling on the screen surface can be dispersed and layered with the vibration. The tubers of tiger nuts can fall in the gap of the screen to ensure the efficient screening of the tubers, considering that the tiger nut mixture contains more impurities, such as rhizomes. The front end of the sieve is designed to be serrated, and the key-type picker is installed at the end of the sieve body, which can effectively discharge impurities such as rhizomes in the machine. According to the previous design, the length of the threshing cylinder is 1385 mm [31]. To ensure that the threshing material can all fall into the screen surface, the width of the louver screen is 1400 mm and the length is 1030 mm. According to the design standard of the device cleaning and separation device, the crank is the prime mover. The longer the connecting rod is, the better the transmission performance of the mechanism is. The design length of the connecting rod is 560 mm. At the same time, the radius of the crank should be less than one-fifth of the length of the connecting rod. According to the previous test, when other factors remain unchanged, the operating performance of the separation device is better when the opening of the louver screen is 27 mm. The structure of the separation chamber is shown in Figure 6.

2.4.2. Fan Position Configuration

When the wind-screen bean impurity-separation device works, the more uniform the material distribution on the screen surface is and the more favorable it is for separating impurities and tubers. The airflow on the screen surface takes away the lighter impurities and cooperates with the vibrating screen to make the material distribution more uniform. This process improves the problem of the uneven separation pressure of vibrating screens in different regions. Thus, the separation performance of the separation device is improved. Therefore, the relative position arrangement of the fan outlet and the vibrating screen is more important. To obtain a larger windward area on the screen surface of the vibrating screen [32], the airflow direction angle needs to meet Equation (6).
H = ω L s i n δ = η D
where η is the height adjustment coefficient of the fan outlet; H is the height of the fan outlet, mm; δ is the airflow direction angle, °; L is the effective working length of the vibrating screen, mm; and D is the outer diameter of the fan impeller, mm.
Referring to the type of common agricultural fan and the configuration of the vibrating screen and fan in the combine harvester [32], the type of fan selected in this design is a cross-flow fan. The diameter of the fan impeller is D = 230 mm, η = 0.4, ω = 0.4~0.6, and the speed is 600~1500 r/min. According to the cleaning screen’s structural parameters above, the vibrating screen’s effective working length is L = 1000 mm, and the airflow direction angle δ = 8.8~13.3° is calculated by Equation (6).

2.5. Analysis of Beans Separation Process

2.5.1. Vibration Screen Body Motion Analysis

The vibrating screen is one of the key components of the separation device. The movement of the bean mixture on the screen is still being determined and complex. Therefore, the motion of the vibrating screen is first analyzed. The dynamic driving mechanism of the vibrating screen is composed of the eccentric wheel, connecting rod, rocker, and screen body. It can be simplified into a series of crank connecting-rod mechanisms and a planar four-bar mechanism, as shown in Figure 7. The line segments OA, AB, and BD represent the crank (eccentric wheel), connecting rod, and rocker, respectively. The rocker BD is hinged with the frame through the C point. DE represents the screen surface of the vibrating screen. EF represents the boom of the vibrating screen. The front and tail end of the vibrating screen DE is hinged on the rocker BD and the boom EF, respectively.
The crank OA drives the rocker BD to swing back and forth through the connecting rod AB. The vibrating screen DE hinged with the rocker performs a reciprocating motion in the plane with amplitude R (R = crank radius r) and angular velocity ω under the action of the rocker BD [33]. The displacement equation of the vibrating screen can be expressed as
S = R c o s ω t
where S is the displacement of the vibrating screen surface, mm; R is the vibration amplitude of the vibrating screen, mm; ω is the crank angular velocity, rad/s; and t is the vibration time, s.
The displacement of the vibrating screen is decomposed into two parts along the x direction of the parallel screen surface and the y direction of the vertical screen surface. The velocity and acceleration expressions of any point on the vibrating screen can be obtained by the first and second derivation, respectively.
v x = R ω sin ω t cos β θ v y = R ω sin ω t sin β θ
a x = R ω 2 cos ω t cos β θ a y = R ω 2 cos ω t sin β θ
where β is the vibration direction angle of the sieve surface.
From Equations (8) and (9), the motion state of the screen body is related to the radius of the crank and the rotational speed. The greater the radius of the crank and the rotational speed, the greater the velocity of the material on the screen surface, the number of jumps and the amplitude increase, the velocity of the backward migration of the impurities increases, the contact time with the screen surface decreases, the probability of screening decreases, and the impurity rate decreases. However, with the increase in crank radius and rotation speed, the backward migration speed of tiger nut tubers accelerated. Some tubers were discharged outside the machine before passing through the screen, and the loss rate increased accordingly. Combined with the preliminary test results of the team, it is determined that the crank radius is 35~65 mm and the crank speed is 300~700 r/min. At this time, the separation performance is better.

2.5.2. Analysis of Material Movement in the Separation Process

The screen surface performs a reciprocating motion in the plane under the driving action of the crank connecting rod-rocker mechanism, which can be approximated as a simple harmonic motion. The wind-screen bean impurity-separation device mainly separates impurities from tubers by the combined action of airflow force and reciprocating vibration of the cleaning sieve. To improve the discharge efficiency of large impurities from the screen surface and enhance the screening probability of tiger nuts tubers, we conducted a theoretical analysis to examine the materials’ dynamic characteristics and motion patterns. This analysis aimed to identify the primary factors influencing the performance of the separation device. The force of the material on the screen surface determines its motion state. The motion state of the material is different at different times. The material has two sliding and jumping motion states relative to the screen surface, as shown in Figure 8.
As shown in Figure 8, when the material has a forward and backward sliding trend on the screen surface and FN > 0 [34], the force is as follows:
F x = F a cos α ± F cos F f G sin γ F y = F a sin α ± F sin F N G cos γ
where F = m R ω 2 sin ω t ; F a = k ρ S v 2 ; G = m g ; m is material mass, g; g is the acceleration of gravity, 9.8 m/s2; t is the crank rotation time, s; φ is the friction angle between the material and the sieve surface, °ρ is the air density, 1.29 kg/m3; S is the windward area of the material, m2; and v is the airflow velocity of the fan, m/s.
When FN < 0, the material jumps and throws away from the screen surface. FN = 0 is the critical condition for the material to be thrown away from the screen surface, and the support force of the material on the screen surface is
F N = G cos γ F a sin α ± F sin
The angle of the material thrown off the screen surface is related to the rotation angle of the crank. When the material is thrown off the screen surface, the crank speed should meet:
R ω 2 sin ω t sin > k ρ s v 2 m sin α g cos γ
When the material is about to be thrown away from the screen surface, as shown in Figure 8c, related to friction Ff, support FN is 0 and the relative acceleration of the material along the x and y directions of the screen surface is, respectively,
a x m = k ρ S v 2 m cos α + R ω 2 sin ω t cos g sin γ a y m = k ρ S v 2 m sin α + R ω 2 sin ω t sin g cos γ
Suppose that the initial phase of the crank is φ0 when the material is thrown off the screen surface for the first time, and the final phase of the crank rotation is φ1 when the material falls back to the screen surface again, then the material jumps time is
Δ t = φ 1 φ 0 ω = ω t φ 0 ω
When the material is thrown off the screen surface, the velocity along the screen surface and the vertical screen surface is, respectively,
v x m = R ω sin φ 0 cos v y m = R ω sin φ 0 sin
The relative acceleration of the material is integrated with the jump time, and the relative displacement of the material in the parallel direction and the vertical direction after the material is thrown off the screen surface is
L x = 1 2 k ρ S v 2 m cos α g sin γ φ 1 φ 0 ω 2 + R cos         cos φ 1 cos φ 0 + sin φ 1 φ 1 φ 0 L y = 1 2 g sin γ k ρ S v 2 m sin α φ 1 φ 0 ω 2 + R sin         cos φ 1 cos φ 0 + sin φ 1 φ 1 φ 0
The first jumps of the material along the horizontal and vertical direction of the displacement are, respectively,
S x = L x cos θ S y = L y sin θ
It can be seen from Equation (17) that after the material is thrown on the screen surface, it jumps in the form of a parabola in the air. When jumping, the horizontal displacement and vertical displacement of the material moving along the screen surface are related to the crank speed, crank radius, and fan speed. The suspension speed of light residual impurities and short stems is lower than that of tiger nut tubers, but the suspension speed of long stems and tiger nuts overlaps. Therefore, using airflow can remove light residual impurities and prevent sieve blockage. The ejected material is assumed to be thrown simultaneously on the screen surface, and the initial velocity and motion state is consistent. The factor affecting the material’s jump displacement is the particle’s windward area. The larger the windward area is, the larger the jump displacement is. The windward area of the rhizome in the extract is larger than that of the tiger nuts. Therefore, the jump state of the material on the screen can be changed by changing the crank radius, crank speed, and fan speed. It can also change the impurities’ horizontal and vertical displacement after being thrown out in the airflow field, which is convenient for material stratification and separation. Combined with the material suspension speed and pre-test, it is determined that the fan speed is 900~1300 r/min, the material stratification on the screen surface is significant, and the separation effect is good. In summary, the main factors affecting the working performance of the separation device are crank speed, crank radius, and fan speed.

2.6. Test Method and Evaluation Indexes

The test device is shown in Figure 9. Before the test, the speed of the conveyor belt was adjusted to match the feeding amount, and the material was tiled on the conveyor belt of the feeding device, with a stable area reserved in front. According to the test requirements, the working parameters of each key component are adjusted, and the motor is started. After the device works stably, the conveyor belt is opened to feed the material into the bean impurity-separation device. Each test iteration was conducted thrice. After each group of experiments ended, the screened tubers and impurities in the collection box were separated and weighed, and the tubers discharged with entrainment were collected and weighed. Referring to T/NJ 1153-2022 Tiger Nut Harvester [35] and GB/T 21962-2020 Corn Harvester [36], the impurity rate and loss rate were selected as the performance evaluation indexes of the bean impurity-separation device. According to Equation (18), the impurity rate and loss rate were calculated:
Y 1 = m 2 m 1 + m 2 × 100 % Y 2 = m 3 m 1 + m 3 × 100 %
where m1 is the mass of tiger nuts in the collection box, kg; m2 is the mass of impurities in the collection box, kg; and m3 is the mass of the tiger nuts outside the entrainment discharge device, kg.

3. Results and Discussion

3.1. Single-Factor Tests Analysis

According to the analysis of the motion of the screen body and the screen surface particles in Section 2.5, the main factors affecting the separation performance of the device are crank speed, crank radius, and fan speed. To find a more reasonable range of working parameters and improve the cleaning effect, single-factor tests were carried out on the self-made bean-separation test bench. Each group of single-factor tests was conducted with the other two parameters fixed to study the influence of each factor on the impurity rate and loss rate. The parameter range for each factor is as follows: crank speed 300–700 r/min, crank radius 25–65 mm, and fan speed 900–1300 r/min. The fixed factors for each single-factor test were the following: the crank speed was 500 r/min, the crank radius was 45 mm, and the fan speed was 1100 r/min. Each group of tests was repeated three times. The variation of impurity rate and loss rate with each factor is shown in Figure 10.
Figure 10a shows the effect of crank speed on separation performance. The crank radius is 45 mm, the fan speed is 1100 r/min, and the crank speed is selected at five levels from 300 to 700 r/min. From the diagram, with the increase in crank speed, the impurity rate shows a declining trend, and the loss rate shows an upward trend. When the crank speed is in the range of 300~400 r/min, the impurity rate decreases the most. When the crank speed is in the range of 600~700 r/min, the loss rate increases the most. The main reason is that the increase in crank speed leads to the increase in the vibration frequency of the vibrating screen, and the movement speed and jumping times of impurities such as rhizomes increase. The contact time between impurities and the screen surface decreases, the probability of impurities passing through the screen decreases, and the impurity rate decreases. However, the increased vibration frequency of the vibrating screen also increased the backward migration speed of tiger nut tubers. Some tubers were thrown out of the machine before passing through the screen, and the loss rate increased accordingly. By simulation, Zhang et al. [13] studied the connection between vibration frequency, separation efficiency, and loss rate. The results show that the separation efficiency and loss rate increase with the increase in vibration frequency. This is consistent with the pattern found in this study. Therefore, the optimal working range of crank speed is 450~550 r/min.
Figure 10b shows the influence of the crank radius on separation performance. The crank speed is 500 r/min, the fan speed is 1100 r/min, and the crank radius is selected at five levels from 25 to 65 mm. From the diagram, the impurity rate gradually decreases with increased crank radius, and the loss rate gradually increases. The main reason is that when the crank radius is small, the vibration amplitude of the screen body is small, the impurities such as rhizomes almost do not jump on the screen surface, the retention time is long, and the dispersion degree of the material is poor. With the feeding of the material, the accumulation is gradually formed, the probability of impurities passing through the screen increases, and the impurity rate is large. When the crank radius reaches 45 mm, the vibration amplitude of the screen body increases, the material movement speed and jump amplitude increase, the contact time between the rhizome and the screen surface decreases, and there is no obvious accumulation on the screen surface. At this time, the impurity rate is 3.6%; when the radius of the crank increases to 55 mm, the collision between the screen body and the frame increases significantly, the damage to the device is greater, the decrease in the impurity rate tends to be gentle [37], and the increase in the loss rate increases. The increase in the crank radius increases the dispersion of the material on the screen surface, the probability of the tuber passing through the screen increases, and the separation performance gradually increases. However, when the crank radius is too large, the tuber movement amplitude increases and is discharged from the machine, which affects the separation performance. Therefore, the optimal working range of the crank radius is 35~55 mm.
Figure 10c shows the influence of fan speed on separation performance. Five levels of fan speed were selected in the range of 900~1300 r/min. From the diagram, with the increase in fan speed, the impurity rate gradually decreases, and the loss rate continues to rise. The results show that the airflow velocity increases with fan speed. At this time, the more rhizomes are transported to the back end of the screen body and discharged outside the machine under airflow, the better the separation performance is. However, the greater the airflow velocity, the more the tiger nut tubers blew out and the greater the loss rate. When the fan speed increased from 900 r/min to 1100 r/min, the airflow velocity on the screen surface was greater than the suspension velocity of most impurities, and the impurity rate decreased greatly. When the fan speed increased from 1200 r/min to 1300 r/min, the airflow velocity on the screen surface exceeded the suspension velocity of some tiger nut tubers, and some tubers were directly blown out of the machine. At this time, the loss rate increased significantly. The airflow velocity of the screen surface has a certain influence on the screening rate. Zhang, Voicu, et al. [19,21] also showed that the impurity rate was negatively correlated with the fan speed, and the loss rate was positively correlated with the fan speed. The effect on the impurity content is more obvious. The higher the fan speed, the greater the airflow velocity of the screen surface and the shorter the screening time, but the loss rate and power consumption increase. Therefore, considering the separation performance, it is determined that the fan speed of 1050~1150 r/min is a more appropriate interval.

3.2. Multi-Factor Test Analysis

3.2.1. Test Scheme and Results

Considering that each influencing factor influences the results of the test index, the optimal working parameter combination of the machine is obtained to explore the interaction between each factor and the test index. The three-factor, three-level Box–Behnken test is carried out with the crank radius, crank speed, and fan speed as the test variables, and the impurity rate and loss rate are the evaluation indexes. The level of each test factor is shown in Table 2, and the test plan and results are shown in Table 3.

3.2.2. Regression Model Construction and Significance Analysis

The results of the regression analyses of the variance of the impurity rate Y1 and loss rate Y2 are shown in Table 3. We eliminated the insignificant items in the model, and regression Equation (19) of the crank radius, crank speed, and fan speed on impurity rate Y1 and loss rate Y2 was obtained, respectively.
Y 1 = 2.37 0.63 X 1 0.90 X 2 0.33 X 3 + 0.35 X 1 X 3 + 0.22 X 2 X 3 + 0.91 X 1 2 + 0.49 X 2 2                                                           + 0.87 X 3 2 Y 2 = 0.52 + 0.11 X 1 + 0.17 X 2 + 0.06 X 3 0.13 X 1 X 3 + 0.06 X 2 X 3 + 0.10 X 1 2 + 0.13 X 2 2                                                           + 0.06 X 3 2
According to Table 4, the p-values of the impurity rate and loss rate models were less than 0.0001, which was extremely significant, indicating that the regression equation had good fitting and high reliability. The lack of fit (p1 = 0.0224, p2 = 0.002) was insignificant, indicating that the model regression equation fit well. The correlation coefficient R2 was greater than 0.98, indicating that the model’s predicted value was in good agreement with the experimental value.

3.2.3. Interactive Analysis of Test Factors

According to the analysis of variance, the order of the significant influence of each test factor on the impurity rate is crank speed, crank radius, and fan speed. The order of significant influence on the loss rate is crank speed, radius, and fan speed. To analyze the influence of interactive factors on the evaluation index of the device, Design Expert was used to make the response surface analysis diagram of each interactive factor on the impurity rate and loss rate, as shown in Figure 11.
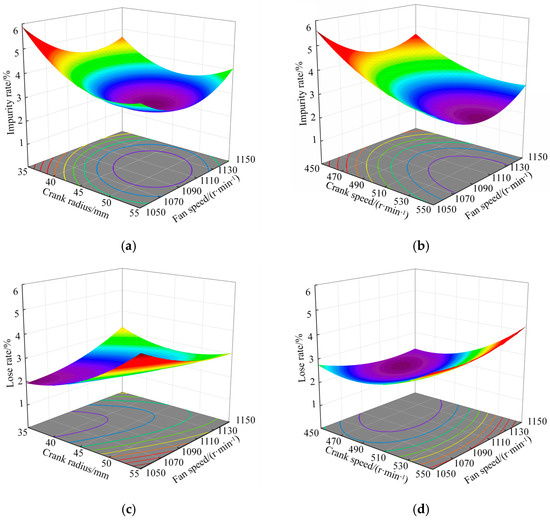
From Figure 11a, when the fan speed is fixed at a low level (1050 r/min), the crank radius has a higher influence on the impurity rate. As the crank radius increases, the impurity rate decreases first and then increases. The main reason is that impurities such as rhizomes cannot be blown off the screen surface when the airflow velocity is small. The larger the crank radius is, the larger the vibration amplitude of the screen surface is. Lian et al. [18] also confirmed this finding, emphasizing that there is a negative correlation between the crank radius and the impurity content within a certain range. This also confirms the rules found in this study. However, this separation device cannot separate tiger nuts and impurities due to the different separation purposes and materials. However, it has certain reference significance for this study.
From Figure 11b, the impurity rate gradually decreases with increased crank speed. The increase in crank speed increases the vibration frequency of the screen surface, which improves the throwing ability of the vibrating screen. The number of jumps of the material on the screen surface increases and moves backward rapidly. The residence time of impurities on the screen surface decreases, the probability of passing through the screen decreases, and the impurity rate decreases.
From Figure 11c, with the increase in crank radius and fan speed, the loss rate shows a gradual upward trend. When the crank radius and fan speed are at the minimum value, the loss rate is the lowest, and the loss rate reaches the maximum when both are at the maximum value. The main reason is that with an increased crank radius, the movement speed and jumping range of tiger nut tubers on the screen surface increase, the contact time with the screen surface is shortened, and the probability of passing through the screen decreases sharply. At the same time, due to the increase in fan speed, the tiger nut tubers jumping off the screen surface are suspended and directly blown out of the machine, thus increasing the separation loss rate.
From Figure 11d, when the crank speed is fixed at the minimum value (450 r/min), the fan speed has little effect on the loss rate. The main reason is that the vibration frequency of the screen is minor when the crank speed is low. At this time, the movement speed of the tiger nut tuber on the screen surface is low, the number of jumps is small, the residence time on the screen surface is long, and the probability of passing through the screen hole increases. At the same time, it also limits the ability of the airflow to carry impurities. The increase in crank speed causes the vibration frequency of the screen body to increase, and the tuber moves backward rapidly. At the same time, the number of jumps occurs many times, the number of contacts with the screen surface decreases, and the probability of passing through the screen decreases. On the other hand, with the increase in fan speed, the airflow velocity on the screen surface increases, some of the jumping tubers are directly blown out of the machine, and the separation loss rate increases. Zhang et al. [19] also studied the influence of the interaction of fan speed and vibration frequency on the grain loss rate. It is concluded that the vibration frequency and fan speed have a negative and then positive correlation with the loss rate of oil sunflower seeds. This confirms the separation rule found in this study. Because the separation object of the oil sunflower separation device is quite different from that of the tiger nuts, the structure of the separation device is also quite different from that of this study.

3.2.4. Parameter Optimization

The minimum impurity and loss rates were taken as the optimization objectives, and the crank speed, radius, and fan speed were taken as the optimization objects. The optimization function of Design-Expert 12 software is used to optimize. The objective and constraint equations are
m i n Y 1 m i n Y 2 s t 55   mm X 1 35   mm 550   r / min X 2 450   r / min 1150   r / min X 3 1050   r / min
The optimal working parameters of the device were obtained as follows: crank radius 44.9 mm, crank speed 497.4 r/min, and fan speed 1100.3 r/min. At this time, the impurity rate was 2.42%, and the loss rate was 0.51%.

3.2.5. Test Verification

To verify the test results under the optimal parameter combination obtained by the software optimization, the bench verification test was carried out in the Key Laboratory of Northwest Agricultural Equipment, Ministry of Agriculture and Rural Affairs, Shihezi University, as shown in Figure 9. The test materials, instruments, and methods are consistent with those described in Section 2. Under the optimal parameters, the test results are shown in Table 5.
Under the optimal parameters, the average impurity rate (Y1) obtained by the verification test was 2.53%, and the average loss rate (Y2) was 0.52%. The relative errors compared with the predicted values were 4.55% and 1.96%, respectively. The relative error is small, which emphasizes the high reliability of parameter optimization and proves the robust predictability of the response model. The test results meet the requirements of the mechanized harvesting of tiger nuts.

4. Conclusions

(1) Based on the principle of suspension velocity difference between tiger nuts and impurities, a separation method combining airflow and mechanical vibration was proposed, and a bean impurity-separation device was developed. The motion pattern and separation conditions of the material on the screen surface under the action of airflow and vibrating screen were analyzed, and the key factors affecting the separation effect were determined. The device solves the problem of separating tiger nuts and impurities during harvesting and provides a technical reference for the mechanization of tiger nut production in sandy areas.
(2) Single-factor tests determined the range of influencing factors. Then, we used a Box–Behnken design for the regression test. The influence of the interaction of various factors on the test index of the separation device was studied, and the regression model of each factor related to the test index was established. The results show that the best parameters are as follows: crank radius 45 mm, crank speed 497 r/min, and fan speed 1100 r/min. Under these parameters, the average impurity content of the verification test was 2.53%, and the average loss rate was 0.56%. The average difference between the test results and the predicted values was 4.55% and 1.96%, respectively. The feasibility and high reliability of the separation method are confirmed.
(3) Despite this research’s contribution to the separation technology of bean mixtures, we proved that the combination of airflow and mechanical vibration can be applied to the separation of bean–miscellaneous mixtures. However, due to the complexity and technical constraints of the bean–hybrid mixture, the distribution of airflow in the device has yet to be explored, and there are still limitations. Therefore, the team will consider the future numerical simulation of the separation process and systematically explore the separation characteristics of the bean mixture. The pattern of airflow action was explored, and the structure of the device was further optimized to improve the separation effect and promote the development of the tiger nut industry.

5. Patent

Qi, J.T.; Kan, Z.; Li, Y.P.; Li, S.L.; Meng, H.W.; An, S.G.; Chen, S. The separation and cleaning device of tiger nut and the tiger nuts harvester: ZL202010428530.1[P]. 13 January 2023.

Author Contributions

Conceptualization, W.C., Z.K., H.M. and J.Q.; methodology, W.C., L.Y. and H.P.; software, W.C.; validation, W.C.; data curation, W.C.; writing—original draft preparation, W.C.; writing—review and editing, W.C., L.Y., H.P., J.Q., Z.K. and H.M.; project administration, J.Q. and H.M.; funding acquisition, J.Q., H.P., H.M. and Z.K. All authors have read and agreed to the published version of the manuscript.

Funding

This research was funded by the local science and technology development under the guidance of the central government (kc005102), Xinjiang Production and Construction Corps Science and Technology Plan Project-science and Technology Talents “Analysis of roller sieve blockage process and research on reverse friction blockage removal method of Cyperus esculentus harvester” and Shihezi University Science and Technology Research Plan Project (KJGG202404).

Data Availability Statement

The data presented in this study are available on request from the corresponding author.

Acknowledgments

The authors would like to thank the Engineering Research Center for Production Mechanization of Oasis Special Economic Crop, Ministry of Education, for its support.

Conflicts of Interest

The authors declare no conflicts of interest.

References

  1. Ezeh, O.; Gordon, M.H.; Niranjan, K. Tiger nut oil (Cyperus esculentus L.): A review of its composition and physico-chemical properties. Eur. J. Lipid Sci. Technol. 2014, 116, 783–794. [Google Scholar] [CrossRef]
  2. Bado, S.; Bazongo, P.; Son, G.; Kyaw, M.T.; Forster, B.P.; Nielen, S.; Lykke, A.M.; Ouédraogo, A.; Bassolé, I.H.N. Physicochemical characteristics and composition of three morphotypes of Cyperus esculentus tubers and tuber oil. J. Anal. Methods Chem. 2015, 2015, 673547. [Google Scholar] [CrossRef] [PubMed]
  3. Zhang, Y.; Sun, S. Tiger nut (Cyperus esculentus L.) oil: A review of bioactive compounds, extraction technologies, potential hazards and applications. Food Chem. X 2023, 19, 100868. [Google Scholar] [CrossRef] [PubMed]
  4. Nwosu, L.C.; Edo, G.I.; Ozgur, E. The phytochemical, proximate, pharmacological, GC-MS analysis of Cyperus esculentus (Tiger nut): A fully validated approach in health, food and nutrition. Food Biosci. 2022, 46, 101551. [Google Scholar] [CrossRef]
  5. Edo, G.I.; Ugbune, U.; Ezekiel, G.O.; Onoharigho, F.O.; Agbo, J.J. Cyperus esculentus (tiger nut): Its application in agriculture, food, health and nutrition. A review. Vegetos 2023, 1–10. Available online: https://springer.longhoe.net/article/10.1007/s42535-023-00672-8 (accessed on 5 July 2024). [CrossRef]
  6. Nina, G.C.; Goncharov, A.; Batishcheva, N.; Vlasov, S.; Okuskhanova, E.; Císarová, M. Proximate, mineral and functional properties of tiger nut flour extracted from different tiger nuts cultivar. J. Microbiol. Biotechnol. Food Sci. 2019, 9, 653–656. [Google Scholar] [CrossRef]
  7. He, X.N.; Zhang, X.J.; Zhao, Z.; Shang, S.Q.; Wang, D.W.; Yuan, X.W. Design and Test of Resistance-reducing Excavation Device of Cyperus edulis Based on Discrete Element Metho. Trans. Chin. Soc. Agric. Mach. 2021, 52, 124–133. [Google Scholar]
  8. He, X.N.; Zhang, X.J.; Zhao, Z.; Shang, S.Q.; Wang, D.W.; Yang, S. Design and Optimization Tests of Reverse Spin-throwing Cyperus edulis Starting Devic. Trans. Chin. Soc. Agric. Mach. 2022, 53, 34–43. [Google Scholar]
  9. Qi, J.T.; Gao, J.P.; Chen, S.; Chen, W.H.; Yang, L.Y.; Meng, H.W.; Kan, Z. Parameter Optimization of a Conveying and Separating Device Based on a Five-Stage Screw and Vibrating Screen for Tiger Nut Harvesters. Agriculture 2024, 14, 682. [Google Scholar] [CrossRef]
  10. Qiu, Z.F.; Li, Q.L.; Jiang, W.; Zhang, Z.Q.; Zhang, H.; Li, N.; Cui, Z.K.; Zhou, J. Research advance and perspective of Cyperus esculentus planting and harvesting machinery technology and equipment. J. Shanxi Agric. Univ. 2022, 42, 96–106. [Google Scholar] [CrossRef]
  11. He, X.; Lv, Y.; Qu, Z.; Wang, W.; Zhou, Z.; He, H. Parameters optimization and test of caterpillar self-propelled tiger nut harvester hoisting device. Agriculture 2022, 12, 1060. [Google Scholar] [CrossRef]
  12. Qu, Z.; Han, M.H.; Lv, Y.L.; Wang, W.Z.; He, X. Design and Test of a Crawler-Type Tiger-Nut Combine Harvester. Agriculture 2023, 13, 277. [Google Scholar] [CrossRef]
  13. Zhang, H.M.; Zhou, Z.; Qu, Z.; Li, Z.J.; Wang, W.Z. Simulation and experiment of sieving process of sieving device for tiger nut harvester. Agriculture 2022, 12, 1680. [Google Scholar] [CrossRef]
  14. Zheng, X.S.; Shang, S.Q.; Wang, D.W.; Li, C.P.; Li, M.H. Analysis and Experimental Study of Air and Screen Cyperus esculentus L. Cleaning Device. J. Agric. Mech. Res. 2024, 46, 146–153+159. [Google Scholar] [CrossRef]
  15. Zhang, S.W.; Zhang, R.Y.; Cao, Q.Q.; Zhang, Y.; Fu, J. Design and Experiment of Double-deck Roller Sieve Type Fruit Impurity Separation Device for Tiger Nut Harvester. Trans. Chin. Soc. Agric. Mach. 2023, 54, 148–157. [Google Scholar]
  16. Ma, Z.; Han, M.; Li, Y.; Gao, H.; Lu, E.; Fa, C.D.; Ma, K. Motion of cereal particles on variable-amplitude sieve as determined by high-speed image analysis. Comput. Electron. Agric. 2020, 174, 105465. [Google Scholar] [CrossRef]
  17. Wang, L.; Yu, Y.; Zhang, S.; Feng, X.; Song, L. Bionic design and performance test of maize grain cleaning screen through earthworm motion characteristics. Int. J. Agric. Biol. Eng. 2021, 14, 12–21. [Google Scholar] [CrossRef]
  18. Lian, G.D.; Ma, L.N.; Feng, W.; Wei, X.X. Design and experiment of the cleaning device with double-layer vibrating air-sieve for edible sunflower seeds. Trans. Chin. Soc. Agric. Eng. 2023, 39, 55–65. [Google Scholar]
  19. Zhang, X.J.; Zhang, Y.H.; Shi, Z.L.; Ma, S.T.; Huang, S.; Cheng, J.P. Optimization and Experiment of Oil Sunflower Combined Harvester Cleaning Device. Trans. Chin. Soc. Agric. Mach. 2022, 53, 103–113. [Google Scholar]
  20. Krzysiak, Z.; Samociuk, W.; Zarajczyk, J.; Kaliniewicz, Z.; Pieniak, D.; Bogucki, M. Analysis of the sieve unit inclination angle in the cleaning process of oat grain in a rotary cleaning device. Processes 2020, 8, 346. [Google Scholar] [CrossRef]
  21. Voicu, G.; Constantin, G.A.; Tudor, P. Mathematical modeling of material movement on the sieves of the cleaning system at the cereal combine harvester. In Proceedings of the 48th International Symposium on Actual Tasks on Agricultural Engineering (ATAE), Electr Network, Zagreb, Croatia, 2–4 March 2021; pp. 189–199. Available online: https://webofscience.clarivate.cn/wos/alldb/full-record/WOS:000664133000020 (accessed on 5 July 2024).
  22. Wan, X.; Yuan, J.; Yang, J.; Liao, Y.; Liao, Q. Effects of working parameters on the performance of cyclone separator for rapeseed combine harvester based on CFD. Int. J. Agric. Biol. Eng. 2023, 16, 128–135. [Google Scholar] [CrossRef]
  23. Ma, Z.; Wan, Q.; Liu, W.; Zhang, Y.; Bu, K.; Du, W. Separation and cleaning of Leymus chinensis seed threshing material based on gas-solid coupling. Int. J. Agric. Biol. Eng. 2023, 16, 283–290. [Google Scholar] [CrossRef]
  24. Qin, M.Y.; Cao, M.; Wu, F.; Luo, W.; Guo, K.; Xu, H.; Hu, Z. Design and Parameter Optimization of a Negative-Pressure Peanut Fruit-Soil Separating Device. Agronomy 2023, 13, 2338. [Google Scholar] [CrossRef]
  25. Li, H.; Gao, F. Improvement design of separation and conveying machinery and equipment of potato excavator in heavy soil. Phys. Chem. Earth Parts A/B/C 2023, 130, 103363. [Google Scholar] [CrossRef]
  26. Ma, Y.H. Physics of Agricultural Materials; Chemical Industry Press: Beijing, China, 2015; pp. 69–83. ISBN 9978-7-122-25000-1. [Google Scholar]
  27. Wen, X.Y.; Jia, H.L.; Zhang, S.W.; Yuan, H.F.; Wang, G.; Chen, T.Y. Test of suspension velocity of granular fertilizer based on EDEM-Fluent coupling. Trans. Chin. Soc. Agric. Mach. 2020, 51, 69–77. [Google Scholar]
  28. Wang, L.J.; Song, L.L.; Feng, X.; Wang, H.S.; Li, Y.H. Research Status and Development Analysis of Screening Devices of Grain Combine Harvester. Trans. Chin. Soc. Agric. Mach. 2021, 52, 1–17. [Google Scholar]
  29. JB/T 7290-2007; Method for Determination of Seed Suspension Velocity of Forage Grass. China Standards Press: Beijing, China, 2007. Available online: https://www.jianceye.com/biaozhun/jb-t-7290-2007#preview (accessed on 5 July 2024).
  30. Ma, Q.C.; Lu, A.; Gao, L.X.; Wang, Z.G.; Tan, Z.H.; Li, X.Q. Aerodynamic characteristics of lotus seed mixtures and test on pneumatic separating device for lotus seed kernel and contaminants. Trans. Chin. Soc. Agric. Eng. 2015, 31, 297. [Google Scholar]
  31. An, S.G. Design and Experiment of Threshing and Separating Device for Cyperus esculentus. Master’s Thesis, Shihezi University, Shihezi, China, 2022. [Google Scholar] [CrossRef]
  32. Handbook of Agricultural Machinery Design (Second Volume); China Agricultural Science and Technology Press: Beijing, China, 2007.
  33. Li, B.F. Agricultural Machinery; China Agriculture Press: Beijing, China, 2018; pp. 236–242. ISBN 978-7-109-23840-4. [Google Scholar]
  34. Zhang, N. Research on Working Mechanism and Optimization Analysis of Chaffer Sieve Cleaning Device in Corn Grain Harvester. Doctor’s Thesis, Jilin University, Changchun, China, 2022. [Google Scholar] [CrossRef]
  35. T/NJ 1153-2022; Cyperus esculentus Harvester. China Standards Press: Beijing, China, 2022. Available online: https://www.moa.gov.cn/govpublic/NYJXHGLS/202302/t20230205_6419833.htm (accessed on 5 July 2024).
  36. GB/T 21962-2020; Maize Harvesting Machinery. China Standards Press: Beijing, China, 2020. Available online: http://c.gb688.cn/bzgk/gb/showGb?type=online&hcno=8AADB6C077370406D0E4F6FD6933B075 (accessed on 5 July 2024).
  37. Ortiz, C.; Torregrosa, A.; Castro-García, S. Citrus fruit movement assessment related to fruit damage during harvesting with an experimental low-frequency–high-amplitude device. Agronomy 2022, 12, 1337. [Google Scholar] [CrossRef]
Figure 1. Bean mixture: (a) tiger nuts; (b) rhizomes; (c) light impurities.
Figure 1. Bean mixture: (a) tiger nuts; (b) rhizomes; (c) light impurities.
Agronomy 14 01485 g001
Figure 2. The stress state of tiger nuts under the action of airflow.
Figure 2. The stress state of tiger nuts under the action of airflow.
Agronomy 14 01485 g002
Figure 3. WXS-1 agricultural material suspension test bench: 1—load net; 2—transparent straight pipe; 3—transparent pipe; 4—upper steady flow pipe; 5—frame; 6—axial fan.
Figure 3. WXS-1 agricultural material suspension test bench: 1—load net; 2—transparent straight pipe; 3—transparent pipe; 4—upper steady flow pipe; 5—frame; 6—axial fan.
Agronomy 14 01485 g003
Figure 4. Structure diagram of wind-screen bean impurity-separation device: (a) Wind-screen separation device; (b) Vibrating screen structure. 1—diversion hood; 2—frame; 3—driving mechanism; 4—screen body; 5—eccentric wheel; 6—connecting rod and rocker mechanism; 7—discharge screw conveyor; 8—cross-flow fan; 9—feeding device; 10—angle adjustment mechanism of screen body; 11—louver screen blade; 12—key-type picker; 13—connection plate between sieve and sieve body; 14—fixed block; 15—adjustment mechanism of screen blades opening degree.
Figure 4. Structure diagram of wind-screen bean impurity-separation device: (a) Wind-screen separation device; (b) Vibrating screen structure. 1—diversion hood; 2—frame; 3—driving mechanism; 4—screen body; 5—eccentric wheel; 6—connecting rod and rocker mechanism; 7—discharge screw conveyor; 8—cross-flow fan; 9—feeding device; 10—angle adjustment mechanism of screen body; 11—louver screen blade; 12—key-type picker; 13—connection plate between sieve and sieve body; 14—fixed block; 15—adjustment mechanism of screen blades opening degree.
Agronomy 14 01485 g004
Figure 5. Separation process of bean impurity-separation device.
Figure 5. Separation process of bean impurity-separation device.
Agronomy 14 01485 g005
Figure 6. Structure diagram of separation chamber: 1—cross-flow fan; 2—wind guide plate; 3—sealing plate; 4—discharge screw conveyor; 5—louver screen blade; 6—key-type picker.
Figure 6. Structure diagram of separation chamber: 1—cross-flow fan; 2—wind guide plate; 3—sealing plate; 4—discharge screw conveyor; 5—louver screen blade; 6—key-type picker.
Agronomy 14 01485 g006
Figure 7. Motion diagram of vibrating screen.
Figure 7. Motion diagram of vibrating screen.
Agronomy 14 01485 g007
Figure 8. Stress analysis of materials in different motion states on the screen surface: (a) The force analysis of material sliding forward along the screen; (b) The force analysis of material sliding backward along the screen face; (c) The force analysis of material jumping along the screen surface. Fa is the force of airflow on material, N; F is the inertial force of the material, N; FN is the support force of the material, N; Ff is the friction force of the material, N; is the angle between the vibration direction and the screen surface, °.
Figure 8. Stress analysis of materials in different motion states on the screen surface: (a) The force analysis of material sliding forward along the screen; (b) The force analysis of material sliding backward along the screen face; (c) The force analysis of material jumping along the screen surface. Fa is the force of airflow on material, N; F is the inertial force of the material, N; FN is the support force of the material, N; Ff is the friction force of the material, N; is the angle between the vibration direction and the screen surface, °.
Agronomy 14 01485 g008
Figure 9. Experimental prototype of bean impurity-separation device: 1—crank connecting rod-rocker mechanism; 2—threshing mechanism; 3—separation chamber; 4—discharge screw conveyor; 5—cross-flow fan; 6—driving mechanism; 7—feeding mechanism.
Figure 9. Experimental prototype of bean impurity-separation device: 1—crank connecting rod-rocker mechanism; 2—threshing mechanism; 3—separation chamber; 4—discharge screw conveyor; 5—cross-flow fan; 6—driving mechanism; 7—feeding mechanism.
Agronomy 14 01485 g009
Figure 10. Single-factor tests results: (a) crank speed; (b) crank radius; (c) fan speed. The error bars represent the standard error of the mean.
Figure 10. Single-factor tests results: (a) crank speed; (b) crank radius; (c) fan speed. The error bars represent the standard error of the mean.
Agronomy 14 01485 g010
Figure 11. Effect of interaction of effects on impurity rate and loss rate: (a) Y1 = f (X1, 500, X3); (b) Y1 = f (45, X2, X3); (c) Y2 = f (X1, 500, X3); (d) Y2 = f (45, X2, X3).
Figure 11. Effect of interaction of effects on impurity rate and loss rate: (a) Y1 = f (X1, 500, X3); (b) Y1 = f (45, X2, X3); (c) Y2 = f (X1, 500, X3); (d) Y2 = f (45, X2, X3).
Agronomy 14 01485 g011
Table 1. The technical parameters of the cleaning and separation device of tiger nuts.
Table 1. The technical parameters of the cleaning and separation device of tiger nuts.
ParameterNumerical Value
Length × width × height/(mm × mm × mm)1900 × 1650 × 1950
Total power/kW16.5
Adjustment range of fan speed/(r/min)0~1500
Adjustment range of crank speed/(r/min)0~1000
Separation efficiency of separation device/(kg/min)78
Table 2. Factor levels table.
Table 2. Factor levels table.
LevelCrank Radius X1/(mm)Crank Speed
X2/(r·min−1)
Fan Speed
X3/(r·min−1)
−1354501050
0455001100
1555501150
Table 3. Test plan and result.
Table 3. Test plan and result.
No.X1X2X3Impurity Rate Y1 (%)Loss Rate
Y2 (%)
1−1−105.280.43
21−103.840.69
3−1103.480.85
41102.451.01
5−10−15.440.39
610−13.450.87
7−1014.150.75
81013.540.72
90−1−15.300.55
1001−12.870.75
110−114.150.56
120112.580.98
130002.410.52
140002.250.55
150002.450.49
Table 4. Regression model analysis of variance.
Table 4. Regression model analysis of variance.
IndexError SourceSome of SquaresDegree of FreedomMean SquareF-Valuep-ValueSignificant
Y1Model17.1491.983.71<0.0001**
X13.2113.21141.27<0.0001**
X26.4616.46284.11<0.0001**
X30.871210.871238.30.0016**
X1 X20.04210.0421.850.2321
X1 X30.476110.476120.930.006**
X2 X30.184910.18498.130.0358*
X 1 2 3.0313.03133.32<0.0001**
X 2 2 0.87310.87338.380.0016**
X 3 2 2.7912.79122.520.0001**
Residual0.113750.0227
Lack of fit0.091330.03042.720.2804
Pure terror0.022420.0112
Cor total17.251417.25
Model0.527590.058676.62<0.0001**
Y2X10.094610.0946123.680.0001**
X20.231210.2312302.22<0.0001**
X30.025310.025333.090.0022**
X1 X20.002510.00253.270.1304
X1 X30.06510.065850.0003**
X2 X30.012110.012115.820.0106*
X 1 2 0.03610.03647.070.001**
X 2 2 0.058910.058976.930.0003**
X 3 2 0.01510.01519.620.0068**
Residual0.003850.0008
Lack of fit0.00230.00070.750.6148
Pure terror0.001820.0009
Cor total0.531414
Note: p < 0.01 (extremely significant, **); 0.01 ≤ p < 0.05 (significant, *); p ≥ 0.05 (not significant).
Table 5. Certification test results.
Table 5. Certification test results.
Test No.Y1/%Y2/%
12.540.53
22.560.48
32.490.56
Average value2.530.52
Disclaimer/Publisher’s Note: The statements, opinions and data contained in all publications are solely those of the individual author(s) and contributor(s) and not of MDPI and/or the editor(s). MDPI and/or the editor(s) disclaim responsibility for any injury to people or property resulting from any ideas, methods, instructions or products referred to in the content.

Share and Cite

MDPI and ACS Style

Chen, W.; Yang, L.; Peng, H.; Kan, Z.; Meng, H.; Qi, J. Operation Mechanism Analysis and Parameter Optimization of Bean Impurity-Separation Device for Tiger Nut Harvester. Agronomy 2024, 14, 1485. https://doi.org/10.3390/agronomy14071485

AMA Style

Chen W, Yang L, Peng H, Kan Z, Meng H, Qi J. Operation Mechanism Analysis and Parameter Optimization of Bean Impurity-Separation Device for Tiger Nut Harvester. Agronomy. 2024; 14(7):1485. https://doi.org/10.3390/agronomy14071485

Chicago/Turabian Style

Chen, Wenhui, Luoyi Yang, Huijie Peng, Za Kan, Hewei Meng, and Jiangtao Qi. 2024. "Operation Mechanism Analysis and Parameter Optimization of Bean Impurity-Separation Device for Tiger Nut Harvester" Agronomy 14, no. 7: 1485. https://doi.org/10.3390/agronomy14071485

APA Style

Chen, W., Yang, L., Peng, H., Kan, Z., Meng, H., & Qi, J. (2024). Operation Mechanism Analysis and Parameter Optimization of Bean Impurity-Separation Device for Tiger Nut Harvester. Agronomy, 14(7), 1485. https://doi.org/10.3390/agronomy14071485

Note that from the first issue of 2016, this journal uses article numbers instead of page numbers. See further details here.

Article Metrics

Back to TopTop