MV-SSRP: Machine Vision Approach for Stress–Strain Measurement in Rice Plants
Abstract
1. Introduction
- Develop an integrated suite of machine vision measurement techniques, encompassing hardware, software, and physical modeling approaches, to enable non-destructive quantification of force-induced deformations in rice plants.
- Design an optimized rotating object detection network, YOLOv8sOBB, incorporating spatial channel reorganization convolution and channel attention mechanism, to enhance the accuracy of extracting detailed parameters associated with rice stem bending.
- Construct a physical model elucidating the stress–strain relationship in rice plants, enabling quantitative characterization of stress-induced deformations.
- Validate the feasibility and robustness of the proposed method.
2. Related Work
2.1. Rotating Target Detection
2.2. Stress–Strain Analysis
3. Materials and Methods
3.1. Machine Vision Acquisition Device
3.2. Strain Measurement Model
3.3. Stress–Strain Relationship Modeling
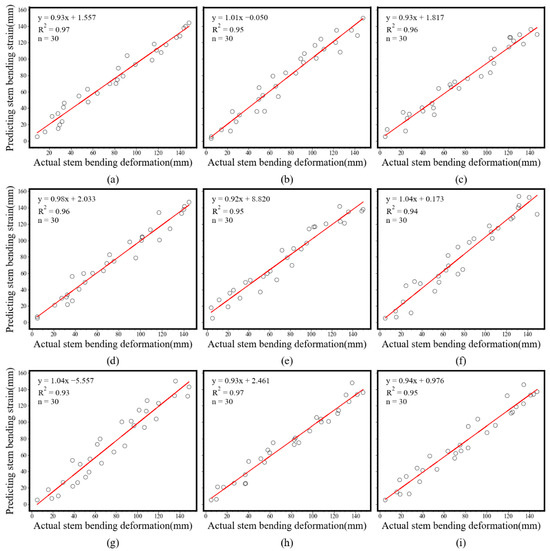
4. Results
4.1. Experimental Environment
4.2. Dataset
4.3. Evaluation Indicators
4.4. Experimental Results
5. Discussion
5.1. Comparative Analysis of Models
5.2. Ablation Discussion
6. Conclusions
Author Contributions
Funding
Data Availability Statement
Conflicts of Interest
References
- Wang, R.; Li, X.; Tan, M.; Xin, L.; Wang, X.; Wang, Y.; Jiang, M. Inter-provincial differences in rice multi-cropping changes in main double-cropping rice area in China: Evidence from provinces and households. Chin. Geogr. Sci. 2019, 29, 127–138. [Google Scholar] [CrossRef]
- Su, Y.; He, S.; Wang, K.; Shahtahmassebi, A.R.; Zhang, L.; Zhang, J.; Zhang, M.; Gan, M. Quantifying the sustainability of three types of agricultural production in China: An emergy analysis with the integration of environmental pollution. J. Clean. Prod. 2020, 252, 119650. [Google Scholar] [CrossRef]
- Shi, W.; Wang, M.; Liu, Y. Crop yield and production responses to climate disasters in China. Sci. Total Environ. 2021, 750, 141147. [Google Scholar] [CrossRef] [PubMed]
- Shah, L.; Yahya, M.; Shah, S.M.A.; Nadeem, M.; Ali, A.; Ali, A.; Wang, J.; Riaz, M.W.; Rehman, S.; Wu, W. Improving lodging resistance: Using wheat and rice as classical examples. Int. J. Mol. Sci. 2019, 20, 4211. [Google Scholar] [CrossRef]
- Song, X.; Hao, Y.; Wang, S.; Zhang, L.; Liu, H.; Yong, F.; Dong, Z.; Yuan, Q. Dynamic mechanical response and damage evolution of cemented tailings backfill with alkalized rice straw under SHPB cycle impact load. Constr. Build. Mater. 2022, 327, 127009. [Google Scholar] [CrossRef]
- Demey, M.L.; Mishra, R.C.; Van Der Straeten, D. Sound perception in plants: From ecological significance to molecular understanding. Trends Plant Sci. 2023, 28, 825–840. [Google Scholar] [CrossRef]
- Nutan, K.K.; Rathore, R.S.; Tripathi, A.K.; Mishra, M.; Pareek, A.; Singla-Pareek, S.L. Integrating the dynamics of yield traits in rice in response to environmental changes. J. Exp. Bot. 2020, 71, 490–506. [Google Scholar] [CrossRef]
- Chen, Z.; Li, P.; Jiang, S.; Chen, H.; Wang, J.; Cao, C. Evaluation of resource and energy utilization, environmental and economic benefits of rice water-saving irrigation technologies in a rice-wheat rotation system. Sci. Total Environ. 2021, 757, 143748. [Google Scholar] [CrossRef]
- Stubbs, C.J.; Oduntan, Y.A.; Keep, T.R.; Noble, S.D.; Robertson, D.J. The effect of plant weight on estimations of stalk lodging resistance. Plant Methods 2020, 16, 128. [Google Scholar] [CrossRef]
- Tang, Z.; Zhang, B.; Wang, B.; Wang, M.; Chen, H.; Li, Y. Breaking paths of rice stalks during threshing. Biosyst. Eng. 2021, 204, 346–357. [Google Scholar] [CrossRef]
- Zargar, O.; Zhao, Z.; Li, Q.; Zou, J.; Pharr, M.; Finlayson, S.; Muliana, A. A Photoacoustic Method to Measure the Young’s Modulus of Plant Tissues. Exp. Mech. 2023, 63, 1321–1333. [Google Scholar] [CrossRef]
- Rehman, T.U.; Mahmud, M.S.; Chang, Y.K.; Jin, J.; Shin, J. Current and future applications of statistical machine learning algorithms for agricultural machine vision systems. Comput. Electron. Agric. 2019, 156, 585–605. [Google Scholar] [CrossRef]
- Li, Y.; Huang, Q.; Pei, X.; Jiao, L.; Shang, R. RADet: Refine feature pyramid network and multi-layer attention network for arbitrary-oriented object detection of remote sensing images. Remote Sens. 2020, 12, 389. [Google Scholar] [CrossRef]
- Liu, Z.; Cai, Y.; Wang, H.; Chen, L.; Gao, H.; Jia, Y.; Li, Y. Robust target recognition and tracking of self-driving cars with radar and camera information fusion under severe weather conditions. IEEE Trans. Intell. Transp. Syst. 2021, 23, 6640–6653. [Google Scholar] [CrossRef]
- Yang, X.; Yan, J.; Ming, Q.; Wang, W.; Zhang, X.; Tian, Q. Rethinking rotated object detection with gaussian wasserstein distance loss. In Proceedings of the International Conference on Machine Learning, PMLR, Virtual, 18–24 July 2021; pp. 11830–11841. [Google Scholar]
- Fan, Q.; Cui, G.; Zhao, Z.; Shen, J. Obstacle Avoidance for Microrobots in Simulated Vascular Environment Based on Combined Path Planning. IEEE Robot. Autom. Lett. 2022, 7, 9794–9801. [Google Scholar] [CrossRef]
- Chen, Y.; Wu, Z.; Zhao, B.; Fan, C.; Shi, S. Weed and corn seedling detection in field based on multi feature fusion and support vector machine. Sensors 2020, 21, 212. [Google Scholar] [CrossRef] [PubMed]
- Breiman, L. Random forests. Mach. Learn. 2001, 45, 5–32. [Google Scholar] [CrossRef]
- Hearst, M.A.; Dumais, S.T.; Osuna, E.; Platt, J.; Scholkopf, B. Support vector machines. IEEE Intell. Syst. Their Appl. 1998, 13, 18–28. [Google Scholar] [CrossRef]
- Lu, Y.; Yi, S.; Zeng, N.; Liu, Y.; Zhang, Y. Identification of rice diseases using deep convolutional neural networks. Neurocomputing 2017, 267, 378–384. [Google Scholar] [CrossRef]
- Yang, X.; Yan, J.; Feng, Z.; He, T. R3det: Refined single-stage detector with feature refinement for rotating object. In Proceedings of the AAAI Conference on Artificial Intelligence, Virtual, 2–9 February 2021; pp. 3163–3171. [Google Scholar] [CrossRef]
- Xie, X.; Cheng, G.; Wang, J.; Yao, X.; Han, J. Oriented R-CNN for object detection. In Proceedings of the IEEE/CVF International Conference on Computer Vision, Montreal, BC, Canada, 11–17 October 2021; pp. 3520–3529. [Google Scholar] [CrossRef]
- Yang, Z.; Liu, S.; Hu, H.; Wang, L.; Lin, S. Reppoints: Point set representation for object detection. In Proceedings of the IEEE/CVF International Conference on Computer Vision, Seoul, Republic of Korea, 27 October–2 November 2019; pp. 9657–9666. [Google Scholar] [CrossRef]
- Han, J.; Ding, J.; Xue, N.; Xia, G.-S. Redet: A rotation-equivariant detector for aerial object detection. In Proceedings of the IEEE/CVF Conference on Computer Vision and Pattern Recognition, Nashville, TN, USA, 20–25 June 2021; pp. 2786–2795. [Google Scholar] [CrossRef]
- Huang, J.; Liu, W.; Zhou, F.; Peng, Y. Effect of multiscale structural parameters on the mechanical properties of rice stems. J. Mech. Behav. Biomed. Mater. 2018, 82, 239–247. [Google Scholar] [CrossRef]
- Yadav, S.; Singh, U.M.; Naik, S.M.; Venkateshwarlu, C.; Ramayya, P.J.; Raman, K.A.; Sandhu, N.; Kumar, A. Molecular mapping of QTLs associated with lodging resistance in dry direct-seeded rice (Oryza sativa L.). Front. Plant Sci. 2017, 8, 1431. [Google Scholar] [CrossRef]
- Challapalli, A.; Li, G. 3D printable biomimetic rod with superior buckling resistance designed by machine learning. Sci. Rep. 2020, 10, 20716. [Google Scholar] [CrossRef] [PubMed]
- Zhou, F.; Huang, J.; Liu, W.; Deng, T.; Jia, Z. Multiscale simulation of elastic modulus of rice stem. Biosyst. Eng. 2019, 187, 96–113. [Google Scholar] [CrossRef]
- Shi, Y.; Jiang, Y.; Wang, X.; Thuy, N.T.D.; Yu, H. A mechanical model of single wheat straw with failure characteristics based on discrete element method. Biosyst. Eng. 2023, 230, 1–15. [Google Scholar] [CrossRef]
- Ottesen, M.A.; Larson, R.A.; Stubbs, C.J.; Cook, D.D. A parameterised model of maize stem cross-sectional morphology. Biosyst. Eng. 2022, 218, 110–123. [Google Scholar] [CrossRef]
- Stubbs, C.J.; Larson, R.; Cook, D.D. Mapping spatially distributed material properties in finite element models of plant tissue using computed tomography. Biosyst. Eng. 2020, 200, 391–399. [Google Scholar] [CrossRef]
- Richely, E.; Bourmaud, A.; Placet, V.; Guessasma, S.; Beaugrand, J. A critical review of the ultrastructure, mechanics and modelling of flax fibres and their defects. Prog. Mater. Sci. 2022, 124, 100851. [Google Scholar] [CrossRef]
- Baley, C.; Gomina, M.; Breard, J.; Bourmaud, A.; Davies, P. Variability of mechanical properties of flax fibres for composite reinforcement. A review. Ind. Crops Prod. 2020, 145, 111984. [Google Scholar] [CrossRef]
- Hu, J.; Shen, L.; Sun, G. Squeeze-and-excitation networks. In Proceedings of the IEEE Conference on Computer Vision and Pattern Recognition, Salt Lake City, UT, USA, 18–23 June 2018; pp. 7132–7141. [Google Scholar] [CrossRef]
- Al-Zube, L.A.; Robertson, D.J.; Edwards, J.N.; Sun, W.; Cook, D.D. Measuring the compressive modulus of elasticity of pith-filled plant stems. Plant Methods 2017, 13, 99. [Google Scholar] [CrossRef]
- Li, J.; Wen, Y.; He, L. Scconv: Spatial and channel reconstruction convolution for feature redundancy. In Proceedings of the IEEE/CVF Conference on Computer Vision and Pattern Recognition, Vancouver, BC, Canada, 17–24 June 2023; pp. 6153–6162. [Google Scholar] [CrossRef]
- Li, X.; Wang, W.; Hu, X.; Yang, J. Selective kernel networks. In Proceedings of the IEEE/CVF Conference on Computer Vision and Pattern Recognition, Long Beach, CA, USA, 15–20 June 2019; pp. 510–519. [Google Scholar] [CrossRef]
- Hou, Q.; Zhou, D.; Feng, J. Coordinate Attention for efficient mobile network design. In Proceedings of the IEEE/CVF Conference on Computer Vision and Pattern Recognition, Virtual, 19–25 June 2021; pp. 13713–13722. [Google Scholar] [CrossRef]
- Wang, Q.; Wu, B.; Zhu, P.; Li, P.; Zuo, W.; Hu, Q. ECA-Net: Efficient channel attention for deep convolutional neural networks. In Proceedings of the IEEE/CVF Conference on Computer Vision and Pattern Recognition, Seattle, WA, USA, 13–19 June 2020; pp. 11534–11542. [Google Scholar] [CrossRef]
- Woo, S.; Park, J.; Lee, J.-Y.; Kweon, I.S. Cbam: Convolutional block attention module. In Proceedings of the European Conference on Computer Vision (ECCV), Munich, Germany, 4–14 September 2018; pp. 3–19. [Google Scholar] [CrossRef]









| Method | Precision (%) | mAP@0.5 (%) | mAP@.5:.95 (%) |
|---|---|---|---|
| R3Det | 85.3 | 81.5 | 41.7 |
| Rotated Faster R-CNN | 87.6 | 83.2 | 44.3 |
| Rotated RepPoints | 86.7 | 84.1 | 45.8 |
| ReDet | 83.9 | 80.7 | 40.5 |
| MV-SSRP (Ours) | 93.4 | 97.6 | 52.6 |
| Network Model | Accuracy (%) | Recall Rate (%) | Mean Accuracy mAP (%) | Target Loss Obj_loss |
|---|---|---|---|---|
| YOLOv8n-OBB | 83.1 | 87.3 | 87.1 | 0.0056 |
| YOLOv8l-OBB | 86.3 | 87.7 | 89.4 | 0.0044 |
| YOLOv8m-OBB | 81.9 | 85.6 | 81.9 | 0.0038 |
| YOLOv8x-OBB | 86.1 | 87.1 | 86.3 | 0.0052 |
| YOLOv8s-OBB | 88.6 | 93.5 | 93.8 | 0.0045 |
| Network Model | Accuracy (%) | Recall Rate (%) | Average Accuracy mAP (%) | Target Loss Obj_loss |
|---|---|---|---|---|
| 4CBAM + YOLOv8sOBB | 88.9 | 90.2 | 91.7 | 0.0048 |
| 4CoorAttention + YOLOv8sOBB | 86.2 | 86.7 | 85.2 | 0.0046 |
| 4ECA + YOLOv8sOBB | 84.5 | 83.5 | 82.8 | 0.0049 |
| 4SE + YOLOv8sOBB | 89.1 | 89.6 | 92.2 | 0.0046 |
| 4SKAttention + YOLOv8sOBB | 91.9 | 92.9 | 96.8 | 0.005 |
| MV-SSRP (Ours) | 93.4 | 92.6 | 97.6 | 0.0052 |
Disclaimer/Publisher’s Note: The statements, opinions and data contained in all publications are solely those of the individual author(s) and contributor(s) and not of MDPI and/or the editor(s). MDPI and/or the editor(s) disclaim responsibility for any injury to people or property resulting from any ideas, methods, instructions or products referred to in the content. |
© 2024 by the authors. Licensee MDPI, Basel, Switzerland. This article is an open access article distributed under the terms and conditions of the Creative Commons Attribution (CC BY) license (https://creativecommons.org/licenses/by/4.0/).
Share and Cite
Yi, W.; Zhang, X.; Dai, S.; Kuzmin, S.; Gerasimov, I.; Cheng, X. MV-SSRP: Machine Vision Approach for Stress–Strain Measurement in Rice Plants. Agronomy 2024, 14, 1443. https://doi.org/10.3390/agronomy14071443
Yi W, Zhang X, Dai S, Kuzmin S, Gerasimov I, Cheng X. MV-SSRP: Machine Vision Approach for Stress–Strain Measurement in Rice Plants. Agronomy. 2024; 14(7):1443. https://doi.org/10.3390/agronomy14071443
Chicago/Turabian StyleYi, Wenlong, Xunsheng Zhang, Shiming Dai, Sergey Kuzmin, Igor Gerasimov, and Xiangping Cheng. 2024. "MV-SSRP: Machine Vision Approach for Stress–Strain Measurement in Rice Plants" Agronomy 14, no. 7: 1443. https://doi.org/10.3390/agronomy14071443
APA StyleYi, W., Zhang, X., Dai, S., Kuzmin, S., Gerasimov, I., & Cheng, X. (2024). MV-SSRP: Machine Vision Approach for Stress–Strain Measurement in Rice Plants. Agronomy, 14(7), 1443. https://doi.org/10.3390/agronomy14071443

