Tuber Development and Tuber Yield Potential of Winged Bean (Psophocarpus tetragonolobus (L.) DC.), an Alternative Crop for Animal Feed
Abstract
1. Introduction
2. Materials and Methods
2.1. Plant Materials
2.2. Field Experiment
2.3. Data Collection for the Development of Tuber Winged Bean Varieties
2.4. Data Collection for the Tuber Yield Potential of Winged Bean Varieties
2.5. Data Analysis
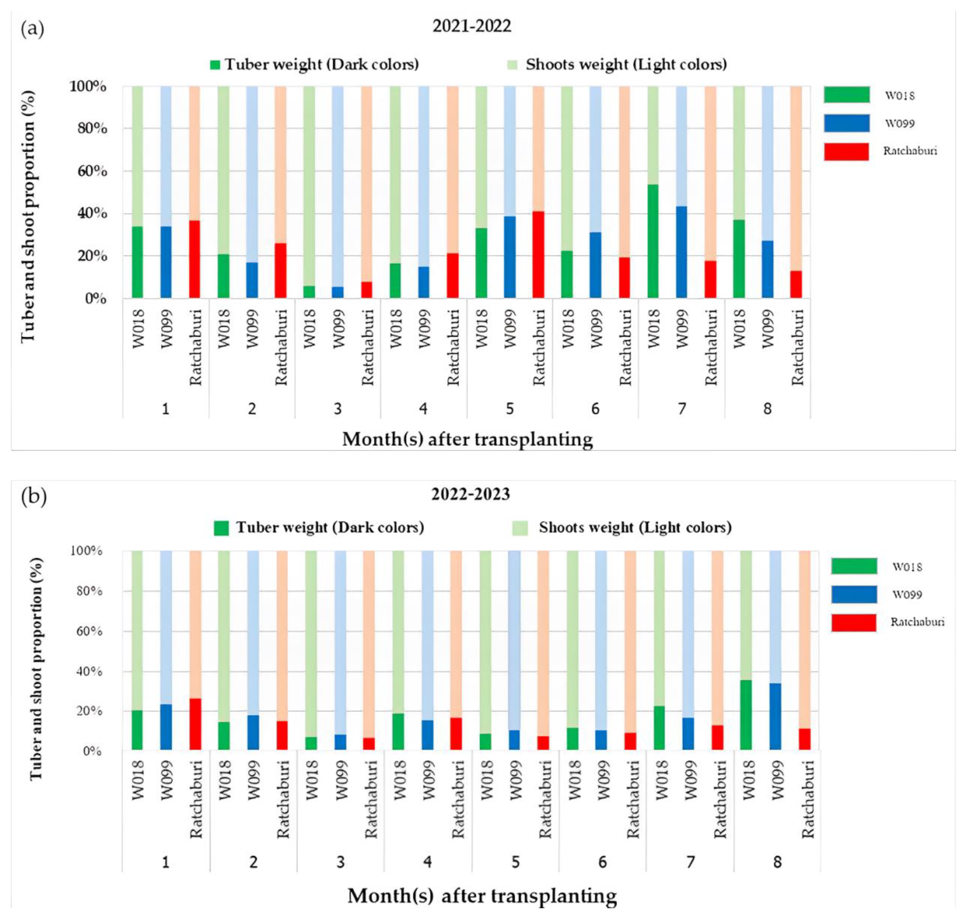
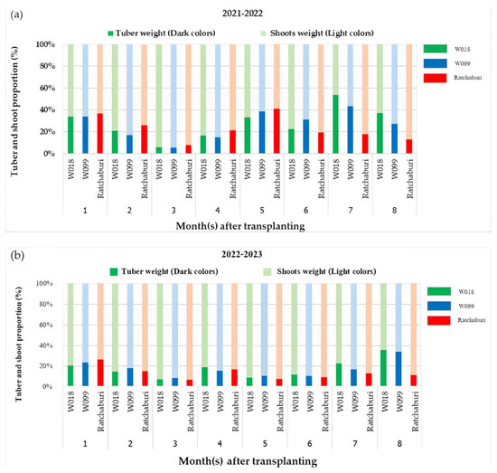
3. Results and Discussion
3.1. Combined Analysis of Variance
3.2. Morphological Change Patterns in Winged Bean Roots during Tuberization
3.3. Proximate Analysis of the Nutrients and Minerals in Winged Bean Tubers
3.4. Tuber Yield Potential of Three Winged Bean Cultivars
4. Conclusions
Supplementary Materials
Author Contributions
Funding
Data Availability Statement
Acknowledgments
Conflicts of Interest
References
- Vatanparast, M.; Shetty, P.; Chopra, R.; Doyle, J.J.; Sathyanarayana, N.; Egan, A.N. Transcriptome sequencing and marker development in winged bean (Psophocarpus tetragonolobus; Leguminosae). Sci. Rep. 2016, 6, 29070. [Google Scholar] [CrossRef] [PubMed]
- Wong, Q.N.; Tanzi, A.S.; Ho, W.K.; Malla, S.; Blythe, M.; Karunaratne, A.; Massawe, F.; Mayes, S. Development of Gene-Based SSR Markers in Winged Bean (Psophocarpus tetragonolobus (L.) DC.) for Diversity Assessment. Genes 2017, 8, 100. [Google Scholar] [CrossRef] [PubMed]
- Sri Kantha, S.; Erdman, J.W. The winged bean as an oil and protein source: A review. J. Am. Oil Chem. Soc. 1984, 61, 515–525. [Google Scholar] [CrossRef]
- Khan, T.N. Papua New Guinea: A center of genetic diversity in winged bean (Psophocrpus tetragonolobus (L.) DC.). Euphytica 1976, 25, 693–706. [Google Scholar] [CrossRef]
- Mohanty, C.S.; Verma, S.; Singh, V.; Khan, S.; Gaur, P.; Gupta, P.; Nizar, M.A.; Dikshit, N.; Pattanayak, R.; Shukla, A.; et al. Characterization of winged bean (Psophocarpus tetragonolobus (L.) DC.) based on molecular, chemical, and physiological parameters. Am. J. Mol. Biol. 2013, 3, 187–197. [Google Scholar] [CrossRef]
- Adegboyega, T.T.; Abberton, M.T.; Abdelgadir, A.A.H.; Dianda, M.; Maziya-Dixon, B.; Oyatomi, O.A.; Ofodile, S.; Babalola, O.O. Nutrient and antinutrient composition of winged bean (Psophocarpus tetragonolobus (L.) DC.) seeds and tubers. J. Food Qual. 2019, 2019, 3075208. [Google Scholar] [CrossRef]
- Sriwichai, S.; Monkham, T.; Sanitchon, J.; Jogloy, S.; Chankaew, S. Dual-purpose of the Winged Bean [Psophocarpus tetragonolobus (L.) DC.]; the neglected tropical legume, based on pod and tuber yields. Plants 2021, 10, 1746. [Google Scholar] [CrossRef] [PubMed]
- National Academy of Sciences. The Winged Bean: A High Protein Crop for the Tropics; National Academy of Sciences: Washington, DC, USA, 1975. [Google Scholar] [CrossRef]
- National Academy of Sciences. The Winged Bean: A High-Protein Crop for the Humid Tropics, 2nd ed.; National Academy of Sciences: Washington, DC, USA, 1981. [Google Scholar]
- Eagleton, G. Winged bean in Myanmar, revisted. Econ. Bot. 1999, 53, 342–352. [Google Scholar] [CrossRef]
- Tanzi, A.; Eagleton, G.; Ho, W.; Wong, Q.; Mayes, S.; Massawe, F. Winged bean (Psophocarpus tetragonolobus (L.) DC.) for food and nutritional security: Synthesis of past research and future direction. Planta 2019, 250, 911–931. [Google Scholar] [CrossRef]
- Food and Agriculture Organization. Coping with Climate Change—The Roles of Genetic Resources for Food and Agriculture; Food and Agriculture Organization of the United Nations: Rome, Italy, 2015. [Google Scholar]
- Suntara, C.; Wanapat, M.; Chankaew, S.; Khonkhaeng, B.; Supapong, C.; Chanjula, P.; Gunun, P.; Gunun, N.; Foiklang, S.; Phesatcha, K.; et al. Improvement of the Nutritional Quality of Psophocarpus tetragonolobus Tubers by Fermentation with Ruminal Crabtree-Negative Yeasts on the In Vitro Digestibility and Fermentation in Rumen Fluid. Fermentation 2022, 8, 209. [Google Scholar] [CrossRef]
- Suntara, C.; Sombuddee, N.; Lukbun, S.; Kanakai, N.; Srichompoo, P.; Chankaew, S.; Khonkhaeng, B.; Gunun, P.; Gunun, N.; Polyorach, S.; et al. In Vitro Evaluation of Winged Bean (Psophocarpus tetragonolobus) Tubers as an Alternative Feed for Ruminants. Animals 2023, 13, 677. [Google Scholar] [CrossRef]
- Srichompoo, P.; Suriyapha, C.; Suntara, C.; Chankaew, S.; Rakvong, T.; Cherdthong, A. Effect of Replacing Corn Meal with Winged Bean Tuber (Psophocarpus tetragonolobus) Pellet on Gas Production, Ruminal Fermentation, and Degradability Using In Vitro Gas Technique. Animals 2024, 14, 356. [Google Scholar] [CrossRef]
- Unnawong, N.; Suriyapha, C.; Khonkhaeng, B.; Chankaew, S.; Rakvong, T.; Polyorach, S.; Cherdthong, A. Comparison of Cassava Chips and Winged Bean Tubers with Various Starch Modifications on Chemical Composition, the Kinetics of Gas, Ruminal Degradation, and Ruminal Fermentation Characteristics Using an In Situ Nylon Bag and an In Vitro Gas Production Technique. Animals 2023, 13, 1640. [Google Scholar] [CrossRef] [PubMed]
- Kant, A.; Nandan, R.; Kole, P. Agronomic performance for tuber characters in winged bean [Psophocarpus tetragonolobus (L.) DC.]. Int. J. Econ. Plants 2018, 5, 86–89. [Google Scholar] [CrossRef]
- Eagleton, G. Winged bean (Psophocarpus tetragonolobus) cropping systems. Biodiversitas 2020, 21, 5927–5946. [Google Scholar] [CrossRef]
- Wong, K.C.; Schwabe, W.W. Effects of day length and day/night temperature on the growth, flowering, and tuber formation of winged bean (Psophocarpus tetragonolobus (L.) DC.). In Proceedings of the Conference on Legumes in the Tropics; University Pertanian Malaysia: Seri Kembangan, Malaysia, 1980. [Google Scholar]
- Bepary, R.H.; Roy, A.; Pathak, K.; Deka, S.C. Biochemical composition, bioactivity, processing, and food applications of winged bean (Psophocarpus tetragonolobus): A review. Legum. Sci. 2023, 5, e187. [Google Scholar] [CrossRef]
- Janket, A.; Vorasoot, N.; Toomsan, B.; Kaewpradit, W.; Theerakulpisut, P.; Holbrook, C.C.; Kvien, C.K.; Jogloy, S.; Banterng, P. Quantitative Evaluation of Macro-Nutrient Uptake by Cassava in a Tropical Savanna Climate. Agriculture 2021, 11, 1199. [Google Scholar] [CrossRef]
- Thiex, N.J.; Anderson, S.; Gildemeister, B.; Adcock, W.; Boedigheimer, J.; Bogren, E.; Coffin, R.; Conway, K.; DeBaker, A.; Frankenius, E.; et al. Crude Fat, Diethyl Ether Extraction, in Feed, Cereal Grain, and Forage (Randall/Soxtec/Submersion Method): Collaborative Study. J. AOAC Int. 2003, 86, 888–898. [Google Scholar] [CrossRef] [PubMed]
- R Core Team. R: A Language and Environment for Statistical Computing; R Foundation for Statistical Computing: Vienna, Austria, 2016; Available online: http://www.R-project.org/ (accessed on 30 December 2020).
- Palta, J.A.; Ganjeali, A.; Turner, N.C.; Siddique, K.H.M. Effects of transient subsurface waterlogging on root growth, plant biomass and yield of chickpea. Agric. Water Manag. 1999, 97, 1469–1476. [Google Scholar] [CrossRef]
- Domisch, T.; Qian, J.; Sondej, I.; Martz, F.; Lehto, T.; Piirainen, S.; Finer, L.; Silvennoinen, R.; Repo, T. Here comes the flood! Stress effects of continuous and interval waterlogging periods during the growing season on Scots pine saplings. Tree Physiol. 2020, 40, 869–885. [Google Scholar] [CrossRef]
- Sunani, S.; Dayal, V.; Soni, J.; Shakuntala, I.; Shettigar, N.; Kumar, A.; Singh, S. Cultivation practices of a potential crop Winged bean (Psophocarpus tetragonobus). In Potential Crops of Northeast India: Prospects and Challenges; ICAR Research Complex for NEH Region: Umiam, Meghalaya, India, 2021; pp. 144–150. Available online: https://www.researchgate.net/publication/354052493 (accessed on 25 July 2023).
- Burnaford, J.L. Habitat modification and refuge from sublethal stress drive a marine plant-herbivore association. Ecology 2004, 85, 2837–2849. [Google Scholar] [CrossRef]
- Rayees, A.L.; Kunwar, S.; Vinayak, S.A.; Nasreen, B.; Sumit, K.B.; Chandra, S.M.; Saroj, K.B. Adaptation of winged bean (Psophocarpus tetragonolobus (L.) DC.) to drought stress is mediated by root-tuber heat-shock proteins and specific metabolites. Curr. Plant Biol. 2022, 32, 100266. [Google Scholar] [CrossRef]
- Hastilestari, B.R.; Lorenz, J.; Reid, S.; Hofmann, J.; Pscheidt, D.; Sonnewald, U.; Sonnewald, S. Deciphering source and sink responses of potato plants (Solanum tuberosum L.) to elevated temperatures. Plant Cell Environ. 2018, 41, 2600–2616. [Google Scholar] [CrossRef] [PubMed]
- Martin, A.; Adam, H.; Díaz-Mendoza, M.; Marek, Z.; González-Schain, N.D.; Suárez-López, P. Graft-transmissible induction of potato tuberization by the microRNA miR172. Development 2009, 136, 2873–2881. [Google Scholar] [CrossRef] [PubMed]
- Lucas, W.J.; Groover, A.; Lichtenberger, R.; Furuta, K.; Yadav, S.R.; Helariutta, Y.; He, X.Q.; Fukuda, H.; Kang, J.; Brady, S.M.; et al. The plant vascular system: Evolution, development, and functions. J. Integr. Plant Biol. 2013, 55, 294–388. [Google Scholar] [CrossRef] [PubMed]
- Iseki, K.; Olaleye, O.; Matsumoto, R. Effect of leaf thinning on shoot growth and tuber yield of white Guinea yam. Plant Prod. Sci. 2022, 25, 11–19. [Google Scholar] [CrossRef]
- Daryanto, S.; Wang, L.; Jacinthe, P.A. Drought effects on root and tuber production: A meta-analysis. Agric. Water Manag. 2016, 176, 122–131. [Google Scholar] [CrossRef]
- Rüegg, J. Effects of temperature and water stress on the growth and yield of winged bean (Psophocarpus Tetragonolobus (L.) DC.). J. Hortic. Sci. 1981, 56, 331–338. [Google Scholar] [CrossRef]
- Wong, K.C. Effects of Day Length, Temperature, Light Intensity, and Applied Growth Substances on the Growth, Flowering and Tuberization of Winged Bean (Psophocarpus tetragonolobus (L.) DC.). Ph.D. Thesis, University Putra Malaysia, Seri Kembangan, Malaysia, 1983. Available online: http://psasir.upm.edu.my/id/eprint/10204 (accessed on 25 March 2024).
- Okubo, H.; Masunaga, T.; Yamashita, H.; Uemoto, S. Effects of photoperiod and temperature on tuberous root formation in winged bean (Psophocarpus tetragonolobus). Sci. Hortic. 1992, 49, 1–8. [Google Scholar] [CrossRef]





| Years | Variety | Tuber Fresh Weight (g/Plant) | |||||||
|---|---|---|---|---|---|---|---|---|---|
| Month (s) after Transplanting | |||||||||
| 1 | 2 | 3 | 4 | 5 | 6 | 7 | 8 | ||
| 2021–2022 | W018 | 13.97 | 15.26 b | 13.13 | 48.37 b | 343.52 a | 249.06 a | 347.90 a | 267.88 a |
| W099 | 12.18 | 11.71 c | 11.58 | 50.06 b | 310.64 a | 254.34 a | 213.66 b | 296.85 a | |
| Ratchaburi | 13.09 | 19.03 a | 11.04 | 71.17 a | 383.16 a | 153.08 b | 166.73 c | 73.72 b | |
| F-test | ns | ** | ns | * | ns | * | ** | ** | |
| CV% | 17.45 | 6.97 | 8.01 | 9.91 | 11.15 | 11.97 | 6.07 | 13.68 | |
| 2022–2023 | W018 | 3.05 b | 15.27 a | 16.52 | 32.77 | 23.05 b | 32.25 a | 84.36 a | 190.15 a |
| W099 | 5.31 a | 11.77 ab | 17.06 | 33.03 | 25.81 a | 28.96 b | 72.21 b | 153.09 b | |
| Ratchaburi | 2.99 b | 8.75 c | 19.53 | 28.79 | 19.20 c | 23.54 c | 52.53 c | 29.56 c | |
| F-test | * | * | ns | ns | ** | ** | ** | ** | |
| CV% | 19.82 | 16.66 | 13.99 | 11.84 | 4.91 | 2.59 | 4.92 | 12.01 | |
| Years | Variety | Tuber Width (mm) at Month (s) after Planting | |||||||
|---|---|---|---|---|---|---|---|---|---|
| Month (s) after Transplanting | |||||||||
| 1 | 2 | 3 | 4 | 5 | 6 | 7 | 8 | ||
| 2021–2022 | W018 | 2.16 | 4.54 | 4.365 | 15.44 a | 21.47 a | 29.29 a | 28.64 a | 34.65 a |
| W099 | 2.71 | 5.66 | 3.781 | 14.74 a | 17.67 b | 30.69 a | 28.61 a | 32.93 a | |
| Ratchaburi | 2.14 | 4.48 | 4.298 | 7.88 b | 19.07 b | 26.54 a | 21.99 b | 18.78 b | |
| F-test | ns | ns | ns | ** | * | ns | * | ** | |
| CV% | 12.52 | 13.26 | 14.07 | 13.17 | 4.16 | 10.55 | 8.35 | 5.68 | |
| 2022–2023 | W018 | 3.316 b | 5.54 a | 5.51 | 10.20 a | 10.86 b | 13.33 ab | 25.37 b | 29.46 a |
| W099 | 4.59 a | 4.24 ab | 5.63 | 11.42 a | 16.00 a | 16.19 a | 26.74 a | 28.53 a | |
| Ratchaburi | 3.12 b | 4.00 b | 5.39 | 6.3 b | 9.88 b | 9.53 b | 20.33 c | 10.91 b | |
| F-test | * | ns | ns | ** | ** | * | ** | ** | |
| CV% | 13.33 | 12.89 | 16.63 | 13.24 | 3.95 | 12.1 | 2.32 | 2.51 | |
| Years | Variety | Shoot Fresh Weight (g) | |||||||
|---|---|---|---|---|---|---|---|---|---|
| Month (s) after Transplanting | |||||||||
| 1 | 2 | 3 | 4 | 5 | 6 | 7 | 8 | ||
| 2021–2022 | W018 | 31.22 a | 44.87 b | 134.71 b | 245.21 | 726.40 a | 880.09 a | 301.63 b | 418.57 b |
| W099 | 16.88 b | 61.93 a | 207.74 a | 280.12 | 484.72 b | 465.81 c | 212.97 b | 770.89 a | |
| Ratchaburi | 33.54 a | 40.96 b | 140.84 b | 277.9 | 548.38 b | 638.01 b | 774.43 a | 494.32 b | |
| F-test | ** | ** | ** | ns | * | ** | ** | ** | |
| CV% | 5.97 | 6.33 | 9.9 | 12.14 | 10.98 | 3.6 | 11.07 | 9.39 | |
| 2022–2023 | W018 | 11.71 ab | 88.16 a | 219.53 b | 141.92 b | 231.2 | 241.34 | 289.76 b | 341.78 a |
| W099 | 17.34 a | 52.80 b | 182.74 c | 180.66 a | 209.14 | 243.74 | 357.77 a | 298.92 b | |
| Ratchaburi | 8.39 b | 48.46 b | 263.53 a | 142.89 b | 227.55 | 226.15 | 347.06 a | 228.77 c | |
| F-test | ns | * | ** | * | ns | ns | ** | ** | |
| CV% | 24.72 | 21.27 | 6.5 | 8.09 | 7.94 | 8.14 | 3.14 | 6.2 | |
| Years | Variety | Crude Protein Content (%) | |||||||
|---|---|---|---|---|---|---|---|---|---|
| Month (s) after Transplanting | |||||||||
| 1 | 2 | 3 | 4 | 5 | 6 | 7 | 8 | ||
| 2021–2022 | W018 | 19.90 | 19.37 | 12.67 b | 12.86 b | 13.87 | 12.32 b | 12.86 | 13.39 |
| W099 | 17.67 | 16.98 | 15.67 a | 14.44 ab | 14.09 | 11.76 c | 13.45 | 13.95 | |
| Ratchaburi | 17.71 | 16.46 | 16.83 a | 15.72 a | 13.04 | 14.02 a | 13.45 | 13.43 | |
| F-test | ns | ns | * | * | ns | ** | ns | ns | |
| CV% | 6.92 | 9.81 | 7.65 | 6.02 | 8.42 | 1.83 | 9.22 | 5.90 | |
| 2022–2023 | W018 | 22.37 | 16.73 c | 16.99 | 18.38 a | 15.27 | 16.53 a | 13.43 | 13.82 ab |
| W099 | 22.64 | 18.54 b | 15.53 | 18.21 a | 16.75 | 14.97 b | 13.11 | 14.14 a | |
| Ratchaburi | 24.16 | 19.74 a | 17.61 | 14.63 b | 15.18 | 12.70 c | 12.90 | 13.48 b | |
| F-test | ns | ** | ns | * | ns | ** | ns | * | |
| CV% | 9.36 | 2.58 | 5.32 | 6.51 | 7.67 | 2.82 | 2.52 | 1.24 | |
| Years | Variety | Fat Content (%) | |||||||
|---|---|---|---|---|---|---|---|---|---|
| Month(s) after Transplanting | |||||||||
| 1 | 2 | 3 | 4 | 5 | 6 | 7 | 8 | ||
| 2021–2022 | W018 | 7.53 a | 6.52 a | 1.27 c | 1.67 | 0.99 b | 3.48 c | 6.00 a | 1.32 |
| W099 | 7.91 a | 2.60 b | 4.30 a | 2.38 | 0.21 c | 6.46 a | 1.96 b | 1.20 | |
| Ratchaburi | 3.84 b | 2.36 b | 2.68 b | 2.63 | 3.14 a | 5.24 b | 0.72 c | 1.44 | |
| F-test | * | ** | ** | ns | ** | ** | ** | ns | |
| CV% | 5.95 | 2.55 | 5.78 | 9.49 | 4.61 | 2.46 | 9.86 | 3.64 | |
| 2022–2023 | W018 | 6.09 a | 2.56 a | 4.42 a | 3.08 | 1.85 | 6.23 a | 2.23 | 4.49 a |
| W099 | 4.95 a | 1.88 b | 4.49 a | 2.82 | 2.83 | 6.31 a | 2.58 | 4.73 a | |
| Ratchaburi | 1.91 b | 1.35 b | 0.39 b | 3.30 | 2.23 | 2.54 b | 1.99 | 3.21 b | |
| F-test | * | * | ** | ns | ns | * | ns | * | |
| CV% | 7.47 | 6.8 | 5.99 | 4.21 | 9.8 | 9.42 | 4.93 | 3.84 | |
| Variety | Tuber Yield (T/ha) | |
|---|---|---|
| 2021–2022 | 2022–2023 | |
| W018 | 22.49 a | 8.44 a |
| W099 | 19.35 a | 7.94 a |
| Ratchaburi | 7.42 b | 5.69 b |
| F-test | ** | * |
| CV% | 18.85 | 12.84 |
Disclaimer/Publisher’s Note: The statements, opinions and data contained in all publications are solely those of the individual author(s) and contributor(s) and not of MDPI and/or the editor(s). MDPI and/or the editor(s) disclaim responsibility for any injury to people or property resulting from any ideas, methods, instructions or products referred to in the content. |
© 2024 by the authors. Licensee MDPI, Basel, Switzerland. This article is an open access article distributed under the terms and conditions of the Creative Commons Attribution (CC BY) license (https://creativecommons.org/licenses/by/4.0/).
Share and Cite
Rakvong, T.; Monkham, T.; Sanitchon, J.; Chankaew, S. Tuber Development and Tuber Yield Potential of Winged Bean (Psophocarpus tetragonolobus (L.) DC.), an Alternative Crop for Animal Feed. Agronomy 2024, 14, 1433. https://doi.org/10.3390/agronomy14071433
Rakvong T, Monkham T, Sanitchon J, Chankaew S. Tuber Development and Tuber Yield Potential of Winged Bean (Psophocarpus tetragonolobus (L.) DC.), an Alternative Crop for Animal Feed. Agronomy. 2024; 14(7):1433. https://doi.org/10.3390/agronomy14071433
Chicago/Turabian StyleRakvong, Teppratan, Tidarat Monkham, Jirawat Sanitchon, and Sompong Chankaew. 2024. "Tuber Development and Tuber Yield Potential of Winged Bean (Psophocarpus tetragonolobus (L.) DC.), an Alternative Crop for Animal Feed" Agronomy 14, no. 7: 1433. https://doi.org/10.3390/agronomy14071433
APA StyleRakvong, T., Monkham, T., Sanitchon, J., & Chankaew, S. (2024). Tuber Development and Tuber Yield Potential of Winged Bean (Psophocarpus tetragonolobus (L.) DC.), an Alternative Crop for Animal Feed. Agronomy, 14(7), 1433. https://doi.org/10.3390/agronomy14071433

