Convolutional Neural Network-Based Estimation of Nitrogen Content in Regenerating Rice Leaves
Abstract
1. Introduction
2. Materials and Methods
2.1. Experimental Design
2.2. Hyperspectral Measurements
2.3. Determination of Nitrogen in Regenerated Rice
2.4. Extraction of Spectral Data
2.5. Predictive Modeling Dataset Construction
3. Prediction Method for Nitrogen Content of Regenerated Rice
3.1. Model Construction
3.2. Experimental Platform and Evaluation Indicators
4. Experiments and Analysis of Results
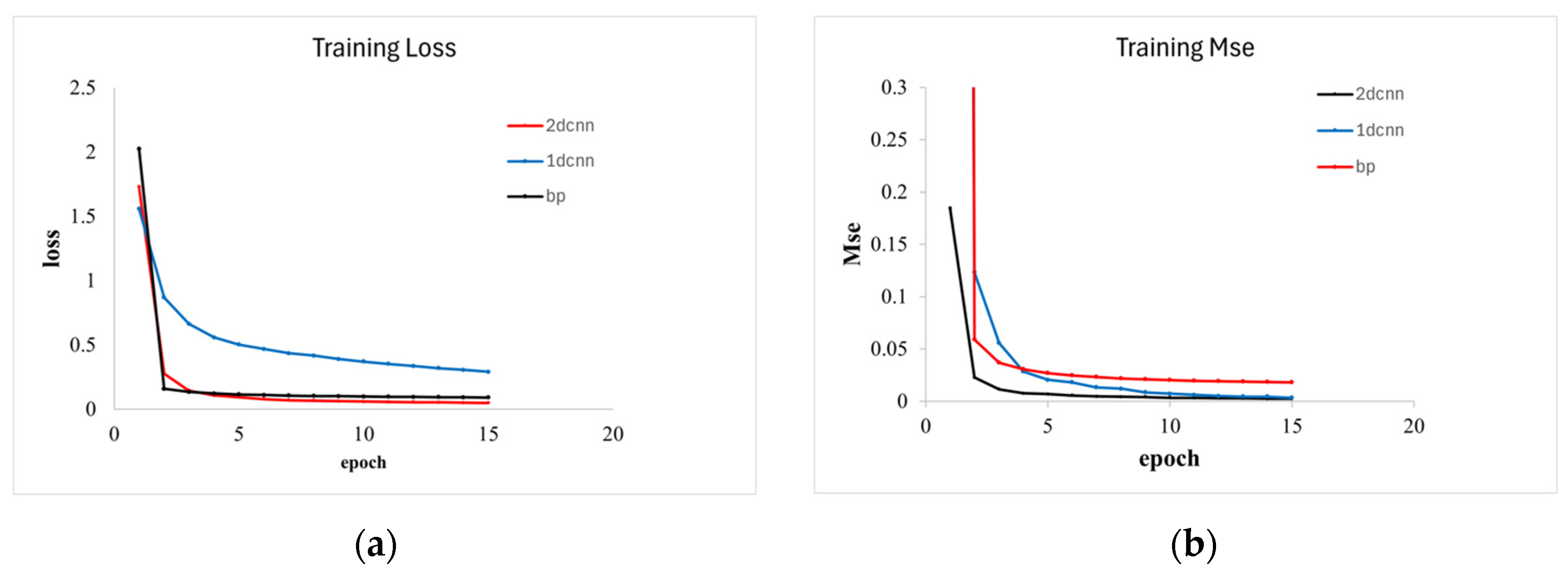
4.1. Model Training
4.2. Analysis of Results
5. Conclusions
Author Contributions
Funding
Data Availability Statement
Conflicts of Interest
Correction Statement
References
- Song, L.; Wang, S.; Ye, W. Establishment and application of critical nitrogen dilution curve for rice based on leaf dry matter. Agronomy 2020, 10, 367. [Google Scholar] [CrossRef]
- Wang, L.; Chen, S.; Li, D.; Wang, C.; Jiang, H.; Zheng, Q.; Peng, Z. Estimation of paddy rice nitrogen content and accumulation both at leaf and plant levels from UAV hyperspectral imagery. Remote Sens. 2021, 13, 2956. [Google Scholar] [CrossRef]
- Wei, L.; Ge, T.; Zhu, Z.; Ye, R.; Peñuelas, J.; Li, Y.; Lynn, T.M.; Jones, D.L.; Wu, J.; Kuzyakov, Y. Paddy soils have a much higher microbial biomass content than upland soils: A review of the origin, mechanisms, and drivers. Agric. Ecosyst. Environ. 2022, 326, 107798. [Google Scholar] [CrossRef]
- Zhang, F.; Cui, Z.L.; Fan, M.; Zhang, W.; Chen, X.; Jiang, R. Integrated soil-crop system management: Reducing environmental risk while increasing crop productivity and improving nutrient use efficiency in China. J. Environ. Qual. 2011, 40, 1051–1057. [Google Scholar] [CrossRef] [PubMed]
- Li, L.T.; Zhang, M.; Ren, T.; Li, X.K.; Cong, R.H.; Wu, L.S.; Lu, J.W. Diagnosis of N nutrition of rice using digital image processing technique. J. Plant Nutr. Fertil. 2015, 21, 259–268. [Google Scholar]
- Wu, Y.; Al-Jumaili, S.J.; Al-Jumeily, D.; Bian, H. Prediction of the Nitrogen Content of Rice Leaf Using Multi-Spectral Images Based on Hybrid Radial Basis Function Neural Network and Partial Least-Squares Regression. Sensors 2022, 22, 8626. [Google Scholar] [CrossRef] [PubMed]
- Zhao, Y.; Wang, J.; Chen, L.; Fu, Y.Y.; Zhu, H.C.; Feng, H.K.; Li, Z.H.; Xu, X.G. An entirely new approach based on remote sensing data to calculate thenitrogen nutrition index of winter wheat. J. Integr. Agric. 2021, 20, 2535–2551. [Google Scholar] [CrossRef]
- Guo, J.; Zhang, J.; Xiong, S.; Zhang, Z.; Wei, Q.; Zhang, W.; Feng, W.; Ma, X. Hyperspectral assessment of leaf nitrogen accumulation for winter wheat using different regression modeling. Precis. Agric. 2021, 22, 1634–1658. [Google Scholar] [CrossRef]
- Zha, H.; Miao, Y.; Wang, T.; Li, Y.; Zhang, J.; Sun, W.; Feng, Z.; Kusnierek, K. Improving Unmanned Aerial Vehicle Remote Sensing-Based Rice Nitrogen Nutrition Index Prediction with Machine Learning. Remote Sens. 2020, 12, 215. [Google Scholar] [CrossRef]
- Colorado, J.D.; Cera-Bornacelli, N.; Caldas, J.S.; Petro, E.; Rebolledo, M.C.; Cuellar, D.; Calderon, F.; Mondragon, I.F.; Jaramillo-Botero, A. Estimation of nitrogen in rice crops from UAV-captured images. Remote Sens. 2020, 12, 3396. [Google Scholar] [CrossRef]
- Tan, L.N.; Alwan, A.; Kossan, G.; Cody, M.L.; Taylor, C.E. Dynamic time warping and sparse representation classification for birdsong phrase classification using limited training data. J. Acoust. Soc. Am. 2015, 137, 1069–1080. [Google Scholar] [CrossRef] [PubMed]
- Zhang, L.L.; Lv, X. Estimation method of nitrogen content in rice leaves based on UAV hyperspectroscopy. Agric. Sci. Technol. Equip. 2021, 13–15. [Google Scholar]
- Sethy, P.K.; Barpanda, N.K.; Rath, A.K.; Behera, S.K. Nitrogen deficiency prediction of rice crop based on convolutional neural network. J. Ambient Intell. Humaniz. Comput. 2020, 11, 5703–5711. [Google Scholar] [CrossRef]
- Pourdarbani, R.; Sabzi, S.; Rohban, M.H.; Hernández-Hernández, J.L.; Gallardo-Bernal, I.; Herrera-Miranda, I.; García-Mateos, G. One-dimensional convolutional neural networks for hyperspectral analysis of nitrogen in plant leaves. Appl. Sci. 2021, 11, 11853. [Google Scholar] [CrossRef]
- Zhu, Y.; Abdalla, A.; Tang, Z.; Cen, H. Improving rice nitrogen stress diagnosis by denoising strips in hyperspectral images via deep learning. Biosyst. Eng. 2022, 219, 65–176. [Google Scholar] [CrossRef]
- Nelson, D.W.; Somers, L.E. Determination of total nitrogen in plant material. Agronomy 1973, 65, 109–112. [Google Scholar] [CrossRef]
- Setia, D.A.; Yeni, H.Y.; Lilik, B.; Hasbi, W.; Arai, K.; Okumura, H. Hiroshi Okumura, Nitrogen Content Estimation of Rice Crop Based on Near Infrared (NIR) Reflectance Using Artificial Neural Network (ANN). Procedia Environ. Sci. 2016, 33, 63–69. [Google Scholar] [CrossRef]
- Chicco, D.; Warrens, M.J.; Jurman, G. The coefficient of determination R-squared is more informative than SMAPE, MAE, MAPE, MSE and RMSE in regression analysis evaluation. Peerj Comput. Sci. 2021, 7, e623. [Google Scholar] [CrossRef] [PubMed]
- Shankar, T.; Malik, G.C.; Banerjee, M.; Dutta, S.; Praharaj, S.; Lalichetti, S.; Hossain, A. Predictionof the effect of nutrients on plant parameters of rice by artificial neural network. Agronomy 2022, 12, 2123. [Google Scholar] [CrossRef]
- Tripathi, R.; Mohanty, S.; Swain, C.K.; Das, S.; Nayak, P.; Moharana, K.C.; Mohapatra, S.D.; Goud, B.R.; Raghu, S.; Sahoo, R.N.; et al. Predicting chlorophyll and nitrogen content in rice using multiple regression models. J. Plant Nutr. 2024, 47, 881–904. [Google Scholar] [CrossRef]








| Experimental Treatment | Advantages | Shortcomings | References |
|---|---|---|---|
| Traditional chemical analysis methods | High accuracy | Time-consuming, high cost, not suitable for large-area, real-time monitoring | [2] |
| Machine learning methods (RF, SVM, and MLR) | Fast, simple, and suitable for small sample data | High computational complexity, need to adjust parameters, low applicability | [9,10] |
| Deep learning methods (BP, CNN + SVM, 1D-CNN, and DS-CNN) | Can adapt to complex features, suitable for large-scale data, noise resistance, powerful feature extraction ability | Requires a lot of data and computing resources | [12,13,14,15] |
| 2DCNN+FC+FC | Can adapt to complex features, suitable for large-scale data, noise resistance, strong feature extraction ability, can cope with the prediction of nitrogen content of recycled rice crops, and the prediction effect is good | Requires a lot of data and computing resources | This paper |
| Experimental Treatment | Nitrogen Fertilizer Applicationkg/hm2 | Cultivated Species | Different Rotary Plowing Depths/cm | Experimental Treatment | Nitrogen Fertilizer Application kg/hm2 | Cultivated Species | Different Rotary Plowing Depths/cm |
|---|---|---|---|---|---|---|---|
| T1 | - | Yongyou 4949 | 10 | T13 | 200 | Yongyou 499 | 15 |
| T2 | - | Kuiyou 1610 | 10 | T14 | 200 | Kuiyou 1610 | 15 |
| T3 | 180 | Yongyou 4949 | 10 | T15 | 220 | Yongyou 4949 | 15 |
| T4 | 180 | Kuiyou 1610 | 10 | T16 | 220 | Kuiyou 1610 | 15 |
| T5 | 200 | Yongyou 4949 | 10 | T17 | - | Yongyou 4949 | 20 |
| T6 | 200 | Kuiyou 1610 | 10 | T18 | - | Kuiyou 1610 | 20 |
| T7 | 220 | Yongyou 4949 | 10 | T19 | 180 | Yongyou 4949 | 20 |
| T8 | 220 | Kuiyou 1610 | 10 | T20 | 180 | Kuiyou 1610 | 20 |
| T9 | - | Yongyou 4949 | 15 | T21 | 200 | Yongyou 4949 | 20 |
| T10 | - | Kuiyou 1610 | 15 | T22 | 200 | Kuiyou 1610 | 20 |
| T11 | 180 | Yongyou 4949 | 15 | T23 | 220 | Yongyou 4949 | 20 |
| T12 | 180 | Kuiyou 1610 | 15 | T24 | 220 | Kuiyou 1610 | 20 |
| Different Growth Periods | Pictures (Sheets) | Nitrogen Average (g/100 g) |
|---|---|---|
| First flush of regenerated rice | 1700 | 1.28 |
| Regenerated rice first filling period | 1600 | 1.20 |
| Regenerated rice first season maturity | 2000 | 0.92 |
| Regenerated rice regeneration season fledging stage | 1000 | 1.32 |
| Irrigation period of regeneration season of regenerated rice | 1200 | 1.35 |
| Regeneration rice regeneration season maturity | 700 | 1.06 |
| Network Layer | Input Size | Output Size | Number of Filters | Filter Size | Pacemaker | Padding |
|---|---|---|---|---|---|---|
| 1 | 600 × 960 | 8 × 299 × 479 | 8 | [4,4] | [2,2] | “valid” |
| - | 8 × 299 × 479 | 8 × 150 × 240 | - | [2,2] | [2,2] | “same” |
| 2 | 8 × 150 × 240 | 8 × 74 × 119 | 8 | [4,4] | [2,2] | “valid” |
| - | 8 × 74 × 119 | 8 × 37 × 60 | - | [2,2] | [2,2] | “same” |
| 3 | 1 × 17,760 | 1 × 1000 | - | - | - | - |
| 4 | 1 × 1000 | 1 × 50 | - | - | - | - |
| Ratio | MSE |
|---|---|
| 9:1 | 0.0011 |
| 8:2 | 0.0005 |
| 7:3 | 0.0008 |
| 6:4 | 0.0012 |
| 5:5 | 0.0014 |
| Optimization Parameters | Setting Values |
|---|---|
| Activation function | ReLU |
| Momentum | 0.7 |
| Gradient descent optimization algorithm | RMSProp |
| Learning rate | 0.001 |
| Loss function | MAE |
| Randomized inactivation rate (training) | 0.5 |
| Random inactivation rate (test) | 0 |
| Batch_size | 9 |
Disclaimer/Publisher’s Note: The statements, opinions and data contained in all publications are solely those of the individual author(s) and contributor(s) and not of MDPI and/or the editor(s). MDPI and/or the editor(s) disclaim responsibility for any injury to people or property resulting from any ideas, methods, instructions or products referred to in the content. |
© 2024 by the authors. Licensee MDPI, Basel, Switzerland. This article is an open access article distributed under the terms and conditions of the Creative Commons Attribution (CC BY) license (https://creativecommons.org/licenses/by/4.0/).
Share and Cite
Hu, T.; Liu, Z.; Hu, R.; Tian, M.; Wang, Z.; Li, M.; Chen, G. Convolutional Neural Network-Based Estimation of Nitrogen Content in Regenerating Rice Leaves. Agronomy 2024, 14, 1422. https://doi.org/10.3390/agronomy14071422
Hu T, Liu Z, Hu R, Tian M, Wang Z, Li M, Chen G. Convolutional Neural Network-Based Estimation of Nitrogen Content in Regenerating Rice Leaves. Agronomy. 2024; 14(7):1422. https://doi.org/10.3390/agronomy14071422
Chicago/Turabian StyleHu, Tian, Zhihua Liu, Rong Hu, Mi Tian, Zhiwei Wang, Ming Li, and Guanghui Chen. 2024. "Convolutional Neural Network-Based Estimation of Nitrogen Content in Regenerating Rice Leaves" Agronomy 14, no. 7: 1422. https://doi.org/10.3390/agronomy14071422
APA StyleHu, T., Liu, Z., Hu, R., Tian, M., Wang, Z., Li, M., & Chen, G. (2024). Convolutional Neural Network-Based Estimation of Nitrogen Content in Regenerating Rice Leaves. Agronomy, 14(7), 1422. https://doi.org/10.3390/agronomy14071422
