Life Cycle Assessment and Life Cycle Costing for the Production of Hydrangeas in Antioquia—Colombia
Abstract
1. Introduction
2. Materials and Methods
2.1. Definition of Objectives and Scope
2.1.1. Description of the Case Study
2.1.2. Functional Unit and System Boundary
- -
- The hydrangea production cycle takes 36 weeks.
- -
- The energy used in the different stages of the hydrangea production process comes from a Colombian energy mix for the year 2021, which includes 81.82% hydroelectric, 11.1% natural gas, 5.4% coal, 1.07% oil, 0.44% solar, and 0.08% wind.
- -
- It is assumed that the crop has a useful life of 10 years; the materials for the infrastructure have a life of 10 years; wooden poles, tutoring net, and cardboard plastic box have a life of 5 years; and the bamboo poles, steel-based materials—wire, rods, tubing, and screws—and saran plastic have a life of 7 years.
- -
- It has been considered that one month is approximately 4.34 weeks.
- -
- Emissions of fertilizers, pesticides, and fuels to air and water were taken from the literature.
- -
- For liquid pesticides, the active ingredient was obtained from the Ecoinvent 3.8 database by combining it with a solvent and determining its concentration. If the active component could not be recognized, it was believed to be an herbicide, insecticide, or unidentified pesticide, and the concentration of the active ingredient listed in each of the reviewed technical datasheets had to be determined.
- -
- The salary costs were calculated using the value of the legal minimum established for Colombia in the year 2022 for workers, linked monthly, and the daily wages were calculated using the rate that the villagers have, which is approximately $13.09 USD, demonstrating that this value is consistent with that established by law.
- -
- The total income for the 36-week cycle includes income from the sale of flowers to marketers.
- -
- The income from hydrangeas was determined by considering only the selected species with an approximate value of $0.37 USD per flower.
2.2. Life Cycle Inventory and Date Source
2.3. Life Cycle Impact Assessment
2.4. Assessment of Life Cycle Costs
2.4.1. Internal Costs
2.4.2. External Costs
2.4.3. Economic Indicators
3. Results and Discussion
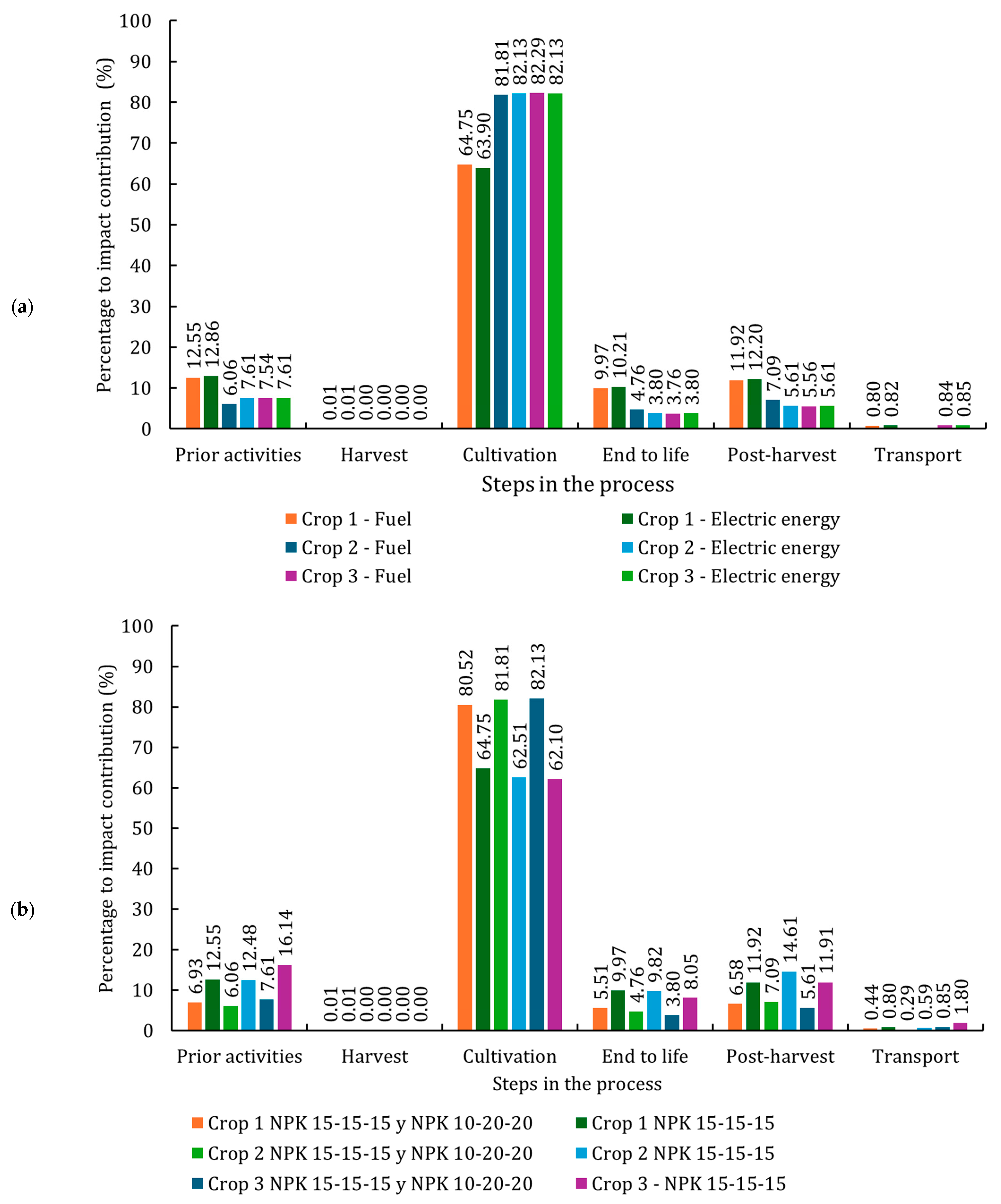
3.1. Environmental Life Cycle Analysis
3.2. Sensitivity Analysis
3.3. Economic Life Cycle Analysis
3.3.1. Analysis of Internal Costs
3.3.2. External Costs
3.3.3. Economic Indicators
4. Conclusions
Supplementary Materials
Author Contributions
Funding
Data Availability Statement
Acknowledgments
Conflicts of Interest
References
- Cámara de Comercio Oriente Antioqueño. (s.f.). Encadenamiento de Flores. 2023. Available online: https://ccoa.org.co/wp-content/uploads/2023/09/1_Presentacion_Encadenamiento-de-Flores.pdf (accessed on 19 July 2022).
- Ministerio de Agricultura y Desarrollo rural. Las flores del ‘País de la Belleza’ Conquistan el Mundo con Calidad. Available online: https://www.minagricultura.gov.co/noticias/Paginas/Las-flores-del-%E2%80%98Pa%C3%ADs-de-la-Belleza%E2%80%99-conquistan-el-mundo-con-calidad.aspx (accessed on 6 October 2023).
- González, M.A.; Arenas, C.N.; Ríos, J.A.; Miranda, J.; Bello, A.P.; Botero, J.; Betancur, M. Life-cycle assessment in hydrange cultivation in Colombia and their cleaner production strategies. Sustainability 2024, 16, 887. [Google Scholar] [CrossRef]
- Quimbita Calala, E. Análisis de Impacto Ambiental en una Florícola Mediante el Análisis de Ciclo de Vida. Recuperado el 14 de marzo de. 2024. Available online: https://repositorio.uisek.edu.ec/bitstream/123456789/4475/1/Quimbita%20Calala%20Edison%20Paul.pdf (accessed on 4 October 2021).
- Yi-Chen Lan Tam, V.; Xing, W.; Datt, R.; Chan, Z. Life cycle environmental impacts of cut flowers: A review. J. Clean. Prod. 2022, 369, 133415. [Google Scholar]
- Alvarenga, T.; Taboada Rodriguez, C.M.; Sartori, S.; Anese, R.; Alves de Alvarenga, A. Sustainable Horticulture: A bibliometric Study. Int. J. Adv. Eng. Res. Sci. (IJAERS) 2018, 5, 264224. [Google Scholar] [CrossRef]
- European Commssion. Life-Cycle Costing. 2024. Available online: https://green-business.ec.europa.eu/green-public-procurement/life-cycle-costing_en (accessed on 16 June 2022).
- Olivera, A.; Cristobal, S.; Saizar, C. Análisis de Ciclo de vida, ambiental, Económico y social. Una Herramienta para la Evaluación de Impactos y Soporte para la toma de Decisiones. 2016. Available online: https://catalogo.latu.org.uy/opac_css/doc_num.php?explnum_id=2238 (accessed on 16 June 2022).
- Sahle, A.; Potting, J. Environmental life cycle assessment of Ethiopian rose cultivation. Sci. Total Environ. 2013, 443, 163–172. [Google Scholar] [CrossRef]
- Abeliotis, K.; Barla, S.; Detsis, V.; Malindretos, G. Life cycle assessment of Carnation production in Greece. J. Clean. Prod. 2016, 112, 32–38. [Google Scholar] [CrossRef]
- Moreno, C.A.P.; Hernández, R.E.R.; Arredondo, H.I.V.; Lopera-Castro, S.H.; Hasenstab, C. An environemental evaluation of the cut-flower supply chain (Dendranthema grandiflora) through a life cycle assessment. Rev. EIA 2019, 16, 27–42. [Google Scholar] [CrossRef]
- ISO/TR 14040; Environmental Management—Life Cycle Assessment—Principles and Framework. ISO: Geneva, Switzerland, 2020.
- ISO/TR 14044; Environmental Management—Life Cycle Assessment—Requirements and Guidelines. ISO: Geneva, Switzerland, 2006.
- Instituto Colombiano Agropecuario (ICA); Asociación Colombiana de Exportadores de Flores (Asocolflores). Plan de Detección, Prevención y Contingencia de Thrips Palmi Karny en Ornamentales. Bogotá, Colombia. Available online: https://1library.co/document/q2n032pq-plan-deteccion-prevencion-contingencia-trips-palmi-karny-ornamentales.html (accessed on 21 July 2022).
- Dipoagro. Fertilizante NPK 15-15-15 Datasheet. 2022. Available online: https://diproagro.com/wp-content/uploads/2021/06/FICHA-TECNICA-TRIPLE-15.pdf (accessed on 19 July 2022).
- Universidad Pontificia Bolivariana (UPB). Informe Interno: Compostaje UPB; Sede Central Ecocampus: Medellín, Colombia, 2019. [Google Scholar]
- Fedearroz. Óptima Alternativa para el Control de Ácaros y Minadores: Abafed 18 E.C Datasheet. 2022. Available online: https://fedearroz.s3.amazonaws.com/media/documents/ABAFED_18_EC-FICHA_TECNICA_-_RN.pdf (accessed on 19 July 2022).
- Gowan Colombia. Magister 200 SC Datasheet. 2020. Available online: https://co.gowanco.com/sites/default/files/co_gowanco_com/_attachments/product/resource/label/ft-080-ver-cal_ft_magister.pdf (accessed on 19 July 2022).
- UPME. Calculadora Fecoc, 2016 para el Cálculo de Emisiones de CO2. 2016. Available online: http://www.upme.gov.co/calculadora_emisiones/aplicacion/calculadora.html (accessed on 16 June 2022).
- Dow AgroSciences LLC, 2021. Dithane M-45 WP NT, 2021. Available online: https://www.corteva.co/content/dam/dpagco/corteva/la/mesoandean/co/es/files/hojas-de-seguridad-2021/hojas-de-seguridad/hojas-de-seguridad-2021/DITHANE%20M45.pdf (accessed on 19 July 2022).
- Invensa. Ficha Técnica Candonfa 1.8 EC. 2020. Available online: https://www.invesa.com/wp-content/uploads/2017/06/FT_CANDONGA-1.pdf (accessed on 19 March 2023).
- OMA. Ficha Técnica Athrin Brio GQAA 100 EC. 2023. Available online: https://www.quimicosoma.com/archivos/FT_ATHRIN_BRIO_GQA_100_EC_2023.pdf (accessed on 19 March 2023).
- INTEROC, s.f. Imperius. Available online: https://www.interoc.biz/wp-content/uploads/2022/12/Ficha-Tecnica-Imperius.pdf (accessed on 19 March 2023).
- ADAMA. Ficha de Seguridad Divino 250 EC. 2021. Available online: https://apps.recintodelpensamiento.com/ComiteCafeteros/HojasSeguridad/Files/HojasSeg/SDSDivino250EC20231242160.PDF (accessed on 19 March 2023).
- Invensa. Ficha Técnica Centauro 720 SC. 2022. Available online: https://www.invesa.com/wp-content/uploads/2022/10/FT_CENTAURO_720_SC.pdf (accessed on 19 March 2023).
- Bayer. Ficha de datos de Seguridad Elosal GD. 2018. Available online: https://www.hortocampo.com/sites/default/files/fichas-tecnicas/elosal_gd_-_v4e.pdf (accessed on 19 March 2023).
- Syngéta. Ficha Técnica Score 250 CE. 2017. Available online: https://agrisolver.s3.amazonaws.com/2306/Ficha-T%C3%A9cnica-Score-250-CE-Syngenta-%28M%C3%A9xico%29.pdf (accessed on 19 March 2023).
- ALBAUGH. Ficha Técnica de Abax. 2023. Available online: https://www.albaughllc.com/docs/colombialibraries/productfiles/abax-480-sc-technical-bulletin-.pdf?sfvrsn=3818b38c_1 (accessed on 19 March 2023).
- Agroactivovol. Ficha Técnica Kurdo 250. 2019. Available online: https://agroactivocol.com/wp-content/uploads/2020/06/Kurdo.pdf (accessed on 19 March 2023).
- Difecol. Ficha Técnica Difecol. 2020. Available online: https://co.uplonline.com/download_links/9GrsFJORtBHu3Bs4BYUUPCILSlD7nqAM0hTFB85n.pdf (accessed on 19 March 2023).
- Dow AgroSciences LLC. Ficha técnica de Mancozeb. 2017. Available online: https://www.corteva.mx/content/dam/dpagco/corteva/la/mx/es/products/files/COBRETHANEWP_ETIQUETA_WEB_MEXICO_new.pdf (accessed on 19 March 2023).
- INTEROC. Ficha Técnica Acariboon. 2018. Available online: https://croper-production.s3.amazonaws.com/product_provider_files/files/000/013/447/original/FICHA_T%C3%89CNICA_ACARIBOOM.PDF (accessed on 19 March 2023).
- Point Colombia. Ficha Técnica Carbendazim Point 500 SC. 2020. Available online: https://point.com.co/wp-content/uploads/2021/12/FICHA-TECNICA_CARBENDAZIM-POINT.pdf (accessed on 19 March 2023).
- FMC. Ficha Técnico Cayenne. 2019. Available online: https://agrofarm.com.ec/wp-content/uploads/2021/pdf/cayenne.pdf (accessed on 19 March 2023).
- UPL OpenAg. Ficha Técnica Manzate 200 WG. 2019. Available online: https://co.uplonline.com/download_links/m5mhj7Xw0Llm4P1rTDyibPDyP77O8c2O8FtJVLFp.pdf (accessed on 19 March 2023).
- OMA. Ficha Técnica Mitipyr 250 SC. 2023. Available online: https://www.agroinfesa.com.co/wp-content/uploads/2023/02/FT-MITIPYR-240-SC.pdf (accessed on 19 March 2023).
- INTEROC. Ficha Técnica Santimec. 2017. Available online: https://croper-production.s3.amazonaws.com/product_provider_files/files/000/012/875/original/Ficha_T%C3%A9cnica_SANTIMEC.pdf (accessed on 19 March 2023).
- OMA. Ficha Técnica Spax 80 ME. 2023. Available online: https://www.agroinfesa.com.co/wp-content/uploads/2023/02/FT-SPAX-80-ME.pdf (accessed on 19 March 2023).
- BASF. Ficha Técnica Sunfire 24 SC. 2018. Available online: https://agroactivocol.com/wp-content/uploads/2022/10/FICHA-TECNICA-SUNFIRE-24-SC.pdf (accessed on 19 March 2023).
- Syngenta. Ficha Técnica Vertimec. 2014. Available online: https://www.dqagrocatalogo.com/ficha_tecnica/VERTIMEC_FT.pdf (accessed on 19 March 2023).
- XM. Reporte Integral de Sostenibilidad, Operación y Mercado 2021. Chapter 21. Oferta y Generación. Generación del Sistema Interconectado Nacional (SIN). 2021. Available online: https://informeanual.xm.com.co/informe/pages/xm/21-generacion-del-sin.html (accessed on 21 July 2022).
- Comotos. Bajaj Pulsar 135 LS|Precio, Ficha Técnica y Características. 2022. Available online: https://comotos.co/bajaj-pulsar-135-ls-precio-ficha-tecnica-y-caracteristicas/ (accessed on 19 July 2022).
- Sumatec. Las Guadañas Ideales para el corte de pasto y maleza. 2020. Available online: https://sumatec.co/las-guadanas-ideales-para-el-corte-de-pasto-y-maleza/ (accessed on 20 June 2022).
- Hergoualc’h, K.; Akiyama, H.; Benoux, M.; Chirinda, N.; del Prado, A.; Kasimir, A.; MacDonald, J.; Ogle, S.; Regina, K.; van der Weerden, T. N2O Emissions from Managed Soils, and CO2 Emissions from Lime and Urea Application. In 2019 Refinement to the 2006 IPCC Guidelines for National Greenhouse Gas Inventories; Intergovernmental Panel on Climate Change; IGES: Kanagawa, Japan, 2019. [Google Scholar]
- IPCC. IPCC Guidelines for National Greenhouse Gas Inventories; Eggleston, H.S., Buendia, L., Miwa, K., Ngara, T., Tanabe, K., Eds.; Prepared by the National Green-House Gas Inventories Programme; IGES: Kanagawa, Japan, 2006; Available online: https://www.ipcc-nggip.iges.or.jp/public/2006gl/index.html (accessed on 18 July 2022).
- European Environment Agency (EEA). EMEP/EEA Air Pollutant Emission Inventory Guidebook 2019. Technical Guidance to Prepare National Emission Inventories; Publications Office of the European Union: Copenhagen, Denmark, 2019. [Google Scholar]
- Nemecek, T.; Bengoa, X.; Rossi, V.; Humbert, S.; Lansche, J.; Mouron, P. World Food LCA Database: Methodological Guidelines for the Life Cycle Inventory of Agricultural Products; Version 3.5; World Food LCA Database (WFLDB): Lausanne, Switzerland; Zurich, Switzerland, 2019; Volume 88. [Google Scholar]
- Guinée, J.B.; Gorrée, M.; Heijungs, R.; Huppes, G.; Kleijn, R.; Koning, A.; Oers, L.; Wegener Sleeswijk, A.; Suh, S.; Udo de Haes, H.A.; et al. Handbook on Life Cycle Assessment. Operational Guide to the ISO Standards. I: LCA in Perspective. IIa: Guide. IIb: Operational annex. III: Scientific Background; Kluwer Academic Publishers: Dordrecht, The Netherlands, 2002. [Google Scholar]
- CML—Department of industrial Ecology (2016) CL-IA Characterisation Factors. Leiden University. Available online: https://www.universiteitleiden.nl/en/research/research-output/science/cml-ia-characterisation-factors (accessed on 2 August 2022).
- Cellura, M.; Longo, S.; Mistretta, M. Life Cycle Assessment (LCA) of protected crops: An Italian case study. J. Clean. Prod. 2012, 28, 56–62. [Google Scholar] [CrossRef]
- Romero-Gámez, M.; Suárez-Rey, E.M.; Antón, A.; Castilla, N.; Soriano, T. Environmental impacto screen house open-field cultivation using a life cycle analysis: The case study of green bean production. J. Clean. Prod. 2012, 28, 63–69. [Google Scholar] [CrossRef]
- Martin-Gorriz, B.; Gallego-Elvira, B.; Martínez-Alvarez, V.; Maestre-Valero, J.F. Life cycle assessment of fruit and vegetable production in the Region of Murcia (south-east Spain) and evaluation of impact mitigation practices. J. Clean. Prod. 2020, 265, 121656. [Google Scholar] [CrossRef]
- Zhou, H.; Qian, Y.; Kraslawski, A.; Yang, Q.; Yang, S. Life-cylce assessment of alternative liquid fuels production in China. Energy 2017, 139, 507–522. [Google Scholar] [CrossRef]
- Zhou, Y.; Xiao, C.; Yang, S.; Yin, H.; Yang, Z.; Chi, R. Life cycle assessment and life cycle cost analysis of compound microbial fertilizer production in China. Sustain. Prod. Consum. 2021, 28, 1622–1634. [Google Scholar] [CrossRef]
- Pa, A.; Bi, X.; Sokhansanj, S. Evaluation of Wood pellet application for residential heating in British Columbia based on a streamlined life cycle analysis. Biomass Bioenergy 2013, 49, 109–122. [Google Scholar] [CrossRef]
- Arulnathan, V.; Heidari, M.D.; Doyon, M.; Li, E.P.H.; Pelletier, N. Economic Indicators for Life Cycle Sustainability Assessment: Going beyond Life Cycle Costing. Sustainability 2023, 15, 13. [Google Scholar] [CrossRef]
- Thomasse, M.; Dolman, M.; van Calker, K.; de Boer, I. Relating life cycle assessment indicators to gross value added for Dutch dairy farms. Ecol. Econ. 2009, 68, 2278–2284. [Google Scholar] [CrossRef]
- Gençer, E.; Burniske, G.R.; Doering, O.C., III; Tyner, W.E.; Agrawal, R.; Delgass, W.N.; Ejeta, G.; McCann, M.C.; Carpita, N.C. Sustainable production of ammonia fertilizers from biomass. Biofuels Bioprod. Biorefining 2020, 14, 725–733. [Google Scholar] [CrossRef]
- Asocolflores. Guía Ambiental Para La Floricultura. Available online: https://www.google.com/search?q=59.Asocolflores.%20(2012).%20Gu%C3%ADa%20Ambiental%20Para%20La%20Floricultura (accessed on 1 September 2012).
- Cameron, K.C.; Di, H.J.; Moir, J.L. Nitrogen losses from the soil/plant system: A review. Ann. Appl. Biol. 2013, 162, 145–173. [Google Scholar] [CrossRef]
- Wainwright, H.; Jordan, C.; Day, H. Environmental impact of production horticulture. In Horticulture: Plants for People and Places; Springer: New York, NY, USA, 2014; Volume 1. [Google Scholar]
- Janz, B.; Havermann, F.; Lashermes, G.; Zuazos, P.; Engelsberger, F.; Torabi, S.M.; Butterbach-Bahí, K. Effects of crop residue incorporation and properties on combined soil gaseous N2O, NO, and NH3 emissions—A laboratory-based measurement approach. Sci. Te Total Environ. 2022, 807, 151051. [Google Scholar] [CrossRef] [PubMed]
- Sarkar, S.; Dias Bernardes Gil, J.; Keeley, J.; Möhring, N.; Jansen, K. The Use of Pesticides in Developing Countries and Their Impact on Health and the Right to Food; Policy Department for External Relations: Brussels, Belgium, 2021. [Google Scholar]
- Xiang, M.; Li, Y.; Yang, J.; Lei, K.; Li, Y.; Li, F.; Zheng, D.; Fang, X.; Cao, Y. Heavy metal contamination risk assessment and correlation analysis of heavy metal contents in soil and crops. Environ. Pollut. 2021, 278, 116911. [Google Scholar] [CrossRef]
- Rashid, A.; Schutte, B.J.; Ulery, A.; Deyholos, M.K.; Sanogo, S.; Lehnhoff, E.A.; Beck, L. Heavy Metal Contamination in Agricultural Soil: Environmental Pollutants Affecting Crop Health. Agronomy 2021, 13, 1521. [Google Scholar] [CrossRef]
- Makara, A.; Smol, M.; Kulczyckz, J.; Kowalski, Z. Technological, environmental and economic assessment of sodium tripolyphosphate production—A case study. J. Clean. Prod. 2016, 133, 243–251. [Google Scholar] [CrossRef]
- Holka, M.; Biénkowski, J. Carbon Footprint and Life-Cycle Costs of Maize Production in Conventional and Non-Inversion Tillage Systems. Agronomy 2020, 10, 1877. [Google Scholar] [CrossRef]
- Lokseh, K.; West, C.; Kuylentierna, J.; Fan, J.; Budarin, V.; Priecel, P.; Lopez-Sanchez, J.A.; Clark, J. Economic and agronomic impact assessment of wheat straw based alkyl polyglucoside produced using green chemical approaches. J. Clean. Prod. 2019, 209, 283–296. [Google Scholar] [CrossRef]
- Tamburini, E.; Pedrini, P.; Marchetti, M.G.; Fano, E.A.; Castaldelli, G. Life cycle based evaluation of environmental and economic impacts of agricultural productions in the Mediterranean Area. Sustainability 2015, 7, 2915–2935. [Google Scholar] [CrossRef]
- Dicer, I.; Abu-Rayash, A. Chapter 6—Sustainability modeling, Energy Sustainability; Academic Press: Cambridge, MA, USA, 2020; pp. 119–164. [Google Scholar]
- Organización mundial del Comercio.Informe Annual 2013; OMC: Ginebra, Suiza, 2013; Available online: https://sedici.unlp.edu.ar/bitstream/handle/10915/44143/OMC-_Informe_Anual_2013__148_p._.pdf?sequence=1&isAllowed=y (accessed on 19 July 2022).
- Arysta lifeScience. Polythion SC Datasheet. 2017. Available online: https://co.uplonline.com/download_links/zLGvxdHKI2OHMjD8SVDCzKRKv4rKIoZMsmcMdPwX.pdf (accessed on 19 July 2022).
- UPL. Ficha tècnica- Fungicida còdigo FRAC: M02 – Polythion SN. 2020. Available online: https://co.uplcorp.com/download_links/HQ1eJ0imQs0o2BswhL7Y6mD5EtQTo558HeBKaDQ1.pdf (accessed on 19 July 2022).
- Avgust Crop Protection. Difenazol 250 ED (Difenoconazole). Available online: https://avgust.com.pe/fungicidas/difenazol-250-ec/#:~:text=DIFENAZOL%20250%20EC%2C%20es%20un,a%20la%20muerte%20del%20hongo (accessed on 19 July 2022).
- Agrospec, Lambda cihalotrina 50-C. 2021. Available online: https://www.agrospec.cl/wp-content/uploads/2023/11/FT_LAMBDA-CIHALOTRINA-50-EC_08.2021.pdf (accessed on 19 July 2022).
- Syngenta S.A. POLO- 500 SC – Diafentiuron. 2019. Available online: https://www.syngenta.com.co/sites/g/files/kgtney501/files/media/document/2020/06/05/polo_250_sc_ficha_tecnica_agosto2019.pdf (accessed on 19 July 2022).
- Rotam Agro. Morfus – 72 SC – Chlorotalonil. 2013. Available online: https://www.asproagro.com/wp-content/uploads/2015/03/hojastecnicas/MORFUS%2072%20SC.pdf (accessed on 19 July 2022).
- InsuAgro. Metribuzin. Available online: https://www.insuagro.com.ar/images/pdf/productos/metribuzin.pdf (accessed on 19 July 2022).
- CAPEAGRO, ACARAMAC—Etoxazole. 2019. Available online: https://capeagro.com/wp-content/uploads/2019/11/ACARMAX-FICHA-TECNICA-1.pdf (accessed on 19 July 2022).
- Agroactivocol. Ficha técnica: Carbendazim. 2020. Available online: https://agroactivocol.com/wp-content/uploads/2020/09/Carbendazim.pdf (accessed on 19 July 2022).
- TAFIREL. Ficha técnica de Bifentrin. Available online: http://www.tafirel.com/Docs/es/FichaTecnica/bifentrintafirel.pdf (accessed on 19 July 2022).
- CAPEAGRO. Capefire 240—Chlorfenapry. 2019. Available online: https://capeagro.com/wp-content/uploads/2019/11/CAPEFIRE-240-SC-FICHA-TECNICA..pdf (accessed on 19 July 2022).
- PROFICOL S:A: Therin 89 EC. 2009. Available online: https://apps.recintodelpensamiento.com/comitecafeteros/hojasseguridad/Files/Fichas/THERON80EC2020930104257.pdf (accessed on 19 July 2022).
- Sociedad de Agricultores de Colombia and Ministerio de Ambiente (Colombia). Guía Ambiental para la Floricultura. 2002. Available online: http://hdl.handle.net/20.500.12324/13087 (accessed on 19 July 2022).






| Stage | Input | Crop 1 | Crop 2 | Crop 3 | Unit | Source | References |
|---|---|---|---|---|---|---|---|
| Soil preparation | Tractor fuel (diesel) | 0.002 | 0.002 | 1.57 × 10−3 | MJ | a, b, c | - |
| Agricultural lime | 0.014 | 0.002 | 0.012 | kg | a, c | - | |
| NPK triple 15 (15-15-15) | - | 0.006 | - | ||||
| Organic fertilizer (poultry manure) | 0.004 | 0.001 | 0.010 | kg | a, c | - | |
| Seeding | Clump | 0.103 | 0.061 | - | Unit | a | Considered neutral |
| Cutting | 0.018 | 0.061 | 0.121 | Unit | a | Considered neutral | |
| Infrastructure preparation | Saran plastic (HDPE) | 0.015 | 0.012 | 0.016 | kg | a, c | - |
| Bamboo poles | 0.116 | 0.093 | 0.042 | kg | a, c | - | |
| Woodwind poles (pine) | 1.69 × 10−5 | 1.36 × 10−5 | 1.35 × 10−5 | m3 | a, c | - | |
| Tutoring net (PP) | 4.85 × 10−4 | 1.87 × 10−4 | 3.87 × 10−4 | kg | a, c | - | |
| Polycarbonate sheet | - | - | 0.005 | kg | |||
| Trap oil | 0.001 | 2.09 × 10−4 | 2.13 × 10−5 | kg | a, c | - | |
| PVC pipe | 5.09 × 10−7 | 1.53 × 10−7 | 6.10 × 10−8 | kg | c, d | [14] | |
| Greenhouse plastic (PE) | 1.29 × 10−5 | 3.88 × 10−6 | 1.55 × 10−6 | kg | c, d | ||
| Steel-based materials: wire, rods, tubing, and screws | 0.001 | 2.72 × 10−4 | 2.40 × 10−4 | kg | a, c, d | ||
| Super board (Fiber Cement) | 0.005 | 0.004 | 0.001 | kg | a, c | - | |
| Cement floor | 0.014 | 0.011 | 0.008 | kg | a, c | - | |
| Fiber cement roof | 0.006 | 0.005 | 0.003 | kg | a, c | - | |
| Fertilization | NPK triple 15 (15-15-15) | 0.176 | 0.141 | 0.137 | kg | a, c, d | [15] |
| NPK 10-20-20 | - | 0.188 | 0.246 | kg | a, c, d | - | |
| Organic fertilizer (crop compost) | 0.092 | - | 0.432 | kg | a, b, c | [16] | |
| Vegetal waste mulching | 2.841 | 2.039 | 2.039 | kg | a | - | |
| Stem selection | Disinfectants (sodium hypochlorite) | 4.18 × 10−6 | - | 5.01 × 10−7 | L | a, c | - |
| Disinfectants yodosafer | - | 3.13 × 10−7 | - | - | - | - | |
| Water | 0.004 | 6.26 × 10−4 | 5.01 × 10−4 | kg | a, c | - | |
| Phytosanitary management | Abamectin-based pesticide (Abafed) | 0.005 | - | - | L | a, c, d | [17] |
| Fenazaquin-based pesticide (Magister) | 0.004 | - | - | L | a, c, d | [18] | |
| Sulfur-based pesticide (Polythion) | 0.015 | 0.020 | 0.006 | L | a, c, d | [19] | |
| Mancozeb-based pesticide (Dithane) | 0.015 | - | 0.004 | kg | a, c, d | [20] | |
| Abamectina-based pesticide (Candonga) | - | 0.002 | 9.02 × 10−5 | L | a, c, d | [21] | |
| Lamba-cyhalothina-based pesticide (Athrin) | - | 0.020 | - | L | a, c, d | [22] | |
| Imperius-based pesticide (Diafenthiuron) | - | 0.001 | 9.02 × 10−5 | L | a, c, d | [23] | |
| Difenoconcole-based pesticide (Divino) | - | 0.004 | - | L | a, c, d | [24] | |
| Clorotalonil-based pesticide (Centauro) | - | 0.001 | - | L | a, c, d | [25] | |
| Azufre-based pesticide (Elosal) | - | 0.005 | 0.005 | L | a, c, d | [26] | |
| Difeconazole-based pesticide (Score) | - | 4.51 × 10−4 | - | L | a, c, d | [27] | |
| Matribuzin-based pesticide (Abax) | - | - | 0.001 | L | a, c, d | [28] | |
| Difenoconazole-based pesticide (Kudo) | - | - | 144 | L | a, c, d | [29] | |
| Difenoconazole-based pesticide (Difecol) | - | - | 2.71 × 10−4 | kg | a, c, d | [30] | |
| Cobrethane-based pesticide (Mancozeb) | - | - | 0.01 | kg | a, c, d | [31] | |
| Acariboom-based pesticide (Etoxazole) | - | - | 1.80 × 10−4 | L | a, c, d | [32] | |
| Carbendazim | - | - | 0.003 | L | a, c, d | [33] | |
| Bufentrhin-based pesticide (Cayenne) | - | - | 9.02 × 10−5 | L | a, c, d | [34] | |
| Mancozeb-based pesticide (Manzate) | - | - | 0.001 | kg | a, c, d | [35] | |
| Chlorfenapyr-based pesticide (Mitipyr) | - | - | 3.61 × 10−4 | L | a, c, d | [36] | |
| Abamectina-based pesticide (Santimec) | - | - | 9.02 × 10−5 | L | a, c, d | [37] | |
| Difenoconazole-based pesticide (Spax) | - | - | 0.001 | L | a, c, d | [38] | |
| Chlorfenapyr-based pesticide (Sunfire) | - | - | 0.001 | L | a, c, d | [39] | |
| Abamectina-based pesticide (Vertimec) | - | - | 4.51 × 10−4 | L | a, c, d | [40] | |
| Rainwater | 24.012 | 14.395 | 14.402 | kg | a | Considered neutral | |
| Fuel for spraying (gasoline) | 0.011 | 0.014 | - | kg | a, c | - | |
| Fuel for transportation inputs (gasoline) | 0.011 | 0.008 | 0.018 | kg | a, c | - | |
| Engine oil | 2.32 × 10−4 | 3.04 × 10−4 | 6.91 × 10−5 | kg | a, c | - | |
| Electric energy | - | - | 0.08 | kWh | a, b, c | [41] | |
| Stem cutting | Disinfectants (sodium hypochlorite) | 3.46 × 10−5 | - | 4.16 × 10−6 | L | a, c | - |
| Disinfectants yodosafer | - | 2.69 × 10−6 | - | L | a, c | - | |
| Water | 0.035 | 4.31 × 10−4 | 4.16 × 10−3 | L | a, c | - | |
| Monitoring and make-up | Electric energy | 0.002 | 0.002 | 0.016 | kWh | a, b, c | [41] |
| Hydration | Water | 0.060 | 0.060 | 0.060 | kg | a, c | - |
| Hydrators (PP) | 0.006 | 0.006 | 0.006 | kg | a, c | - | |
| Rubber (natural rubber) | 0.003 | 0.006 | 0.006 | kg | a, c | - | |
| Caps (PP) | 0.031 | 0.031 | 0.003 | kg | a, c | - | |
| Packaging | Plast carton box (PP) | 0.001 | 2.55 × 10−4 | 1.02 × 10−4 | kg | a, c | - |
| Post-harvest area cleaning | Water | 0.035 | 0.010 | 0.004 | kg | a, c | - |
| Detergent soap | 2.03 × 10−4 | 6.08 × 10−5 | 2.43 × 10−5 | kg | a, c | - | |
| Transport to the marketer | Vehicle fuel (gasoline) | 0.002 | 0.001 | 0.005 | kg | a, b, c | [42] |
| Remaining stem removal | Fuel for mower (gasoline) | 0.002 | 0.003 | 3.23 × 10−3 | kg | a, b, c | [43] |
| Mower oil | 9.58 × 10−5 | 0.001 | 5.08 × 10−4 | kg | b, c | ||
| Composting | Vegetal waste | 0.150 | 0.150 | 0.150 | kg | a, c | - |
| Mulching of vegetal waste | Vegetal waste | 2.841 | 2.039 | 2.039 | kg | a | - |
| Step | Material/Activavity | Cost ($USD/kg) | ||
|---|---|---|---|---|
| Crop 1 | Crop 2 | Crop 3 | ||
| Prior activities | Tutoring net (PP) | 0.004 | 0.003 | 0.117 |
| Saran plastic (HDPE) | 0.022 | 0.017 | 0.033 | |
| Seeding | 0.055 | 0.014 | - | |
| Infrastructure preparation | 0.073 | 0.048 | 0.179 | |
| Cement floor | 0.003 | 0.003 | 0.001 | |
| Super board (Fiber Cement) | 0.002 | 0.002 | 0.001 | |
| Polycarbonate sheet | - | 0.008 | - | |
| Greenhouse plastic (PE) | 5.78 × 10−5 | 1.73 × 10−5 | 6.94 × 10−6 | |
| Steel-based materials: wire, rods, tubing, and screws | 0.017 | 0.009 | 0.010 | |
| Soil preparation | 0.355 | 0.008 | 0.017 | |
| Organic fertilizer (poultry manure) | 0.000 | 3.52 × 10−4 | 0.008 | |
| Trap oil | 0.002 | 0.001 | 2.13 × 10−4 | |
| Fiber cement roof | 0.003 | 0.002 | 3.31 × 10−4 | |
| NPK triple 15 (15-15-15) | - | 0.005 | - | |
| Bamboo poles | 0.015 | 0.008 | 0.001 | |
| Organic fertilizer (poultry manure) | 0.007 | 0.001 | 0.005 | |
| Woodwind poles (pine) | 0.004 | 0.003 | 0.007 | |
| PVC pipe | 1.60 × 10−4 | 4.80 × 10−5 | 1.92 × 10−5 | |
| Mano de obra | 0.058 | 0.040 | 0.040 | |
| Initial Capital Investment (ICI) | 0.099 | 0.082 | 0.101 | |
| Cultivation | Engine oil | 0.017 | 0.001 | 2.20 × 10−4 |
| Fertilization | 0.159 | 0.328 | 0.418 | |
| Phytosanitary management | 0.455 | 0.427 | 0.301 | |
| Raleo | 0.037 | 4.27 × 10−5 | 1.59 × 10−5 | |
| Water | 7.82 × 10−6 | 5.22 × 10−7 | 4.63 × 10−7 | |
| NPK triple 15 (15-15-15) | 0.159 | 0.127 | 0.124 | |
| NPK 10-20-20 | - | 0.201 | - | |
| Insecticides and pesticides | 0.375 | 0.405 | 0.181 | |
| Fuel | 0.018 | 0.018 | 0.014 | |
| Labor | 0.058 | 0.040 | 0.040 | |
| Harvesting | Stem cutting | 6.49 × 10−5 | 4.33 × 10−5 | 5.57 × 10−5 |
| Water | - | 4.33 × 10−6 | 3.84 × 10−6 | |
| Disinfectants yodosafer | - | 3.90 × 10−5 | - | |
| Disinfectants (sodium hypochlorite) | 3.29 × 10−5 | - | 3.95 × 10−6 | |
| Labor | 0.058 | 0.040 | 0.040 | |
| Post-harvest | Electric energy | 3.17 × 10−4 | 2.53 × 10−4 | 0.004 |
| Hidratacion | 0.322 | 0.298 | 0.176 | |
| Post-harvest area cleaning | 4.04 × 10−4 | 1.20 × 10−4 | 4.85 × 10−5 | |
| Plast carton box (PP) | 0.006 | 0.003 | 0.001 | |
| Water | 8.76 × 10−5 | 5.88 × 10−5 | 5.96 × 10−5 | |
| Monitoring and make-up | 0.141 | 2.53 × 10−4 | 0.004 | |
| Detergent soap | 3.72 × 10−4 | 1.12 × 10−4 | 4.47 × 10−5 | |
| Rubber (natural rubber) | 0.018 | 0.018 | 0.025 | |
| Hydrators (PP) | 0.045 | 0.060 | 0.036 | |
| Caps (PP) | 0.117 | 0.117 | 0.114 | |
| Labor | 0.058 | 0.040 | 0.040 | |
| Transport | Vehicle fuel (gasoline) | 0.002 | 0.001 | 0.004 |
| Mano de obra | 0.058 | 0.040 | 0.040 | |
| End to life | Remaining stem removal | 0.023 | 0.005 | 0.003 |
| Labor | 0.058 | 0.040 | 0.040 | |
| Pollutant | Emission Production (kg) | Coefficient ($USD/kg) [52] | ||
|---|---|---|---|---|
| Crop 1 | Crop 2 | Crop 3 | ||
| CO2 | 0.961 | 1.581 | 2.019 | $0.03 |
| CH4 | 1.17 × 10−5 | 1.19 × 10−5 | 1.15 × 10−5 | $0.23 |
| NOx | 7.50 × 10−4 | 0.001 | 0.001 | $5.09 |
| CO | 4.55 × 10−4 | 4.66 × 10−4 | 4.51 × 10−4 | $0.66 |
| PM | 4.60 × 10−5 | 4.71 × 10−5 | 4.55 × 10−5 | $11.53 |
| SOX | 3.86 × 10−5 | 3.95 × 10−5 | 3.83 × 10−5 | $3.90 |
| Indicator | Quantification | Equation |
|---|---|---|
| Payback period (PP) | Quantitative | |
| % Local suppliers | Quantitative | |
| Dependence on imports and contribution to exports | Quantitative | % of inputs obtained through imports |
| Financial profitability | Quantitative | |
| Total productivity | Quantitative | |
| Human productivity | Quantitative | |
| Infrastructure investment | Quantitative |
| Impacts | Units | Crop 1 | Crop 2 | Crop 3 |
|---|---|---|---|---|
| Acidification | kg SO2 eq | 0.012 | 0.012 | 0.233 |
| Climate change | kg CO2 eq | 0.961 | 1.581 | 2.019 |
| Freshwater aquatic ecotoxicity | kg 1,4-DB eq | 1.207 | 1.321 | 4.748 |
| Marine aquatic ecotoxicity | kg 1,4-DB eq | 803.897 | 1453.849 | 1795.372 |
| Terrestrial ecotoxicity | kg 1,4-DB eq | 0.572 | 0.570 | 0.759 |
| Abiotic depletion: fossil fuels | MJ | 10.668 | 16.575 | 20.038 |
| Eutrophication | kg PO42− eq | 0.008 | 0.010 | 0.064 |
| Human toxicity | kg 1,4-DB eq | 3.036 | 3.473 | 3.871 |
| Abiotic depletion potential: metals | kg Sb eq | 1.17 × 10−5 | 2.59 × 10−5 | 3.34 × 10−5 |
| Ozone depletion | kg CFC-11 eq | 7.75 × 10−8 | 1.23 × 10−7 | 1.66 × 10−7 |
| Photochemical oxidant formation | kg C2H2 eq | 2.38 × 10−4 | 2.80 × 10−4 | 3.61 × 10−4 |
| Etapa/Cost | Cost ($USD/kg of Flower) | ||
|---|---|---|---|
| Crop 1 | Crop 2 | Crop 3 | |
| Prior activities | 0.720 | 0.256 | 0.521 |
| Cultivation | 1.275 | 1.547 | 1.079 |
| Harvest | 0.058 | 0.041 | 0.041 |
| Post-harvest | 0.709 | 0.538 | 0.401 |
| Transport | 0.060 | 0.042 | 0.045 |
| End of cycle | 0.081 | 0.045 | 0.043 |
| Total | 2.903 | 2.468 | 3.128 |
| Cd | 0.010 | 0.010 | 0.010 |
| Internal Cost | 5.816 | 4.947 | 5.268 |
| Pollutant | Cost ($USD/kg) | ||
|---|---|---|---|
| Crop 1 | Crop 2 | Crop 3 | |
| CO2 | 0.029 | 0.047 | 0.0629 |
| CH4 | 2.69 × 10−6 | 2.74 × 10−6 | 2.65 × 10−6 |
| NOx | 0.004 | 0.001 | 0.005 |
| CO | 3 × 10−4 | 0.001 | 2.98 × 10−4 |
| PM | 0.001 | 0.001 | 0.001 |
| SOX | 1.51 × 10−4 | 0.001 | 1.49 × 10−4 |
| Total | 0.034 | 0.051 | 0.067 |
| Name of Indicator/Criteria | Crop 1 | Crop 2 | Crop 3 |
|---|---|---|---|
| Recovery period | 0.15 years | 0.10 years | 0.14 years |
| % local suppliers | 56% | 56% | 56% |
| Dependence on imports and contribution to exports | 44% | 44% | 44% |
| Financial profitability | 22% | 35% | 20% |
| Total productivity | 28% | 54% | 25% |
| Human productivity | 97% | 84% | 73% |
| Infrastructure investment | 16% | 8% | 15% |
Disclaimer/Publisher’s Note: The statements, opinions and data contained in all publications are solely those of the individual author(s) and contributor(s) and not of MDPI and/or the editor(s). MDPI and/or the editor(s) disclaim responsibility for any injury to people or property resulting from any ideas, methods, instructions or products referred to in the content. |
© 2024 by the authors. Licensee MDPI, Basel, Switzerland. This article is an open access article distributed under the terms and conditions of the Creative Commons Attribution (CC BY) license (https://creativecommons.org/licenses/by/4.0/).
Share and Cite
Arenas, C.N.; Bello, A.P.; Molina, N.F.; Botero, J.L.; Betancur, M. Life Cycle Assessment and Life Cycle Costing for the Production of Hydrangeas in Antioquia—Colombia. Agronomy 2024, 14, 1408. https://doi.org/10.3390/agronomy14071408
Arenas CN, Bello AP, Molina NF, Botero JL, Betancur M. Life Cycle Assessment and Life Cycle Costing for the Production of Hydrangeas in Antioquia—Colombia. Agronomy. 2024; 14(7):1408. https://doi.org/10.3390/agronomy14071408
Chicago/Turabian StyleArenas, Cindy Natalia, Ana Patricia Bello, Nicolas Fernando Molina, Jaime Leòn Botero, and Mariluz Betancur. 2024. "Life Cycle Assessment and Life Cycle Costing for the Production of Hydrangeas in Antioquia—Colombia" Agronomy 14, no. 7: 1408. https://doi.org/10.3390/agronomy14071408
APA StyleArenas, C. N., Bello, A. P., Molina, N. F., Botero, J. L., & Betancur, M. (2024). Life Cycle Assessment and Life Cycle Costing for the Production of Hydrangeas in Antioquia—Colombia. Agronomy, 14(7), 1408. https://doi.org/10.3390/agronomy14071408

