Reinoculation in Topdressing of Rhizobium tropici, Azospirillum brasilense, and the Micronutrients Mo/Co in Common Bean
Abstract
1. Introduction
2. Materials and Methods
2.1. Characterization of the Study Area
2.2. Experimental Design and Treatments
2.3. Implementation and Conduction
2.4. Evaluated Characteristics
2.5. Statistical Analysis
3. Results
3.1. Nodular Analyses
3.2. Morphological Analyses
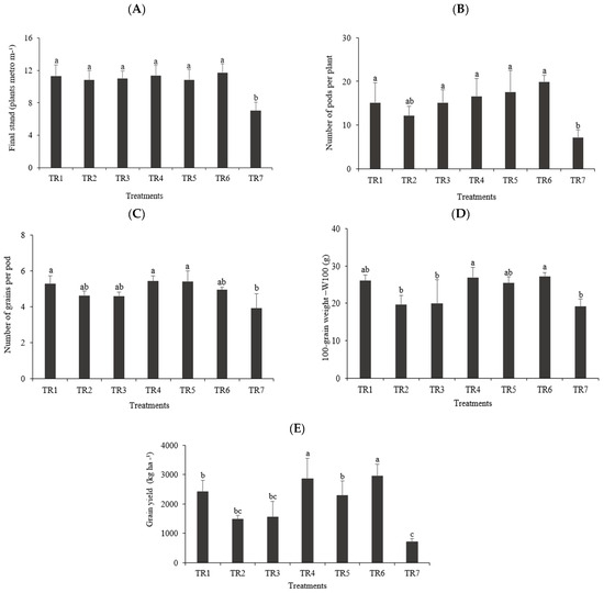
3.3. Agronomic Analyses
4. Discussion
4.1. Nodular Analyzes
4.2. Morphological Analyzes
4.3. Agronomic Analyzes
5. Conclusions
Author Contributions
Funding
Data Availability Statement
Acknowledgments
Conflicts of Interest
References
- Machiani, M.A.; Rezaei-Chiyaneh, E.; Javanmard, A.; Maggi, F.; Morshedloo, M.R. Evaluation of common bean (Phaseolus vulgaris L.) seed yield and quali-quantitative production of the essential oils from fennel (Foeniculum vulgare Mill.) and dragonhead (Dracocephalum moldavica L.) in intercropping system under humic acid application. J. Clean. Prod. 2019, 235, 112–122. [Google Scholar] [CrossRef]
- Delfini, J.; Moda-Cirino, V.; Ruas, C.D.F.; Santos Neto, J.; Ruas, P.M.; Buratto, J.S.; Ruas, E.A.; Conçalves, L.S.A. Distinctness of brazilian common bean cultivars with carioca and black grain by means of morphoagronomic and molecular descriptors. PLoS ONE 2017, 12, e0188798. [Google Scholar] [CrossRef] [PubMed]
- Losa, A.; Vorster, J.; Cominelli, E.; Sparvoli, F.; Paolo, D.; Sala, T.; Ferrari, M.; Carbonaro, M.; Marconi, S.; Camilli, E.; et al. Drought and heat affect common bean minerals and human diet—What we know and where to go. Food Energy Secur. 2022, 11, e351. [Google Scholar] [CrossRef]
- Faosfat. Statistical Databases. Food and Agriculture Organization of the United Nations. 2021. Available online: http://faostat3.fao.org/home/E (accessed on 26 March 2024). (In Portuguese).
- Pias, O.H.C.; Welter, C.A.; Tiecher, T.; Cherubin, M.R.; Flores, J.P.M.; Alves, L.A.; Bayer, C. Common bean yield responses to nitrogen fertilization in brazilian no-till soils: A meta-analysis. Rev. Bras. Cienc. Solo 2022, 46, e02200222. [Google Scholar] [CrossRef]
- Vieira, C.; Paula Júnior, T.J.; Borém, A. Feijão; UFV: Viçosa, Brazil, 2013; 600p. (In Portuguese) [Google Scholar]
- Samago, T.Y.; Endalkachew, W.A.; Dakora, F.D. Grain yield of common bean (Phaseolus vulgaris L.) varieties is markedly increased by rhizobial inoculation an phosphorus appliction in Ethiopia. Symbiosis 2018, 75, 245–255. [Google Scholar] [CrossRef] [PubMed]
- Sousa, W.S.; Soratro, R.P.; Peixoto, D.S.; Campos, T.S.; Silva, M.B.; Souza, A.G.V.; Teixeira, I.R.; Gitari, H.I. Effects of rhizobium inoculum compared with mineral nitrogen fertilizer on nodulation and seed yield of common bean. A meta-analysis. Agron. Sustain. Dev. 2022, 42, 52. [Google Scholar] [CrossRef]
- Hillel, D.; Rosenzweig, C. Biodiversity and food production. In Sustaining Life: How Human Health Depends on Biodiversity; Chivian, E., Bernstein, A., Eds.; Oxford University Press: New York, NY, USA, 2008; pp. 325–381. [Google Scholar]
- Shah, A.; Nazari, M.; Antar, M.; Msimbira, L.A.; Naamala, J.; Lyu, D.; Rabileh, M.; Zajonc, J.; Smith, D. L PGPR in agriculture: A sustainable approach to increasing climate change resilience. Front. Sustain. Food Syst. 2021, 5, 667546. [Google Scholar] [CrossRef]
- Chikanai, V.; Chikowo, R.; Vanlauwe, B. Response of common bean (Phaseolus vulgaris L.) to nitrogen phosphorus and rhrizobia inoculation across variable soils in Zimbabwe. Agric. Ecosyst. Environ. 2018, 266, 167–173. [Google Scholar] [CrossRef]
- Chojnacka, K.; Moustakas, K.; Witek-Krowiak, A. Bio-based fertilizers: A practical approach towards circular economy. Bioresour. Technol. 2020, 295, 122223. [Google Scholar] [CrossRef]
- Grzyb, A.; Wolna-Maruwka, A.; Niewiadomska, A. The significance of microbial transformation of nitrogen: Compounds in the light of integrated crop management. Agronomy 2021, 11, 1415. [Google Scholar] [CrossRef]
- Silva, H.A.P.; Caetano, V.S.; Pessôa, D.D.V.; Pacheco, R.S.; Meneses, C.H.S.G.; Simões-Araújo, J.L. Unraveling the drought-responsive transcriptomes in nodules of two common bean genotypes during biological nitrogen fixation. Front. Plant Sci. 2024, 15, 1345379. [Google Scholar] [CrossRef]
- Assegid, S.; Abera, G. Nitrogen fixation and yield of common bean varieties in response to shade and inoculation of common bean. Common bean. J. Plant Sci. Phytopathol. 2023, 7, 57–162. [Google Scholar] [CrossRef]
- Abd-Alla, M.H.; Al-Amri, S.M.; El-Enany, A.W.E. Enhancing rhizobium–legume symbiosis and reducing nitrogen fertilizer use are potential options for itigating climate change. Agriculture 2023, 13, 2092. [Google Scholar] [CrossRef]
- Brasil. Instrução Normativa SDA nº 13, de 24 de Março de 2011. Aprova as Normas Sobre Especificações, Garantias, Registro, Embalagem e Rotulagem Dos Inoculantes Destinados à Agricultura, Bem Como as Relações Dos Micro-Organismos Autorizados e Recomendados Para Produção de Inoculantes no Brasil, na Forma Dos Anexos I, II e III, Desta Instrução Normativa. Diário Oficial da União, 25 mar. 2011. Seção 1, p. 3. 2011. Available online: https://www.gov.br/agricultura/pt-br/assuntos/insumos-agropecuarios/insumos-agricolas/fertilizantes/legislacao/in-sda-13-de-24-03-2011-inoculantes.pdf/view (accessed on 16 June 2024). (In Portuguese)
- Fiori, A.K.; Gutuzzo, G.O.; Sanzovo, A.W.S.; Andrade, D.S.; Oliveira, A.L.M.; Rodrigues, E.P. Effects of Rhizobium tropici azide-resistant mutants on growth, nitrogen nutrition and nodulation of common bean (Phaseolus vulgaris L.). Rhizosphere 2021, 8, 100355. [Google Scholar] [CrossRef]
- Brito, L.F.; Pacheco, R.S.; Souza Filho, B.F.; Ferreira, E.P.B.; Straliotto, R.; Araújo, A.P. Response of common bean to rhizobium inoculation and supplemental mineral nitrogen in two brazilian biomes. Rev. Bras. Cien. Solo 2015, 39, 981–992. [Google Scholar] [CrossRef][Green Version]
- Oliveira, C.A.B.; Pelá, G.M.; Pelá, A. Inoculação com Rhizobiumtropici adubação foliar com molibdênio na cultura do feijão comum. Rev. Agric. Neotrop. 2017, 4, 43–50. (In Portuguese) [Google Scholar] [CrossRef][Green Version]
- Zafar, M.; Abbasi, M.K.; Khan, M.A.; Khaliq, T.; Sultan, T.; Aslam, M. Effect of plant growth-promoting Rhizobacteria on growth, nodulation and nutrient accumulation of lentili under controlled conditions. Pedosphere 2012, 22, 848–859. [Google Scholar] [CrossRef]
- Gabre, V.V.; Venancio, W.S.; Moraes, B.A.; Furmam, F.G.; Galvão, C.W.; Gonçalves, D.R.P.; Etto, R.M. Multiple effect of different plant growth promoting microorganisms on beans (Phaseolus vulgaris L.). Agron. Soil Sci. 2020, 63, e20190493. [Google Scholar] [CrossRef]
- Bulegon, L.G.; Rampi, L.; Klein, J.; Kestring, D.; Guimarães, V.F.; Battistus, A.G.; Nahaki, A.M. Componentes de produção e produtividade da cultura da soja submetida à inoculação de Bradyrhizobium e Azospirillum. Terra Latinoamérica 2016, 34, 169–170. [Google Scholar]
- Fipke, G.M.; Conceição, G.M.; Grando, L.F.T.; Ludwig, R.L.; Nunes, U.R.; Martin, T.N. Co-inoculation with diazotrophic bacteria in soybeans associated to urea topdressing. Cienc. Agrotec. 2016, 40, 522–533. [Google Scholar] [CrossRef]
- Leite, R.A.; Martins, L.C.; Ferreira, L.C.S.R.; Barbosa, E.S.; Alves, B.J.R.; Zilli, J.E.; Araújo, A.P.; Jesus, E.C. Co-inoculation of Rhizobium and Bradyrhizobium promotes growth and yield of common beans. Appl. Soil Ecol. 2021, 172, 104356. [Google Scholar] [CrossRef]
- Santos, M.S.; Nogueira, M.A.; Hungria, M. Outstanding impact of Azospirillum brasilense strains Ab-V5 and Ab-V6 on the brasilian agriculture: Lessons that farmers are receptive to adopt new microbial inoculants. Rev. Bras. Ciênc. Solo 2021, 45, e0200128. [Google Scholar] [CrossRef]
- Fatimah, F.K.; Khalifaa, A.Y.Z. Plant growth promoting bacteria drive food security. Braz. J. Biol. 2022, 82, e267257. [Google Scholar] [CrossRef]
- Fahde, S.; Boughribil, S.; Sijilmassi, B.; Ahmed Amri, A. Rhizobia: A promising source of plant growth-promoting molecules and their non-legume interactions: Examining applications and mechanisms. Agriculture 2023, 13, 1279. [Google Scholar] [CrossRef]
- Barbosa, H.M.; Alvarez, R.C.F.; Lima, S.F.; Cordeiro, M.A.S.; Zanella, M.S.; Bernardo, V.F. Bradyrhizobium and Azospirillum co-inoculation associated with cobalt and molybdenum. Cienc. Rural 2023, 53, e20210871. [Google Scholar] [CrossRef]
- Marschner, H. Mineral Nutrition of Higher Plants, 3rd ed.; Elsevier: London, UK, 2012; 643p. [Google Scholar]
- Brandelero, F.D.; Kutz, T.S.; Vargas, T.O.; Modolo, A.J.; Cassol, L.C.; Oliveira, M.C.; Santos, R.H.S. Foliar application of molybdenum on cover crops and response of common beans in successive cultivation1. Rev. Ceres 2020, 67, 35–41. [Google Scholar] [CrossRef]
- Hu, X.; Wei, X.; Ling, J.; Chen, J. Cobalt: An essential micronutrient for plant growth? Front. Plant Sci. 2021, 12, 768523. [Google Scholar] [CrossRef] [PubMed]
- Hungria, M.; Nogueira, M.A.; Araujo, R.S. Co-inoculation of soybeans and common beans with rhizobia and azospirilla: Strategies to improve sustainability. Biol. Fertil. Soils 2013, 49, 791–801. [Google Scholar] [CrossRef]
- Steiner, F.; Ferreira, C.P.; Zuffo, A.M. Can co-inoculation of Rhizobium tropici and Azospirillum brasilense increase common bean nodulation and grain yield? Semin. Ciências Agrárias 2018, 40, 81–98. [Google Scholar] [CrossRef]
- Zoffoli, B.C.; Brito, L.F.; Straliotto, R.; Araújo, A.P. Early nitrogen supplementation stimulates the nodulation and growth of common bean plants inoculated with rhizobium. Acta Scientiarum. Agron. 2021, 43, e55105. [Google Scholar] [CrossRef]
- Puppo, A.; Groten, K.; Bastian, F.; Carzaniga, R.; Soussi, M.; Lucas, M.M.; Felipe, M.R.; Harrison, J.; Vanacker, H.; Foyer, C.H. Legume nodule senescence: Roles for redox and hormone signaling in the orchestration of the natural aging process. New Phytol. 2005, 165, 683–701. [Google Scholar] [CrossRef] [PubMed]
- Zhou, S.; Zhang, C.; Huang, Y.; Chen, H.; Yuan, S.; Zhou, X. Characteristics and research rrogress of legume. Plants 2021, 10, 1103. [Google Scholar] [CrossRef] [PubMed]
- Moretti, L.G.; Lazarini, E.; Bossolani, J.W.; Parente, T.L.; Caioni, S.; Araújo, R.S.; Hungria, M. Can additional inoculations increase soybean nodulation and grain yield? Agron. J. 2018, 110, 715–721. [Google Scholar] [CrossRef]
- Teixeira, I.R.; Lopes, P.R.; Sousa, W.S.; Silva, G.C. Response of common bean to rhizobium reinoculation in topdressing. Rev. Bra. Eng. Agr. Amb. 2022, 26, 274–282. [Google Scholar] [CrossRef]
- Sousa, W.S.; Teixeira, I.R.; Campos, T.S.; Silva, G.C.; Silva, M.B.; Moreira, S.G. Supplementary reinoculation in topdressing of Rhizobium tropici in common bean crop: Effects on nodulation, morphology, and grain yield. J. Plant Nutr. 2021, 45, 3094–3108. [Google Scholar] [CrossRef]
- Almeida, Q.R.; Teixeira, I.R.; Silva, G.C.; Rocha, E.C.; Kikuti, H. Reinoculation of topdressing Rhizobium tropici combined or not with Azospirillum brasilense in common bean. Pesq. Agropec. Trop. 2022, 52, e73419. [Google Scholar] [CrossRef]
- Google earth. Google Earth Pro. 2021. Available online: https://www.google.com.br/earth/about/versions/#download-pro (accessed on 28 May 2021). (In Portuguese).
- Climate-data.org. Clima Goiás. 2021. Available online: https://pt.climate-data.org/america-do-sul/brasil/goias/goias-879942/ (accessed on 28 May 2021). (In Portuguese).
- Moreira, L.P.; Oliveira, A.P.S.; Ferreira, E.P.B. Nodulation, contribution of biological N2 fixation, and productivity of the common bean (Phaseolus vulgaris L.) inoculated with rhizobia isolates. Aust. J. Crop Sci. 2017, 11, 644–651. [Google Scholar] [CrossRef]
- Silva, F.C.D.S. Manual de Análises Químicas De Solos, Plantas e Fertilizantes; Embrapa Solos: Rio de Janeiro, Brazil, 2009; 627p. (In Portuguese) [Google Scholar]
- Teixeira, P.C.; Donagema, G.K.; Fontana, A.; Teixeira, W.G. Manual de Métodos de Análise De Solos, 3rd ed.; Embrapa Solos: Rio de Janeiro, Brazil, 2017; 574p. (In Portuguese) [Google Scholar]
- Ferreira, D.F. Sisvar: A computer statistical analysis system. Cienc. Agrotec. 2011, 35, 1039–1042. [Google Scholar] [CrossRef]
- Hungria, M.; Ruschel, A.P. Atividade da nitrogenase e evolução do hidrogênio pelos nódulos de Phaseolusvulgaris. Rev. Bras. Cien. Solo 1987, 11, 175–188. [Google Scholar]
- Tristão, F.H.L.; Assis, M.W.D.; Mingotte, F.L.C.; Calor, P.S.; Souza, J.R.; Morello, O.F.; Lemos, L.B. Inoculação com Rhizobiumtropici associada à adubação nitrogenada em cobertura no desempenho agronômico do feijoeiro de inverno. Sci. Technol. Innov. Agron. 2019, 3, 191–201. (In Portuguese) [Google Scholar]
- Schossler, J.H.; Meert, L.; Rizzardi, D.A.; Michalovicz, L. Componentes de rendimento e produtividade do feijoeiro comum submetido à inoculação e co-inoculação com estirpes de Rhizobium tropicie Azospirillum brasilense. Rev. Sci. Agraria 2016, 17, 10–15. (In Portuguese) [Google Scholar]
- Oliveira, D.P.; Soares, B.L.; Franceschini, L.A.; Cardillo, B.E.S.; Rufini, M.; Moraes, A.R.; Moreira, F.M.S.; Andrade, M.J.B. Viability of liquid medium-inoculation of Rhizobium etli in planting furrows with common bean. Pesq. Agrop. Bras. 2018, 53, 394–398. [Google Scholar] [CrossRef]
- Ambrosano, E.J.; Tanaka, R.T.; Mascarenhas, H.A.A.; van Raij, B.; Quaggio, J.A.; Cantarela, H. Leguminosas e oleaginosas. In Recomendações de Adubação e Calagem Para o Estado de São Paulo, 2nd ed.; van Raij, B., Cantarela, H., Quaggio, J.A., Furlani, A.M.C., Eds.; Instituto Agronômico e Fundação IAC: Campinas, Brazil, 1997; pp. 189–191. (In Portuguese) [Google Scholar]
- Vieira, C.L.; Freitas, A.D.; Silva, A.F.; Sampaio, E.V.; Araújo, M.S. Inoculação de variedades locais de feijão massacar com estirpes selecionadas de rizobio. Rev. Bras. Eng. Agríc. Ambient. 2010, 14, 1170–1175. (In Portuguese) [Google Scholar] [CrossRef][Green Version]
- Araújo, G.A.A.; Vieira, C.; Paula Júnior, T.J.; Borém, A. Preparo do solo e plantio. In Feijão; Vieira, C., Paula Júnior, T.J., Borém, A., Eds.; Aspectos Gerais da cultura no estado de Minas Gerais; UFV: Viçosa, Brazil, 1998; pp. 99–122. (In Portuguese) [Google Scholar]
- Fonseca, G.G.; Oliveira, D.P.; Soares, B.L.; Ferreira, P.A.A.; Teixeira, C.M.; Martins, F.A.D.; Moreira, F.M.S.; Andrade, M.J.N. Resposta de cultivares de feijoeiro-comum à inoculação das sementes com duas estirpes de rizóbio. Biosci. J. 2013, 29, 1778–1787. (In Portuguese) [Google Scholar]
- Conab. Companhia Nacional de Abastecimento-Brazil. Informações Agropecuária: Safras. 2021. Available online: https://www.conab.gov.br/info-agro (accessed on 28 February 2021). (In Portuguese)





Disclaimer/Publisher’s Note: The statements, opinions and data contained in all publications are solely those of the individual author(s) and contributor(s) and not of MDPI and/or the editor(s). MDPI and/or the editor(s) disclaim responsibility for any injury to people or property resulting from any ideas, methods, instructions or products referred to in the content. |
© 2024 by the authors. Licensee MDPI, Basel, Switzerland. This article is an open access article distributed under the terms and conditions of the Creative Commons Attribution (CC BY) license (https://creativecommons.org/licenses/by/4.0/).
Share and Cite
Ribeiro, B.B.A.; Teixeira, I.R.; Silva, G.C.; Bravo, T.E.P.; Cunha, N.M.B.; Benício Neto, M.R.; Alves, G.P.C.; Sbroggio Filho, A.M.; Reis, E.F. Reinoculation in Topdressing of Rhizobium tropici, Azospirillum brasilense, and the Micronutrients Mo/Co in Common Bean. Agronomy 2024, 14, 1368. https://doi.org/10.3390/agronomy14071368
Ribeiro BBA, Teixeira IR, Silva GC, Bravo TEP, Cunha NMB, Benício Neto MR, Alves GPC, Sbroggio Filho AM, Reis EF. Reinoculation in Topdressing of Rhizobium tropici, Azospirillum brasilense, and the Micronutrients Mo/Co in Common Bean. Agronomy. 2024; 14(7):1368. https://doi.org/10.3390/agronomy14071368
Chicago/Turabian StyleRibeiro, Brenda B.A., Itamar R. Teixeira, Gisele C. Silva, Tamires Ester P. Bravo, Nathan Mickael B. Cunha, Maurílio R. Benício Neto, Gessiele P.C. Alves, Alexandre M. Sbroggio Filho, and Elton F. Reis. 2024. "Reinoculation in Topdressing of Rhizobium tropici, Azospirillum brasilense, and the Micronutrients Mo/Co in Common Bean" Agronomy 14, no. 7: 1368. https://doi.org/10.3390/agronomy14071368
APA StyleRibeiro, B. B. A., Teixeira, I. R., Silva, G. C., Bravo, T. E. P., Cunha, N. M. B., Benício Neto, M. R., Alves, G. P. C., Sbroggio Filho, A. M., & Reis, E. F. (2024). Reinoculation in Topdressing of Rhizobium tropici, Azospirillum brasilense, and the Micronutrients Mo/Co in Common Bean. Agronomy, 14(7), 1368. https://doi.org/10.3390/agronomy14071368

