Effect of Soil Texture on Soil Nutrient Status and Rice Nutrient Absorption in Paddy Soils
Abstract
1. Introduction
2. Materials and Methods
2.1. Soil Sample Collection
2.2. Rice Planting Experiment
2.3. Sampling and Analysis
(g plant−1) × Straw/panicle nutrient content (%)/100
(g plant−1) + panicle nutrient accumulation (g plant−1)
(g plant−1)
2.4. Statistical Analysis
3. Results
3.1. Soil Particle Size Analysis and Soil Texture Classification
3.2. Nutrient Content of Paddy Soils
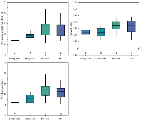
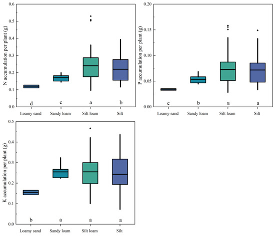
3.3. Nutrient Accumulation of Rice Grown in Soils of Different Textures
3.4. Grain Yield and Dry Matter Accumulation of Rice Grown in Soils of Different Textures
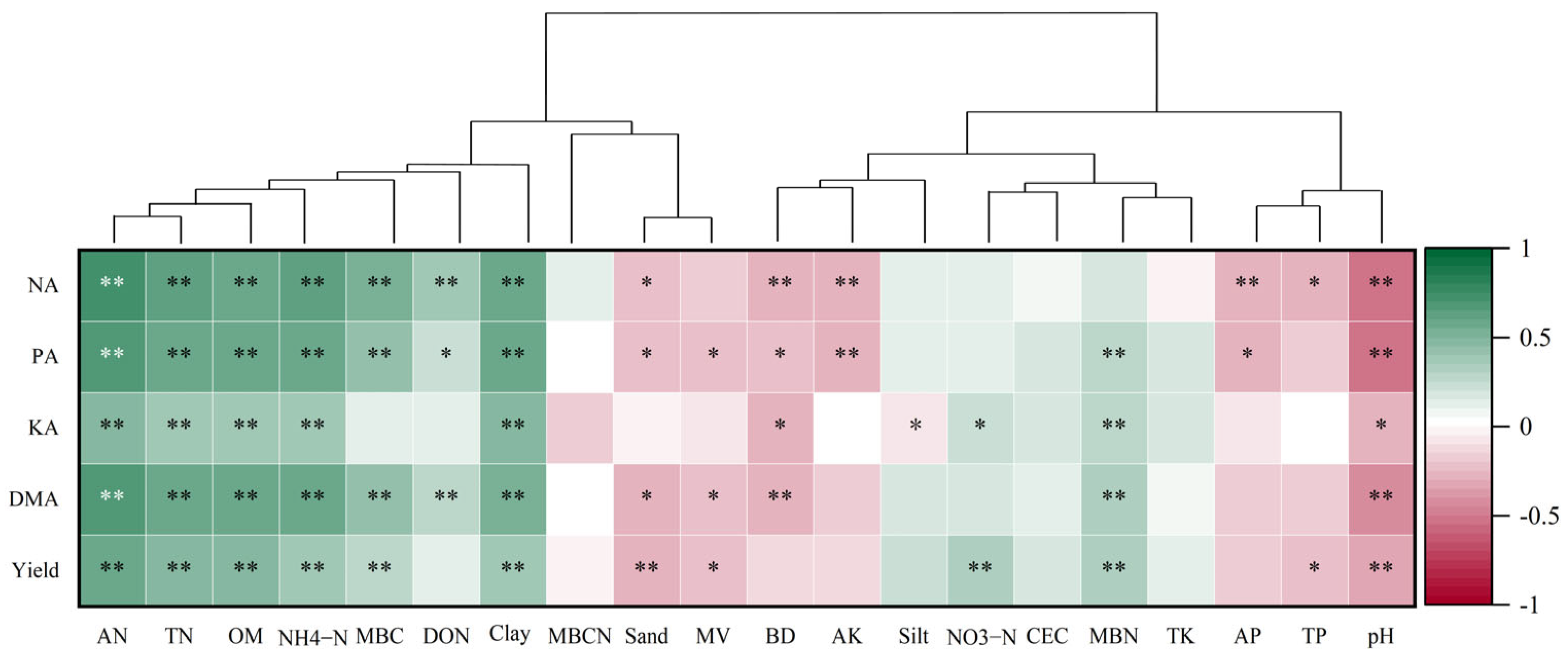
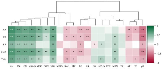
3.5. Correlation Analysis of Soil Texture, Soil Physicochemical Properties, and Plant Nutrient Absorption
3.5.1. Relationship between Soil Texture and Soil Nutrient Content
3.5.2. Relationships between Soil Physicochemical Properties and Rice Nutrient Absorption
3.6. Key Factors Regulating Rice Yield and Nutrient Accumulation
4. Discussion
4.1. Nutrient Characteristics of Paddy Soil with Different Textures
4.2. The Relationship between Soil Particle Size and Soil Nutrient Content
4.3. The Nutrient Absorption and Yield of Rice Grown in Paddy Soil with Different Textures
5. Conclusions
Supplementary Materials
Author Contributions
Funding
Data Availability Statement
Conflicts of Interest
References
- Juma, N.G. Interrelationships between soil structure/texture, soil biota/soil organic matter and crop production. Geoderma 1993, 57, 3–30. [Google Scholar] [CrossRef]
- Richer-de-Forges, A.C.; Arrouays, D.; Chen, S.C.; Dobarco, M.R.; Libohova, Z.; Roudier, P.; Minasny, B.; Bourennane, H. Hand-feel soil texture and particle-size distribution in central France. Relationships and implications. Catena 2022, 213, 15. [Google Scholar] [CrossRef]
- Takahashi, T.; Nakano, K.; Nira, R.; Kumagai, E.; Nishida, M.; Namikawa, M. Conversion of soil particle size distribution and texture classification from ISSS system to FAO/USDA system in Japanese paddy soils. Soil Sci. Plant. Nutr. 2020, 66, 407–414. [Google Scholar] [CrossRef]
- Wu, K.N.; Zhao, R. Soil texture classification and its application in China. Acta Pedol. Sin. 2019, 56, 227–241, (In Chinese with English Abstract). [Google Scholar]
- Dobarco, M.R.; Bourennane, H.; Arrouays, D.; Saby, N.P.A.; Cousin, I.; Martin, M.P. Uncertainty assessment of GlobalSoilMap soil available water capacity products: A French case study. Geoderma 2019, 344, 14–30. [Google Scholar] [CrossRef]
- Rudiyanto Minasny, B.; Chaney, N.W.; Maggi, F.; Giap, S.G.E.; Shah, R.M.; Fiantis, D.; Setiawan, B.I. Pedotransfer functions for estimating soil hydraulic properties from saturation to dryness. Geoderma 2021, 403, 115194. [Google Scholar] [CrossRef]
- Matus, F.J.; Lusk, C.H.; Maire, C.R. Effects of soil texture, carbon input rates, and litter quality on free organic matter and nitrogen mineralization in Chilean rain forest and agricultural soil. Commun. Soil Sci. Plant Anal. 2007, 39, 187–201. [Google Scholar] [CrossRef]
- Matus, F.J. Fine silt and clay content is the main factor defining maximal C and N accumulations in soils: A meta-analysis. Sci. Rep. 2021, 11, 6438. [Google Scholar] [CrossRef] [PubMed]
- Li, G.L.; Pang, X.M. Effect of land-use conversion on C and N distribution in aggregate fractions of soils in the southern Loess Plateau, China. Land Use Policy 2010, 27, 706–712. [Google Scholar] [CrossRef]
- Six, J.; Conant, R.T.; Paul, E.A.; Paustian, K. Stabilization mechanisms of soil organic matter: Implications for C-saturation of soils. Plant Soil 2002, 241, 155–176. [Google Scholar] [CrossRef]
- Gentile, R.M.; Vanlauwe, B.; Six, J. Integrated soil fertility management: Aggregate carbon and nitrogen stabilization in differently textured tropical soils. Soil Biol. Biochem. 2013, 67, 124–132. [Google Scholar] [CrossRef]
- Rakhsh, F.; Golchin, A. Investigation of mineralization of organic nitrogen under the influence of type, content of clay and exchangeable cations. J. Water Soil 2018, 31, 1691–1711. [Google Scholar]
- Wang, H.J.; Shi, X.Z.; Yu, D.S.; Weindorf, D.C.; Huang, B.; Sun, W.X.; Ritsema, C.J.; Milne, E. Factors determining soil nutrient distribution in a small-scaled watershed in the purple soil region of Sichuan Province, China. Soil Tillage Res. 2009, 105, 300–306. [Google Scholar] [CrossRef]
- Mao, H.R.; Cotrufo, M.F.; Hart, S.C.; Sullivan, B.W.; Zhu, X.F.; Zhang, J.C.; Liang, C.; Zhu, M.Q. Dual role of silt and clay in the formation and accrual of stabilized soil organic carbon. Soil Biol. Biochem. 2024, 192, 109390. [Google Scholar] [CrossRef]
- Kaiser, K.; Guggenberger, G. Mineral surfaces and soil organic matter. Eur. J. Soil Sci. 2010, 54, 219–236. [Google Scholar] [CrossRef]
- Scott, N.A.; Cole, C.V.; Elliott, E.T.; Huffman, S.A. Soil textural control on decomposition and soil organic matter dynamics. Soil Sci. Soc. Am. J. 1996, 60, 1102–1109. [Google Scholar] [CrossRef]
- Fohrafellner, J.; Keiblinger, K.M.; Zechmeister-Boltenstern, S.; Murugan, R.; Spiegel, H.; Valkama, E. Cover crops affect pool specific soil organic carbon in cropland—A meta-analysis. Eur. J. Soil Sci. 2024, 75, 13472. [Google Scholar] [CrossRef]
- Deng, N.Y.; Grassini, P.; Yang, H.S.; Huang, J.L.; Cassman, K.G.; Peng, S.B. Closing yield gaps for rice self-sufficiency in China. Nat. Commun. 2019, 10, 1725. [Google Scholar] [CrossRef]
- Peng, S.B.; Tang, Q.Y.; Zou, Y.B. Current status and challenges of rice production in China. Plant Prod. Sci. 2009, 12, 3–8. [Google Scholar] [CrossRef]
- National Bureau of Statistics. China Statistical Yearbook; China Statistical Press: Beijing, China, 2021. Available online: https://www.stats.gov.cn/zsk/snapshoot?reference=3c8ef061923f94fcc7a8b7f9dc6cbc75&siteCode=tjzsk (accessed on 17 June 2024).
- Li, X.X.; Cao, J.; Huang, J.L.; Xing, D.Y.; Peng, S.B. Effects of topsoil removal on nitrogen uptake, biomass accumulation, and yield formation in puddled-transplanted rice. Field Crop. Res. 2021, 265, 108130. [Google Scholar] [CrossRef]
- Gathala, M.K.; Ladha, J.K.; Kumar, V.; Saharawat, Y.S.; Kumar, V.; Kumar, V.; Sharma, P.K. Effect of tillage and crop establishment methods on physical properties of a medium-textured soil under a seven-year rice-wheat rotation. Soil Sci. Soc. Am. J. 2011, 75, 1851–1862. [Google Scholar] [CrossRef]
- Hou, Y.P.; Xu, X.P.; Kong, L.L.; Zhang, L.; Wang, L.C. The combination of straw return and appropriate K fertilizer amounts enhances both soil health and rice yield in Northeast China. Agron. J. 2021, 113, 5424–5435. [Google Scholar] [CrossRef]
- Xu, X.P.; Xie, J.G.; Hou, Y.P.; He, P.; Pampolino, M.F.; Zhao, S.C.; Qiu, S.J.; Johnston, A.M.; Zhou, W. Estimating nutrient uptake requirements for rice in China. Field Crop. Res. 2015, 180, 37–45. [Google Scholar] [CrossRef]
- Ye, C.; Ma, H.Y.; Huang, X.; Xu, C.M.; Chen, S.; Chu, G.; Zhang, X.F.; Wang, D.Y. Effects of increasing panicle-stage N on yield and N use efficiency of indica rice and its relationship with soil fertility. Crop J. 2022, 10, 1784–1797. [Google Scholar] [CrossRef]
- Hu, Q.C.; Lu, C.D. Selectivity of potassium adsorption by soils. Acta Pedol. Sin. 2002, 39, 707–713, (In Chinese with English Abstract). [Google Scholar]
- Yu, T.Y.; Peng, H.C.; Tang, H.M.; Ren, T.Z.; Yang, G.L.; Li, Y.Y.; Xiao, X.P.; Tang, W.G.; Chen, F. Soil enzyme activities and their relationships with soil physico-chemical properties in paddy soils derived from different parent materials under double-rice cropping system in south China. Acta Pedol. Sin. 2013, 50, 1043–1047, (In Chinese with English Abstract). [Google Scholar]
- Li, X.Y.; Sun, J.; Wang, H.H.; Li, X.; Wang, J.; Zhang, H.W. Changes in the soil microbial phospholipid fatty acid profile with depth in three soil types of paddy fields in China. Geoderma 2017, 290, 69–74. [Google Scholar] [CrossRef]
- Rao, B.K.R.; Siddaramappa, R. Influence of tree leaf litters and paddy straw on the nutrient availability in two paddy soils of South Karnataka, India. Arch. Agron. Soil Sci. 2007, 53, 405–422. [Google Scholar]
- Jian, Y.; Zhu, J.; Peng, H.; Xiong, L.P.; Cai, J.P.; Ji, X.H. Adsorption and desorption characteristics of nitrogen and phosphorus in paddy soils from different parent materials. Agric. Sci. Technol. 2021, 22, 26–36. [Google Scholar]
- Lu, R. Soil Chemical Analysis Method for Agriculture; China Agriculture Science and Technique Press: Beijing, China, 2000. [Google Scholar]
- Lilly, A.; Lin, H.S. Using soil morphological attributes and soil structure in pedotransfer functions. Dev. Soil Sci. 2004, 30, 115–141. [Google Scholar]
- Oades, J.M.; Waters, A.G. Aggregate hierarchy in soils. Soil Res. 1991, 29, 815–828. [Google Scholar] [CrossRef]
- Plante, A.F.; Conant, R.T.; Stewart, C.E.; Paustian, K.; Six, J. Impact of soil texture on the distribution of soil organic matter in physical and chemical fractions. Soil Sci. Soc. Am. J. 2006, 70, 87–296. [Google Scholar] [CrossRef]
- Parton, W.J.; Schimel, D.S.; Cole, C.V.; Ojima, D.S. Analysis of factors controlling soil organic matter levels in Great Plains grasslands. Soil Sci. Soc. Am. J. 1987, 51, 1173–1179. [Google Scholar] [CrossRef]
- Rastetter, E.B.; Ryan, M.G.; Shaver, G.R.; Melillo, J.M.; Nadelhoffer, K.J.; Hobbie, J.E.; Aber, J.D. A general biogeochemical model describing the responses of the C and N cycles in terrestrial ecosystems to changes in CO2, climate, and N deposition. Tree Physiol. 1991, 9, 101–126. [Google Scholar] [CrossRef] [PubMed]
- Raich, J.W.; Rastetter, E.B.; Melillo, J.M.; Kicklighter, D.W.; Steudler, P.A.; Peterson, B.J.; Grace, A.L.; Moore, B.; Vorosmarty, C.J. Potential net primary productivity in South America: Application of a global model. Ecol. Appl. 1991, 1, 399–429. [Google Scholar] [CrossRef] [PubMed]
- Silva, M.; Poly, F.; Guillaumaud, N.; van Elsas, J.D.; Salles, J.F. Fluctuations in ammonia oxidizing communities across agricultural soils are driven by soil structure and pH. Front. Microbiol. 2012, 3, 77. [Google Scholar]
- Shahadat, H.M.; Mustafizur, R.; Saiful, A.M.; Mizanur, R.M.; Solaiman, A.; Baset, M. Modelling of soil texture and its verification with related soil properties. Soil Res. 2018, 56, 421–428. [Google Scholar]
- Malone, B.; Searle, R. Updating the Australian digital soil texture mapping (Part 1*): Re-calibration of field soil texture class centroids and description of a field soil texture conversion algorithm. Soil Res. 2021, 59, 419–434. [Google Scholar] [CrossRef]
- Sessitsch, A.; Weilharter, A.; Gerzabek, M.H.; Kirchmann, H.; Kandeler, E. Microbial population structures in soil particle size fractions of a long-term fertilizer field experiment. Appl. Environ. Microbiol. 2001, 67, 4215–4224. [Google Scholar] [CrossRef] [PubMed]
- Hemkemeyer, M.; Dohrmann, A.B.; Christensen, B.T.; Tebbe, C.C. Bacterial preferences for specific soil particle size fractions revealed by community analyses. Front. Microbiol. 2018, 9, 149. [Google Scholar] [CrossRef] [PubMed]
- Bicharanloo, B.; Shirvan, M.B.; Dijkstra, F.A. Decoupled cycling of carbon, nitrogen, and phosphorus in a grassland soil along a hillslope mediated by clay and soil moisture. Catena 2022, 219, 10. [Google Scholar] [CrossRef]
- Brodlin, D.; Kaiser, K.; Hagedorn, F. Divergent patterns of carbon, nitrogen, and phosphorus mobilization in forest soils. For. Glob. Change 2019, 2, 66. [Google Scholar] [CrossRef]
- Wo, B.; Józefowska, A.; Likus-Cielik, J.; Chodak, M.; Pietrzykowski, M. Effect of tree species and soil texture on the carbon stock, macronutrient content, and physicochemical properties of regenerated postfire forest soils. Land Degrad. Dev. 2021, 32, 5227–5240. [Google Scholar]
- Zheng, Z.; Parent, L.E.; Macleod, J.A. Influence of soil texture on fertilizer and soil phosphorus transformations in Gleysolic soils. Can. J. Soil Sci. 2003, 83, 395–403. [Google Scholar] [CrossRef]
- Mengel, K.; Rahmatullah; Dou, H.R. Release of potassium from the silt and sand fraction of loess-derived soils. Soil Sci. 1998, 163, 805–813. [Google Scholar] [CrossRef]
- Zubillaga, M.M.; Conti, M. Importance of the textural fraction and its mineralogic characteristics in the potassium contents of different argentine soils. Commun. Soil Sci. Plan. 2008, 25, 479–487. [Google Scholar] [CrossRef]
- Li, Y.Q.; Ma, J.W.; Xiao, C.; Li, Y.J. Effects of climate factors and soil properties on soil nutrients and elemental stoichiometry across the Huang-Huai-Hai River Basin, China. J. Soils Sediments 2020, 20, 1970–1982. [Google Scholar] [CrossRef]
- Tian, L.M.; Zhao, L.; Wu, X.D.; Hu, G.J.; Fang, H.B.; Zhao, Y.H.; Sheng, Y.; Chen, J.; Wu, J.C.; Li, W.P.; et al. Variations in soil nutrient availability across Tibetan grassland from the 1980s to 2010s. Geoderma 2019, 338, 197–205. [Google Scholar] [CrossRef]
- Pelster, D.E.; Chantigny, M.H.; Angers, D.A.; Bertrand, N.; Macdonald, J.D.; Rochette, P. Can soil clay content predict ammonia volatilization losses from subsurface-banded urea in eastern Canadian soils? Can. J. Soil Sci. 2018, 98, 556–565. [Google Scholar] [CrossRef]
- Ma, J.Y.; Chen, T.T.; Lin, J.; Fu, W.M.; Feng, B.H.; Li, G.Y.; Li, H.B.; Li, J.C.; Wu, Z.H.; Tao, L.X.; et al. Functions of nitrogen, phosphorus and potassium in energy status and their influences on rice growth and development. Rice Sci. 2022, 29, 166–178. [Google Scholar]
- Rakotoson, T.; Senthilkumar, K.; Johnson, J.M.; Ibrahim, A.; Kihara, J.; Sila, A.; Saito, K. Estimating nutrient concentrations and uptake in rice grain in sub-Saharan Africa using linear mixed-effects regression. Field Crop. Res. 2023, 299, 108987. [Google Scholar] [CrossRef] [PubMed]
- Huang, S.H.; Pu, L.J.; He, G.L.; Wang, X.Q.; Chen, D.J.; Xie, X.F.; Qie, L.; Dan, Y.; Zhang, R.; Gong, Z.S.; et al. Silicon in soil and its interaction with nitrogen, phosphorus, and potassium nutrients on rice yield: A case study of paddy fields in the Taihu Lake region, China, without a history of silicon fertilization. Soil Tillage Res. 2024, 238, 106027. [Google Scholar] [CrossRef]
- Xu, Z.; He, P.; Yin, X.Y.; Struik, P.C.; Ding, W.C.; Liu, K.L.; Huang, Q.H. Simultaneously improving yield and nitrogen use efficiency in a double rice cropping system in China. Eur. J. Agron. 2022, 137, 126513. [Google Scholar] [CrossRef]
- Zheng, M.Y.; Zhu, P.; Zheng, J.Y.; Xue, L.; Zhu, Q.F.; Cai, X.J.; Cheng, S.; Zhang, Z.F.; Kong, F.Y.; Zhang, J.G. Effects of soil texture and nitrogen fertilisation on soil bacterial community structure and nitrogen uptake in flue-cured tobacco. Sci. Rep. 2021, 11, 22643. [Google Scholar] [CrossRef] [PubMed]
- Wang, Z.C.; Liu, J.J.; Hamoud, Y.A.; Wang, Y.S.; Qiu, R.J.; Agathokleous, E.; Hong, C.; Shaghaleh, H. Natural 15N abundance as an indicator of nitrogen utilization efficiency in rice under alternate wetting and drying irrigation in soils with high clay contents. Sci. Total Environ. 2022, 838, 156528. [Google Scholar] [CrossRef] [PubMed]
- Li, X.Y.; Wang, Y.; Feng, G.Z.; Xu, Z.; Meng, F.C.; Gao, Q. Differential fertilizer nitrogen fates in maize cropping system among three soil textures based on 15N. Field Crop. Res. 2023, 291, 108780. [Google Scholar] [CrossRef]
- Chen, B.P.; Guo, L.J.; Tang, J.C.; Li, Y.S.; Li, C.F. Comprehensive impacts of different integrated rice-animal co-culture systems on rice yield, nitrogen fertilizer partial factor productivity and nitrogen losses: A global meta-analysis. Sci. Total Environ. 2024, 915, 169994–169999. [Google Scholar] [CrossRef]
- Asai, H.K.; Saito, K.; Kawamura, K. Application of a Bayesian approach to quantify the impact of nitrogen fertilizer on upland rice yield in sub-Saharan Africa. Field Crop. Res. 2021, 272, 108284. [Google Scholar] [CrossRef]









| Soil Type | Soil Samples | Organic Matter (%) | Total N (%) | Total K (%) | Total P (%) | Available N (mg·kg−1) | Available P (mg·kg−1) | Available K (mg·kg−1) | pH | CEC (cmol·kg−1) |
|---|---|---|---|---|---|---|---|---|---|---|
| Loamy sandy | S2 | 2.45 | 0.13 | 1.12 | 0.06 | 45.79 | 11.53 | 23.07 | 6.60 | 9.77 |
| CV | 1.68 | 3.76 | 1.20 | 1.89 | 1.57 | 0.73 | 2.16 | 0.99 | 1.70 | |
| Sandy loam | S4 | 2.27 | 0.12 | 0.93 | 0.07 | 71.61 | 27.03 | 56.14 | 5.60 | 9.36 |
| S11 | 2.53 | 0.13 | 1.29 | 0.23 | 60.00 | 63.75 | 108.56 | 6.39 | 11.03 | |
| CV | 7.05 | 4.41 | 17.94 | 58.41 | 9.86 | 44.35 | 35.39 | 7.22 | 9.74 | |
| Silty loam | S1 | 5.07 | 0.33 | 1.25 | 0.08 | 180.01 | 16.06 | 78.40 | 7.68 | 17.21 |
| S3 | 1.69 | 0.11 | 1.89 | 0.06 | 61.81 | 21.33 | 78.54 | 7.05 | 14.08 | |
| S5 | 3.05 | 0.17 | 2.65 | 0.07 | 91.31 | 32.01 | 16.50 | 5.19 | 15.28 | |
| S8 | 3.53 | 0.21 | 1.49 | 0.05 | 129.78 | 6.30 | 56.06 | 5.30 | 13.16 | |
| S12 | 1.81 | 0.10 | 1.50 | 0.09 | 62.09 | 75.12 | 126.25 | 8.15 | 9.96 | |
| S13 | 1.54 | 0.09 | 1.53 | 0.10 | 30.91 | 104.04 | 277.79 | 8.09 | 6.90 | |
| S17 | 1.49 | 0.10 | 1.26 | 0.07 | 87.46 | 40.44 | 67.04 | 7.45 | 10.22 | |
| S19 | 1.97 | 0.10 | 1.66 | 0.04 | 60.60 | 21.17 | 197.55 | 5.98 | 29.13 | |
| S20 | 2.79 | 0.15 | 1.52 | 0.06 | 107.24 | 22.03 | 219.57 | 6.08 | 37.34 | |
| S21 | 2.09 | 0.12 | 1.81 | 0.06 | 131.37 | 54.69 | 233.17 | 5.81 | 16.57 | |
| S22 | 2.84 | 0.14 | 1.80 | 0.06 | 130.12 | 30.85 | 219.28 | 6.20 | 34.76 | |
| S23 | 5.48 | 0.24 | 1.66 | 0.10 | 174.61 | 65.07 | 148.78 | 6.22 | 28.15 | |
| S27 | 3.49 | 0.26 | 1.22 | 0.04 | 154.29 | 17.70 | 51.91 | 5.28 | 9.72 | |
| S29 | 1.96 | 0.13 | 1.72 | 0.06 | 68.30 | 10.10 | 145.27 | 6.45 | 23.77 | |
| S30 | 2.61 | 0.15 | 1.40 | 0.07 | 108.01 | 21.07 | 171.42 | 7.32 | 21.36 | |
| S31 | 4.78 | 0.27 | 1.53 | 0.06 | 193.79 | 12.67 | 73.94 | 5.11 | 22.57 | |
| CV | 43.39 | 43.47 | 20.66 | 26.99 | 42.89 | 77.30 | 57.02 | 16.45 | 46.80 | |
| Silt | S6 | 3.61 | 0.20 | 1.47 | 0.05 | 128.56 | 8.02 | 101.47 | 5.49 | 16.44 |
| S7 | 5.27 | 0.30 | 1.77 | 0.07 | 141.49 | 17.54 | 151.68 | 4.79 | 17.60 | |
| S9 | 1.86 | 0.15 | 1.81 | 0.10 | 55.61 | 50.48 | 413.70 | 8.12 | 28.58 | |
| S10 | 1.88 | 0.11 | 1.29 | 0.22 | 77.31 | 73.60 | 134.89 | 7.37 | 22.38 | |
| S14 | 1.71 | 0.11 | 1.36 | 0.05 | 64.45 | 21.64 | 121.36 | 7.73 | 16.00 | |
| S15 | 2.79 | 0.17 | 1.25 | 0.07 | 88.04 | 29.09 | 105.34 | 7.66 | 14.17 | |
| S16 | 2.70 | 0.15 | 1.37 | 0.06 | 93.72 | 23.13 | 108.82 | 7.71 | 18.70 | |
| S18 | 1.31 | 0.07 | 1.57 | 0.05 | 29.30 | 18.19 | 137.47 | 7.48 | 17.65 | |
| S24 | 1.41 | 0.09 | 0.99 | 0.04 | 62.90 | 8.98 | 98.97 | 5.98 | 13.57 | |
| S25 | 2.09 | 0.13 | 1.49 | 0.07 | 74.55 | 33.89 | 94.57 | 6.15 | 14.81 | |
| S26 | 2.48 | 0.16 | 1.38 | 0.05 | 104.48 | 22.09 | 99.76 | 4.89 | 12.53 | |
| S28 | 2.35 | 0.15 | 1.74 | 0.08 | 81.04 | 16.93 | 151.79 | 5.60 | 20.31 | |
| CV | 43.44 | 38.98 | 16.05 | 60.41 | 36.24 | 66.92 | 59.37 | 17.99 | 24.65 | |
| Mean | ||||||||||
| Loamy sandy | 2.45 b | 0.13 c | 1.12 c | 0.06 c | 45.79 d | 11.53 d | 23.07 d | 6.60 a | 9.77 c | |
| Sandy loam | 2.40 b | 0.12 d | 1.11 c | 0.15 a | 65.80 c | 45.39 a | 82.35 c | 6.00 c | 10.19 c | |
| Silty loam | 2.89 a | 0.17 a | 1.62 a | 0.08 b | 110.73 a | 34.42 b | 135.09 b | 6.43 b | 19.39 a | |
| Silt | 2.45 b | 0.15 b | 1.46 b | 0.08 b | 83.45 b | 26.97 c | 143.32 a | 6.58 a | 17.73 b | |
| Analysis of variance | ||||||||||
| Soil samples | ** | ** | ** | ** | ** | ** | ** | ** | ** | |
| Soil type | ** | ** | ** | ** | ** | ** | ** | ** | ** | |
Disclaimer/Publisher’s Note: The statements, opinions and data contained in all publications are solely those of the individual author(s) and contributor(s) and not of MDPI and/or the editor(s). MDPI and/or the editor(s) disclaim responsibility for any injury to people or property resulting from any ideas, methods, instructions or products referred to in the content. |
© 2024 by the authors. Licensee MDPI, Basel, Switzerland. This article is an open access article distributed under the terms and conditions of the Creative Commons Attribution (CC BY) license (https://creativecommons.org/licenses/by/4.0/).
Share and Cite
Ye, C.; Zheng, G.; Tao, Y.; Xu, Y.; Chu, G.; Xu, C.; Chen, S.; Liu, Y.; Zhang, X.; Wang, D. Effect of Soil Texture on Soil Nutrient Status and Rice Nutrient Absorption in Paddy Soils. Agronomy 2024, 14, 1339. https://doi.org/10.3390/agronomy14061339
Ye C, Zheng G, Tao Y, Xu Y, Chu G, Xu C, Chen S, Liu Y, Zhang X, Wang D. Effect of Soil Texture on Soil Nutrient Status and Rice Nutrient Absorption in Paddy Soils. Agronomy. 2024; 14(6):1339. https://doi.org/10.3390/agronomy14061339
Chicago/Turabian StyleYe, Chang, Guangjie Zheng, Yi Tao, Yanan Xu, Guang Chu, Chunmei Xu, Song Chen, Yuanhui Liu, Xiufu Zhang, and Danying Wang. 2024. "Effect of Soil Texture on Soil Nutrient Status and Rice Nutrient Absorption in Paddy Soils" Agronomy 14, no. 6: 1339. https://doi.org/10.3390/agronomy14061339
APA StyleYe, C., Zheng, G., Tao, Y., Xu, Y., Chu, G., Xu, C., Chen, S., Liu, Y., Zhang, X., & Wang, D. (2024). Effect of Soil Texture on Soil Nutrient Status and Rice Nutrient Absorption in Paddy Soils. Agronomy, 14(6), 1339. https://doi.org/10.3390/agronomy14061339
