Optimizing Cotton Row Configuration in Jujube–Cotton Intercropping Systems Improves Their Productivity, Net Effects, and Sustainability
Abstract
1. Introduction
2. Materials and Methods
2.1. Study Site
2.2. Experimental Design
2.3. Measurements and Calculations
2.3.1. Yield and Land Equivalent Ratio (LER)
2.3.2. Overyielding Rate
2.3.3. Competition between Cotton and Jujube
2.3.4. Net Effect (NE), Complementarity Effect (CE), and Selection Effect (SE)
2.3.5. Sustainability Index
2.4. Statistical Analysis
3. Results
3.1. Yield and Land Equivalent Ratio (LER)
3.2. Overyielding Rate and Competition
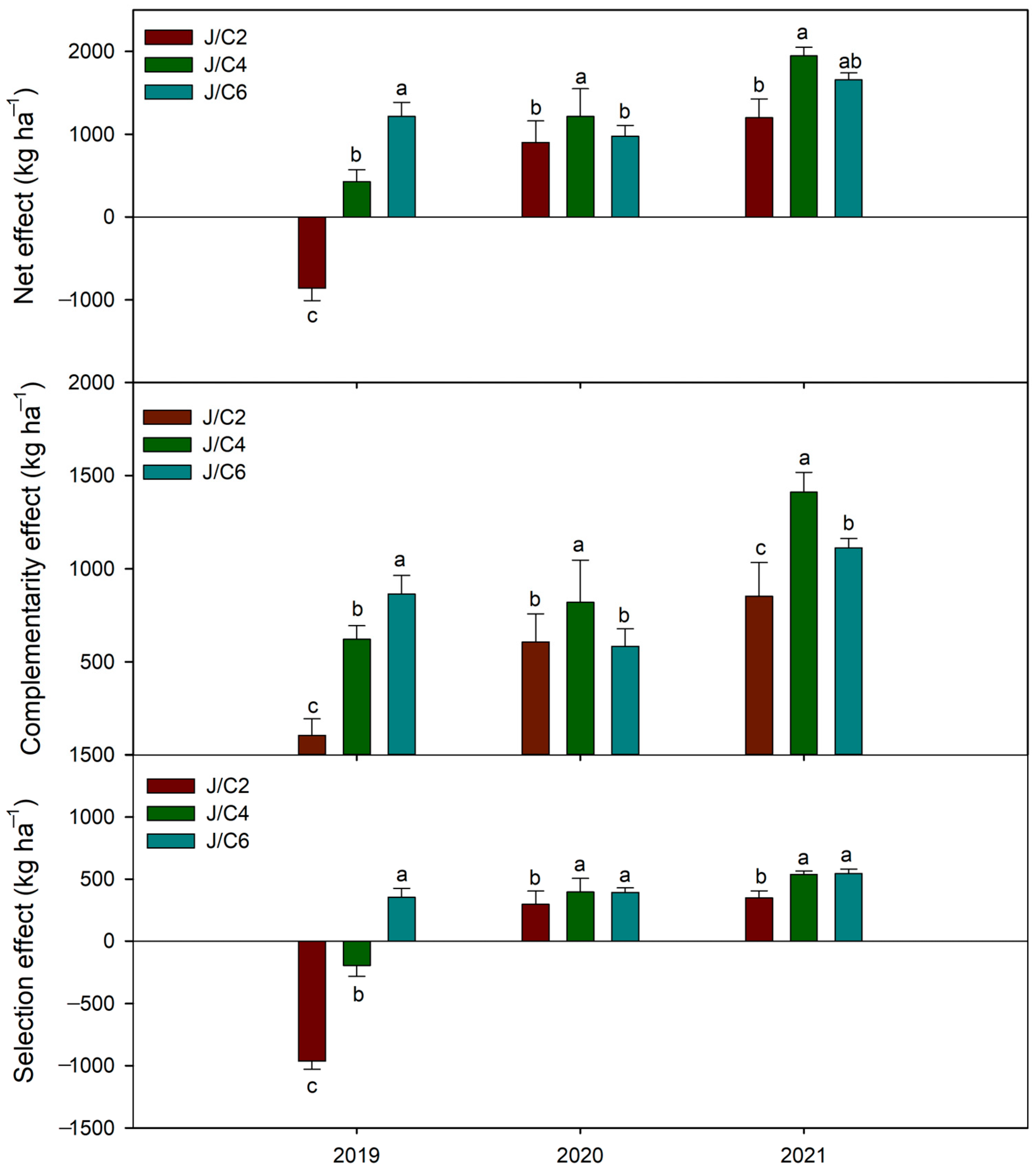
3.3. Net Effect, Complementarity Effect, and Selection Effect
3.4. Effects of Planting Density and Nitrogen Application on Soil Physical and Chemical Properties
3.5. Relationships between LER and Net, Complementarity, and Selection Effects
4. Discussion
4.1. Yield and LER
4.2. Net, Complementarity, and Selection Effects with Crop Productivity
4.3. Sustainability Index
5. Conclusions
Author Contributions
Funding
Data Availability Statement
Conflicts of Interest
References
- Yu, X.; Lei, J.; Gao, X. An over review of desertification in Xinjiang, Northwest China. J. Arid Land 2022, 14, 1181–1195. [Google Scholar] [CrossRef]
- Guo, Y.; Shen, Y. Agricultural water supply/demand changes under projected future climate change in the arid region of northwestern China. J. Hydrol. 2016, 540, 257–273. [Google Scholar] [CrossRef]
- Fang, S.; Tu, W.; Mu, L.; Sun, Z.; Hu, Q.; Yang, Y. Saline alkali water desalination project in Southern Xinjiang of China: A re-view of desalination planning, desalination schemes and economic analysis. Renew. Sustain. Energy Rev. 2019, 113, 109268. [Google Scholar] [CrossRef]
- Liu, M.; Wang, J.; Wang, L.; Liu, P.; Zhao, J.; Zhao, Z.; Yao, S.; Stănică, F.; Liu, Z.; Wang, L. The historical and current research progress on jujube–a superfruit for the future. Hortic. Res. 2020, 7, 119. [Google Scholar] [CrossRef] [PubMed]
- Shao, F.; Yan, H.; Lin, S.; Wang, Q.; Tao, W.; Wu, J.; Su, L. Magnetically treated water drip irrigation combined with carbox-ymethyl cellulose (CMC) application: A regulating strategy for enhancing the jujube yield and quality in southern Xinjiang of China. Sci. Hortic. 2024, 326, 112723. [Google Scholar] [CrossRef]
- Shi, Q.; Han, G.; Liu, Y.; Jiang, J.; Jia, Y.; Li, X. Nutrient composition and quality traits of dried jujube fruits in seven producing areas based on metabolomics analysis. Food Chem. 2022, 385, 132627. [Google Scholar] [CrossRef] [PubMed]
- Zhang, W.; Wang, B.; Gan, Y.; Duan, Z.; Hao, X.; Xu, W.; Lv, X.; Li, L. Competitive interaction in a jujube tree/wheat agrofor-estry system in northwest China’s Xinjiang Province. Agrofor. Syst. 2017, 91, 881–893. [Google Scholar] [CrossRef]
- Maitra, S.; Hossain, A.; Brestic, M.; Skalicky, M.; Ondrisik, P.; Gitari, H.; Brahmachari, K.; Shankar, T.; Bhadra, P.; Palai, J.B. Intercropping-A low input agricultural strategy for food and environmental security. Agronomy 2021, 11, 343. [Google Scholar] [CrossRef]
- Yin, W.; Chai, Q.; Zhao, C.; Yu, A.; Fan, Z.; Hu, F.; Fan, H.; Guo, Y.; Coulter, J.A. Water utilization in intercropping: A review. Agric. Water Manag. 2020, 241, 106335. [Google Scholar] [CrossRef]
- Wang, X.; Shen, L.; Liu, T.; Wei, W.; Zhang, S.; Li, L.; Zhang, W. Microclimate, yield, and income of a jujube–cotton agrofor-estry system in Xinjiang, China. Ind. Crop. Prod. 2022, 182, 114941. [Google Scholar] [CrossRef]
- D’Souza, S.F. Radiation technology in agriculture. J. Crop Weed 2014, 10, 1–3. [Google Scholar]
- Zhang, D.; Du, G.; Sun, Z.; Bai, W.; Wang, Q.; Feng, L.; Zheng, J.; Zhang, Z.; Liu, Y.; Yang, S. Agroforestry enables high effi-ciency of light capture, photosynthesis and dry matter production in a semi-arid climate. Eur. J. Agron. 2018, 94, 1–11. [Google Scholar] [CrossRef]
- Li, T.; Wang, P.; Li, Y.; Li, L.; Kong, R.; Fan, W.; Yin, W.; Fan, Z.; Wu, Q.; Zhai, Y. Effects of Configuration Mode on the Light-Response Characteristics and Dry Matter Accumulation of Cotton under Jujube–Cotton Intercropping. Appl. Sci. 2023, 13, 2427. [Google Scholar] [CrossRef]
- Jing, B.; Shi, W.; Wang, H.; Lin, F. 15N labelling technology reveals enhancement of nitrogen uptake and transfer by root in-teraction in cotton/soybean intercropping. J. Sci. Food Agric. 2023, 103, 6307–6316. [Google Scholar] [CrossRef] [PubMed]
- Ai, P.; Ma, Y.; Hai, Y. Jujube is at a competitiveness disadvantage to cotton in intercropped system. Agron. J. 2021, 113, 3475–3488. [Google Scholar] [CrossRef]
- Long, L.; Weiping, Z.; Lizhen, Z. How above-and below-ground interspecific interactions between intercropped species con-tribute to overyielding and efficient resource utilization: A review of research in China. In Agroecology in China; CRC Press: Boca Raton, FL, USA, 2017; pp. 39–59. [Google Scholar]
- Zhang, W.P.; Gao, S.N.; Li, Z.X.; Xu, H.S.; Yang, H.; Yang, X.; Fan, H.X.; Su, Y.; Fornara, D.; Li, L. Shifts from complementa-rity to selection effects maintain high productivity in maize/legume intercropping systems. J. Appl. Ecol. 2021, 58, 2603–2613. [Google Scholar] [CrossRef]
- Li, C.; Hoffland, E.; Kuyper, T.W.; Yu, Y.; Li, H.; Zhang, C.; Zhang, F.; van der Werf, W. Yield gain, complementarity and competitive dominance in intercropping in China: A meta-analysis of drivers of yield gain using additive partitioning. Eur. J. Agron. 2020, 113, 125987. [Google Scholar] [CrossRef]
- Chi, B.; Liu, J.; Dai, J.; Li, Z.; Zhang, D.; Xu, S.; Nie, J.; Wan, S.; Li, C.; Dong, H. Alternate intercropping of cotton and peanut increases productivity by increasing canopy photosynthesis and nutrient uptake under the influence of rhizobacteria. Field Crop. Res. 2023, 302, 109059. [Google Scholar] [CrossRef]
- Khan, A.; Najeeb, U.; Wang, L.; Tan, D.K.Y.; Yang, G.; Munsif, F.; Ali, S.; Hafeez, A. Planting density and sowing date strongly influence growth and lint yield of cotton crops. Field Crops Res. 2017, 209, 129–135. [Google Scholar] [CrossRef]
- Khan, M.B.; Akhtar, M.; Khaliq, A. Effect of planting patterns and different intercropping systems on the productivity of cotton (Gossypium hirsutum L.) under irrigated conditions of Faisalabad. Int. J. Agric. Biol. 2001, 3, 432–435. [Google Scholar]
- Willey, R. Intercropping: Its importance and research needs. Part 2, agronomy and research approaches, Commonwealth Agricultural Bureaux. Field Crop Abstr. 1979, 32, 73–85. [Google Scholar]
- Li, Q.Z.; Sun, J.H.; Wei, X.J.; Christie, P.; Zhang, F.S.; Li, L. Overyielding and interspecific interactions mediated by nitrogen fertilization in strip intercropping of maize with faba bean, wheat and barley. Plant Soil 2011, 339, 147–161. [Google Scholar] [CrossRef]
- Zhang, F.; Li, L. Using competitive and facilitative interactions in intercropping systems enhances crop productivity and nu-trient-use efficiency. Plant Soil 2003, 248, 305–312. [Google Scholar] [CrossRef]
- Loreau, M.; Hector, A. Partitioning selection and complementarity in biodiversity experiments. Nature 2001, 412, 72–76. [Google Scholar] [CrossRef]
- Chai, Q.; Qin, A.; Gan, Y.; Yu, A. Higher yield and lower carbon emission by intercropping maize with rape, pea, and wheat in arid irrigation areas. Agron. Sustain. Dev. 2014, 34, 535–543. [Google Scholar] [CrossRef]
- Bai, Y.; Zhang, H.; Jia, S.; Huang, C.; Zhao, X.; Wei, H.; Yang, S.; Ma, Y.; Kou, R. Plastic film mulching combined with sand tube irrigation improved yield, water use efficiency, and fruit quality of jujube in an arid desert area of Northwest China. Agric. Water Manag. 2022, 271, 107809. [Google Scholar] [CrossRef]
- Wang, Q.; Han, S.; Zhang, L.; Zhang, D.; van der Werf, W.; Evers, J.B.; Evers, J.B.; Sun, H.; Su, Z.; Zhang, S. Density responses and spatial distribution of cotton yield and yield components in jujube (Zizyphus jujube)/cotton (Gossypium hirsutum) agro-forestry. Eur. J. Agron. 2016, 79, 58–65. [Google Scholar] [CrossRef]
- Zhang, D.; Zhang, L.; Liu, J.; Han, S.; Wang, Q.; Evers, J.; Liu, J.; Van der Werf, W.; Li, L. Plant density affects light interception and yield in cotton grown as companion crop in young jujube plantations. Field Crop. Res. 2014, 169, 132–139. [Google Scholar] [CrossRef]
- Zuo, W.; Wu, B.; Wang, Y.; Xu, S.; Chen, M.; Liang, F.; Tian, J.; Zhang, W. Optimal row spacing configuration to improve cotton yield or quality is regulated by plant density and irrigation rate. Field Crop. Res. 2024, 305, 109187. [Google Scholar] [CrossRef]
- Zhang, W.; Wang, B.; Gan, Y.; Duan, Z.; Hao, X.; Xu, W.; Li, L. Competitive interaction in jujube tree/cotton agroforestry sys-tem in Xinjiang province, northwestern China. Agrofor. Syst. 2019, 93, 591–605. [Google Scholar] [CrossRef]
- Mao, L.; Zhang, L.; Li, W.; van der Werf, W.; Sun, J.; Spiertz, H.; Li, L. Yield advantage and water saving in maize/pea intercrop. Field Crop. Res. 2012, 138, 11–20. [Google Scholar] [CrossRef]
- Zhang, W.P.; Li, Z.X.; Gao, S.N.; Yang, H.; Xu, H.S.; Yang, X.; Li, L. Resistance vs. surrender: Different responses of functional traits of soybean and peanut to intercropping with maize. Field Crop. Res. 2023, 291, 108779. [Google Scholar] [CrossRef]
- Zhao, C.; Chai, Q.; Zhao, Y.; Mu, Y.; Zhang, Y.; Yu, A.; Feng, F.; Liu, C.; Yin, W.; Hu, F. Interspecific Competition and Com-plementation is a Function of N Management in Maize-Pea Intercropping Systems. Crop Sci. 2016, 56, 3286–3294. [Google Scholar] [CrossRef]
- Duchene, O.; Vian, J.-F.; Celette, F. Intercropping with legume for agroecological cropping systems: Complementarity and facilitation processes and the importance of soil microorganisms. A review. Agric. Ecosyst. Environ. 2017, 240, 148–161. [Google Scholar] [CrossRef]
- Tsialtas, I.T.; Baxevanos, D.; Vlachostergios, D.N.; Dordas, C.; Lithourgidis, A. Cultivar complementarity for symbiotic nitro-gen fixation and water use efficiency in pea-oat intercrops and its effect on forage yield and quality. Field Crop. Res. 2018, 226, 28–37. [Google Scholar] [CrossRef]
- Wang, W.; Li, M.-Y.; Zhang, W.; Khan, A.; Zhou, R.; Zhu, S.-G.; Wang, B.-Z.; Yang, Y.-M.; Tao, H.-Y.; Li, W.-B. Soil moisture drives the shift from selection to complementarity effect in the rainfed maize/faba bean intercropping system. Plant Soil 2023, 499, 313–328. [Google Scholar] [CrossRef]
- Yin, W.; Chai, Q.; Guo, Y.; Feng, F.; Zhao, C.; Yu, A.; Liu, C.; Fan, Z.; Hu, F.; Chen, G. Reducing carbon emissions and enhanc-ing crop productivity through strip intercropping with improved agricultural practices in an arid area. J. Clean. Prod. 2017, 166, 197–208. [Google Scholar] [CrossRef]
- Gou, Z.; Yin, W.; Asibi, A.E.; Fan, Z.; Chai, Q.; Cao, W. Improving the sustainability of cropping systems via diversified plant-ing in arid irrigation areas. Agron. Sustain. Dev. 2022, 42, 88. [Google Scholar] [CrossRef]






| Year | Treatment | Cotton | Jujube | PLERc | PLERj | LER | ||
|---|---|---|---|---|---|---|---|---|
| Inter | Mono | Inter | Mono | |||||
| 2019 | J/C2 | 2141 ± 324 c | 5312 | 1102 ± 36 a | 1678 | 0.40 c | 0.66 a | 1.06 b |
| J/C4 | 3498 ± 16 b | 5312 | 1032 ± 40 a | 1678 | 0.66 b | 0.62 a | 1.28 a | |
| J/C6 | 4534 ± 175 a | 5312 | 785 ± 7 b | 1678 | 0.86 a | 0.47 b | 1.33 a | |
| 2020 | J/C2 | 2146 ± 117 c | 5269 | 3927 ± 203 a | 4973 | 0.41 c | 0.79 a | 1.20 a |
| J/C4 | 3151 ± 97 b | 5269 | 3235 ± 99 b | 4973 | 0.60 b | 0.65 b | 1.25 a | |
| J/C6 | 4247 ± 117 a | 5269 | 1900 ± 103 c | 4973 | 0.81 a | 0.38 c | 1.19 a | |
| 2021 | J/C2 | 2148 ± 213 c | 5658 | 4582 ± 246 a | 5275 | 0.38 c | 0.87 a | 1.25 b |
| J/C4 | 3339 ± 220 b | 5658 | 4140 ± 134 a | 5275 | 0.59 b | 0.79 a | 1.38 a | |
| J/C6 | 4233 ± 295 a | 5658 | 2956 ± 91 b | 5275 | 0.75 a | 0.56 b | 1.31 a | |
| Average | 2019 | 3391 ± 365 a | 5312 | 973 ± 51 c | 1678 | 0.64 a | 0.58 b | 1.22 b |
| 2020 | 3181 ± 311 a | 5269 | 3021 ± 306 b | 4973 | 0.61 a | 0.61 b | 1.21 b | |
| 2021 | 3240 ± 326 a | 5658 | 3893 ± 257 a | 5275 | 0.57 a | 0.74 a | 1.31 a | |
| J/C2 | 2145 ± 123 c | 5413 | 3203 ± 542 a | 3975 | 0.39 c | 0.77 a | 1.17 b | |
| J/C4 | 3329 ± 97 b | 5413 | 2802 ± 464 b | 3975 | 0.62 b | 0.69 b | 1.30 a | |
| J/C6 | 4338 ± 115 a | 5413 | 1880 ± 316 c | 3975 | 0.80 a | 0.47 c | 1.28 a | |
| T | *** | — | *** | — | ** | ** | ** | |
| Y | ns | ** | *** | ** | — | ** | ** | |
| T × Y | ns | — | *** | — | — | ** | — | |
Disclaimer/Publisher’s Note: The statements, opinions and data contained in all publications are solely those of the individual author(s) and contributor(s) and not of MDPI and/or the editor(s). MDPI and/or the editor(s) disclaim responsibility for any injury to people or property resulting from any ideas, methods, instructions or products referred to in the content. |
© 2024 by the authors. Licensee MDPI, Basel, Switzerland. This article is an open access article distributed under the terms and conditions of the Creative Commons Attribution (CC BY) license (https://creativecommons.org/licenses/by/4.0/).
Share and Cite
Wang, J.; Chen, G.; Wang, P.; Cui, Z.; Wan, S.; Zhai, Y.; Li, T.; Zhao, Y. Optimizing Cotton Row Configuration in Jujube–Cotton Intercropping Systems Improves Their Productivity, Net Effects, and Sustainability. Agronomy 2024, 14, 1216. https://doi.org/10.3390/agronomy14061216
Wang J, Chen G, Wang P, Cui Z, Wan S, Zhai Y, Li T, Zhao Y. Optimizing Cotton Row Configuration in Jujube–Cotton Intercropping Systems Improves Their Productivity, Net Effects, and Sustainability. Agronomy. 2024; 14(6):1216. https://doi.org/10.3390/agronomy14061216
Chicago/Turabian StyleWang, Jinbin, Guodong Chen, Peijuan Wang, Zhengjun Cui, Sumei Wan, Yunlong Zhai, Tiantian Li, and Yaru Zhao. 2024. "Optimizing Cotton Row Configuration in Jujube–Cotton Intercropping Systems Improves Their Productivity, Net Effects, and Sustainability" Agronomy 14, no. 6: 1216. https://doi.org/10.3390/agronomy14061216
APA StyleWang, J., Chen, G., Wang, P., Cui, Z., Wan, S., Zhai, Y., Li, T., & Zhao, Y. (2024). Optimizing Cotton Row Configuration in Jujube–Cotton Intercropping Systems Improves Their Productivity, Net Effects, and Sustainability. Agronomy, 14(6), 1216. https://doi.org/10.3390/agronomy14061216

