Effects of Returning Green Manure-Chinese Milk Vetch on the Availability and Transformation of Zinc in Purple Tidal Mud Soil under Rice Cultivation
Abstract
1. Introduction
2. Materials and Methods
2.1. Experimental Soil
2.2. Experimental Crops
2.3. Experimental Design
2.4. Sample Collection and Analysis
2.5. Analytical Methods
2.6. Calculation Methods
2.6.1. The Transfer Factor (TF) of Zinc
2.6.2. The Distribution Index (DI) of Zinc
2.7. Data Processing
3. Results
3.1. Proportions of Different Forms of Zinc in Purple Tidal Mud Soil to the Total Zinc Content
3.2. Effects of Returning Chinese Milk Vetch on DTPA-Zn Content in Purple Tidal Mud Soil
3.3. Effects of Returning Chinese Milk Vetch on Soil pH in Purple Tidal Mud Soil
3.4. Effects of Returning Chinese Milk Vetch on the Content of Different Forms of Zinc in Purple Tidal Mud Soil
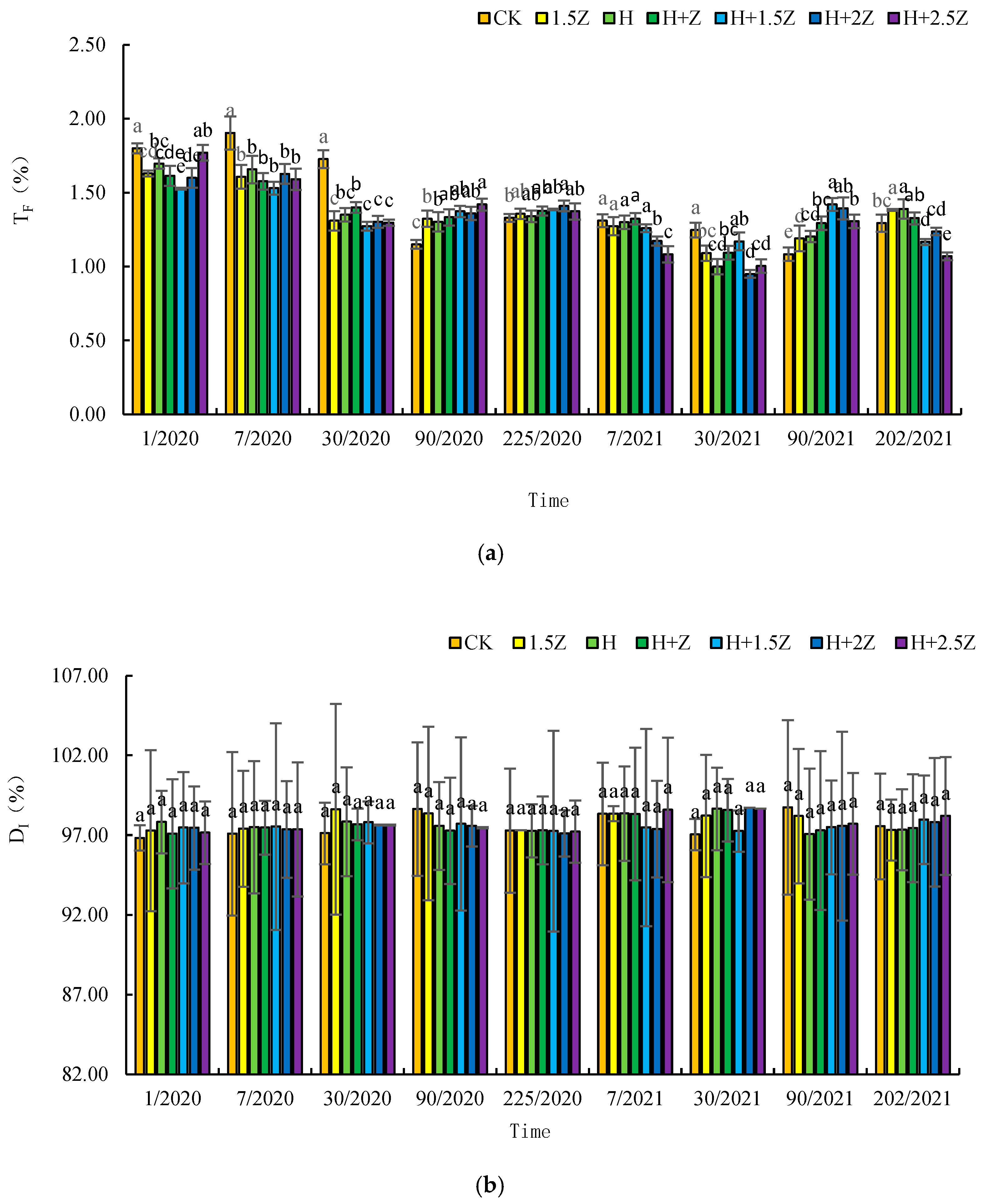
3.5. Effects of Returning Chinese Milk Vetch on Zn Transfer Factor (TF) and Distribution Index (DI) in Purple Tidal Mud Soil
3.6. Relationship between the Effectiveness and Transformation of Zn in Purple Tidal Mud Soil and pH as Well as Different Zn Forms
4. Discussion
4.1. Effects of Chinese Milk Vetch on Available Zinc in Purple Tidal Mud Soil
4.2. Effects of Chinese Milk Vetch on the Content of Different Forms of Zinc in Purple Tidal Mud Soil
4.3. Effects of Rice Cultivation on the Content of Different Forms of Zinc in Purple Tidal Mud Soil
5. Conclusions
Author Contributions
Funding
Data Availability Statement
Conflicts of Interest
References
- Sun, R.; Wang, J.; Feng, J.; Cao, B. Zinc in Cognitive Impairment and Aging. Biomolecules 2022, 12, 1000. [Google Scholar] [CrossRef] [PubMed]
- Belay, A.; Gashu, D.; Joy, E.J.M.; Lark, R.M.; Chagumaira, C.; Likoswe, B.H.; Zerfu, D.; Ander, E.L.; Young, S.D.; Bailey, E.H.; et al. Zinc deficiency is highly prevalent and spatially dependent over short distances in Ethiopia. Sci. Rep. 2021, 11, 6510. [Google Scholar] [CrossRef]
- Maxfield, L.; Shukla, S.; Crane, J.S. Zinc Deficiency; StatPearls Publishing: Treasure Island, FL, USA, 2018. [Google Scholar] [PubMed]
- Alqabbani, H.M.; Albadr, N.A. Zinc status (intake and level) of healthy elderly individuals in Riyadh and its relationship to physical health and cognitive impairment. Clin. Nutr. Exp. 2020, 29, 10–17. [Google Scholar] [CrossRef]
- Kögel-Knabner, I.; Amelung, W.; Cao, Z.H.; Fiedler, S.; Frenzel, P.; Jahn, R.; Kalbitz, K.; Kölbl, A.; Schloter, M. Biogeochemistry of paddy soils. Geoderma 2010, 157, 1–14. [Google Scholar] [CrossRef]
- Fageria, N.K. Screening method of lowland rice genotypes for zinc uptake efficiency. Sci. Agric. 2001, 58, 623–626. [Google Scholar] [CrossRef]
- Dr, T.K.; Singh, U.K.; Das, S.; Das, D.K.; Kuzyakov, Y. Comparative efficacy of ZnSO4 and Zn-EDTA application for fertilization of rice (Oryza sativa L.). Arch. Agron. Soil Sci. 2005, 51, 253–264. [Google Scholar]
- Naik, S.K.; Das, D.K. Relative performance of chelated zinc and zinc sulphate for lowland rice (Oryza sativa L.). Nutr. Cycl. Agroecosyst. 2008, 81, 219–227. [Google Scholar] [CrossRef]
- Graham, R.D.; Welch, R.M.; Saunders, D.A.; Ortiz-Monasterio, I.; Bouis, H.E.; Bonierbale, M.; Haan, S.D.; Burgos, G.; Thiele, G.; Liria, R.; et al. Nutritious subsistence food systems. Adv. Agron. 2007, 92, 1–74. [Google Scholar]
- Zhao, F.J.; Su, Y.H.; Dunham, S.J.; Rakszegi, M.; Bedo, Z.; McGrath, S.P.; Shewry, P.R. Variation in mineral micronutrient concentrations in grain of wheat lines of diverse origin. J. Cereal Sci. 2009, 49, 290–295. [Google Scholar] [CrossRef]
- Cakmak, I.; Kalayci, M.; Kaya, Y.; Torun, A.A.; Aydin, N.; Wang, Y.; Arisoy, Z.; Erdem, H.; Yazici, A.; Gokmen, O.; et al. Biofortification and localization of zinc in wheat grain. J. Agric. Food Chem. 2010, 58, 9092–9102. [Google Scholar] [CrossRef]
- Cakmak, I.; Kutman, U.B. Agronomic biofortification of cereals with zinc: A review. Eur. J. Soil Sci. 2018, 69, 172–180. [Google Scholar] [CrossRef]
- Utasee, S.; Jamjod, S.; Lordkaew, S.; Prom-u-thai, C. Improve Anthocyanin and Zinc Concentration in Purple Rice by Nitrogen and Zinc Fertilizer Application. Rice Sci. 2022, 29, 435–450. [Google Scholar] [CrossRef]
- Tuiwong, P.; Lordkaew, S.; Veeradittakit, J.; Jamjod, S.; Prom-u-thai, C. Efficacy of Nitrogen and Zinc Application at Different Growth Stages on Yield, Grain Zinc, and Nitrogen Concentration in Rice. Agronomy 2022, 12, 2093. [Google Scholar] [CrossRef]
- Lin, L.; Chen, S.B. Transformation and influence factors of speciation of zinc in soils and its effect on zinc bioavailability: A review. J. Agro-Environ. Sci. China 2012, 31, 221–229. [Google Scholar]
- Matar, Z.; Varrault, G.; Chebbo, G.; Troupel, M.; Boudlhamane, L.; Uher, E.; Gourlay, C. Influence of organic matter from urban effluents on trace metal speciation and bioavailability in river under strong urban pressure. In E3S Web of Conferences 1; EDP Sciences: Les Ulis, France, 2013; Volume 41004, pp. 1–4. [Google Scholar]
- Alloway, B.J. Soil factors associated with zinc deficiency in crops and humans. Environ. Geochem. Health 2009, 31, 537–548. [Google Scholar] [CrossRef] [PubMed]
- Chen, Y.; Barak, P. Iron nutrition of plants in calcareous soils. Adv Agron. 1982, 35, 217–238. [Google Scholar]
- Hunan Provincial Department of Agriculture Compilation. Hunan Soils; Agricultural Publishing House: Beijing, China, 1989; pp. 229–230. [Google Scholar]
- Mandal, U.K.; Singh, G.; Victor, U.S.; Sharma, K.L. Green manuring: Its effect on soil properties and crop growth under rice-wheat cropping system. Eur. J. Agron. 2003, 19, 225–237. [Google Scholar] [CrossRef]
- Liu, Y.X.; Huang, D.L.; Liu, N.; Yao, Z.Y.; Yin, D.; Meng, Y.Y.; Zhao, H.B.; Gao, Y.J.; Wang, Z.H. The increasing effect and influencing factors of leguminous green manure on wheat grain Zn in Weibei Highland. Sci. Agric. Sin. China 2018, 51, 4030–4039. [Google Scholar]
- Habiby, H.; Afyuni, M.; Khoshgoftarmanesh, A.H.; Schulin, R. Effect of preceding crops and their residues on availability of zinc in a calcareous Zn-deficient soil. Biol. Fertil. Soils 2014, 50, 1061–1067. [Google Scholar] [CrossRef]
- Soltani, S.; Khoshgoftarmanesh, A.H.; Afyuni, M.; Shrivani, M.; Schulin, R. The effect of preceding crop on wheat grain zinc concentration and its relationship to total amino acids and dissolved organic carbon in rhizosphere soil solution. Biol. Fertil. Soils 2014, 50, 239–247. [Google Scholar] [CrossRef]
- Singh, A.; Shivay, Y.S. Effect of summer green manuring crops and zinc fertilizer sources on productivity, Zn-uptake and economics of basmati rice. J. Plant Nutr. 2016, 39, 204–218. [Google Scholar] [CrossRef]
- Fageria, N.K. Green manuring in crop production. J. Plant Nutr. 2007, 30, 691–719. [Google Scholar] [CrossRef]
- Singh, A.; Shivay, Y.S. Effects of green manures and zinc fertilizer sources on DTPA-extractable zinc in soil and zinc content in Basmati rice plants at different growth stages. Pedosphere 2019, 29, 504–515. [Google Scholar] [CrossRef]
- Grüter, R.; Meister, A.; Schulin, R.; Tandy, S. Green manure effects on zinc and cadmium accumulation in wheat grains (Triticum aestivum L.) on high and low zinc soils. Plant Soil 2018, 422, 437–453. [Google Scholar] [CrossRef]
- Yang, H.B.; Li, Z.L.; Xu, Z.; Deng, M.; Sheng, Z.L. Effects of intercropping green manure on soil available zinc and nutrient content in young tea garden. Chin. Agric. Sci. Bull. China 2018, 34, 99–103. [Google Scholar]
- Nayyar, V.K.; Chhibba, I.M. Effect of green manuring on micronutrient availability in rice-wheat cropping system of northwest India. In Rice-Wheat Consortium Paper Series 6; Abrol, I.P., Brown, K.F., Eds.; Rice-Wheat Consortium for Indo-Gengetic Plains: New Delhi, India, 2000; pp. 68–72. [Google Scholar]
- Li, X.Y.; Liu, H.H.; Xue, S.Q.; Xing, L.B.; Peng, Y.R.; Meng, Y.Y.; Yang, Y.; Huang, D.L. Zinc mobilization effect by root exudates of different green manures. Chin. J. Soil Sci. Fert. China 2022, 1, 81–89. [Google Scholar]
- Chen, Y.L.; Cui, J.; Tian, X.H.; Zhao, A.Q.; Li, M.; Wang, S.X.; Li, X.S.; Jia, Z.; Liu, K. Effect of straw amendment on soil Zn availability and ageing of exogenous water-soluble Zn applied to calcareous soil. PLoS ONE 2017, 12, e0169776. [Google Scholar] [CrossRef][Green Version]
- He, H.X.; Li, X.H.; Bao, M.; Li, C.; Ma, X.L.; He, G.; Qiu, W.H.; Wang, Z.H. Effects of cultivation patterns on wheat yield and soil fertility in dryland. Chin. J. Appl. Ecol. China 2019, 30, 573–582. [Google Scholar]
- Bei, K.Y.; Zhao, Q.; Tian, X.P.; Xiang, C.Y. Effects of green manure returning on transformation of zinc form and availability in fluvo-aquic soil in Tianjin. Chin. J. Soil Sci. Fert. China 2022, 10, 34–40. [Google Scholar]
- Chen, H.; Zhou, X.Y.; Tan, C.; Zhang, Y.C.; Wang, J.D.; Ma, H.B. Effects of milk vetch returning to field on the content of soil nutrient and heavy metal. Chin. Agric. Sci. Bull. China 2022, 38, 80–85. [Google Scholar]
- Zhou, X.Q.; Wu, H.W.; Koetz, E.; Xu, Z.H.; Chen, C.R. Soil labile carbon and nitrogen pools and microbial metabolic diversity under winter crops in an arid environment. Appl. Soil Ecol. 2012, 53, 49–55. [Google Scholar] [CrossRef]
- Zhou, X.; Li, Z.M.; Xie, J.; Liao, Y.L.; Yang, Z.P.; Lu, Y.H.; Nie, J.; Cao, W.D. Effect of reducing chemical fertilizer on rice yield, output value, content of soil carbon and nitrogen after utilizing the milk vetch. Agric. Sci. Technol. 2015, 16, 266–271. [Google Scholar]
- Bao, S.D. Soil Agrochemical Analysis, 3rd ed.; China Agricultural Press: Beijing, China, 2008; pp. 129–132. [Google Scholar]
- Wei, X.R.; Hao, M.D.; Zhang, C.X. Zinc fractions and availability in the soil of the Loess Plateau after long-term continuous application of zinc fertilizer. Chin. Agric. Sci. China 2005, 38, 1386–1393. [Google Scholar]
- Liu, J.H.; Guo, C.H.; Chen, Y.L.; Jia, Z.; Tian, X.H. Effect of Zn source and application method on Zn form and availability in soil. J. NWAFU (Nat. Sci. Ed.) China 2017, 45, 149–156. [Google Scholar]
- Gusiatin, Z.M.; Kulikowska, D. The usability of the IR, RAC and MRI indices of heavy metal distribution to assess the environmental quality of sewage sludge composts. Waste Manag. 2014, 34, 1227–1236. [Google Scholar] [CrossRef]
- Chen, Y.L.; Xiong, S.J.; Dong, J.J.; Jia, Z.; Wang, S.; Wang, S.X.; Shi, J.L.; Tian, X.H. Effects of combined addition of organic materials with zinc fertilizer on zinc availability and transformation in calcareous soil. Chin. J. Appl. Ecol. China 2019, 30, 2737–2745. [Google Scholar]
- Liu, Z. Regularities of contemt and distribution of zinc in soils of China. Sci. Agric. Sin. China 1994, 27, 30–37. [Google Scholar]
- Alvarez, J.M.; Gonzalez, D. Zinc transformations in neutral soil and zinc efficiency in maize fertilization. J. Agric. Food Chem. 2006, 54, 9488–9495. [Google Scholar] [CrossRef]
- Ding, T.T. Contribution of Zinc Fractions to DTPA-Zn and Zinc Supply Capacity. Master’s Thesis, Northwest A&F University, Yangling, China, 31 May 2016. [Google Scholar]
- Lu, X.C.; Tian, X.H.; Yang, X.W.; Mai, W.X.; Bao, Q.L.; Zhao, A.Q. Effects of combined application of nitrogen and zinc on zinc fractions and fertilizer efficiency in calcareous soil. Acta Pedol. Sin. China 2010, 47, 1202–1213. [Google Scholar]
- Han, F.X.; Hu, A.T.; Qin, H.Y. Fractionation of zinc bound to organic matter in soil. J. Nanjing Agric. Univ. China 1990, 13, 68–74. [Google Scholar]
- Jiang, T.H.; Hu, A.T.; Qin, H.Y. Distribution of zinc fractions in soils in relation to soil properties. Acta Pedol. Sin. China 1993, 30, 260–266. [Google Scholar]
- Obrador, A.; Alvarez, J.M.; Lopez-Valdivia, L.M.; Gonzalez, D.; Novillo, J.; Rico, M.I. Relationships of soil properties with Mn and Zn distribution in acidic soils and their uptake by a barley crop. Geoderma 2007, 137, 432–443. [Google Scholar] [CrossRef]
- Yang, F.; Tian, X.H.; Lu, X.C.; Yang, X.W.; Li, X.L. Effects of application of wheat straw on straw Zn release and soil Zn supply capacity during the decomposition. J. Plant Nutr. Fertil. China 2011, 17, 1188–1196. [Google Scholar]
- Wang, J.X.; Wei, C.Z.; Wang, X.J.; Li, M.N.; Zhu, Q.C.; Wang, J. Zinc availability and its influencing factors of Xinjiang soils. J. Soil Water Conserv. China 2012, 26, 297–304. [Google Scholar]
- Yang, Z.X.; Zhou, H.P.; Xie, W.Y.; Liu, Z.P. Spatiotemporal variation of Zn speciation and its effect on available Zn in cinnamon soil under long-term fertilization. Acta Agric. Boreali Sin. China 2021, 36, 162–168. [Google Scholar]
- Jalali, M.; Khanlari, Z.V. Effect of aging process on the fractionation of heavy metals in some calcareous soils of Iran. Geoderma 2008, 143, 26–40. [Google Scholar] [CrossRef]
- Pérez-esteban, J.; Escolástico, C.; Masaguer, A.; Moliner, A. Effects of sheep and horse manure and pine bark amendments on metal distribution and chemical properties of contaminated mine soils. Eur. J. Soil Sci. 2012, 63, 733–742. [Google Scholar] [CrossRef]
- Xiang, H.F.; Tang, H.A.; Ying, Q.H. Transformation and distribution of forms of zinc in acid, neutral and calcareous soils of China. Geoderma 1995, 66, 121–135. [Google Scholar] [CrossRef]
- Wei, S.Q.; Cheng, S.R.; Liu, C. The study on zinc forms, transformation and availability in the soil under rice crop. J. Southwest Agric. Univ. China 1990, 12, 604–608. [Google Scholar]



| Soil Depth | pH | Available Nitrogen | Available Phosphorus | Available Potassium | Total Nitrogen | Total Phosphorus | Total Potassium | Oganic Matter |
|---|---|---|---|---|---|---|---|---|
| mg/kg | mg/kg | mg/kg | g/kg | g/kg | g/kg | g/kg | ||
| 0–20 cm | 7.97 | 106.37 | 14.30 | 95.86 | 0.85 | 0.67 | 19.40 | 10.53 |
| Soil depth | DTPA-Zn | Exchangeable zinc | Loosely bound organic zinc | Carbonate-bound zinc | Manganese-oxide-bound zinc | Tightly bound organic zinc | Residual zinc in minerals | T-Zn |
| mg/kg | mg/kg | mg/kg | mg/kg | mg/kg | mg/kg | mg/kg | mg/kg | |
| 0–20 cm | 0.68 | 0.03 | 0.30 | 0.27 | 0.21 | 0.10 | 94.07 | 94.98 |
| Year | Crops | Variety | Zinc Content (Dry Basis, mg/kg) | Moisture Content (%) |
|---|---|---|---|---|
| 2020 | Green manure | Xiangzi-1 | 75.4 | 91.03 |
| Early rice | Zhuliangyou 39 | 40.9 | 91.47 | |
| Late rice | Y-liangyou 911 | 39.5 | 88.19 | |
| 2021 | Green manure | Xiangzi-1 | 38.1 | 89.71 |
| Early rice | Lingliangyou 268 | 75.0 | 88.44 | |
| Late rice | Shenyou 9586 | 70.9 | 85.66 |
| Treatment | Rice Season | Fertilizer | Chinese Milk Vetch | |||||
|---|---|---|---|---|---|---|---|---|
| N (kg/hm2) | P2O5 (kg/hm2) | K2O (kg/hm2) | ||||||
| Basal Fertilizer | Topdressing | Basal Fertilizer | Basal Fertilizer | Topdressing | (t/hm2) | g/pot | ||
| CK | Early rice | 0 | 0 | 0 | 0 | 0 | 0.00 | 0 |
| Late rice | 0 | 0 | 0 | 0 | 0 | 0.00 | 0 | |
| 1.5Z | Early rice | 0 | 0 | 0 | 0 | 0 | 2.25 | 93.75 |
| Late rice | 0 | 0 | 0 | 0 | 0 | 0.00 | 0 | |
| H | Early rice | 150 × 70% | 150 × 30% | 75 | 75 × 50% | 75 × 50% | 0.00 | 0 |
| Late rice | 180 × 70% | 180 × 30% | 45 | 90 × 50% | 90 × 50% | 0.00 | 0 | |
| H+Z | Early rice | 150 × 70% | 150 × 30% | 75 | 75 × 50% | 75 × 50% | 1.50 | 62.50 |
| Late rice | 180 × 70% | 180 × 30% | 45 | 90 × 50% | 90 × 50% | 0.00 | 0 | |
| H+1.5Z | Early rice | 150 × 70% | 150 × 30% | 75 | 75 × 50% | 75 × 50% | 2.25 | 93.75 |
| Late rice | 180 × 70% | 180 × 30% | 45 | 90 × 50% | 90 × 50% | 0.00 | 0 | |
| H+2Z | Early rice | 150 × 70% | 150 × 30% | 75 | 75 × 50% | 75 × 50% | 3.00 | 125.00 |
| Late rice | 180 × 70% | 180 × 30% | 45 | 90 × 50% | 90 × 50% | 0.00 | 0 | |
| H+2.5Z | Early rice | 150 × 70% | 150 × 30% | 75 | 75 × 50% | 75 × 50% | 3.75 | 156.25 |
| Late rice | 180 × 70% | 180 × 30% | 45 | 90 × 50% | 90 × 50% | 0.00 | 0 | |
| Farming Operations | Time | |
|---|---|---|
| First Year | Second Year | |
| Potting the container with soil | 9-Oct-19 | - |
| Sowing Chinese milk vetch | 21-Oct-19 | 18-Nov-20 |
| Incorporating Chinese milk vetch | 31-Mar-20 | 8-Apr-21 |
| Applying basal fertilizer for early rice | 15-Apr-20 | 23-Apr-21 |
| Transplanting early rice seedlings | 15-Apr-20 | 23-Apr-21 |
| Applying topdressing fertilizer for early rice | 22-Apr-20 | 30-Apr-21 |
| Harvesting early rice | 17-Jul-20 | 27-Jul-21 |
| Applying basal fertilizer for late rice | 17-Jul-20 | 27-Jul-21 |
| Transplanting late rice seedlings | 20-Jul-20 | 27-Jul-21 |
| Applying topdressing fertilizer for late rice | 24-Jul-20 | 3-Aug-21 |
| Harvesting late rice | 12-Nov-20 | 27-Oct-21 |
| Zinc Forms | Treatment | Time | ||||||||
|---|---|---|---|---|---|---|---|---|---|---|
| 1/2020 | 7/2020 | 30/2020 | 90/2020 | 225/2020 | 7/2021 | 30/2021 | 90/2021 | 202/2021 | ||
| Ex-Zn | CK | 1.12 | 1.13 | 1.11 | 0.88 | 0.92 | 1.10 | 1.08 | 0.92 | 0.88 |
| 1.5Z | 1.05 | 1.08 | 0.95 | 0.90 | 0.87 | 1.09 | 0.95 | 0.96 | 0.87 | |
| H | 1.10 | 1.16 | 0.90 | 0.90 | 0.87 | 1.11 | 0.95 | 0.88 | 0.85 | |
| H+Z | 1.07 | 1.07 | 0.92 | 0.91 | 0.88 | 1.09 | 0.97 | 0.89 | 0.85 | |
| H+1.5Z | 0.99 | 1.04 | 0.87 | 0.91 | 0.89 | 0.97 | 0.93 | 0.85 | 0.73 | |
| H+2Z | 0.96 | 1.11 | 0.86 | 0.89 | 0.92 | 0.97 | 0.92 | 0.88 | 0.76 | |
| H+2.5Z | 1.06 | 1.06 | 0.88 | 0.89 | 0.86 | 0.96 | 0.91 | 0.82 | 0.62 | |
| Wbo-Zn | CK | 0.68 | 0.77 | 0.62 | 0.27 | 0.41 | 0.21 | 0.17 | 0.16 | 0.41 |
| 1.5Z | 0.58 | 0.53 | 0.36 | 0.42 | 0.48 | 0.18 | 0.14 | 0.23 | 0.52 | |
| H | 0.60 | 0.49 | 0.45 | 0.41 | 0.47 | 0.19 | 0.05 | 0.32 | 0.54 | |
| H+Z | 0.55 | 0.51 | 0.48 | 0.43 | 0.50 | 0.23 | 0.12 | 0.40 | 0.47 | |
| H+1.5Z | 0.54 | 0.48 | 0.41 | 0.46 | 0.50 | 0.29 | 0.24 | 0.57 | 0.44 | |
| H+2Z | 0.64 | 0.52 | 0.44 | 0.47 | 0.49 | 0.20 | 0.03 | 0.52 | 0.47 | |
| H+2.5Z | 0.71 | 0.53 | 0.41 | 0.53 | 0.51 | 0.12 | 0.10 | 0.48 | 0.45 | |
| Carb-Zn | CK | 1.17 | 1.09 | 1.14 | 0.08 | 1.20 | 0.00 | 1.61 | 0.00 | 0.98 |
| 1.5Z | 1.08 | 0.96 | 0.00 | 0.25 | 1.13 | 0.00 | 0.41 | 0.44 | 1.03 | |
| H | 0.40 | 0.98 | 0.73 | 1.28 | 1.21 | 0.00 | 0.00 | 1.82 | 1.03 | |
| H+Z | 1.01 | 0.90 | 1.01 | 1.53 | 1.09 | 0.00 | 0.02 | 1.32 | 0.98 | |
| H+1.5Z | 0.93 | 1.03 | 0.82 | 0.84 | 1.26 | 1.20 | 1.47 | 0.95 | 0.58 | |
| H+2Z | 0.94 | 0.97 | 1.01 | 0.96 | 1.28 | 1.35 | 0.00 | 0.97 | 0.63 | |
| H+2.5Z | 1.03 | 1.02 | 0.98 | 0.97 | 1.12 | 0.00 | 0.00 | 0.71 | 0.49 | |
| OxMn-Zn | CK | 0.45 | 0.33 | 0.31 | 0.00 | 0.33 | 0.11 | 0.31 | 0.07 | 0.33 |
| 1.5Z | 0.33 | 0.27 | 0.00 | 0.00 | 0.37 | 0.11 | 0.15 | 0.11 | 0.43 | |
| H | 0.00 | 0.00 | 0.25 | 0.00 | 0.39 | 0.12 | 0.08 | 0.26 | 0.43 | |
| H+Z | 0.62 | 0.20 | 0.00 | 0.19 | 0.39 | 0.12 | 0.07 | 0.31 | 0.43 | |
| H+1.5Z | 0.30 | 0.34 | 0.29 | 0.48 | 0.39 | 0.32 | 0.33 | 0.34 | 0.41 | |
| H+2Z | 0.28 | 0.39 | 0.26 | 0.38 | 0.40 | 0.25 | 0.06 | 0.38 | 0.40 | |
| H+2.5Z | 0.39 | 0.31 | 0.28 | 0.41 | 0.54 | 0.10 | 0.07 | 0.43 | 0.31 | |
| Sbo-Zn | CK | 1.10 | 0.81 | 0.84 | 0.82 | 1.33 | 1.23 | 1.32 | 1.11 | 1.22 |
| 1.5Z | 0.92 | 0.80 | 0.81 | 0.84 | 1.20 | 1.20 | 1.15 | 1.18 | 1.17 | |
| H | 0.97 | 0.89 | 0.77 | 0.78 | 1.21 | 1.19 | 1.17 | 1.08 | 1.20 | |
| H+Z | 0.95 | 0.87 | 0.88 | 0.81 | 1.26 | 1.26 | 1.15 | 1.31 | 1.21 | |
| H+1.5Z | 0.85 | 0.76 | 0.77 | 0.72 | 1.21 | 1.23 | 1.20 | 0.99 | 1.02 | |
| H+2Z | 0.72 | 0.67 | 0.79 | 0.74 | 1.22 | 1.22 | 1.09 | 1.11 | 1.16 | |
| H+2.5Z | 0.75 | 0.72 | 0.84 | 0.82 | 1.21 | 1.25 | 1.09 | 1.04 | 1.00 | |
| Min-Zn | CK | 95.49 | 95.87 | 95.98 | 97.95 | 95.80 | 97.34 | 95.52 | 97.75 | 96.18 |
| 1.5Z | 96.05 | 96.37 | 97.88 | 97.59 | 95.94 | 97.41 | 97.20 | 97.09 | 95.99 | |
| H | 96.93 | 96.48 | 96.90 | 96.63 | 95.85 | 97.39 | 97.75 | 95.64 | 95.95 | |
| H+Z | 95.81 | 96.45 | 96.72 | 96.14 | 95.89 | 97.30 | 97.67 | 95.76 | 96.05 | |
| H+1.5Z | 96.40 | 96.35 | 96.85 | 96.59 | 95.75 | 96.00 | 95.83 | 96.30 | 96.83 | |
| H+2Z | 96.47 | 96.34 | 96.64 | 96.56 | 95.69 | 96.01 | 97.90 | 96.15 | 96.57 | |
| H+2.5Z | 96.06 | 96.36 | 96.60 | 96.39 | 95.75 | 97.56 | 97.84 | 96.52 | 97.13 | |
| Zinc Forms | Treatment | Time | ||||||||
|---|---|---|---|---|---|---|---|---|---|---|
| 1/2020 | 7/2020 | 30/2020 | 90/2020 | 225/2020 | 7/2021 | 30/2021 | 90/2021 | 202/2021 | ||
| Ex-Zn | CK | 1.10 a | 1.13 a | 1.11 a | 0.94 b | 0.87 ab | 1.04 ab | 0.98 a | 0.91 ab | 0.85 a |
| 1.5Z | 1.08 a | 1.11 a | 0.99 b | 0.95 b | 0.86 ab | 1.03 b | 0.96 ab | 0.93 a | 0.86 a | |
| H | 1.11 a | 1.15 a | 0.97 bc | 0.96 ab | 0.85 b | 1.08 a | 0.93 abc | 0.88 bc | 0.83 ab | |
| H+Z | 1.09 a | 1.12 a | 0.94 cd | 0.93 b | 0.84 b | 1.02 b | 0.94 abc | 0.87 bc | 0.83 ab | |
| H+1.5Z | 1.08 a | 1.15 a | 0.95 bcd | 1.00 a | 0.87 ab | 0.95 c | 0.93 bc | 0.86 c | 0.79 b | |
| H+2Z | 1.09 a | 1.18 a | 0.92 d | 0.97 ab | 0.90 a | 0.96 c | 0.90 c | 0.86 c | 0.73 c | |
| H+2.5Z | 1.08 a | 1.12 a | 0.95 bcd | 0.95 b | 0.84 b | 0.93 c | 0.91 bc | 0.85 c | 0.71 c | |
| Wbo-Zn | CK | 0.67 b | 0.77 a | 0.62 a | 0.28 d | 0.39 d | 0.20 c | 0.15 b | 0.16 f | 0.39 d |
| 1.5Z | 0.59 cd | 0.54 bc | 0.38 d | 0.45 c | 0.47 bc | 0.17 d | 0.14 c | 0.22 e | 0.51 a | |
| H | 0.60 c | 0.49 d | 0.49 b | 0.44 c | 0.46 c | 0.18 d | 0.05 f | 0.32 d | 0.53 a | |
| H+Z | 0.56 d | 0.53 c | 0.49 b | 0.44 c | 0.48 abc | 0.22 b | 0.12 d | 0.39 c | 0.46 c | |
| H+1.5Z | 0.58 cd | 0.53 bc | 0.45 c | 0.51 b | 0.48 ab | 0.29 a | 0.24 a | 0.58 a | 0.48 b | |
| H+2Z | 0.72 a | 0.55 bc | 0.48 b | 0.51 b | 0.48 ab | 0.20 c | 0.03 g | 0.51 b | 0.45 c | |
| H+2.5Z | 0.72 a | 0.56 b | 0.45 c | 0.57 a | 0.50 a | 0.11 e | 0.10 e | 0.50 b | 0.51 a | |
| Carb-Zn | CK | 1.14 a | 1.09 b | 1.15 a | 0.08 f | 1.14 cd | 0.00 c | 1.47 a | 0.00 f | 0.94 b |
| 1.5Z | 1.10 ab | 0.99 d | 0.00 f | 0.26 e | 1.11 de | 0.00 c | 0.42 b | 0.42 e | 1.03 a | |
| H | 0.41 d | 0.96 de | 0.79 e | 1.37 b | 1.18 bc | 0.00 c | 0.00 c | 1.81 a | 1.02 a | |
| H+Z | 1.03 c | 0.94 e | 1.04 c | 1.57 a | 1.05 e | 0.00 c | 0.02 c | 1.28 b | 0.95 b | |
| H+1.5Z | 1.02 c | 1.14 a | 0.90 d | 0.92 d | 1.24 ab | 1.19 b | 1.47 a | 0.97 c | 0.63 c | |
| H+2Z | 1.06 bc | 1.04 c | 1.09 b | 1.04 c | 1.25 a | 1.33 a | 0.00 c | 0.95 c | 0.60 c | |
| H+2.5Z | 1.05 bc | 1.09 b | 1.06 bc | 1.03 c | 1.10 de | 0.00 c | 0.00 c | 0.73 d | 0.56 d | |
| OxMn-Zn | CK | 0.44 b | 0.33 c | 0.31 ab | 0.00 e | 0.32 d | 0.11 c | 0.28 b | 0.07 g | 0.32 e |
| 1.5Z | 0.34 d | 0.27 d | 0.00 d | 0.00 e | 0.36 c | 0.11 c | 0.15 c | 0.10 f | 0.42 b | |
| H | 0.00 f | 0.00 f | 0.27 c | 0.00 e | 0.38 bc | 0.11 c | 0.08 d | 0.26 e | 0.42 b | |
| H+Z | 0.63 a | 0.21 e | 0.00 d | 0.20 d | 0.37 c | 0.11 c | 0.07 e | 0.30 d | 0.42 b | |
| H+1.5Z | 0.32 de | 0.37 b | 0.32 a | 0.52 a | 0.38 bc | 0.31 a | 0.33 a | 0.35 c | 0.45 a | |
| H+2Z | 0.32 e | 0.42 a | 0.28 c | 0.42 c | 0.39 b | 0.25 b | 0.06 f | 0.37 b | 0.39 c | |
| H+2.5Z | 0.40 c | 0.33 c | 0.30 b | 0.43 b | 0.53 a | 0.10 d | 0.07 e | 0.45 a | 0.36 d | |
| Sbo-Zn | CK | 1.07 a | 0.81 b | 0.84 b | 0.87 ab | 1.27 a | 1.16 ab | 1.20 a | 1.10 bc | 1.17 abc |
| 1.5Z | 0.95 bc | 0.82 b | 0.85 b | 0.89 a | 1.18 b | 1.14 b | 1.16 ab | 1.15 b | 1.16 abc | |
| H | 0.98 b | 0.88 a | 0.83 b | 0.84 bc | 1.18 b | 1.16 ab | 1.15 abc | 1.07 c | 1.18 a | |
| H+Z | 0.97 b | 0.91 a | 0.90 a | 0.83 bcd | 1.21 b | 1.17 ab | 1.12 bc | 1.28 a | 1.17 ab | |
| H+1.5Z | 0.93 c | 0.83 b | 0.85 b | 0.79 d | 1.18 b | 1.21 a | 1.20 a | 1.00 d | 1.11 c | |
| H+2Z | 0.82 d | 0.71 d | 0.85 b | 0.81 cd | 1.19 b | 1.20 a | 1.06 d | 1.08 c | 1.12 bc | |
| H+2.5Z | 0.76 e | 0.77 c | 0.90 a | 0.87 ab | 1.18 b | 1.21 a | 1.09 cd | 1.07 c | 1.13 abc | |
| Min-Zn | CK | 93.30 b | 95.72 c | 96.43 c | 104.03 ab | 90.82 a | 91.94 a | 87.24 b | 96.69 abc | 92.09 b |
| 1.5Z | 98.66 b | 99.49 b | 102.02 ab | 103.64 ab | 94.23 a | 92.30 a | 98.08 a | 94.20 bc | 95.34 b | |
| H | 97.51 b | 95.43 c | 104.50 a | 103.09 ab | 93.28 a | 94.74 a | 95.77 a | 95.01 bc | 94.43 b | |
| H+Z | 97.91 b | 100.80 b | 99.32 bc | 98.95 b | 92.05 a | 91.05 a | 94.85 a | 93.10 c | 93.20 b | |
| H+1.5Z | 105.01 a | 106.22 a | 106.24 a | 106.02 a | 93.57 a | 94.70 a | 95.83 a | 97.89 ab | 105.45 a | |
| H+2Z | 109.42 a | 102.44 ab | 104.38 a | 104.90 ab | 93.69 a | 94.99 a | 95.51 a | 94.09 bc | 92.83 b | |
| H+2.5Z | 97.62 b | 102.43 ab | 103.67 ab | 103.15 ab | 93.51 a | 94.60 a | 98.11 a | 99.55 a | 110.25 a | |
| Treatment | Indicator | pH | Ex-Zn | Wbo-Zn | Carb-Zn | OxMn-Zn | Sbo-Zn | Min-Zn | 2Zn | 3Zn | 4Zn | 5Zn | DI | TF |
|---|---|---|---|---|---|---|---|---|---|---|---|---|---|---|
| CK | DTPA-Zn | −0.725 * | 0.361 | 0.831 ** | 0.667 * | 0.754 * | −0.295 | −0.001 | 0.743 * | 0.801 ** | 0.803 ** | 0.758 * | −0.739 * | 0.743 * |
| TF | −0.897 ** | 0.817 ** | 0.944 ** | 0.545 | 0.718 * | −0.528 | −0.034 | 0.985 ** | 0.807 ** | 0.802 ** | 0.713 * | −0.729 * | ||
| DI | 0.638 * | −0.423 | −0.658 * | −0.959 ** | −0.951 ** | 0.008 | 0.540 | −0.636 * | −0.976 ** | −0.984 ** | −0.995 ** | |||
| 1.5Z | DTPA-Zn | −0.515 | −0.713 * | 0.342 | 0.628 | 0.737 * | 0.518 | −0.409 | −0.029 | 0.476 | 0.545 | 0.644 * | −0.612 | 0.053 |
| TF | −0.467 | 0.539 | 0.877 ** | 0.629 * | 0.521 | −0.560 | 0.218 | 0.974 ** | 0.811 ** | 0.770 ** | 0.648 * | −0.683 * | ||
| DI | 0.418 | 0.014 | −0.711 * | −0.980 ** | −0.958 ** | −0.129 | 0.265 | −0.590 | −0.954 ** | −0.980 ** | −0.996 ** | |||
| H | DTPA-Zn | −0.644 * | 0.041 | 0.715 * | 0.090 | 0.418 | 0.055 | −0.271 | 0.597 | 0.278 | 0.353 | 0.377 | −0.431 | 0.681 * |
| TF | −0.718 * | 0.612 | 0.807 ** | 0.058 | −0.258 | −0.411 | 0.026 | 0.970 ** | 0.372 | 0.285 | 0.207 | −0.336 | ||
| DI | 0.376 | 0.363 | −0.649 * | −0.919 ** | −0.452 | 0.114 | 0.115 | −0.331 | −0.944 ** | −0.976 ** | −0.987 ** | |||
| H+Z | DTPA-Zn | −0.493 | −0.701 * | 0.229 | 0.170 | 0.370 | 0.590 | −0.478 | −0.204 | 0.079 | 0.165 | 0.307 | −0.284 | −0.109 |
| TF | 0.635 | 0.616 | 0.838 ** | 0.420 | 0.511 | −0.462 | 0.522 | 0.976 ** | 0.636 * | 0.680 * | 0.615 | −0.657 * | ||
| DI | −0.095 | 0.069 | −0.904 ** | −0.908 ** | −0.681 * | 0.215 | −0.310 | −0.655 * | −0.942 ** | −0.987 ** | −0.995 ** | |||
| H+1.5Z | DTPA-Zn | −0.421 | −0.632 * | 0.054 | −0.194 | 0.347 | 0.512 | −0.232 | −0.352 | −0.413 | −0.343 | −0.000 | 0.050 | −0.310 |
| TF | −0.306 | 0.694 * | 0.734 * | 0.036 | −0.047 | −0.566 | 0.257 | 0.922 ** | 0.653 * | 0.684 * | 0.289 | −0.242 | ||
| DI | −0.049 | −0.176 | 0.292 | −0.913 ** | 0.463 | −0.457 | 0.749 * | 0.089 | −0.765 * | −0.686 * | −0.938 ** | |||
| H+2Z | DTPA-Zn | −0.778 ** | −0.508 | 0.163 | 0.004 | 0.266 | 0.433 | −0.370 | −0.117 | −0.051 | 0.000 | 0.124 | −0.185 | −0.000 |
| TF | 0.157 | 0.622 | 0.914 ** | 0.612 | 0.753 * | −0.581 | 0.549 | 0.966 ** | 0.849 ** | 0.870 ** | 0.767 * | −0.744 * | ||
| DI | −0.215 | −0.327 | −0.671 * | −0.949 ** | −0.776 ** | 0.082 | −0.180 | −0.648 * | −0.930 ** | −0.945 ** | −0.990 ** | |||
| H+2.5Z | DTPA-Zn | −0.735 * | −0.747 * | 0.173 | 0.094 | 0.403 | 0.469 | 0.291 | −0.214 | −0.020 | 0.059 | 0.183 | −0.020 | −0.274 |
| TF | −0.059 | 0.707 * | 0.819 ** | 0.795 ** | 0.581 | −0.804 ** | −0.117 | 0.971 ** | 0.893 ** | 0.865 ** | 0.798 ** | −0.891 ** | ||
| DI | 0.351 | −0.412 | −0.886 ** | −0.962 ** | −0.841 ** | 0.627 | 0.041 | −0.886 ** | −0.970 ** | −0.979 ** | −0.973 ** | |||
| DTPA-Zn | −0.583** | −0.485 ** | 0.316 * | 0.184 | 0.424 ** | 0.334 ** | −0.085 | 0.014 | 0.148 | 0.220 | 0.308 * | −0.265 * | 0.044 | |
| TF | −0.299* | 0.659 ** | 0.833 ** | 0.434 ** | 0.343 ** | −0.522 ** | 0.083 | 0.954 ** | 0.694 ** | 0.669 ** | 0.579 ** | −0.650 ** | ||
| DI | 0.262* | −0.138 | −0.677 ** | −0.930 ** | −0.684 ** | 0.105 | 0.134 | −0.587 ** | −0.944 ** | −0.958 ** | −0.979 ** | |||
Disclaimer/Publisher’s Note: The statements, opinions and data contained in all publications are solely those of the individual author(s) and contributor(s) and not of MDPI and/or the editor(s). MDPI and/or the editor(s) disclaim responsibility for any injury to people or property resulting from any ideas, methods, instructions or products referred to in the content. |
© 2024 by the authors. Licensee MDPI, Basel, Switzerland. This article is an open access article distributed under the terms and conditions of the Creative Commons Attribution (CC BY) license (https://creativecommons.org/licenses/by/4.0/).
Share and Cite
Yang, Z.; Rao, Z.; Li, H.; Zeng, X.; Xie, J. Effects of Returning Green Manure-Chinese Milk Vetch on the Availability and Transformation of Zinc in Purple Tidal Mud Soil under Rice Cultivation. Agronomy 2024, 14, 1126. https://doi.org/10.3390/agronomy14061126
Yang Z, Rao Z, Li H, Zeng X, Xie J. Effects of Returning Green Manure-Chinese Milk Vetch on the Availability and Transformation of Zinc in Purple Tidal Mud Soil under Rice Cultivation. Agronomy. 2024; 14(6):1126. https://doi.org/10.3390/agronomy14061126
Chicago/Turabian StyleYang, Zengping, Zhongxiu Rao, Hailu Li, Xianjun Zeng, and Jian Xie. 2024. "Effects of Returning Green Manure-Chinese Milk Vetch on the Availability and Transformation of Zinc in Purple Tidal Mud Soil under Rice Cultivation" Agronomy 14, no. 6: 1126. https://doi.org/10.3390/agronomy14061126
APA StyleYang, Z., Rao, Z., Li, H., Zeng, X., & Xie, J. (2024). Effects of Returning Green Manure-Chinese Milk Vetch on the Availability and Transformation of Zinc in Purple Tidal Mud Soil under Rice Cultivation. Agronomy, 14(6), 1126. https://doi.org/10.3390/agronomy14061126
