Phosphorus Distribution within Aggregates in Long-Term Fertilized Black Soil: Regulatory Mechanisms of Soil Organic Matter and pH as Key Impact Factors
Abstract
1. Introduction
2. Materials and Methods
2.1. Study Site and Soil Sampling
2.2. Soil Aggregate Sieving
2.3. P fractions Obtained by Chemical Sequential Fractionation
2.4. P Species Identified by XANES Spectroscopy
2.5. Determination of Chemical Properties
2.6. Statistical Analysis
3. Results
3.1. Soil Aggregate Distribution
3.2. Chemical Properties in Soil Aggregates
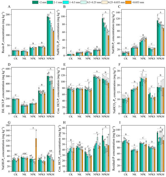
3.3. P Fractions
3.4. P Species Identified by XANES
3.5. Correlations between P Fractions and Soil Properties
4. Discussion
4.1. Effect of Fertilization Practices on Aggregate Distribution and Properties
4.2. Effect of Chemical Fertilizer on Soil P Forms
4.3. Effect of Chemical Fertilizer Combined with Straw or Manure on Soil P Forms
5. Conclusions
Author Contributions
Funding
Data Availability Statement
Acknowledgments
Conflicts of Interest
References
- Cordell, D.; White, S. Life’s bottleneck: Sustaining the world’s phosphorus for a food secure future. Annu. Rev. Environ. Resour. 2014, 39, 161–188. [Google Scholar] [CrossRef]
- Zou, T.; Zhang, X.; Davidson, E.A. Global trends of cropland phosphorus use and sustainability challenges. Nature 2022, 611, 81–87. [Google Scholar] [CrossRef] [PubMed]
- Powers, S.M.; Bruulsema, T.W.; Burt, T.P.; Chan, N.I.; Elser, J.J.; Haygarth, P.M.; Howden, N.J.K.; Jarvie, H.P.; Lyu, Y.; Peterson, H.M.; et al. Long-term accumulation and transport of anthropogenic phosphorus in three river basins. Nat. Geosci. 2016, 9, 353–356. [Google Scholar] [CrossRef]
- Cooper, J.; Lombardi, R.; Boardman, D.; Carliell-Marquet, C. The future distribution and production of global phosphate rock reserves. Resour. Conserv. Recycl. 2011, 57, 78–86. [Google Scholar] [CrossRef]
- Gatiboni, L.C.; Schmitt, D.E.; Tiecher, T.; Veloso, M.G.; dos Santos, D.R.; Kaminsk, J.; Brunetto, G. Plant uptake of legacy phosphorus from soils without P fertilization. Nutr. Cycl. Agroecosystems 2021, 119, 139–151. [Google Scholar] [CrossRef]
- Schmieder, F.; Bergstrom, L.; Riddle, M.; Gustafsson, J.P.; Klysubun, W.; Zehetner, F.; Condron, L.; Kirchmann, H. Phosphorus speciation in a long-term manure-amended soil profile—Evidence from wet chemical extraction, 31 P-NMR and P K-edge XANES spectroscopy. Geoderma 2018, 322, 19–27. [Google Scholar] [CrossRef]
- Barrow, N. The effects of pH on phosphate uptake from the soil. Plant Soil 2016, 410, 401–410. [Google Scholar] [CrossRef]
- Jindo, K.; Audette, Y.; Olivares, F.L.; Canellas, L.P.; Smith, D.S.; Voroney, R.P. Biotic and abiotic effects of soil organic matter on the phytoavailable phosphorus in soils: A review. Chem. Biol. Technol. Agric. 2023, 10, 29. [Google Scholar] [CrossRef]
- Oliveira, L.E.Z.; Nunes, R.D.; de Figueiredo, C.C.; Rein, T.A. Spatial distribution of soil phosphorus fractions in a clayey Oxisol submitted to long-term phosphate fertilization strategies. Geoderma 2022, 418, 115847. [Google Scholar] [CrossRef]
- Takamoto, A.; Hashimoto, Y.; Asano, M.; Noguchi, K.; Wagai, R. Distribution and chemical species of phosphorus across density fractions in Andisols of contrasting mineralogy. Geoderma 2021, 395, 115080. [Google Scholar] [CrossRef]
- Zhang, N.Y.; Wang, Q.; Zhan, X.Y.; Wu, Q.H.; Huang, S.M.; Zhu, P.; Yang, X.Y.; Zhang, S.X. Characteristics of inorganic phosphorus fractions and their correlations with soil properties in three non-acidic soils. J. Integr. Agric. 2022, 21, 3626–3636. [Google Scholar] [CrossRef]
- Yang, W.L.; Xiang, W.; Bao, Z.Y.; Huang, C.L.; Ma, M.; Lu, X.Z.; Yao, L.Y.; Wang, Y. Phosphorus sorption capacity of various iron-organic matter associations in peat soils. Environ. Sci. Pollut. Res. 2022, 29, 77580–77592. [Google Scholar] [CrossRef] [PubMed]
- Audette, Y.; Smith, D.S.; Parsons, C.T.; Chen, W.B.; Rezanezhad, F.; Van Cappellen, P. Phosphorus binding to soil organic matter via ternary complexes with calcium. Chemosphere 2020, 260, 127624. [Google Scholar] [CrossRef] [PubMed]
- Bucka, F.B.; Kölbl, A.; Uteau, D.; Peth, S.; Kögel-Knabne, I. Organic matter input determines structure development and aggregate formation in artificial soils. Geoderma 2019, 354, 113881. [Google Scholar] [CrossRef]
- Li, R.L.; Zhang, S.R.; Zhang, M.; Fei, C.; Ding, X.D. Phosphorus fractions and adsorption-desorption in aggregates in coastal saline-alkaline paddy soil with organic fertilizer application. J. Soils Sediments 2021, 21, 3084–3097. [Google Scholar] [CrossRef]
- Tian, S.Y.; Zhu, B.J.; Yin, R.; Wang, M.W.; Jiang, Y.J.; Zhang, C.Z.; Li, D.M.; Chen, X.Y.; Kardol, P.; Liu, M.Q. Organic fertilization promotes crop productivity through changes in soil aggregation. Soil Biol. Biochem. 2022, 165, 108533. [Google Scholar] [CrossRef]
- Zhao, W.; Gu, C.; Zhu, M.; Yan, Y.; Liu, Z.; Feng, X.; Wang, X. Chemical speciation of phosphorus in farmland soils and soil aggregates around mining areas. Geoderma 2023, 433, 116465. [Google Scholar] [CrossRef]
- Andersson, K.O.; Tighe, M.K.; Guppy, C.N.; Milham, P.J.; McLaren, T.I. Incremental acidification reveals phosphorus release dynamics in alkaline vertic soils. Geoderma 2015, 259, 35–44. [Google Scholar] [CrossRef]
- Meyer, G.; Bell, M.J.; Lombi, E.; Doolette, C.L.; Brunetti, G.; Novotny, E.H.; Klysubun, W.; Zhang, Y.Q.; Kopittke, P.M. Phosphorus speciation in the fertosphere of highly concentrated fertilizer bands. Geoderma 2021, 403, 115208. [Google Scholar] [CrossRef]
- Bohoussou, N.Y.; Han, S.W.; Li, H.R.; Kouadio, Y.D.; Ejaz, I.; Virk, A.L.; Dang, Y.P.; Zhao, X.; Zhang, H.L. Effects of fertilizer application strategies on soil organic carbon and total nitrogen storage under different agronomic practices: A meta-analysis. Land Degrad. Dev. 2023, 34, 5889–5904. [Google Scholar] [CrossRef]
- Chen, S.; Cade-Menun, B.J.; Bainard, L.D.; St-Luce, M.; Hu, Y.F.; Chen, Q. The influence of long-term N and P fertilization on soil P forms and cycling in a wheat/fallow cropping system. Geoderma 2021, 404, 11527. [Google Scholar] [CrossRef]
- Wu, Q.H.; Zhang, S.X.; Zhu, P.; Huang, S.M.; Wang, B.R.; Zhao, L.P.; Xu, M.G. Characterizing differences in the phosphorus activation coefficient of three typical cropland soils and the influencing factors under long-term fertilization. PLoS ONE 2017, 12, e0176437. [Google Scholar] [CrossRef]
- Six, J.; Paustian, K.; Elliott, E.T.; Combrink, C. Soil structure and organic matter: I. Distribution of aggregate-size classes and aggregate-associated carbon. Soil Sci. Soc. Am. J. 2000, 64, 681–689. [Google Scholar] [CrossRef]
- Yu, Z.H.; Zhang, J.B.; Zhang, C.Z.; Xin, X.L.; Li, H. The coupling effects of soil organic matter and particle interaction forces on soil aggregate stability. Soil Tillage Res. 2017, 174, 251–260. [Google Scholar] [CrossRef]
- Chen, M.M.; Zhang, S.R.; Liu, L.; Wu, L.P.; Ding, X.D. Combined organic amendments and mineral fertilizer application increase rice yield by improving soil structure, P availability and root growth in saline-alkaline soil. Soil Tillage Res. 2021, 212, 10506. [Google Scholar] [CrossRef]
- Du, J.X.; Liu, K.L.; Huang, J.; Han, T.F.; Zhang, L.; Anthonio, C.K.; Shah, A.; Khan, M.N.; Qaswar, M.; Abbas, M.; et al. Organic carbon distribution and soil aggregate stability in response to long-term phosphorus addition in different land-use types. Soil Tillage Res. 2022, 215, 105195. [Google Scholar] [CrossRef]
- Fonte, S.J.; Nesper, M.; Hegglin, D.; Velasquez, J.E.; Ramirez, B.; Rao, I.M.; Bernasconi, S.M.; Bunemann, E.K.; Frossard, E.; Oberson, A. Pasture degradation impacts soil phosphorus storage via changes to aggregate-associated soil organic matter in highly weathered tropical soils. Soil Biol. Biochem. 2014, 68, 150–157. [Google Scholar] [CrossRef]
- Garland, G.; Bunemann, E.K.; Oberson, A.; Frossard, E.; Snapp, S.; Chikowo, R.; Six, J. Phosphorus cycling within soil aggregate fractions of a highly weathered tropical soil: A conceptual model. Soil Biol. Biochem. 2018, 116, 91–98. [Google Scholar] [CrossRef]
- Ning, Q.; Chen, L.; Jia, Z.; Zhang, C.; Ma, D.; Li, F.; Zhang, J.; Li, D.; Han, X.; Cai, Z.; et al. Multiple long-term observations reveal a strategy for soil pH-dependent fertilization and fungal communities in support of agricultural production. Agric. Ecosyst. Environ. 2020, 293, 106837. [Google Scholar] [CrossRef]
- Song, D.Q.; Cheng, B.R.; Zeng, Z.S. Agricultural Soil Classification in Northeast of China, Identification of Soil Census and Mapping of Soil Classification; Agriculture Press: Beijing, China, 1959; pp. 206–212. (In Chinese) [Google Scholar]
- Cui, J.W.; Zhang, S.; Wang, X.Y.; Xu, X.P.; Ai, C.; Liang, G.Q.; Zhu, P.; Zhou, W. Enzymatic stoichiometry reveals phosphorus limitation-induced changes in the soil bacterial communities and element cycling: Evidence from a long-term field experiment. Geoderma 2022, 426, 116124. [Google Scholar] [CrossRef]
- Zhang, Q.Q.; Song, Y.F.; Wu, Z.; Yan, X.Y.; Gunina, A.; Kuzyakov, Y.; Xiong, Z.Q. Effects of six-year biochar amendment on soil aggregation, crop growth, and nitrogen and phosphorus use efficiencies in a rice-wheat rotation. J. Clean. Prod. 2020, 242, 118435. [Google Scholar] [CrossRef]
- Tiessen, H.; Moir, J.O. Characterization of available P by sequential extraction. In Soil Sampling and Methods of Analysis; Carter, M., Ed.; Lewis Publishers: Boca Raton, FL, USA, 1993; pp. 75–86. [Google Scholar]
- Murphy, J.; Riley, J.P. A modified single solution method for the determination of phosphate in natural waters. Anal. Chim. Acta 1962, 27, 678–681. [Google Scholar] [CrossRef]
- Liu, J.; Hu, Y.F.; Yang, J.J.; Abdi, D.; Cade-Menun, B.J. Investigation of soil legacy phosphorus transformation in long-term agricultural fields using sequential fractionation, P K-edge XANES and solution P NMR spectroscopy. Environ. Sci. Technol. 2014, 49, 168–176. [Google Scholar] [CrossRef] [PubMed]
- Nelson, D.W.; Sommers, L.E. Total carbon, organic carbon, and organic matter. In Methods of Soil Analysis; ASA and SSSA: Madison, WI, USA, 1982; pp. 534–580. [Google Scholar]
- Mckeague, J.A.; Day, J.H. Dithionite and oxalate Fe and Al as aids in differentiating various classes of soils. Can. J. Soil Sci. 1966, 46, 13–22. [Google Scholar] [CrossRef]
- Mikutta, R.; Kleber, M.; Torn, M.S.; Jahn, R. Stabilization of soil organic matter: Association with minerals or chemical recalcitrance? Biogeochemistry 2006, 77, 25–56. [Google Scholar] [CrossRef]
- Lu, R.K. Analytical Methods for Soil and Agricultural Chemistry; Agricultural Science and Technology Press: Beijing, China, 2000; pp. 24–26. (In Chinese) [Google Scholar]
- R Core Team. R: A Language and Environment for Statistical Computing; R Foundation for Statistical Computing: Vienna, Austria, 2002; Available online: https://www.R-project.org/ (accessed on 1 December 2023).
- Lucas, R.W.; Klaminder, J.; Futter, M.N.; Bishop, K.H.; Egnell, G.; Laudon, H.; Högberg, P. A meta-analysis of the effects of nitrogen additions on base cations: Implications for plants, soils, and streams. For. Ecol. Manag. 2011, 262, 95–104. [Google Scholar] [CrossRef]
- Wu, Z.F.; Sun, X.M.; Sun, Y.Q.; Yan, J.Y.; Zhao, Y.F.; Chen, J. Soil acidification and factors controlling topsoil pH shift of cropland in central China from 2008 to 2018. Geoderma 2022, 408, 115586. [Google Scholar] [CrossRef]
- Curtin, D.; Selles, F.; Steppuhn, H. Estimating calcium-magnesium selectivity in smectitic soils from organic matter and texture. Soil Sci. Soc. Am. J. 1998, 62, 1280–1285. [Google Scholar] [CrossRef]
- Zou, Z.C.; Ma, L.X.; Wang, X.; Chen, R.R.; Jones, D.L.; Bol, R.; Wu, D.; Du, Z.L. Decadal application of mineral fertilizers alters the molecular composition and origins of organic matter in particulate and mineral-associated fractions. Soil Biol. Biochem. 2023, 82, 109042. [Google Scholar] [CrossRef]
- Nichols, K.A.; Halvorson, J.J. Roles of biology, chemistry, and physics in soil macroaggregate formation and stabilization. Open Agric. J. 2013, 7, 107–117. [Google Scholar] [CrossRef]
- Regelink, I.C.; Stoof, C.R.; Rousseva, S.; Weng, L.P.; Lair, G.J.; Kram, P.; Nikolaidis, N.P.; Kercheva, M.; Banwart, S.; Comans, R.N.J. 2015.Linkages between aggregate formation, porosity and soil chemical properties. Geoderma 2015, 247, 24–37. [Google Scholar] [CrossRef]
- Soon, Y.K.; Lupwayi, N. Straw management in a cold semi-arid region: Impact on soil quality and crop productivity. Field Crops Res. 2012, 139, 39–46. [Google Scholar] [CrossRef]
- Huang, R.; Tian, D.; Liu, J.; Lv, S.; He, X.H.; Gao, M. Responses of soil carbon pool and soil aggregates associated organic carbon to straw and straw-derived biochar addition in a dryland cropping mesocosm system. Agric. Ecosyst. Environ. 2018, 256, 576–586. [Google Scholar] [CrossRef]
- Rahman, M.T.; Liu, S.; Guo, Z.C.; Zhang, Z.B.; Peng, X.H. Impacts of residue quality and N input on aggregate turnover using the combined 13C natural abundance and rare earth oxides as tracers. Soil Tillage Res. 2019, 189, 110–122. [Google Scholar] [CrossRef]
- Xie, H.T.; Li, J.W.; Zhang, B.; Wang, L.F.; Wang, J.K.; He, H.B.; Zhang, X.D. Long-term manure amendments reduced soil aggregate stability via redistribution of the glomalin-related soil protein in macroaggregates. Sci. Rep. 2015, 5, 14687. [Google Scholar] [CrossRef]
- Guo, Z.C.; Zhang, Z.B.; Zhou, H.; Rahman, M.T.; Wang, D.Z.; Guo, X.S.; Li, L.J.; Peng, X.H. Long-term animal manure application promoted biological binding agents but not soil aggregation in a Vertisol. Soil Tillage Res. 2018, 180, 232–237. [Google Scholar] [CrossRef]
- National Agro-technical Extension and Service Center (NATESS). China Organic Fertiliser Nutrient Journal; China Agriculture Press: Beijing, China, 1999; pp. 6–9. (In Chinese) [Google Scholar]
- Kaiser, K.; Guggenberger, G. Mineral surfaces and soil organic matter. Eur. J. Soil Sci. 2008, 54, 219–236. [Google Scholar] [CrossRef]
- Kramer, S.B.; Reganold, J.P.; Glover, J.D.; Bohannan, B.J.M.; Mooney, H.A. Reduced nitrate leaching and enhanced denitrifier activity and efficiency in organically fertilized soils. Proc. Natl. Acad. Sci. USA 2006, 103, 4522–4527. [Google Scholar] [CrossRef] [PubMed]
- Liu, J.; Shu, A.; Song, W.; Shi, W.; Li, M.; Zhang, W.; Li, Z.; Liu, G.; Yuan, F.; Zhang, S.; et al. Long-term organic fertilizer substitution increases rice yield by improving soil properties and regulating soil bacteria. Geoderma 2021, 404, 115287. [Google Scholar] [CrossRef]
- Garcia-Gil, J.C.; Ceppi, S.B.; Velasco, M.I.; Polo, A.; Senesi, N. Long-term effects of amendment with municipal solid waste compost on the elemental and acidic functional group composition and pH-buffer capacity of soil humic acids. Geoderma 2004, 121, 135–142. [Google Scholar] [CrossRef]
- Huang, X.L.; Jia, Z.X.; Guo, J.J.; Li, T.L.; Sun, D.S.; Meng, H.S.; Yu, G.H.; He, X.H.; Ran, W.; Zhang, S.S.; et al. Ten-year long-term organic fertilization enhances carbon sequestration and calcium-mediated stabilization of aggregate-associated organic carbon in a reclaimed Cambisol. Geoderma 2019, 355, 113880. [Google Scholar] [CrossRef]
- Zhang, Y.; Sheng, Z.E.; Wang, Y.A.; Su, S.M.; Bai, L.Y.; Wu, C.X.; Zeng, X.B. Long-term manure application enhances the stability of aggregates and aggregate-associated carbon by regulating soil physicochemical characteristics. Catena 2021, 203, 105342. [Google Scholar] [CrossRef]
- Zheng, J.Q.; Berns-Herrboldt, E.C.; Gu, B.H.; Wullschleger, S.D.; Graham, D.E. Quantifying pH buffering capacity in acidic, organic-rich Arctic soils: Measurable proxies and implications for soil carbon degradation. Geoderma 2022, 424, 116003. [Google Scholar] [CrossRef]
- Wu, Q.H.; Zhang, S.X.; Feng, G.; Zhu, P.; Hang, S.M.; Wang, B.R.; Xu, M.G. Determining the optimum range of soil Olsen P for high p use efficiency, crop yield, and soil fertility in three typical cropland soils. Pedosphere 2020, 30, 832–843. [Google Scholar] [CrossRef]
- Yang, X.Y.; Kong, Y.H.; Guo, E.H.; Chen, X.W.; Li, L.M. Organic acid regulation of inorganic phosphorus release from Mollisols with different organic matter contents. Soil Use Manag. 2021, 38, 576–583. [Google Scholar] [CrossRef]
- Hawkins, J.M.B.; Vermeiren, C.; Blackwell, M.S.A.; Darch, T.; Granger, S.J.; Dunham, S.J.; Hernandez-Allica, J.; Smolders, E.; McGrath, S. The effect of soil organic matter on long-term availability of phosphorus in soil: Evaluation in a biological P mining experiment. Geoderma 2022, 423, 11596. [Google Scholar] [CrossRef]
- Cross, A.F.; Schlesinger, W.H. A literature review and evaluation of the Hedley fractionation: Applications to the biogeochemical cycle of soil phosphorus in natural ecosystems. Geoderma 1995, 64, 197–214. [Google Scholar] [CrossRef]
- Spohn, M.; Kuzyakov, Y. Phosphorus mineralization can be driven by microbial need for carbon. Soil Biol. Biochem. 2013, 61, 69–75. [Google Scholar] [CrossRef]
- Adams, J.L.; Tipping, E.; Thacker, S.A.; Quinton, J.N. An investigation of the distribution of phosphorus between free and mineral associated soil organic matter, using density fractionation. Plant Soil 2018, 427, 139–148. [Google Scholar] [CrossRef]
- Zhang, L.; Ding, X.D.; Peng, Y.; George, T.S.; Feng, G. Closing the loop on phosphorus loss from intensive agricultural soil: A microbial immobilization solution? Front. Microbiol. 2018, 9, 104. [Google Scholar] [CrossRef]
- Reusser, J.E.; Piccolo, A.; Vinci, G.; Savarese, C.; Cangemi, S.; Cozzolino, V.; Verel, R.; Frossard, E.; McLaren, T.I. Phosphorus species in sequentially extracted soil organic matter fractions. Geoderma 2023, 429, 116227. [Google Scholar] [CrossRef]
- Spohn, M. Increasing the organic carbon stocks in mineral soils sequesters large amounts of phosphorus. Glob. Chang. Biol. 2020, 26, 4169–4177. [Google Scholar] [CrossRef] [PubMed]
- Yang, X.Y.; Chen, X.W.; Yang, X.T. Effect of organic matter on phosphorus adsorption and desorption in a black soil from Northeast China. Soil Tillage Res. 2019, 187, 85–91. [Google Scholar] [CrossRef]
- Ge, X.F.; Wang, L.J.; Zhang, W.J.; Putnis, C.V. Molecular understanding of humic acid-limited phosphate precipitation and transformation. Environ. Sci. Technol. 2020, 54, 207–215. [Google Scholar] [CrossRef]
- Wang, H.; Zhu, J.; Fu, Q.L.; Hong, C.; Hu, H.Q.; Violante, A. Phosphate adsorption on uncoated and humic acid-coated iron oxides. J. Soils Sediments 2016, 16, 1911–1920. [Google Scholar] [CrossRef]
- Abdala, D.B.; da Silva, I.R.; Vergut, L.; Sparks, D.L. Long-term manure application effects on phosphorus speciation, kinetics and distribution in highly weathered agricultural soils. Chemosphere 2015, 119, 504–514. [Google Scholar] [CrossRef]






| Treatments | Nutrient Inputs of Chemical Fertilizer | Nutrient Inputs of Straw or Manure | ||||
|---|---|---|---|---|---|---|
| N | P | K | N | P | K | |
| CK | 0 | 0 | 0 | 0 | 0 | 0 |
| NK | 165 | 0 | 68 | 0 | 0 | 0 |
| NPK | 165 | 36 | 68 | 0 | 0 | 0 |
| NPKS | 112 | 36 | 68 | 53 | 6 | 58 |
| NPKM | 50 | 36 | 68 | 115 | 39 | 77 |
| Steps | Extraction Agent | Volume (mL) | Condition | P Fractions |
|---|---|---|---|---|
| 1 | Resin | - | Shake 16 h (25 °C) | Resin-Pi |
| 2 | 0.5 M NaHCO3 (pH 8.5) | 30 | Shake 16 h (25 °C) | NaHCO3-Pi NaHCO3-Po = TP-Pi |
| 3 | 0.1 M NaOH | 30 | Shake 16 h (25 °C) | NaOH-Pi NaOH-Po = TP-Pi |
| 4 | 1 M HCl | 30 | Shake 16 h (25 °C) | Dil. HCl-Pi |
| 5 | 11.3 M HCl | 15 | Water bath (80 °C for 10 min), then standing 1 h (vortex every 15 min) | Con. HCl-Pi Con. HCl-Po = TP-Pi |
| 6 | 30% H2O2 + 18 M H2SO4 | - | Digestion at high temperature | Residual-P |
| Treatments | Aggregate Size (mm) | CaHPO4 | Ca(H2PO4)2 | Ca3(PO4)2 | Ca5(PO4)3OH | Ca-P | AlPO4 | FePO4 | IHP | R-Factor |
|---|---|---|---|---|---|---|---|---|---|---|
| CK | 2–1 | 9.99 | 26.19 | 36.18 | 16.76 | 10.77 | 36.29 | 0.058 | ||
| 0.5–0.25 | 21.35 | 16.28 | 37.63 | 29.82 | 15.23 | 17.32 | 0.027 | |||
| <0.053 | 5.83 | 21.94 | 3.03 | 30.8 | 21.00 | 48.19 | 0.027 | |||
| NK | 2–1 | 15.04 | 22.13 | 28.03 | 65.2 | 15.25 | 10.20 | 9.34 | 0.042 | |
| 0.5–0.25 | 6.61 | 19.14 | 25.75 | 28.86 | 5.73 | 39.65 | 0.015 | |||
| <0.053 | 5.11 | 20.66 | 40.64 | 66.41 | 25.20 | 8.40 | 0.038 | |||
| NPK | 2–1 | 13.02 | 19.24 | 20.12 | 37.31 | 23.9 | 3.79 | 19.92 | 0.034 | |
| 0.5–0.25 | 9.48 | 18.52 | 9.48 | 37.48 | 23.37 | 3.31 | 23.70 | 0.015 | ||
| <0.053 | 13.58 | 20.69 | 13.58 | 47.85 | 18.97 | 6.14 | 18.00 | 0.012 | ||
| NPKS | 2–1 | 14.70 | 32.48 | 37.59 | 84.77 | 8.63 | 2.02 | 4.58 | 0.019 | |
| 0.5–0.25 | 16.20 | 28.98 | 30.73 | 75.91 | 10.63 | 3.51 | 9.95 | 0.019 | ||
| <0.053 | 14.99 | 23.48 | 8.99 | 47.46 | 15.68 | 36.86 | 0.016 | |||
| NPKM | 2–1 | 14.18 | 28.18 | 21.56 | 63.92 | 9.51 | 26.57 | 0.0075 | ||
| 0.5–0.25 | 16.65 | 24.69 | 2.58 | 43.92 | 5.45 | 50.62 | 0.0059 | |||
| <0.053 | 13.27 | 7.39 | 22.95 | 21.96 | 65.57 | 15.57 | 18.86 | 0.0072 |
Disclaimer/Publisher’s Note: The statements, opinions and data contained in all publications are solely those of the individual author(s) and contributor(s) and not of MDPI and/or the editor(s). MDPI and/or the editor(s) disclaim responsibility for any injury to people or property resulting from any ideas, methods, instructions or products referred to in the content. |
© 2024 by the authors. Licensee MDPI, Basel, Switzerland. This article is an open access article distributed under the terms and conditions of the Creative Commons Attribution (CC BY) license (https://creativecommons.org/licenses/by/4.0/).
Share and Cite
Zhang, N.; Wang, Q.; Chen, Y.; Zhang, S.; Zhang, X.; Feng, G.; Gao, H.; Peng, C.; Zhu, P. Phosphorus Distribution within Aggregates in Long-Term Fertilized Black Soil: Regulatory Mechanisms of Soil Organic Matter and pH as Key Impact Factors. Agronomy 2024, 14, 936. https://doi.org/10.3390/agronomy14050936
Zhang N, Wang Q, Chen Y, Zhang S, Zhang X, Feng G, Gao H, Peng C, Zhu P. Phosphorus Distribution within Aggregates in Long-Term Fertilized Black Soil: Regulatory Mechanisms of Soil Organic Matter and pH as Key Impact Factors. Agronomy. 2024; 14(5):936. https://doi.org/10.3390/agronomy14050936
Chicago/Turabian StyleZhang, Naiyu, Qiong Wang, Yanhua Chen, Shuxiang Zhang, Xianmei Zhang, Gu Feng, Hongjun Gao, Chang Peng, and Ping Zhu. 2024. "Phosphorus Distribution within Aggregates in Long-Term Fertilized Black Soil: Regulatory Mechanisms of Soil Organic Matter and pH as Key Impact Factors" Agronomy 14, no. 5: 936. https://doi.org/10.3390/agronomy14050936
APA StyleZhang, N., Wang, Q., Chen, Y., Zhang, S., Zhang, X., Feng, G., Gao, H., Peng, C., & Zhu, P. (2024). Phosphorus Distribution within Aggregates in Long-Term Fertilized Black Soil: Regulatory Mechanisms of Soil Organic Matter and pH as Key Impact Factors. Agronomy, 14(5), 936. https://doi.org/10.3390/agronomy14050936

