Abstract
Recovering phosphorus (P) through combustion from waste streams, like wastewater sludge and animal manure, offers a promising solution. This research explores the P release patterns in different ashes derived from secondary raw materials, using a long-term soil incubation lasting 160 days. The study evaluated the P release dynamics in five types of ashes from enhanced biological phosphorus removal (EBPR) systems and pig slurry burned at different temperatures. According to the results, a primary effect was observed on P bioavailability during the initial incubation period. All tested ashes release more than 50% of the total P applied between days 5 and 10. Ashes from EBPR exhibited higher P release than those from pig manure, indicating ash origin as a key factor in P release. Additionally, combustion temperature was crucial, with higher temperatures resulting in increased P release rates. Furthermore, the Pearson correlation revealed a strong relationship between the characteristics of the ashes and the amount of P release. Overall, these findings suggest that ashes could be a valuable P-source for agriculture avoiding the process of wet chemical P extraction, thus reducing both economic and environmental costs.
1. Introduction
Phosphorus (P) is an indispensable macronutrient for optimal plant growth and plays a crucial role in agriculture by serving as a key component in fertilisers. However, the diminishing reserves of P resources have emerged as a pressing global challenge. This depletion can be chiefly attributed to the limited availability of rock phosphate, the primary source used in fertiliser production []. Recognising the severity of this issue, the European Union (EU) has taken decisive steps, categorising phosphate rock and white phosphorus as critical raw materials [] with a substantial supply risk. Recently, the EU introduced a new regulation on the use of fertiliser products with a specific focus on employing secondary sources for fertilisers formulations [,,]. Emphasis is placed on promoting the increased utilisation of recycled materials, a critical component in mitigating the growing amounts of waste. One promising approach to address this challenge involves recovering P from waste streams through the combustion process, which not only reduces waste mass by up to 90% but also eliminates pathogens and toxic organic compounds [,,], producing a lightweight material (ash) suitable for downstream valorisation procedures.
To leverage this approach, there is a potential to utilise wastewater treatment-derived sludge and animal manure as P-rich feedstocks for ash production. Wastewater contains significant levels of P, and among these feedstock options, sludge produced through Enhanced Biological Phosphorus Removal (EBPR) processes stands out as a promising choice for maximising P recovery. In this specific biotechnology, more than 90% of the P present in the wastewater is efficiently transferred to the sludge [,,]. The total P content of EBPR sludge typically ranges from 3–7% (dry weight), which can increase to 8–17% (dry weight) after a combustion process []. On the other hand, animal manure typically contains P levels between 1 and3% (dry weight), resulting in P content in the ashes of around 5–10% [].
Biomass ashes can be used as bio-based fertiliser (BBFs) formulations for crop production or as liming agents to promote microbial activity in soil []. However, recent studies highlight that P bioavailability in ashes can vary widely due to various factors such as the following: the origin, type, and quantity of feedstock; the combustion process; and the properties of the resulting ash []. The temperature and duration of combustion are critical operational parameters that significantly influence the potential release of P from ashes. The literature suggests that the temperature at which the material is incinerated can alter the P mineralogy of the ashes, impacting both P extractability and bioavailability [,,]. For instance, higher incineration temperatures appear to facilitate the transformation of poorly soluble P minerals (such as those bounded to Al or Fe) into more soluble P minerals where P is bound to Ca or Mg, thereby improving P extraction efficiency and bioavailability [,,]. For this reason, the relationship between temperature and pH dynamics within materials is intricate and multifaceted, exerting significant influence on nutrient availability. However, it is reported that P exhibits sensitivity to variations in soil pH levels. In acidic conditions, P tends to be more bound to Al and Fe reducing its bioavailability for uptake by plants. Equally, in alkaline environments, P may be bound to Ca and Mg. Therefore, the pH of the material plays as a critical regulator of P bioavailability, impacting plant growth and overall P dynamics.
While acid wet extraction of P from ashes is an alternative method, it introduces complexity and cost to the process. The opportunity to avoid laborious wet extraction methods presents a compelling aspect of ash-derived P recovery, offering a practical and cost-effective solution. This approach aligns with the urgent need for sustainable agriculture, which not only mitigates environmental impacts but also strengthens resilience to economic and societal challenges such as fluctuating production prices, evolving consumer behaviour, and extreme weather events. To achieve this ambitious goal, ashes are emerging as a strategic and sustainable alternative.
This paper presents a comprehensive approach to addressing the pressing global challenge of diminishing P reserves, a critical issue in sustainable agriculture. By focusing on the recovery of P from waste streams through the combustion process and the subsequent utilisation of P-rich feedstocks such as wastewater treatment-derived sludge, particularly EBPR, and animal manure, the study offers a motivating perspective on mitigating the growing amounts of waste while simultaneously enhancing P availability for agricultural purposes. The research not only investigates the potential of ash-derived P recovery but also emphasises the importance of understanding the factors influencing P bioavailability in ashes, such as the origin, type, and quantity of feedstock, as well as the combustion process and resulting ash properties thus contributing to more sustainable and efficient nutrient management practices in agriculture.
2. Materials and Methods
2.1. Ash Production
This study involved the analysis of five ashes obtained from combusting four different P-rich materials. Among these ashes, three originated from wastewater treatment sludges (both domestic and agro-industrial), utilising an EBPR process, and two ashes were derived from pig manure. The three “EBPR sludges” produced using the EBPR wastewater technology originated from different sources and in different scales and facilities. Ash labelled as “DW550” was produced in lab-scale (5 L) bioreactors using dairy wastewater as feedstock and burnt at 550 °C. “SD850” ash was produced using sludge which is derived from a side-stream full-scale domestic wastewater treatment facility burnt at 850 °C, and “MD550” ash from sludge which was produced in a mainstream full-scale domestic wastewater treatment facility, again burnt at 550 °C. The total P content (expressed as P2O5 after the following conversion: Total P (mg/kg) = P2O5 (mg/kg) × 0.436) of each of these ashes was 34.47; 39.84; and 28.16% (dw), respectively.
Alternatively, pig manure was employed as a complementary feedstock in this study for ash production. The labelled “PM550” (ash derived from the combustion of pig manure at 550 °C) was obtained from an on-farm Spanish experimental pilot plant. The obtention of this ash comprised the following production process. First, the pre-treatment of a solid/liquid separation unit was used to obtain segregated streams from the raw material. The solid fraction was then fed into a biodrying reactor to remove a significant portion of the moisture. This process uses aerobic microbial activity and yields a dry product which could be applied directly as a soil amendment []. Additionally, this solid material can also be used as a biofuel in the biomass boiler after its further drying step and pelletisation. During the combustion process, the solid fraction was burned at a temperature between 550 and 600 °C in a commercial biomass boiler, generating the ash employed in the present study.
However, it is reported that livestock manure contains soluble salts that can have a negative impact on plant growth. Thus, removing it before using the ash as a fertiliser is recommended. One approach to reducing it is performing a water pre-treatment that eliminated water-soluble salts to a high degree and resulted in a P-rich material, as demonstrated in studies such as Oshita et al. []. Consequently, the labelled “PMW550” derives from “PM550” after a pre-treatment with water for 24 h at a liquid:solid ratio of 10 mL·g−1. The P2O5 content of these ashes was 16.25% (dw), in both, respectively for “PM550” and “PMW550”. All ash samples utilised in this study were analysed in terms of total P content using the aqua regia method []. Specifically, 3 g of each ash sample were weighed in triplicate and combined with 30 mL of extraction solution (7 mL HNO3, 69%, 21 mL HCl, 37% concentration), allowing them to stand for 16 h at room temperature. Subsequently, a closed digestion was carried out at 135 °C for two hours. Afterwards, the solution was filtered and filled with 0.5 M HNO3. The determination of the P content was performed via visible spectroscopy utilising the ascorbic acid method []. The metal contents (Cd, Pb, Zn, Cr(VI), Cu, Ni, As) were analysed using Inductively Coupled Plasma Optical Emission Spectrometry (ICP-OES) over ash extraction samples. Table 1 summarises the entire scope of ashes tested in this study, including the combustion temperature to obtain the ashes and the total P content.
Ashes were also characterised using the water-soluble extraction method followed by the recommendations included in the former EU fertiliser regulation (EU 2003/2003) []. For each fertilising product, 0.5 g of sample was dissolved with 50 mL of Milli-Q water in 75 mL PP centrifuge tubes, at 170 rpm on an orbital mechanical shaker at room temperature for 30 min. The resultant suspension was then centrifuged at 2000 rpm for 10 min. After the filtration of 40 mL of a sample using a 0.45 µm nylon syringe filter (Fisher Scientific, Loughborough, UK), the P concentration of the samples was determined using the ascorbic acid method []. The water-soluble P is expressed as a percentage (%) of the total P. All the chemicals’ regents used to characterise the ashes were from Sigma Aldrich (Burlington, MA, USA).

Table 1.
Characterisation of the ashes employed in the incubation study and legal limit for fertilising product formulation according to the EU 2019/1009 [].
Table 1.
Characterisation of the ashes employed in the incubation study and legal limit for fertilising product formulation according to the EU 2019/1009 [].
Ash | Units | DW550 | SD850 | MD550 | PM550 | PMW550 |
---|---|---|---|---|---|---|
Raw material | Dairy wastewater sludge | Side stream domestic wastewater sludge | Mainstream domestic wastewater digested sludge | Pig manure | Pig manure subjected to a 24 h water pre-treatment | |
Type of combustion | Muffle | Muffle | Muffle | Combustion in commercial biomass boiler | Combustion in commercial biomass boiler | |
Temperature | °C | 550 | 850 | 550 | 550–600 | 550–600 |
P2O5 | % (dw) | 34.47 (±1.51) | 39.84 (±2.27) | 28.16 (±1.95) | 16.25 (±0.15) | 16.25 (±0.15) |
2.2. Soil Characteristics
In order to ensure that any changes observed in P availability during the incubation experiment were due to the products properties, a soil with low levels of P was chosen. The sandy soil was collected from the surface layer (0–30 cm) of forest soil (41°56′48.4″ N, 2°24′12.1″ E) in the region of Catalonia in Spain. The soil characteristics are given in Table 2.

Table 2.
Main characteristics of the soil used for the incubation study. The mean and standard deviation of three replicates is presented for each parameter.
Prior to analysis, the soil was air-dried for one month and sieved through a 2 mm mesh. The water holding capacity (WHC) was estimated using a gravimetric method. The soil was saturated and drained over a sand bath for 24 h, then dried in an oven at 105 °C for 48 h []. The actual soil acidity (pH-H2O) was determined by adding 7 g of soil to equilibrate with 35 mL of distilled water (ratio 1:5) and shaking for one hour before measuring with a pH meter []. In addition, the soil potential acidity (pH-KCl) was measured by adding 35 mL of potassium chloride 1 M with 7 g of soil (ratio 1:5) and allowing it to equilibrate for one hour in the shaker before measuring the pH with the same device. Electrical conductivity (EC) was determined after adding the same amount of soil and deionised water to obtain the same ratio []. The extract was centrifugated and filtered before measuring the conductivity. Total organic carbon (TOC) was determined using the Walkley Black method. Finally, thetotal carbon and nitrogen were examined using a CN analyzer (LECO CHN628 []).
Two different extraction methods were employed to determine the water-soluble and potentially soluble P levels in the soil. The first was extracted by adding 5 g of soil and 50 mL of deionised water, while the extractable P was analysed using the calcium acetate lactate method (CAL-P), considering the soil’s pH. A sample of 5 g was extracted with 100 mL of the CAL solution (0.05 M calcium lactate, 0.05 M calcium acetate and 0.3 M acetic acid) and shaken for 2 h []. The resulting mixture was then centrifugated and filtered, and the quantification of the P from soil was determined using visible spectroscopy with the ascorbic acid method []. To analyse the overall content of P, Cu, and Zn in the soil sample, an extraction was conducted with aqua regia, using the same amount of sample and extraction solution as described previously. Cu and Zn were quantified using an atomic absorption spectrometer (VARIAN AA240FS). The total P was measured using the ascorbic acid method as described above. The exchangeable potassium was calculated after shaking 5 g of soil for 5 min with 30 mL of 1 M of ammonium acetate at a pH of 7. This operation was performed three times, and each time the extract was filtered. The final extract was then analysed with an atomic absorption spectrometer (VARIAN AA240FS Mulgrave, Victoria, Australia). The substrate bulk density (BD) was calculated using the mass of dry soil occupying a specific volume. All the employed reagents were analytical grade from Sigma-Aldrich (Burlington, MA, USA).
2.3. Soil Incubation
To stimulate microbial activity, a one-week pre-incubation of the soil was conducted at a constant temperature of 22 °C and under complete darkness. During this pre-incubation phase, the soil’s moisture content was adjusted at 40% of the WHC. This moisture level was chosen to create an environment that would optimise conditions for the subsequent experiments on nutrient dynamics [,]. Afterwords, an aerobic long-term incubation was set to evaluate the P release dynamics of the five types of ashes described above.
After the pre-incubation period, each type of BBF was applied at a rate of 110 kg P2O5/ha or 48 kg TP/ha based on the requirements for ryegrass cultivation and the initial P available on the soil.
We determined the amount of fertiliser needed for each treatment by converting the required quantity from kg/ha to mg/kg for the soil, considering a soil depth of 20 cm. To ascertain the appropriate amount of pre-incubated soil required for each pot, it was considered in the bulk density (as previously described) and the volume of the pots (100 cm3). This calculation yielded the necessary quantity of pre-incubated soil, which in this case was 147 g. Subsequently, we thoroughly mixed this soil with the required amount of fertilizer and gradually compacted during the filling to attain a bulk density of 1348 kg/m3. Additionally, a negative control (without adding any extra P) and a positive mineral control (applying triple superphosphate, “TSP”) were included. The WHC was brought to 50% in all the pots by adding distilled water. To minimise water loss while allowing air exchange, all the PVC pots were covered with a single layer of gas-permeable parafilm with pinholes. To assess changes in phosphorus (P) dynamics, four replicates from each treatment were destructively sampled at regular intervals of 5, 10, 20, 40, 60, 80, 100, 120, 140, and 160 days. In total, 280 PVC pots (containing 7 treatments with 4 replicates and 10-time points) were arranged in a complete randomised design (CRD) and incubated under controlled conditions at 22 °C for the entire duration of 160 days in dark conditions. At weekly intervals, the moisture level in each pot was assessed, and deionised water was added as needed, to ensure the maintenance of a 50% WHC as mentioned above.
On each sampling day, 5 g sub-samples were taken from each replicate of air-dried soil. Soil extractable P was analysed with the CAL-P method and determined as previously described due to soil pH. The extractable P release (Prel,net) from the added products was calculated (Equation (1)). The Prel,net is the difference between the P available measured in the amended soil minus the P available measured in the negative control (i.e., unamended soil):
2.4. Statistical Analysis
All data collected on soil-extractable P were subjected to the normality and homogeneity test before the analysis of variance (ANOVA) using RStudio (V2022.12.0). To identify significant variations within each treatment across different feedstocks (Pig manure and EBPR) and temperatures (550 °C and 850 °C) across multiple incubation days, a two-way ANOVA was employed. To further investigate into differences among all groups, post hocTukey’s tests were conducted. Furthermore, one-way ANOVA was used for each treatment to ascertain potential disparities across the experimental days. A Person correlation analysis was performed to examine the relationship between P release and selected material characteristics of the ashes. All analyses were performed using a significance of p < 0.05.
3. Results
3.1. Ashes Characterisation
The ashes employed in the incubation study were characterised in terms of total P (TP), water-soluble P, and heavy metal content (Table 3) As can be observed, there are significant differences in the percentage of water-soluble P and the Ca content. In general, among the fertilisers assessed, the water-soluble P that was measured followed a dominant trend of MD550 > SD850 > DW550 > PM550. This demonstrates that all EBPR fertilisers have similar solubility trends, despite the differences based on combustion temperature and the specific treatment used. The P contained in the ashes resulting from pig slurry PM550 were practically insoluble and had a low water-soluble p value (<0.1%). Conversely, the Ca:P ratio displays an inverse trend as the higher ratio was observed in pig manure exceeding in this case more than 2, with a new difference that is four times higher when compared with the other tested ashes.

Table 3.
Main characteristics of the 5 types of ashes after the combustion process. Rightmost column indicates the legal limit for each of the parameters.
It is also important to mention that high levels of Cu and Zn were found in all materials. However, it is crucial to contextualise these results within the framework of the new Fertilising Products Regulation (FPR). In this context, Table 3 also presents the legal criteria related to heavy metals, which may help establish the grounds for considering the tested ashes as a potential ingredient in fertilisers formulations. Besides the Product Function category (PFC), the FPR also identifies the so-called Component Material Categories (CMC). All ingredients included in a fertiliser should be covered by a CMC within the FPR. In this specific case, CMC 13 (thermal oxidation materials and the derivates “Ashes”) which was included in the FPR by the delegated act (UE) 2021/2087 [], states the requirements for any ash intended to be included in a fertiliser product. Specifically, the input material shall be oxidised in such a way that the total organic carbon (TOCor) content of the resulting slags and bottom ashes is less than 3% by dry matter and presents no more than 6 mg/kg (dry weight) when adding the content of polycyclic aromatic hydrocarbons, and no more than 20 ng of WHO toxicity equivalents of polychlorinated dibenzo-p-dioxins and dibenzofurans. The obtained ashes must be periodically evaluated for these parameters. If compliance is reached together with the Cl− and Va content, the obtained ashes can be included within CMC 13 within the EU 2019/1009 regulation [].
3.2. P Release Patterns
The temporal pattern of soil-extractable P release over a 160-day soil incubation period across the treatments is shown in Figure 1. The two-way ANOVA analysis revealed significant differences among the treatments. Specifically, the results indicated a statistically significant interaction between feedstock and temperature (F(2, 185) = 42.49, p < 0.001). Moreover, both the main effects of feedstock (F(1, 185) = 48.49, p < 0.001) and temperature (F(1, 185) = 36.97, p < 0.001) on P release were found to be significant.

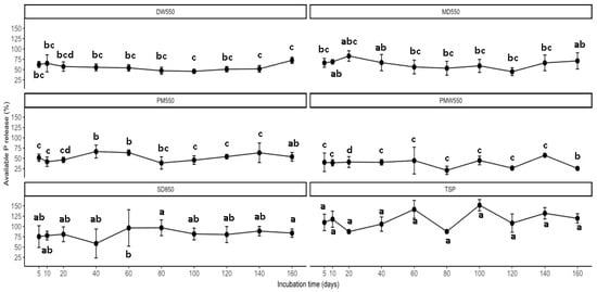
Figure 1.
Available P release (%) considering the total P applied for each treatment throughout the incubation period. Each data point represents the mean and the standard deviation of four replicates. Tukey’s test was performed between treatments on each sampling day (t = 5, 10, 20, 40, 60, 80, 100, 120, 140, 160), where lower case letters (a–d) indicate significant differences among the products (p < 0.05).
Throughout the incubation period, important variations in the P release patterns among the treatments were observed. Specifically, at the end of the incubation period, the P release expressed in the percentage of the total P applied (mean value ± standard deviation) was the following: 120 ± 12 for TSP, 84 ± 28 for SD850, 71± 20 for MD550, 73 ± 7.5 for DW550, 50 ± 10 for PM550 and 25.5 ± 3.7 PMW550 (Figure 1). Generally, a primary effect was observed on soil-extractable P during the initial incubation period. In fact, the rate of P release was very high for the first few days and then it continued more slowly until an apparent equilibrium was approached. All tested ashes released more than 50% of the total P applied between days 5 and 10, except for PMW500 which had a 40% release. For the complete raw data, the mean P release of the four replicates for each treatment and date during the soil incubation can be found in Supplementary Material (Table S1).
Additionally, the absence of significant differences in P release among the days within the same treatment, except for the DW550 suggests that the ashes reached an equilibrium state shortly after the initial release.
However, there were differences between the treatments. Notably, all EBPR ashes exhibited significantly higher P bioavailability than pig manure ashes. The statistical analyses revealed three main groups regarding P dynamics: TSP and SD850, DW550 and MD550, and PM550 and PMW550, indicating that only SD850 displayed the same release pattern as the mineral fertiliser TSP. On the other hand, DW550 and MD550 had a lower release than the mineral reference. In fact, MD550 followed almost a constant trend during the whole incubation period except for the last day when the P release increased. In contrast, the MD550 showed an average of 65% release at the beginning of the incubation (from day 5 to 40), decreasing to 50% on day 60. Nonetheless, while they may not perform as well as TSP, both cases showed an average capacity to release over 50% of the total P applied.
Regarding the pig manure ashes, they exhibited the lowest soil-extractable P. Thus, PM550 displayed a similar pattern as MD550, with an incremental release at the beginning, reaching the highest value at day 40, followed by a subsequent decrease and maintaining stability until the end of the incubation. In contrast, the release dynamics of PMW550 exhibited a greater oscillation. Given the same initial P in both treatments, we could expect a similar pattern as PM550; however, the pre-treatment with water employed at the PMW550 produced interesting fluctuations in the P dynamics. Notably, the P release-maintained stability up to day 40 and, after this, it showed continuous oscillations until the end of the incubation period.
3.3. Pearson Correlation
The correlation between the P release of each of the ashes was analysed through means of the Pearson’s correlation. Table 4 shows the correlation coefficients (r2) for the material’s characteristics and the P released during the incubation experiment.

Table 4.
Pearson’s correlation coefficients (r2) relating each of the ashe’s characteristics with the final P released obtained during the incubation experiment.
In our study, a significant positive correlation was observed between P2O5 content and water-soluble P (r = 0.8768, p < 0.05), indicating that higher P levels in the ashes corresponded to increased release during incubation. Additionally, a notable negative correlation was identified between the P release and the contents of Ca, Ni, Cu, and Zn (−0.8457; −0.6416, −0.8821, −0.6326, respectively).
4. Discussion
4.1. Influence of Ash Characterisation on P Release
The absence of statistically significant differences within the same treatment during the incubation period could be explained using the extraction method used to measure the available P. Schüller [] reported that the CAL method selectively extracts readily soluble and exchangeable phosphates, along with easily dissolved calcium phosphates from fertilisers, neglecting the P contribution of apatite phosphates. Apatite phosphate minerals, characterised by the chemical formula Ca5(PO4)3(OH,F,Cl), exhibit ions that confer characteristic hardness and stability. Additionally, Wang et al. [] reported that higher temperatures stimulated the formation of Ca3(PO4)2 during sewage sludge incineration; hydroxyapatite (Ca5(PO4)3(OH)) and calcium pyrophosphate (Ca2P2O7) were also detected.
An increasingly popular approach for predicting the potential P fertiliser value of these new fertilizer products involves applying standard fertiliser extraction and comparing the P solubility values with the availability of P from ashes to plants. For instance, the P extracted with water is typically associated with the “immediately” available P fraction and can be associated with the amount of P readily available for plants. In our results, the Pearson correlation demonstrated a high association between P release and water-soluble P (see Table 4). These results align with the results reported by Bodgan et al. [] who highlighted that the soluble-water P extraction method aligned with the available P fraction in recycled P fertilisers during the initial four months of plant growth. In contrast, Duboc et al. [] examined four extraction methods across 70 fertilizers and concluded that H20 extraction was not an appropriate predictor of P availability and shoot biomass due to the lowest regression values. Nonetheless, the authors highlight that it may remain an interesting method to characterise P fertiliser solubility after its application to the soil. In our study, all EBPR consistently demonstrated the highest values of water-soluble P, aligning with the observations made during the incubation period and supporting the utility of water-soluble p values as a possible good indicator of P dynamics in recycled fertilisers. In contrast, the ashes derived from pig slurry had a very low water extractability (<0.1% total P), a characteristic that may account for the observed pattern of P release. This value is consistent with the range found in other studies, which reports between 0 and 2.5% [,,].
In contrast, the Pearson correlation showed a negative relationship between the between the amount of Ca present in the ash and P release. According to the literature, the low P availability in these materials is related to the formation of more insoluble P species during thermal treatment such as dicalcium phosphate, tricalcium phosphate (whitlockite), and different apatite variations as well as calcium aluminium phosphate []. In our results, pig manure ashes had the highest Ca content compared to EBPR ashes, with a Ca:P ratio of 2, contrasting with lower ratios in EBPR ashes. The lowest P release observed in pig manure ashes during incubation emphasises the potential significance of the Ca:P ratio in determining the P availability from the ashes.
Another interesting result regards the strong negative correlation between Cu, Zn and Ni content and P release. This finding is significant, as pig manure notably contains higher levels of these elements compared to EBPR derived biosolids, as they are found in dietary supplements for pigs.
4.2. Effect of Combustion Temperature on Ash P Release
According to Kasina and Jarosz [] the chemical composition of ashes is influenced by various factors such as type of waste stream, the temperature and duration of the combustion, and the presence of additives. The findings of our study suggest that the temperature is one of the critical factors that can significantly impact the release of P from ashes. Our results showed that “SD850”, which was incinerated at a temperature of 850 °C, had a higher P release rate as compared to the other ashes incinerated at a lower temperature (between 550 and 600 °C) in accordance with Pouliot et al. []. However, there are other studies that suggest on apposite trend. For instance, Luyckx and Van Caneghem [] found that the P content remains nearly constant over a range temperature from 550 to 1100 °C, due to the non-volatilisation of P during incineration, which maintains a uniform P content in the resultant ash. Also, Christel et al. [] suggested that the reduction in P availability already occurs at lower combustion temperatures of approximately 500 to 600 °C. It becomes evident that the P release is conditioned by temperature, and that this release is material dependent. As such, studies over different waste streams such as the one presented here are crucial to understanding the distinct P dynamics. In our study we employed different equipment to perform the combustion. On one hand we used ashes burned in a lab muffle (EBPR ashes) and, on the other, the pig manure ashes were produced in a biomass boiler. Consequently, it is important to mention that the results obtained from the ashes burned in the muffle may not necessarily reflect the actual conditions during a real combustion []. In the muffle furnace, the temperature is kept constant through the entire process, which may not be the case in a real combustion scenario where temperature fluctuations can occur as explained by Zheng et al. [] (i.e., thermal shocks by the addition of fresh material, the production of combustion by-products and fumes or external factors). Therefore, caution must be taken when interpreting these results and applying them to real or close to real conditions.
4.3. Effect of the Raw Material on the P Release
In addition to temperature, another parameter that appears to be important in the P bioavailability is the initial raw material. In our study, it was observed that the ashes obtained from EBPR wastewater had a higher release of P compared to the ashes from pig manure. This could be attributed to the differences in the chemical composition of the raw materials []. As mentioned before, the EBPR sludges have a significant proportion of biogenic P consisting of Poly-P as the intracellular storage compound typical of PAOs. The difference in Poly-P fractions found between EBPR sludges and pig manure could explain why all EBPR ashes exhibited more P release compared to ashes from pig manure. However, very little is known regarding the specification of P in pig manure and therefore is difficult to explain the reasons why they have less P release as compared to EBPR. One possible explanation could be that P is being incorporated into or occluded by the increasingly aromatic structures that are formed [] together with the presence of amorphous calcium phosphates []. This scenario could also apply to pig manure in our investigation. The P might have been enclosed within aromatic structures, potentially rendering it unavailable for release. A study by Huygens and Saveyn [] on the agronomic efficiency of P fertilisers from secondary raw materials found significant differences depending on the feedstock used. Materials from crop residues, poultry litter, and pig manure showed no significant difference from synthetic fertilisers. However, those from sewage sludge exhibited notably lower agronomic efficiency compared to materials from crop residues and poultry litter. Finally, regarding the water pre-treatment, our results using PMW550 did not lead to any improvement in P release compared to the PM550”, contrary to previous reports. Other studies have shown that pre-treatment with water followed by the application of an acid, such as sulphuric acid, can enhance the recovery of P in the form of phosphoric acid by removing salts and other impurities soluble with water. On one hand, a study conducted by Petzet et al. [] reported an increase in P release after pre-treatment with water for poultry litter ash. On the other hand, Oshita et al. [] found that performing this step had no significant effect on P release for rice straw ash. Hence, further research is needed to determine the most effective pre-treatment method for the different types of ashes and to evaluate the economic feasibility of this approach.
4.4. Ashes Potential as Soil P Fertiliser
Our study suggests that regardless of the raw material employed, the fast nutrient release in tested ashes may present with a beneficial characteristic for farmers. Unlike other fertilisers with slower release that might need a pre-seeding application, these ashes are advantageous as it allows tailor nutrient applications to meet the specific requirements of crops at the early stages, thereby enhancing crop management and endorsing sustainable practices []. Although some European Member States have already recognised the value of biomass ash-biobased fertilisers, several regulatory gaps still exist, especially regarding the lack of consolidated EU legislation that could effectively answer to challenges of the EU Thematic Strategy for Soil Protection and of the Fertilisers Regulation. The European Commissions’ Joint Research Centre proposed struvite’s, biochars, and ashes as categories, aligning with the new EU Communication annexes, making them potential components for EU-labelled fertilisers. However, safety considerations are essential, and parameters such as PAHs, toxicity equivalents, and specific metal concentrations must be addressed for compliance with EU Regulation 2019/1009 [].
The conventional method for extracting P from ashes involves a wet extraction process to obtain phosphoric acid. While effective, this method is costly and requires additional steps to remove heavy metals, emphasising the need for more sustainable alternatives.
At the same time, numerous studies have revealed that the direct utilisation of ashes in soil can improve crop yields similarity to mineral fertilisers, eliminating the wet extraction process [,,]. This can be attributed to the higher availability of cations present in ashes compared to biochar made from the same amount of feedstock []. Furthermore, this approach produces a dry material that is easier to transport, store, and handle. Hence, ashes can represent a feasible way for P recovery and its subsequent application in agriculture, as an alternative to the production of phosphoric acid via wet extraction, not only because of the nutrient content but also because ashes enhance the physical, chemical, and biological properties in soils and can be used as a source of readily available plant macro and micronutrients []. Despite all these positive results, some authors report that ashes may also present some negative environmental effects such as air pollution and the release of green-house gases with their production []. Nonetheless, comparing the results of the LCA of P-based fertiliser production from different waste streams, Smol et al. [] reported that better environmental performance was achieved when compared with inorganic fertiliser production and application.
In our study, conducting soil incubations to test the potential phosphorus (P) release provided valuable insights into the patterns of P release from these ashes. However, it is important to acknowledge that these results may not fully represent field conditions. Therefore, it is imperative to emphasise the need for further studies involving plants. Factors such as root exudation, climatic conditions, the influence of the pH of the product, and other relevant variables could potentially alter the patterns observed during incubation. Thus, future investigations should consider these aspects to gain a more comprehensive understanding of P release dynamics. In particular, long-term studies are much needed as stated by Yu et al. [] who revealed that most studies on ash application lasted less than a year, with only a few extending beyond two years.
5. Conclusions
EBPR and manure-derived ash represents a valuable resource as potential fertiliser, with the goal of reducing the dependence on rock-based sources in fertiliser production.
Despite the common use of wet chemical extraction, our findings suggest that direct ash application for agricultural uses could be a more sustainable and cost-effective alternative. During the incubation period, variations in P release patterns were observed among the treatments, with a rapid initial P release. EBPR ashes demonstrated higher P bioavailability compared to pig manure ashes, with SD850 exhibiting a release pattern similar to conventional mineral fertilisers, indicating that the type of raw material used for ash production influenced the P release. The combustion temperature also significantly impacted the P release from ashes, with higher temperatures generally resulting in a greater P release. At the same time, the ashes’ characteristics influenced the observed P release. On one hand, water soluble P was strongly positively correlated with the total P release, while the Ca-P ratio and some heavy metal content (i.e., Cu, Zn) were strongly negatively correlated. As such, these parameters emerge as reliable measures for assessing the relative P fertiliser potential. To fully validate our findings, a comprehensive factorial design should be conducted, simultaneously considering the origin of the raw material, the combustion type, as well as its temperature and duration. These findings underscore the potential of ashes to address challenges related to P scarcity, circular economy, and sustainable agricultural practices.
Supplementary Materials
The following supporting information can be downloaded at: https://www.mdpi.com/article/10.3390/agronomy14050935/s1, Table S1: Mean P release (%) and standard deviation (SD ) of four replicates for each treatment during the soil incubation.
Author Contributions
Designed experiment and prepared original draft: B.S.J. and P.M.B. These authors contributed equally to the manuscript as first authors. Writing—review and editing: N.G.-G. and L.D.-G. Conceptualisation and project administration: R.V., A.R.A., N.F., L.L. and E.M. All authors have read and agreed to the published version of the manuscript. All authors have read and agreed to the published version of the manuscript.
Funding
This study has been carried out in the framework of the FERTIMANURE project which received funding from the European Union’s Horizon2020 research and innovation programme under grant agreement No. 862849 and REFLOW project with funding from the European Union’s Horizon 2020 program under the Marie Skłodowska-Curie grant agreement No. 814258.
Institutional Review Board Statement
Not applicable.
Data Availability Statement
The datasets generated and analyzed during the current study are available from the corresponding author on reasonable request.
Conflicts of Interest
The authors declare that they have no known competing financial interests or personal relationships that could have appeared to influence the work reported in this paper.
Abbreviations
ANOVA | Analysis of variance |
BBFs | Bio-based fertilisers |
BD | Bulk density |
CAL | Calcium acetate lactate |
CMA | Combustion manure ash |
CMC | Component Material Category |
CMAW | Combustion manure ash pretreated with water |
CRD | Complete randomised design |
DPAOs | Denitrifying polyphosphate accumulating organisms |
dw | Dry weight |
EC | Electrical conductivity |
EBPR | Enhanced biological phosphorus removal |
EU | European Union |
FPR | Fertilising Products Regulation |
OM | Organic matter |
P | Phosphorus |
REFLOW | Phosphorus recovery for fertilisers from dairy processing waste |
PFC | Product Function category |
PHA | Polyhydroxyalkanoates |
Poly-P | Polyphosphate |
PAOs | Polyphosphate accumulating organisms |
PVC | Polyvinyl chloride |
FERTIMANURE | Production of high-added value fertilisers from animal MANURE |
TOC | Total organic carbon |
TP | Total phosphorous |
TSP | Triple superphosphate |
VFAs | Volatile fatty acids |
WWTP | Wastewater treatment plants |
WHC | Water holding capacity |
References
- Cordell, D.; Drangert, J.O.; White, S. The story of phosphorus: Global food security and food for thought. Glob. Environ. Chang. 2009, 19, 292–305. [Google Scholar] [CrossRef]
- 2. COM/2017/0490; Communication on the 2017 List of Critical Raw Materials for the EU. European Commission: Geneva, Switzerland, 2017; pp. 1–8.
- Adam, C.; Peplinski, B.; Michaelis, M.; Kley, G.; Simon, F.G. Thermochemical treatment of sewage sludge ashes for phosphorus recovery. Waste Manag. 2017, 29, 1122–1128. [Google Scholar] [CrossRef] [PubMed]
- Atienza-Martínez, M.; Rubio, I.; Fonts, I.; Ceamanos, J.; Gea, G. Effect of torrefaction on the catalytic post-treatment of sewage sludge pyrolysis vapors using γ-Al2O3. Chem. Eng. J. 2017, 308, 264–274. [Google Scholar] [CrossRef]
- Liang, S.; Chen, H.; Zeng, X.; Li, Z.; Yu, W.; Xiao, K.; Hu, J.; Hou, H.; Liu, B.; Tao, S.; et al. A comparison between sulfuric acid and oxalic acid leaching with subsequent purification and precipitation for phosphorus recovery from sewage sludge incineration ash. Water Res. 2019, 159, 242–251. [Google Scholar] [CrossRef] [PubMed]
- Fang, L.; Wang, Q.; Li, J.-S.; Poon, C.S.; Cheeseman, C.R.; Donatello, S.; Tsang, D.C.W. Feasibility of wet-extraction of phosphorus from incinerated sewage sludge ash (ISSA) for phosphate fertilizer production: A critical review. Crit. Rev. Environ. Sci. Technol. 2021, 51, 939–971. [Google Scholar] [CrossRef]
- Kratz, S.; Vogel, C.; Adam, C. Agronomic performance of P recycling fertilizers and methods to predict it: A review. Nutr. Cycl. Agroecosyst. 2019, 115, 1–39. [Google Scholar] [CrossRef]
- Luyckx, L.; Geerts, S.; Van Caneghem, J. Closing the phosphorus cycle: Multi-criteria techno-economic optimization of phosphorus extraction from wastewater treatment sludge ash. Sci. Total Environ. 2020, 713, 135543. [Google Scholar] [CrossRef] [PubMed]
- Oshita, K.; Sun, X.; Kawaguchi, K.; Shiota, K.; Takaoka, M.; Matsukawa, K.; Fujiwara, T. Aqueous leaching of cattle manure incineration ash to produce a phosphate enriched fertilizer. J. Mater. Cycles Waste Manag. 2016, 18, 608–617. [Google Scholar] [CrossRef]
- Schiemenz, K.; Eichler-Löbermann, B. Biomass ashes and their phosphorus fertilizing effect on different crops. Nutr. Cycl. Agroecosyst. 2010, 87, 471–482. [Google Scholar] [CrossRef]
- Luyckx, L.; Van Caneghem, J. Recovery of phosphorus from sewage sludge ash: Influence of incineration temperature on ash mineralogy and related phosphorus and heavy metal extraction. J. Environ. Chem. Eng. 2021, 9, 106471. [Google Scholar] [CrossRef]
- Atienza-Martínez, M.; Gea, G.; Arauzo, J.; Kersten, S.R.A.; Kootstra, A.M.J. Phosphorus recovery from sewage sludge char ash. Biomass Bioenergy 2014, 65, 42–50. [Google Scholar] [CrossRef]
- Smol, M.; Kulczycka, J.; Henclik, A.; Gorazda, K.; Wzorek, Z. The possible use of sewage sludge ash (SSA) in the construction industry as a way towards a circular economy. J. Clean. Prod. 2015, 95, 45–54. [Google Scholar] [CrossRef]
- Xu, H.; Zhang, H.; Shao, L.; He, P. Fraction distributions of phosphorus in sewage sludge and sludge ash. Waste Biomass Valoriz. 2012, 3, 355–361. [Google Scholar] [CrossRef]
- Velis, C.A.; Longhurst, P.J.; Drew, G.H.; Smith, R.; Pollard, S.J.T. Biodrying for mechanical–biological treatment of wastes: A review of process science and engineering. Bioresour. Technol. 2009, 100, 2747–2761. [Google Scholar] [CrossRef] [PubMed]
- ISO 11466:1995; Soil Quality—Extraction of Trace Elements Soluble in Aqua Regia. ISO: Geneva, Switzerland, 1995.
- APHA (2017); Standard Methods for the Examination of Water and Wastewater (23rd ed.). American Public Health Association: Washington, DC, USA, 2017; p. 2671.
- Regulation (EC) No 2003/2003; Revision of the Fertilisers Regulation (EC) No 2003/2003. European Union: Geneva, Switzerland, 2015; pp. 1–7.
- Regulation (EU) 2019/1009 OF; Regulation of the European Parliament and of the Council Laying Down Rules on the Making Available on the Market of EU Fertilising Products and Amending Regulations (EC) No 1069/2009 and (EC) No 1107/2009 and repealing Regulation (EC) No 2003/2003. European Union: Geneva, Switzerland, 2019; p. 114.
- Petriglieri, F.; Petersen, J.F.; Peces, M.; Nierychlo, M.; Hansen, K.; Baastrand, C.E.; Nielsen, U.G.; Reitzel, K.; Nielsen, P.H. Quantification of Biologically and Chemically Bound Phosphorus in Activated Sludge from Full-Scale Plants with Biological P-Removal. Environ. Sci. Technol. 2022, 56, 5132–5140. [Google Scholar] [CrossRef] [PubMed]
- ISO 10390:2021; Soil, Treated Biowaste and Sludge—Determination of pH. ISO: Geneva, Switzerland, 2021.
- ISO 11265:1994; Soil Quality—Determination of the Specific Electrical Conductivity. ISO: Geneva, Switzerland, 1994.
- ISO 10694:1995; Soil Quality—Determination of Organic and Total Carbon after Dry Combustion (Elementary Analysis). ISO: Geneva, Switzerland, 1995.
- Ranst, E.; Verloo, M.; Demeyer, A.; Pauwels, J. Manual for the Soil Chemistry and Fertility Laboratory-Analytical Methods for Soils and Plants, Equipment, and Management of Consumables, 1st ed.; Ghent University: Ghent, Belgium, 1999. [Google Scholar]
- Schroeder, J.; Kammann, L.; Helfrich, M.; Tebbe, C.C.; Poeplau, C. Impact of common sample pre-treatments on key soil microbial properties. Soil Biol. Biochem. 2021, 160, 108321. [Google Scholar] [CrossRef]
- European Parliament (EC). Purpose of Adding Thermal Oxidation Materials and Derivates as a Component Material Category in EU Fertilising Products (Text with EEA Relevance); European Parliament (EC): Geneva, Switzerland, 2021. [Google Scholar] [CrossRef]
- Schüller, H. Die CAL-Methode, eine neue Methode zur Bestimmung des pflanzenverfügbaren Phosphates in Böden. J. Plant Nutr. Soil Sci. 1969, 123, 48–63. [Google Scholar] [CrossRef]
- Bogdan, A.; Robles-Aguilar, A.A.; Liang, Q.; Pap, S.; Michels, E.; Meers, E. Substrate-Driven Phosphorus Bioavailability Dynamics of Novel Inorganic and Organic Fertilizing Products Recovered from Municipal Wastewater—Tests with Ryegrass. Agronomy 2022, 12, 292. [Google Scholar] [CrossRef]
- Duboc, O.; Hernandez-Mora, A.; Wenzel, W.W.; Santner, J. Improving the prediction of fertilizer phosphorus availability to plants with simple, but non-standardized extraction techniques. Sci. Total Environ. 2021, 806, 150486. [Google Scholar] [CrossRef]
- Christel, W.; Bruun, S.; Magid, J.; Stoumann Jensen, L. Phosphorus availability from the solid fraction of pig slurry is altered by composting or thermal treatment. Bioresour. Technol. 2014, 169, 543–551. [Google Scholar] [CrossRef]
- Huang, Y.; Dong, H.; Shang, B.; Xin, H.; Zhu, Z. Characterization of animal manure and cornstalk ashes as affected by incineration temperature. Appl. Energy 2010, 88, 947–952. [Google Scholar] [CrossRef]
- Kuligowski, K.; Poulsen, T.G.; Stoholm, P.; Pind, N.; Laursen, J. Nutrients and heavy metals distribution in thermally treated pig manure. Waste Manag. Res. 2008, 26, 347–354. [Google Scholar] [CrossRef] [PubMed]
- Brod, E.; Falk Øgaard, A.; Sophie Müller-Stöver, D.; Holton Rubaek, G. Considering inorganic P binding in bio-based products improves prediction of their P fertiliser value. Sci. Total Environ. 2022, 836, 155590. [Google Scholar] [CrossRef]
- Kasina, M.; Jarosz, K. Chemical and Microbiological Techniques for Recovery and/or Removal of Elements from Incinerated Sewage Sludge Ash—A Review of Basic Methods. Energies 2023, 16, 2840. [Google Scholar] [CrossRef]
- Pouliot, R.; Hugron, S.; Rochefort, L.; Godbout, S.; Palacios, J.H.; Groeneveld, E.; Jarry, I. Manure derived biochar can successfully replace phosphate rock amendment in peatland restoration. J. Environ. Manag. 2015, 157, 118–126. [Google Scholar] [CrossRef]
- Pan, J.; Long, X.; Zhang, L.; Shoppert, A.; Valeev, D.; Zhou, C.; Liu, X. The Discrepancy between Coal Ash from Muffle, Circulating Fluidized Bed (CFB), and Pulverized Coal (PC) Furnaces, with a Focus on the Recovery of Iron and Rare Earth Elements. Materials 2022, 15, 8494. [Google Scholar] [CrossRef] [PubMed]
- Zheng, Y.; Cao, L.; Xing, G.; Bai, Z.; Shen, H.; Huang, J.; Zhang, Z. Influence and its mechanism of temperature variation in a muffle furnace during calcination on the adsorption performance of rod-like MgO to Congo red. Front. Mater. Sci. 2018, 12, 304–321. [Google Scholar] [CrossRef]
- Thind, H.S.; Singh, Y.; Sharma, S.; Singh, V.; Sran, H.S.; Singh, B. Phosphorus fertilizing potential of bagasse ash and rice husk ash in wheat–rice system on alkaline loamy sand soil. J. Agric. Sci. 2017, 155, 465–474. [Google Scholar] [CrossRef]
- Tsai, W.-T.; Liu, S.-C.; Chen, H.-R.; Chang, Y.-M.; Tsai, Y.-L. Textural and chemical properties of swine-manure-derived biochar pertinent to its potential use as a soil amendment. Chemosphere 2012, 89, 198–203. [Google Scholar] [CrossRef]
- Uchimiya, M.; Hiradate, S. Pyrolysis Temperature-Dependent Changes in Dissolved Phosphorus Speciation of Plant and Manure Biochars. J. Agric. Food Chem. 2014, 62, 1802–1809. [Google Scholar] [CrossRef]
- Huygens, D.; Saveyn, H. Technical Proposals for By-Products and High Purity Materials as Component Materials for EU Fertilising Products, EUR 31035 EN; Publications Office of the European Union: Luxembourg, 2022; ISBN 978-92-76-50116-9. [Google Scholar] [CrossRef]
- Petzet, S.; Peplinski, B.; Cornel, P. On wet chemical phosphorus recovery from sewage sludge ash by acidic or alkaline leaching and an optimized combination of both. Water Res. 2012, 46, 3769–3780. [Google Scholar] [CrossRef] [PubMed]
- Lawrencia, D.; Wong, S.K.; Low, D.Y.S.; Goh, B.H.; Goh, J.K.; Ruktanonchai, U.R.; Soottitantawat, A.; Lee, L.H.; Tang, S.Y. Controlled Release Fertilizers: A Review on Coating Materials and Mechanism of Release. Plants 2021, 10, 238. [Google Scholar] [CrossRef] [PubMed]
- Jala, S.; Goyal, D. Fly ash as a soil ameliorant for improving crop production—A review. Bioresour. Technol. 2006, 97, 1136–1147. [Google Scholar] [CrossRef] [PubMed]
- Hale, S.E.; Nurida, N.L.; Mulder, J.; Sørmo, E.; Silvani, L.; Abiven, S.; Joseph, S.; Taherymoosavi, S.; Cornelissen, G. The effect of biochar, lime and ash on maize yield in a long-term field trial in a Ultisol in the humid tropics. Sci. Total Environ. 2020, 719, 137455. [Google Scholar] [CrossRef] [PubMed]
- Yu, C.-L.; Deng, Q.; Jian, S.; Li, J.; Kudjo Dzantor, E.; Hui, D. Effects of fly ash application on plant biomass and element accumulations: A meta-analysis. Environ. Pollut. 2019, 250, 137–142. [Google Scholar] [CrossRef]
- Smol, M.; Kulczycka, J.; Lelek, Ł.; Gorazda, K.; Wzorek, Z. Life Cycle Assessment (LCA) of the integrated technology for the phosphorus recovery from sewage sludge ash (SSA) and fertilizers production. Arch. Environ. Prot. 2023, 46, 42–52. [Google Scholar] [CrossRef]
Disclaimer/Publisher’s Note: The statements, opinions and data contained in all publications are solely those of the individual author(s) and contributor(s) and not of MDPI and/or the editor(s). MDPI and/or the editor(s) disclaim responsibility for any injury to people or property resulting from any ideas, methods, instructions or products referred to in the content. |
© 2024 by the authors. Licensee MDPI, Basel, Switzerland. This article is an open access article distributed under the terms and conditions of the Creative Commons Attribution (CC BY) license (https://creativecommons.org/licenses/by/4.0/).