Next Article in Journal
Effects of Straw Returning on Soil Aggregates and Its Organic Carbon and Nitrogen Retention under Different Mechanized Tillage Modes in Typical Hilly Regions of Southwest China
Next Article in Special Issue
Land Degradation Affects Soil Microbial Properties, Organic Matter Composition, and Maize Yield
Previous Article in Journal
Impacts of High-Frequency Chicken Manure Biochar Application on N2O and CH4 Emissions from Vegetable Field in Subtropical China
Previous Article in Special Issue
Beneficial Effects on Winter Wheat Production of the Application of Legume Green Manure during the Fallow Period
 
 
Font Type:
Arial Georgia Verdana
Font Size:
Aa Aa Aa
Line Spacing:
Column Width:
Background:
Article

Inversion Tillage Combined with Organic Fertilizer Application Increased Maize Yield via Improving Soil Pore Structure and Enzymatic Activity in Haplic Chernozem

1
Northeast Institute of Geography and Agroecology, Chinese Academy of Sciences, Harbin 150081, China
2
School of Resources and Environment, Northeast Agricultural University, Harbin 150030, China
3
Heilongjiang Academy of Agricultural Sciences, Harbin 150030, China
*
Authors to whom correspondence should be addressed.
Agronomy 2024, 14(5), 927; https://doi.org/10.3390/agronomy14050927
Submission received: 30 March 2024 / Revised: 24 April 2024 / Accepted: 26 April 2024 / Published: 28 April 2024
(This article belongs to the Special Issue Effects of Arable Farming Measures on Soil Quality)

Abstract

Inversion tillage and organic fertilizer application can break the plow pan and improve soil quality. However, the effects of combining these practices on the soil microbial resource limitation and maize yield in Haplic Chernozem are unclear. In this research, a field experiment was established in 2018, and soil samples were collected in 2021 in Longjiang County in Northeast China, which is a Haplic Chernozem region. Four treatments comprising conventional tillage (T15), conventional tillage with organic fertilizer (T15+M), inversion tillage (T35), and inversion tillage with organic fertilizer (T35+M) were randomly arranged with four replications. Compared with T15 and T15+M treatments, soil bulk density significantly decreased by 11.1–16.3% in the 15–35 cm layer under T35 and T35+M treatments, accompanied by the improvement in soil pore structure (e.g., soil porosity, circularity, and Euler number). T15+M treatment significantly increased soil organic carbon and soil nutrient contents by 11.1–16.3% and 3.9–24.5% in the 0–15 cm layer compared with other treatments. However, soil organic carbon, total nitrogen, available phosphorus content, microbial biomass, and enzymatic activities reached the maximum values in the 0–35 cm layer under T35+M treatment. In addition, T35+M treatment had the highest maize yield and sustainable yield index. Extracellular enzymatic stoichiometry suggested that soil microorganisms are generally co-limited by carbon and phosphorus in Haplic Chernozem. However, T35+M treatment significantly reduced soil microbial resource limitation, which was one important factor impacting maize yield and sustainability. Random-forest and partial least-squares path modeling showed that T35+M treatment could reduce soil microbial resource limitation and increase the stability and sustainability of the maize yield by improving soil available nutrients, microbial biomass, and pore structure. Therefore, the incorporation of inversion tillage and organic fertilizer is a suitable soil management practice in view of increasing soil quality and crop yields in a Haplic Chernozem region.

1. Introduction

In agroecosystems, organic fertilizer is an essential organic carbon source, and inversion tillage has great potential to sequester carbon in arable soil. Effective tillage and fertilization measures can improve soil properties and increase crop yields [1,2]. Inversion tillage can break the plow pan, deepen the cultivated horizon, improve soil pore characteristics, and enhance soil infiltration and moisture retention capacity [3,4,5]. Some studies have shown that inversion tillage can increase the activities of urease and sucrase [6], enhance the growth and metabolic capacity of microorganisms [7] in the soil, and eventually activate soil nutrients and promote crop nutrient absorption by improving crop root growth [5]. Organic fertilizer is an important source of carbon (C), nitrogen (N), phosphorus (P), and microorganisms, providing energy and substrates for the growth of microorganisms. The application of organic fertilizer can increase the microbial biomass C, N, and P contents in the soil [8,9], improve soil fertility and soil structure, and increase the soil water storage and retention capacity, which can improve the photosynthetic capacity and crop yield [9,10,11]. Wang et al. [12] found that the application of organic fertilizer increased grain yield by an average of 18% compared to chemical fertilizer application, which could be explained by the application of organic fertilizer changing the community composition and function of soil microorganisms, thereby affecting the supply of soil nutrients [13,14]. Therefore, understanding the impacts of organic fertilizer application on soil microbial resource limitation will shed some light on how to improve the stability and sustainability of crop yields.
In general, there is a decrease in soil organic carbon content with increasing soil depth [15,16], and the subsoil is characterized by high bulk density and penetration resistance, as well as low soil porosity [17]. Improving the subsoil structure via inversion tillage is not a long-term solution because the soil can be recompacted by rainfall and mechanical travel in crop growth seasons [15]. The application of organic fertilizer can stabilize the soil structure, improve the subsoil status [7], increase soil fertility, and improve soil biological properties [9,13]. Therefore, the incorporation of inversion tillage and organic fertilizer application can enhance soil fertility sustainability and soil structure stability. However, the microbially mediated ecological processes in subsoil exposed to inversion tillage and organic fertilizer application remain poorly understood.
Soil microorganisms play a crucial role in the formation and cycling of soil organic carbon and the release of soil nutrients [18]. Most microbially controlled processes strongly depend on microbial biomass and activity, which are mostly limited by soil nutrient resources, including C, N, and P [19,20]. Therefore, it is important to adopt effective soil management practices to alleviate microbial resource limitations and increase the growth of microorganisms. Microbial resource limitation can be assessed using extracellular enzymatic stoichiometry, including enzymatic ratios, vector variables, and threshold element ratios [21]. The effects of inversion tillage and organic fertilizer application on soil physical properties and available nutrients have been widely studied, but the functional and metabolic responses of microorganisms to these practices remain unknown. Extracellular enzymatic stoichiometry based on enzymatic activities can indicate the rate of which soil microorganisms obtain organic C, N, and P [22], representing the ability of microorganisms to absorb soil nutrients, which can be an important indicator by which to assess the flow of energy in an agroecosystem [20,21]. However, few studies have adopted extracellular enzymatic stoichiometry to identify the effects of inversion tillage and organic fertilizer application on the metabolic characteristics of microorganisms in agroecosystems in a Haplic Chernozem region in Northeastern China.
Haplic Chernozem is an important arable soil in Northeast China. Precipitation, however, directly infiltrates into subsoil due to the high content of sandy gravel in this type of soil [23]. The lack of a water-storing structure in the topsoil leads to insufficient soil moisture and less leaching of carbonates, which leads to a thick caliche that inhibits the growth of microorganisms and the accumulation of soil organic matter [24]. To prevent the degradation of Chernozems, appropriate soil management practices have been recommended, including the application of organic fertilizer and crop straw, as well as inversion tillage [15,25,26]. The conventional tillage method using a 20 cm rototiller blade results in a shallow cultivated horizon of approximately 15 cm. Long-term utilization of rototilling operations can decrease the thickness of the cultivated horizon and increase the thickness of the plow pan, both of which hinder soil permeability and plant root growth [1]. The soil physicochemical properties and microbial community compositions in the topsoil and subsoil in Chernozem are quite different because only the topsoil is disturbed by conventional tillage, which results in significant soil stratification [15]. A 30-year field experiment showed that conventional tillage increased the heterogeneity of soil properties (e.g., soil organic carbon and microbial biomass carbon) in topsoil and subsoil [11]. In a paddy-upland rotation area, conventional tillage increased only soil microbial resource limitation in the 0–15 cm layer in a three-year field experiment [8]. However, in Haplic Chernozem in Northeastern China, the effects of microbial resource limitation on maize yield under the incorporation of tillage and organic fertilizer application is unclear.
In this research, a field experiment was established in a Haplic Chernozem region in Northeast China with the objective of revealing the effects of inversion tillage and organic fertilizer application on the soil properties, soil microbial resource limitation, and maize yield in maize continuous cropping. We hypothesized that the incorporation of inversion tillage and organic fertilizer application could reduce the heterogeneity of the soil properties in the topsoil and subsoil and improve the soil quality in the whole cultivated layer; therefore, the maize crop could be regulated by the soil pore structure and soil enzymatic activities.

2. Materials and Methods

2.1. Study Description and Experimental Layout

A field experiment was conducted on Haplic Chernozem soil (FAO-UNESCO, 1974) from 2018 to 2021 in Longjiang County, Heilongjiang Province, Northeast China (47°22′13″ N, 123°15′04″ E). The experimental region has a semi-arid temperate continental monsoon climate, characterized by hot summers and cold winters, with mean annual temperature and precipitation of 4.6 °C and 400 mm, respectively. The region experiences most precipitation between July and September, and the frost-free period lasts 145 d. The soil pH, organic carbon, total nitrogen, available nitrogen, available phosphorus, and available potassium before the experiment were 7.87, 22.59 g kg−1, 2.32 g kg−1, 135 mg kg−1, 16.1 mg kg−1, and 127 mg kg−1, respectively.
The experiment, which was conducted on a system of continuous maize cropping, involved four different treatments: conventional tillage (T15, tillage depth to 15 cm with no organic fertilizer), conventional tillage with organic fertilizer (T15+M, tillage depth to 15 cm with organic fertilizer), inversion tillage (T35, tillage depth to 35 cm with no organic fertilizer), and inversion tillage with organic fertilizer (T35+M, tillage depth to 35 cm with organic fertilizer), randomly arranged with four replicates. Each treatment plot was 39 m2. A rotary tiller (Lewo M-2004) was used for soil mobilization tillage. Trenches were dug each year after harvest from 2018 to 2020 to a depth of 15 or 35 cm, and organic fertilizer was evenly mixed with soil and used to fill in the soil profile. The maize variety was Dermea No. 3. Chemical fertilizers were applied to all treatments. The rates of urea, diammonium phosphate, and potassium sulfate application were 150 kg N hm−2, 70 kg P2O5 hm−2, and 50 kg K2O hm−2. The application rate of organic fertilizer (pig manure) in T15+M and T35+M was 30,000 kg ha−1. The organic carbon and total nitrogen contents of the organic fertilizer were 244 g kg−1 and 15.7 g kg−1, respectively. An amount of 60% of the nitrogen, total phosphorus, and potassium fertilizers were applied at sowing. An amount of 40% of the nitrogen fertilizers were applied as a topdressing.

2.2. Soil Sampling

After three years of consecutive maize field experimentation, soil samples were collected after harvest in autumn 2021. Four samples were randomly collected from the 0–15 cm and 15–35 cm layers for each treatment. Soil total nitrogen (TN) was determined using the Kjeldahl digestion–distillation method. Hydrochloric acid was used to remove carbonates from the soil, after which the soil’s total organic carbon (SOC) content was analyzed using a VarioEL CHN elemental analyzer (Heraeus Elementar Vario EL, Hanau, Germany). Soil total phosphorus (TP), total potassium (TK), available nitrogen (AVN), available phosphorus (AVP), and available potassium (AVK) were determined using the methods proposed by Chen and Zhang et al. [15,21].
The soil microbial biomass carbon (MBC), microbial biomass nitrogen (MBN), and microbial biomass phosphorus (MBP) were measured using chloroform fumigation extraction [21]. The soil-dissolved organic carbon (DOC) and nitrogen (DON) were determined using a total carbon analyzer (enviro, TOC, Langenselbold, Germany). Soil extracellular enzymatic activities were measured within two weeks after soil sampling. The activities of four extracellular enzymes were determined using fluorometric and oxidative enzymatic assays [21]: one C-acquiring enzyme (β-1,4-glucosidase, BG), two N-acquiring enzymes (β-1,4-N-acetylglucosaminidase, NAG; leucine aminopeptidase, LAP), and one P-acquiring enzyme (alkaline phosphatase, AP). The soil extracellular enzymatic activities are expressed as nmol g−1 dry soil h−1.
Three sampling sites were randomly selected in each plot, and cores of undisturbed soil were collected using modified PVC pipes from the 0–15 cm and 15–35 cm layers. Soil samples were scanned using a nanoVoxel-4000 micro-CT (Sanying Precision Instruments Co., Ltd., Tianjin, China). The fractal dimension (FRD) and anisotropy (ANT) were calculated using the 3D object counter plugin in Image J (National Institutes of Health) (https://imagej.net/nih-image/). The Euler number (ELER) was calculated using a particle analyzer. The circularity (CIL), number (NUMP), and porosity (POIT) of soil pores were calculated using the 3D object counter plugin in Image J as follows:
C = 4ΠA/L2
where C is pore circularity, ranging between 0 and 1; A is pore area (mm2), and L is pore circumference (mm).
P = (V1/V2) × 100
where P is porosity (%), V1 is pore volume (mm3), and V2 is the volume of the soil sample (mm3).
Pores with diameters > 1000 μm are categorized as macro-pores [27]. We only used the porosity of macro-pores.

2.3. Extracellular Enzymatic Stoichiometry

Four methods were used to assess microbial resource limitation, as described previously [19,20,21]. In the first method, microbial resource limitation was judged based on the scatter plot between the (LAP + NAG)/AP and BG/(LAP + NAG) activity ratios, with the four parts of the plot representing N limitation, P limitation, C and N limitation, and C and P limitation. In the second method, microbial resource limitation was assessed based on the ratios of enzymatic activity, specifically BG/(LAP + NAG) and BG/AP. In the third method, a vector analysis of extracellular enzymatic stoichiometry was used to assess microbial resource limitation. Vector length and vector angle (°) were calculated and described as per Luo and Zhang et al. [20,21]. The fourth method used differences between the threshold element ratio (TER) for C:N (TERC:N) and the DOC:AVN ratio (RC:N) and between the TER for C:P (TERC:P) and the DOC:AVP ratio (RC:P). TERC:N and TERC:P were calculated as per Zhang et al. [21].

2.4. Maize Yield

Maize was harvested in the fall of 2021, and four subplots (10 m2) were randomly selected from each treatment, from which the maize was manually harvested to estimate the yield. Grain yield sustainability and stability in a continuous maize cropping system were assessed using the sustainable yield index (SYI) and coefficient of variance (CV), respectively. The SYI and CV values were calculated as previously described [28].
SYI = (Ῡ − σ)/Ymax
CV(%) = (σ/Ῡ) × 100
where Ῡ is the average crop yield (t ha−1) across seasons, Ymax is the maximum crop yield in all seasons, and σ represents the standard deviation of the average yield (t ha−1).

2.5. Statistical Analysis

The data on soil properties were statistically analyzed via one-way ANOVA. The differences between treatments were evaluated for their significance using the least significant difference test at the 95% confidence level (p < 0.05). The partial least-squares path modeling approach within the R software environment (version 4.2.3) and a random-forest analysis in R v. 4.2.4 were used to determine the importance of factors limiting maize yield. SPSS 2020 and Origin 2021 software were used for other statistical analyses and mapping. The relationship between soil properties and different treatments was visualized using a heat map analysis via Origin 2021 software.

3. Results

3.1. Soil Physical Properties

Soil physical properties were significantly affected by the incorporation of inversion tillage and organic fertilizer application (Table 1). Soil water content in the 0–15 cm layer was significantly higher under T35+M treatment by 2.3% and 2.2% compared to those under T15 and T35 treatments, respectively (p < 0.05). Soil bulk density in the 0–35 cm layer was significantly lower under T35+M treatment by 7.1%, 4.1%, and 6.4% compared to those under T15, T15+M, and T35 treatments. Soil porosities in the 15–35 cm and 0–35 cm layers were significantly higher under T35+M treatment by 23.2% and 10.9% than those under T15 treatment (p < 0.05). Anisotropy in the 0–15 cm layer was significantly lower under T15+M and T35+M treatments by 8.0–15.4% than that under T15 treatment (p < 0.05). The fractal dimensions in the 0–15 cm layer under T15+M treatment and in the 15–35 cm layer under T35 treatment were significantly higher by 5.3% and 4.1% than those under T15 treatment for corresponding soil layers, respectively (p < 0.05). Pore circularity in the 15–35 cm layer was significantly higher by 9.1% under T35+M treatment compared to that under T15 treatment (p < 0.05). The Euler numbers in the 15–35 cm and 0–35 cm layers were significantly lower under T35+M treatment by 12.8% and 8.3% than those under T15 treatment (p < 0.05).

3.2. Soil Chemical Properties

Soil nutrient contents in the 0–15 cm layer were higher than those in the 15–35 cm layer, while soil pH showed an opposite trend (Table 2). Generally, T35+M treatment had the highest SOC and soil nutrient contents. SOC content in the 0–15 cm layer with the highest value was found under T15+M treatment, whereas T35+M treatment in the 15–35 cm layer resulted in the highest value compared to other treatments. Soil TN, TP, TK, AVN, AVP, AVK, DOC, and DON contents followed a similar pattern as SOC content. Soil pH in the 15–35 cm layer had no significant difference between T15 and T15+M treatments. Compared to T15 treatment, SOC content in the 0–15 cm layer was significantly increased by 7.9% under T15+M treatment and significantly increased by 15.1% and 18.3% in the 15–35 cm layer under T35 and T35+M treatments, respectively (Table 2, p < 0.05). Compared to T15 treatment, soil total nutrient contents (TN, TP, and TK) in the 0–15 cm layer were significantly increased by 3.4–5.5% under T15+M treatment, and in the 15–35 cm layer were significantly increased by 5.1–10.8% and 7.9–17.7% under T35 and T35+M treatments, respectively (Table 2, p < 0.05). Compared to T15 treatment, soil available nutrient contents (AVN, AVP, and AVK) were significantly increased by 5.9–14.2% in the 0–15 cm layer under T15+M treatment, and in the 15–35 cm layer were significantly increased by 3.8–18.0% and 9.4–27.3% under T35 and T35+M treatments, respectively (Table 2, p < 0.05). In addition, T15+M treatment significantly increased the DOC and DON contents in the 0–15 cm layer by 24.6% and 34.6% compared to T15 treatment, and T35 and T35+M treatments significantly increased the DOC and DON contents in the 15–35 cm layer by 12.7–20.4% and 27.6–30.3% compared to T15 treatment, respectively (Table 2, p < 0.05).

3.3. Activities of Soil Extracellular Enzymes and Enzymatic Stoichiometry

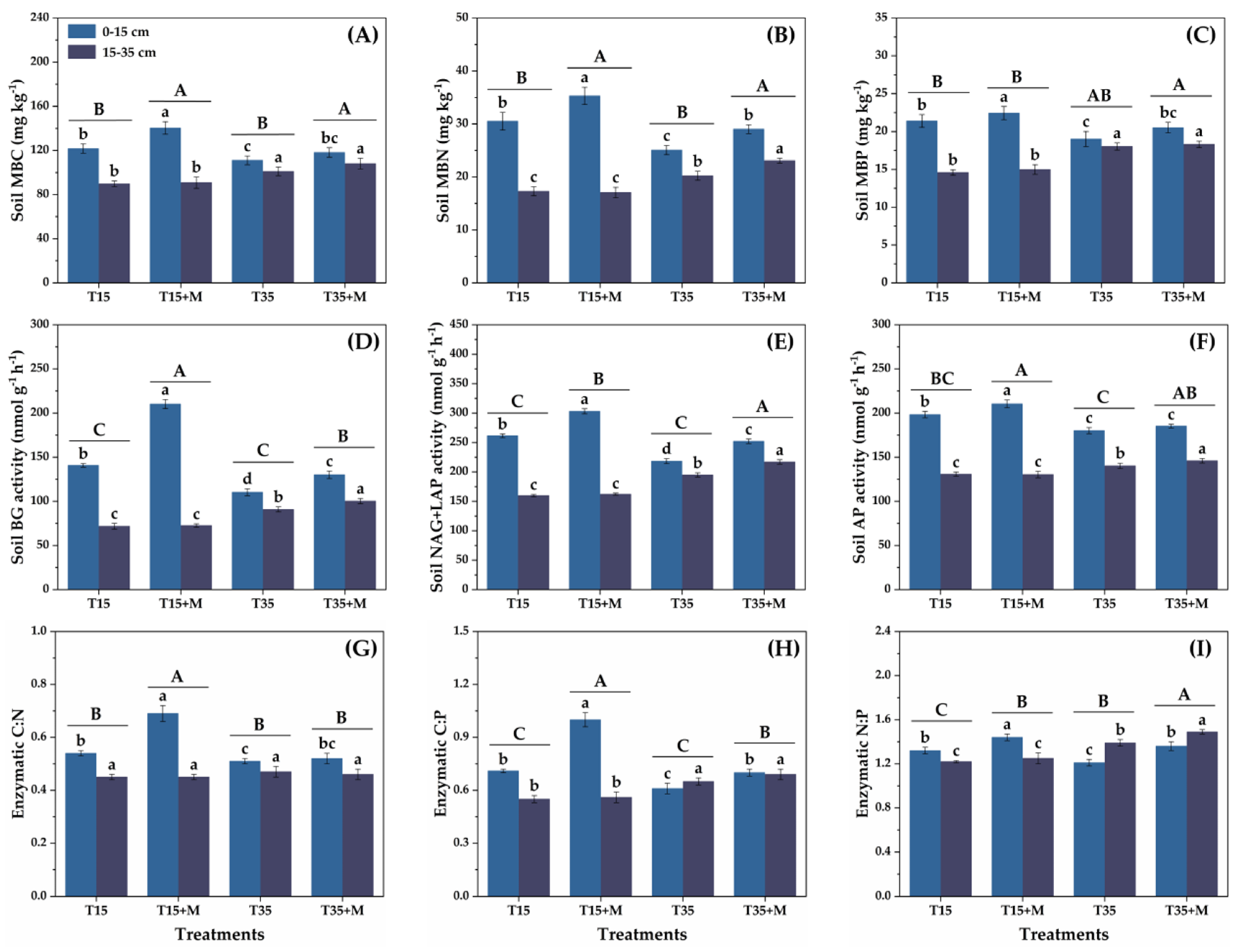
Soil microbial biomass levels in the 0–15 cm layer were significantly higher under T15 and T15+M treatments than under T35 treatment, and T35+M treatment had the highest soil microbial biomass in the 15–35 cm layer (p < 0.05, Figure 1A–C). Soil MBC, MBN, and MBP levels in the 0–15 cm layer were significantly higher under T15 and T15+M treatments than those under T35 treatment by 9.6–26.5%, 21.7–40.8%, and 12.6–18.1%, respectively (p < 0.05). Soil MBC, MBN, and MBP levels in the 15–35 cm layer were significantly higher under T35+M treatment than those under T15 and T15+M treatments by 19.1–20.3%, 33.4–35.3%, and 22.2–25.5%, respectively (p < 0.05). Soil BG, NAG+LAP, and AP activities (Figure 1D–F) and enzymatic C:N, C:P, and N:P activity ratios (Figure 1G–I) followed a similar pattern.
The scatter plot of soil extracellular enzymatic stoichiometry mainly shows that the growth of soil microorganisms tended to be co-limited by C and P but not N (Figure 2A). The microbial C and P limitations were also quantified by calculating vector lengths and angles. Vector length was significantly higher under T15+M treatment than those under T15, T35, and T35+M treatments (p < 0.05), and all vector lengths were > 1 (Figure 2B). The vector angle in the 0–15 cm layer under T35 treatment was significantly higher than for other treatments, and the 15–35 cm layer under T15 treatment was significantly higher than for other treatments (p < 0.05), and all vector angles were <45° (Figure 2C). The generalized linear model indicated that vector length was correlated negatively with vector angle (p < 0.05, Figure 2D). Inversion tillage and organic fertilizer application significantly affected RC:N-TERC:N and RC:P-TERC:P, T15 treatment was significantly higher than other treatments (p < 0.05, Figure 2E,F), and RC:N-TERC: N and RC:P-TERC:P were larger than zero for all treatments.

3.4. Maize Yield and Index of Richness in Subsoil

The maize yield and sustainable index were affected by tillage depth and organic fertilizer application (Figure 3). T35+M treatment had the highest maize yield and sustainable yield index and the lowest coefficient of variance. The maize yield was significantly higher under T35+M treatment by 9.6–14.1% compared to other treatments (p < 0.05). The sustainable yield index varied from 0.900 to 0.922, and the highest value was found in T35+M treatment (0.922). The coefficient of variance varied from 0.0381 to 0.0445, and the lowest value was found in T35+M treatment (0.0381).
The richness indexes of soil nutrients in subsoil were affected by the incorporation of inversion tillage and organic fertilizer application (Figure 4A). Compared to T15 treatment, the richness indexes of SOC, TN, TP, TK, AVN, AVP, and AVK under T35 and T35+M treatments increased by 19.0–23.6%, 15.9–20.8%, 10.1–10.3%, 10.0–12.1%, 15.8–21.0%, 34.1–35.6%, and 16.3–17.2%, respectively. The richness indexes for the subsoil with respect to soil microbial biomass, dissolved organic matter, and extracellular enzymatic activities were also higher under T35 and T35+M treatments than those under T15 and T15+M treatments, while T35+M treatment had the highest richness indexes in the subsoil. Richness indexes in the subsoil with respect to soil BG, NAG+LAP, AP, DOC, DON, MBC, MBN, and MBP under T35 treatment increased by 62.3%, 46.0%, 18.0%, 25.3%, 39.0%, 23.6%, 41.8%, and 39.3%, compared to T15 treatment, respectively.

3.5. Relationships between Soil Properties and Maize Yield under the Incorporation of Inversion Tillage and Organic Fertilizer Application

The heat map analysis of the influence of different treatments on soil properties is shown in Figure 5. For soil physical properties, T15+M and T35+M treatments had the most significant improvement effect on physical properties in the 0–35 cm layer, with T15+M treatment increasing the soil water content and fractal dimension and T35+M treatment increasing the soil porosity and circularity. The positive effects of all treatments on soil nutrients, dissolved organic matter, microbial biomass, and extracellular enzymatic activities showed a decreasing trend of T35+M > T15+M > T35 > T15.
The random-forest analysis indicates (Figure 6A,B) that the most important factors affecting maize yield in the 0–15 cm layer are in the order SWC > ANT > BD > AVK > AP > TK > FRD > AVP > BG, and the most important factors affecting maize yield in the 15–35 cm layer are in the order SOC > NAG+LAP > pH > MBP > MBC > MBN > ANT. The relationships between the soil properties, microbial resource limitations (vector length and angle), and maize yield were analyzed using the partial least-squares path modeling approach (in the 0–15 cm layer, GOF = 0.8476; in the 15–35 cm layer, GOF = 0.9168) (Figure 6C,D). In the 0–15 cm layer, BD, ANT, and AVP correlated positively with vector length (R2 = 0.79), AVP correlated positively with vector angle, ANT and AP correlated negatively with vector angle (R2 = 0.78), and vector angle, BD and AP positively correlated with maize yield (R2 = 0.80). In the 15–35 cm layer, MBC and SOC correlated positively with vector length (R2 = 0.80), MBC, MBN, and FRD correlated negatively with vector angle (R2 = 0.85), and vector angle, MBC and FRD correlated positively with maize yield (R2 = 0.80).

4. Discussion

4.1. Effects of Incorporation of Inversion Tillage and Organic Fertilizer Application on Soil Properties

In this study, inversion tillage, which involves organic fertilizer application into the subsoil, significantly enhanced soil physical properties and nutrient contents (Table 1 and Table 2; Figure 5). This could be explained by the fact that the organic fertilizer was decomposed by microorganisms to release nutrients and increase SOC content; therefore, this newly formed topsoil will presumably continue to accelerate the accumulation of SOC [13,29]. The application of organic fertilizer provided enough substrates for the growth of soil microorganisms [30,31], then increased soil microbial biomass in the topsoil and subsoil. The secretion of soil microorganisms also increased SOC and available nutrient contents, which is consistent with the findings of Chen and Yang et al. [15,31]. Previous studies have also suggested that tillage practices improve soil nutrient supply capacity in Chernozem [1,2]. Soil organic matter decomposition was facilitated by the favorable conditions for microbial activity and biochemical reactions, which may have led to the accumulation of SOC and soil nutrients in the 0–15 cm layer under T15+M [18]. However, this could lead to large differences in soil quality between the topsoil and subsoil, which is not favorable for the retention of soil nutrients in the subsoil [1]. Inversion tillage, however, relocates topsoil rich in SOC and soil nutrients to the subsoil, and the translocation can contribute to the effect of SOC and nutrient sequestration [5,6,29].
Other soil properties are also important for understanding SOC and soil nutrient contents in topsoil and subsoil. The incorporation of inversion tillage and organic fertilizer application can improve soil physical properties, such as decreasing the soil bulk density and increasing the soil macro-pore porosity and fractal dimension [3,5], which is important for water and heat transportation in the soil profile. The incorporation of inversion tillage and organic fertilizer application could break the plow pan, change the soil pore distribution, and form a loose and porous soil structure, especially when the organic fertilizer is a porous medium with light bulk density [8]. Organic fertilizer and decomposed or semi-decomposed organic residues improve soil aggregate formation by increasing the contents of cementing substances (e.g., polysaccharides, humus, and protein in organic matter) and further promote the development of the soil micro-structure [16,18,29]. Meanwhile, the improvement of the soil micro-structure promotes the elongation of crop roots to the 15–35 cm layer, and the interpenetration and entanglement of crop roots and the cementation of crop root secretion are also important factors in improving soil macro-pore formation [15]. Bu [3] and Guo et al. [5] also found that inversion tillage and organic fertilizer application can increase the number of macro-pores and enhance soil infiltration and moisture retention capacity, which is consistent with our results.

4.2. Effects of Incorporation of Inversion Tillage and Organic Fertilizer Application on Soil Microbial Resource Limitation

In this study, tillage and organic fertilizer application strongly influenced the activities of C-, N-, and P-acquiring enzymes. Soil extracellular enzymatic activities and microbial biomass were significantly higher under the treatments with organic fertilizer application (Figure 1). There were significant differences in soil microbial biomass in the 0–15 cm and 15–35 cm layers under conventional tillage (Figure 1), but inversion tillage reduced these differences in the 0–35 cm layer (Figure 1 and Figure 5). This could be explained by the fact that inversion tillage gradually led to similar soil physicochemical properties between the 0–15 cm and 15–35 cm layers, which increased soil nutrient availability and improved soil porosity in the 15–35 cm layer. Previous studies have shown that SOC content and soil nutrient availability are reduced as soil depth increases, accompanied by changes in microbial biomass and activity [15]. Zhao [6] and Yang et al. [7] reported that inversion tillage increases soil microbial biomass and improves soil enzymatic activities, which is consistent with our results. The soil pore structure and index of richness in the 15–35 cm layer were improved in this study (Table 1 and Table 2; Figure 4), which suggests that inversion tillage can reduce soil physical restrictions and further homogenize the whole cultivated horizon, further increase soil nutrient availability, and enhance microbial biomass and activity [15]. The soil DOC and DON contents in the 15–35 cm layer were significantly higher under T15+M and T35+M treatments than those under T15 treatment, which could be explained by the fact that organic fertilizer applied in the corresponding layer was decomposed and produced dissolved organic matter (DOM); DOM in the 0–15 cm layer could have leached to the 15–35 cm layer for T15+M treatment [11]. The incorporation of inversion tillage and organic fertilizer application can significantly improve soil nutrient supply and soil physical properties, which improve the microbial demand for available N and P to maintain a stoichiometric balance [21].
However, a change in the activity of only one enzyme cannot fully represent microbial resource limitation, which needs integral evaluation via the relative availabilities of multiple soil nutrients [19,20,21]. Studying microbial resource limitation thus also needs an analysis of extracellular enzymatic stoichiometry. In this study, the growth of soil microorganisms tended to be co-limited by C and P but not N. Microbial resource limitation was not converted to N limitation because the soil was N-saturated in the Chernozem region [21,32]. However, T35+M treatment was lower in RC:N-TERC:N than in other treatments, which means that the incorporation of inversion tillage and organic fertilizer application has weakened the status of N saturation and improved the holding capacity of living and non-living organisms. The variation in the enzymatic C:P activity ratio indicated that the range of microbial P limitation varied. The C:P activity ratio in the 0–35 cm layer was significantly higher under T35+M treatment than under T35 treatment (Figure 1), indicating that organic fertilizer application could substantially reduce microbial P limitation, which is likely due to organic matter improving the soil P availability [21]. Based on the vector angle and the enzymatic C:P activity ratio, organic fertilizer application may increase MBC, and the dissolved organic matter contents were the most important factor impacting microbial P limitation. T35+M treatment had a lower vector length in the 0–35 cm layer than in the T15+M treatment, which could contribute to the fact that inversion tillage led to the homogenization of SOC throughout the whole cultivated horizon, combined with the application of organic fertilizer also increasing the DOC content, thus decreasing the microbial C limitation [15,21,33,34].

4.3. Effects of Soil Properties and Microbial Resource Limitation on Maize Yield

Inversion tillage and organic fertilizer application showed positive effects on maize yields (Figure 3), contributing mainly to the improvements in soil nutrients and physical properties [5,6,29]. In our study, T35+M treatment resulted in a higher maize yield than other treatments, which can be explained by the fact that the 15–35 cm layers under T15 treatment dramatically limited deep root growth and development and thus restricted the utilization of soil nutrients by the crop in subsoil [33,34,35]. A single application of chemical fertilizer could cause problems such as soil acidification and compaction and reduce soil productivity [3,4,7]. However, the incorporation of inversion tillage and organic fertilizer application could alleviate physical restrictions and provide a more stable soil environment for root growth by improving the soil structure of the compacted soil in the cultivated horizon (increasing the fractal dimension and decreasing the Euler number) [5,13]. The robust roots provided adequate nutrients and water, which promoted crop growth [13,30] and produced a high yield [5]. The random-forest and partial least-squares path modeling showed that soil available nutrient contents and microbial biomass in the 0–15 cm and 15–35 cm layers under T35+M treatment reduced the microbial P limitation and increased the maize yield (Figure 6). The activity of the C-acquiring enzyme in the 15–35 cm layer was also higher under T35 treatment than under T15 treatment, which can be explained by the fact that organic fertilizer provides additional substrates and a favorable environment for soil microorganisms [9,13,31], which leads to dynamic changes in soil nutrients and is conducive to the sustainable production of crops [35]. Random-forest and partial least-squares path modeling also showed that soil pore structure parameters (fractal dimension, etc.) in the 15–35 cm layer reduced microbial resource limitation and promoted maize yield (Figure 6), which further confirmed this conclusion.
The coefficient of variation (CV) as an indicator of crop yield stability is used to evaluate the variation degree of a crop yield [28]. A lower CV value indicates higher crop yield stability [36]. The sustainable yield index (SYI) is used to assess the effects of agricultural management practices on crop yield sustainability [28]. An SYI closer to 1 suggests that the crop yield is more stable under a given treatment [28,36]. Compared to other treatments, the CV under T35+M treatment was the lowest (Figure 3), which could be attributed to the fact that the incorporation of inversion tillage and organic fertilizer application could effectively reduce the negative effects of environmental, biological and man-made factors on crop yield and increase crop stability [36]. The SYI under T35+M treatment was greater than those under T15+M and T35 treatments (Figure 3), which indicated that the incorporation of inversion tillage and organic fertilizer application could increase not only the maize yield but also improve crop yield sustainability. The positive aspects of organic fertilizer application on soil nutrient supply and physical and biological properties could be possible reasons for the higher yield and yield sustainability of the crop [28,37].

5. Conclusions

The results of our study confirmed that the incorporation of inversion tillage and organic fertilizer application influenced the soil properties and maize yield. Soil microbial resource limitation was mainly co-limited by carbon and phosphorus in Haplic Chernozem. The incorporation of inversion tillage and organic fertilizer application can provide a more favorable soil environment for maize growth, especially with respect to the subsoil. The application of organic fertilizer combined with inversion tillage improved soil extracellular enzymatic activities related to C, N, and P compared to single organic fertilizer application and single inversion tillage, which reduced the microbial resource phosphorus limitation. The random-forest and partial least-squares path modeling showed that soil bulk density, fractal dimension, available phosphorus content, alkaline phosphatase activity, and microbial biomass carbon and nitrogen are the main impacting factors of microbial resource limitation and maize yield and could increase the stability and sustainability of maize yield. The results demonstrate that the incorporation of inversion tillage and organic fertilizer application is an effective soil management practice that could improve soil quality and maize yield in a Haplic Chernozem region; it can also be used for other arable soils.

Author Contributions

X.H. and W.Z. conceived and designed the experiments. C.L. and X.C. performed the experiments and analyzed the data. X.L., J.Y., B.S., W.W. and X.M. revised the manuscript. All authors have read and agreed to the published version of the manuscript.

Funding

This study was supported by the Strategic Priority Research Program of the Chinese Academy of Sciences (XDA28070100), the National Key R&D Program of China (2022YFD1500100), the Chinese Agriculture Research System (CARS-04), and the Young Scholars Program in Regional Development, Chinese Academy of Sciences (2022-027).

Data Availability Statement

The data presented during this study are available on reasonable request from the corresponding author.

Conflicts of Interest

The authors declare no conflicts of interest.

References

  1. Thiele-Bruhn, S.; Leinweber, P.; Eckhardt, K.-U.; Siem, H.; Blume, H.-P. Chernozem properties of black soils in the Baltic region of Germany as revealed by mass-spectrometric fingerprinting of organic matter. Geoderma 2014, 213, 144–154. [Google Scholar] [CrossRef]
  2. Chendev, Y.G.; Gennadiev, A.N.; Smirnova, M.A.; Lebedeva, M.P.; Plotnikova, O.O.; Zazdravnykh, E.A.; Shapovalov, A.S. Early stages of the evolution of chernozems under forest vegetation (Belgorod oblast). Eurasian Soil Sci. 2022, 55, 387–403. [Google Scholar] [CrossRef]
  3. Chen, X.; Shi, C.; Han, X.; Wang, X.; Guo, Z.; Lu, X.; Zou, W.; Yan, J. Microbial responses of soil fertility to depth of tillage and incorporation of straw in a Haplic Chernozem in Northeast China. China Geogr. Sci. 2023, 33, 693–707. [Google Scholar] [CrossRef]
  4. Chețan, F.; Rusu, T.; Chețan, C.; Șimon, A.; Vălean, A.-M.; Ceclan, A.O.; Bărdaș, M.; Tărău, A. Application of Unconventional Tillage Systems to Maize Cultivation and Measures for Rational Use of Agricultural Lands. Land 2023, 12, 2046. [Google Scholar] [CrossRef]
  5. Zhelezova, A.D.; Semenov, V.M.; Ksenofontova, N.A.; Krasnov, G.S.; Tkhakakhova, A.K.; Nikitin, D.A.; Semenov, M.V. Effects of distinct manure amendments on microbial diversity and activity in Chernozem and Retisol. Appl. Soil Ecol. 2024, 193, 105152. [Google Scholar] [CrossRef]
  6. Huang, N.; Zhao, X.; Guo, X.; Sui, B.; Liu, J.; Wang, H.; Li, J. Tillage Methods Change Nitrogen Distribution and Enzyme Activities in Maize Rhizosphere and Non-Rhizosphere Chernozem in Jilin Province of China. Processes 2023, 11, 3253. [Google Scholar] [CrossRef]
  7. Cui, H.; Luo, Y.; Li, C.; Chang, Y.; Jin, M.; Li, Y.; Wang, Z. Improving Soil Fertility and Wheat Yield by Tillage and Nitrogen Management in Winter Wheat–Summer Maize Cropping System. Agronomy 2023, 13, 740. [Google Scholar] [CrossRef]
  8. Bu, R.; Li, M.; Cheng, W.; Han, S.; Wang, H.; Tang, S.; Lu, C.; Wu, J. Subsoil Tillage and Organic Fertilization Benefit Rice Root Growth and Yield by Ameliorating Soil Compaction and Fertility. J. Soil Sci. Plant Nutr. 2023, 23, 6114–6124. [Google Scholar] [CrossRef]
  9. Yan, Q.; Wu, L.; Dong, F.; Yan, S.; Li, F.; Jia, Y.; Zhang, J.; Zhang, R.; Huang, X. Subsoil tillage enhances wheat productivity, soil organic carbon and available nutrient status in dryland fields. J. Integr. Agric. 2024, 23, 251–266. [Google Scholar] [CrossRef]
  10. Guo, R.; Zhang, N.; Wang, L.; Lin, T.; Zheng, Z.; Cui, J.; Tian, L. Subsoiling depth affects the morphological and physiological traits of roots in film-mulched and drip-irrigated cotton. Soil Tillage Res. 2023, 234, 105826. [Google Scholar] [CrossRef]
  11. Zhao, D.; Liu, Z.; Xu, Y.; Wang, Z.; Li, Z.; Ling, J.; Wu, G.; Wen, Y. Subsoil SOC increased by high C:N ratio straw application with optimized nitrogen supplementation. Soil Use Manag. 2024, 1, e13020. [Google Scholar] [CrossRef]
  12. Yang, Y.H.; Li, M.J.; Wu, J.C.; Pan, X.; Gao, C.; Tang, D.W.S. Impact of Combining Long-Term Subsoiling and Organic Fertilizer on Soil Microbial Biomass Carbon and Nitrogen, Soil Enzyme Activity, and Water Use of Winter Wheat. Front. Plant Sci. 2022, 12, 788651. [Google Scholar] [CrossRef]
  13. He, J.; Shi, Y.; Zhao, J.; Yu, Z. Strip rotary tillage with a two-year subsoiling interval enhances root growth and yield in wheat. Sci. Rep. 2019, 9, 11678. [Google Scholar] [CrossRef]
  14. Cao, M.; Duan, Y.; Li, M.; Tang, C.; Kan, W.; Li, J.; Zhang, H.; Zhong, W.; Wu, L. Manure substitution improves maize yield by promoting soil fertility and mediating the microbial community in lime concretion black soil. J. Integr. Agric. 2024, 23, 698–710. [Google Scholar] [CrossRef]
  15. Li, P.; Kong, D.; Zhang, H.; Xu, L.; Li, C.; Wu, M.; Jiao, J.; Li, D.; Xu, L.; Li, H.; et al. Different regulation of soil structure and resource chemistry under animal- and plant-derived organic fertilizers changed soil bacterial communities. Appl. Soil Ecol. 2021, 165, 104020. [Google Scholar] [CrossRef]
  16. Gao, F.; Li, H.; Mu, X.; Gao, H.; Zhang, Y.; Li, R.; Cao, K.; Ye, L. Effects of Organic Fertilizer Application on Tomato Yield and Quality: A Meta-Analysis. Appl. Sci. 2023, 13, 2184. [Google Scholar] [CrossRef]
  17. Wang, L.; Li, Q.; Coulter, J.A.; Xie, J.; Luo, Z.; Zhang, R.; Deng, X.; Li, L. Winter wheat yield and water use efficiency response to organic fertilization in northern China: A meta-analysis. Agric. Water Manag. 2020, 229, 105934. [Google Scholar] [CrossRef]
  18. Kumari, M.; Sheoran, S.; Prakash, D.; Yadav, D.B.; Yadav, P.K.; Jat, M.K. Long-term application of organic manures and chemical fertilizers improve the organic carbon and microbiological properties of soil under pearl millet-wheat cropping system in North-Western India. Heliyon 2024, 10, e25333. [Google Scholar] [CrossRef]
  19. Liu, C.; Zhou, M.; Zhu, Y.; Ma, X.; Wang, Q.; Xu, L.; Zhao, Y.; Zou, W. Gas Emissions and Environmental Benefits of Wheat Cultivated under Different Fertilization Managements in Mollisols. Atmosphere 2022, 13, 1702. [Google Scholar] [CrossRef]
  20. Kizeková, M.; Kanianska, R.; Jančová, Ľ.; Čunderlík, J.; Dugátová, Z. Carbon and Nitrogen Stocks in Agricultural Soils under Different Natural Conditions and Management in Slovakia. Land 2024, 13, 179. [Google Scholar] [CrossRef]
  21. Sun, Q.; Sun, W.; Zhao, Z.; Jiang, W.; Zhang, P.; Sun, X.; Xue, Q. Soil Compaction and Maize Root Distribution under Subsoiling Tillage in a Wheat–Maize Double Cropping System. Agronomy 2023, 13, 394. [Google Scholar] [CrossRef]
  22. Bastida, F.; Eldridge, D.J.; García, C.; Kenny Png, G.; Bardgett, R.D.; Delgado-Baquerizo, M. Soil microbial diversity-biomass relationships are driven by soil carbon content across global biomes. ISME J. 2021, 15, 2081–2091. [Google Scholar] [CrossRef]
  23. Bolo, P.; Kihara, J.; Mucheru-Muna, M.; Njeru, E.M.; Kinyua, M.; Sommer, R. Application of residue, inorganic fertilizer and lime affect phosphorus solubilizing microorganisms and microbial biomass under different tillage and cropping systems in a Ferralsol. Geoderma 2021, 390, 114962. [Google Scholar] [CrossRef]
  24. Luo, H.Q.; Yu, J.L.; Li, R.X. Microbial biomass C:N:P as a better indicator than soil and ecoenzymatic C:N:P for microbial nutrient limitation and C dynamics in Zoige Plateau peatland soils. Int. Biodeterior. Biodegrad. 2022, 175, 105492. [Google Scholar] [CrossRef]
  25. Zhang, N.; Chen, X.; Han, X.; Lu, X.; Yan, J.; Zou, W.; Yan, L. Responses of Microbial Nutrient Acquisition to Depth of Tillage and Incorporation of Straw in a Chinese Mollisol. Front. Environ. Sci. 2021, 9, 737075. [Google Scholar] [CrossRef]
  26. Ma, Z.; Zhang, X.; Zheng, B.; Yue, S.; Zhang, X.; Zhai, B.; Wang, Z.; Zheng, W.; Li, Z.; Zamanian, K.; et al. Effects of Plastic and Straw Mulching on Soil Microbial P Limitations in maize fields: Dependency on Soil Organic Carbon Demonstrated by Ecoenzymatic Stoichiometry. Geoderma 2021, 388, 114928. [Google Scholar] [CrossRef]
  27. Miranda-Vélez, J.F.; Leuther, F.; Köhne, J.M.; Munkholm, L.J.; Vogeler, I. Effects of freeze-thaw cycles on soil structure under different tillage and plant cover management practices. Soil Tillage Res. 2023, 225, 105540. [Google Scholar] [CrossRef]
  28. Han, X.; Hu, C.; Chen, Y.; Qiao, Y.; Liu, D.; Fan, J.; Li, S.; Zhang, Z. Crop yield stability and sustainability in a rice-wheat cropping system based on 34-year field experiment. Eur. J. Agron. 2020, 113, 125965. [Google Scholar] [CrossRef]
  29. Zhang, W.; Munkholm, L.J.; Liu, X.; An, T.; Xu, Y.; Ge, Z.; Xie, N.; Li, A.; Dong, Y.; Peng, C.; et al. Soil aggregate microstructure and microbial community structure mediate soil organic carbon accumulation: Evidence from one-year field experiment. Geoderma 2023, 430, 116324. [Google Scholar] [CrossRef]
  30. Yang, Y.; Wu, J.; Zhao, S.; Mao, Y.; Zhang, J.; Pan, X.; He, F.; van der Ploeg, M. Impact of long-term sub-soiling tillage on soil porosity and soil physical properties in the soil profile. Land Degrad. Dev. 2021, 32, 2892–2905. [Google Scholar] [CrossRef]
  31. Yang, Y.; Wu, J.; Zhao, S.; Gao, C.; Pan, X.; Tang, D.W.; van der Ploeg, M. Effects of long-term super absorbent polymer and organic manure on soil structure and organic carbon distribution in different soil layers. Soil Tillage Res. 2021, 206, 104781. [Google Scholar] [CrossRef]
  32. Bowles, T.M.; Acosta-Martínez, V.; Calderón, F.; Jackson, L.E. Soil Enzyme Activities, Microbial Communities, and Carbon and Nitrogen Availability in Organic Agroecosystems across an Intensively-Managed Agricultural Landscape. Soil Biol. Biochem. 2014, 68, 252–262. [Google Scholar] [CrossRef]
  33. Chen, H.; Li, D.; Mao, Q.; Xiao, K.; Wang, K. Resource Limitation of Soil Microbes in Karst Ecosystems. Sci. Total Environ. 2019, 650, 241–248. [Google Scholar] [CrossRef] [PubMed]
  34. Li, H.; Zhang, Y.; Yang, S.; Wang, Z.; Feng, X.; Liu, H.; Jiang, Y. Variations in Soil Bacterial Taxonomic Profiles and Putative Functions in Response to Straw Incorporation Combined with N Fertilization during the maize Growing Season. Agric. Ecosyst. Environ. 2019, 283, 106578. [Google Scholar] [CrossRef]
  35. Guaman, V.; Båth, B.; Hagman, J.; Gunnarsson, A.; Persson, P. Short time efects of biological and inter-row subsoiling on yield of potatoes grown on a loamy sand, and on soil penetration resistance, root growth and nitrogen uptake. Eur. J. Agron. 2016, 80, 55–65. [Google Scholar] [CrossRef]
  36. Chen, H.; Deng, A.; Zhang, W.; Li, W.; Qiao, Y.; Yang, T.; Zheng, C.; Cao, C.; Chen, F. Long-term inorganic plus organic fertilization increases yield and yield stability of winter wheat. Crop J. 2018, 6, 589–599. [Google Scholar] [CrossRef]
  37. Macholdt, J.; Piepho, H.; Honermeier, B. Mineral NPK and manure fertilisation affecting the yield stability of winter wheat: Results from a long-term field experiment. Eur. J. Agron. 2019, 102, 14–22. [Google Scholar] [CrossRef]
Figure 1. Responses of soil microbial biomass and the activity of soil extracellular enzymes. Notes: T15, conventional tillage with no organic fertilizer; T15+M, conventional tillage with organic fertilizer; T35, inversion tillage with no organic fertilizer; T35+M, inversion tillage with organic fertilizer; MBC, soil microbial carbon; MBN, soil microbial nitrogen; MBP, soil microbial phosphorus; BG, β-1,4-glucosidase; NAG, β-1,4-N-acetylglucosaminidase; LAP, leucine aminopeptidase; AP, alkaline phosphatase. Responses of MBC, MBN, MBP (AC), BG, NAG+LAP, AP activities (DF) and their activity ratios (GI) to the incorporation of inversion tillage and organic fertilizer application. Different uppercase letters represent significant differences among the four treatments in the 0–35 cm layer, and different lowercase letters represent significant differences among the four treatments in the same soil layer (p < 0.05).
Figure 1. Responses of soil microbial biomass and the activity of soil extracellular enzymes. Notes: T15, conventional tillage with no organic fertilizer; T15+M, conventional tillage with organic fertilizer; T35, inversion tillage with no organic fertilizer; T35+M, inversion tillage with organic fertilizer; MBC, soil microbial carbon; MBN, soil microbial nitrogen; MBP, soil microbial phosphorus; BG, β-1,4-glucosidase; NAG, β-1,4-N-acetylglucosaminidase; LAP, leucine aminopeptidase; AP, alkaline phosphatase. Responses of MBC, MBN, MBP (AC), BG, NAG+LAP, AP activities (DF) and their activity ratios (GI) to the incorporation of inversion tillage and organic fertilizer application. Different uppercase letters represent significant differences among the four treatments in the 0–35 cm layer, and different lowercase letters represent significant differences among the four treatments in the same soil layer (p < 0.05).
Agronomy 14 00927 g001
Figure 2. Responses of soil microbial resource limitation to incorporation of inversion tillage and organic fertilizer application. Notes: T15, conventional tillage with no organic fertilizer; T15+M, conventional tillage with organic fertilizer; T35, inversion tillage with no organic fertilizer; T35+M, inversion tillage with organic fertilizer. Scatter plot of soil extracellular enzymatic stoichiometry showing the general pattern of microbial resource limitation (A) and variation of vector length (B), vector angle (C), vector length correlation fitting with angle (D), RC:N-TERC:N (E), and RC:P-TERC:P (F) among all treatments. Uppercase letters indicate the significance of the difference between different treatments in the 0-35 cm soil layer. Lowercase letters indicate the significance of the difference between different treatments in the same soil layer.
Figure 2. Responses of soil microbial resource limitation to incorporation of inversion tillage and organic fertilizer application. Notes: T15, conventional tillage with no organic fertilizer; T15+M, conventional tillage with organic fertilizer; T35, inversion tillage with no organic fertilizer; T35+M, inversion tillage with organic fertilizer. Scatter plot of soil extracellular enzymatic stoichiometry showing the general pattern of microbial resource limitation (A) and variation of vector length (B), vector angle (C), vector length correlation fitting with angle (D), RC:N-TERC:N (E), and RC:P-TERC:P (F) among all treatments. Uppercase letters indicate the significance of the difference between different treatments in the 0-35 cm soil layer. Lowercase letters indicate the significance of the difference between different treatments in the same soil layer.
Agronomy 14 00927 g002
Figure 3. Responses of maize yield to incorporation of inversion tillage and organic fertilizer application. Notes: T15, conventional tillage with no organic fertilizer; T15+M, conventional tillage with organic fertilizer; T35, inversion tillage with no organic fertilizer; T35+M, inversion tillage with organic fertilizer. Maize yield (A), SYI, sustainable yield index (B), and CV, coefficient of variance (C). Lowercase letters indicate the significance of the difference between different treatments.
Figure 3. Responses of maize yield to incorporation of inversion tillage and organic fertilizer application. Notes: T15, conventional tillage with no organic fertilizer; T15+M, conventional tillage with organic fertilizer; T35, inversion tillage with no organic fertilizer; T35+M, inversion tillage with organic fertilizer. Maize yield (A), SYI, sustainable yield index (B), and CV, coefficient of variance (C). Lowercase letters indicate the significance of the difference between different treatments.
Agronomy 14 00927 g003
Figure 4. Responses of the index of richness in subsoil to the incorporation of inversion tillage and organic fertilizer application. Notes: T15, conventional tillage with no organic fertilizer; T15+M, conventional tillage with organic fertilizer; T35, inversion tillage with no organic fertilizer; T35+M, inversion tillage with organic fertilizer; SOC, soil organic carbon; TN, soil total nitrogen; TP, soil total phosphorus; TK, soil total potassium; AVN, soil available nitrogen; AVP, soil available phosphorus; AVK, soil available potassium; DOC, soil dissolved organic carbon; DON, soil dissolved organic nitrogen; MBC, soil microbial carbon; MBN, soil microbial nitrogen; MBP, soil microbial phosphorus; BG, β-1,4-glucosidase; NAG, β-1,4-N-acetylglucosaminidase; LAP, leucine aminopeptidase; AP, alkaline phosphatase. Soil nutrients (A), dissolved organic matter, microbial biomass, and extracellular enzymatic activities (B).
Figure 4. Responses of the index of richness in subsoil to the incorporation of inversion tillage and organic fertilizer application. Notes: T15, conventional tillage with no organic fertilizer; T15+M, conventional tillage with organic fertilizer; T35, inversion tillage with no organic fertilizer; T35+M, inversion tillage with organic fertilizer; SOC, soil organic carbon; TN, soil total nitrogen; TP, soil total phosphorus; TK, soil total potassium; AVN, soil available nitrogen; AVP, soil available phosphorus; AVK, soil available potassium; DOC, soil dissolved organic carbon; DON, soil dissolved organic nitrogen; MBC, soil microbial carbon; MBN, soil microbial nitrogen; MBP, soil microbial phosphorus; BG, β-1,4-glucosidase; NAG, β-1,4-N-acetylglucosaminidase; LAP, leucine aminopeptidase; AP, alkaline phosphatase. Soil nutrients (A), dissolved organic matter, microbial biomass, and extracellular enzymatic activities (B).
Agronomy 14 00927 g004
Figure 5. Heat map analysis of soil properties in different treatments. Notes: T15, conventional tillage with no organic fertilizer; T15+M, conventional tillage with organic fertilizer; T35, inversion tillage with no organic fertilizer; T35+M, inversion tillage with organic fertilizer; SWC, soil water content; BD, soil bulk density; POIT, soil porosity; ANT, anisotropy; FRD, fractal dimension; CIL, pore circularity; ELER, Euler number; SOC, soil organic carbon; TN, soil total nitrogen; TP, soil total phosphorus; TK, soil total potassium; AVN, soil available nitrogen; AVP, soil available phosphorus; AVK, soil available potassium; DOC, soil dissolved organic carbon; DON, soil dissolved organic nitrogen; MBC, soil microbial carbon; MBN, soil microbial nitrogen; MBP, soil microbial phosphorus; BG, β-1,4-glucosidase; NAG, β-1,4-N-acetylglucosaminidase; LAP, leucine aminopeptidase; AP, alkaline phosphatase. Soil physical properties (A), chemical properties (B) and dissolved organic matter, microbial biomass, and extracellular enzymatic activities (C). The numbers represent the strength of the correlation between different treatments and soil properties.
Figure 5. Heat map analysis of soil properties in different treatments. Notes: T15, conventional tillage with no organic fertilizer; T15+M, conventional tillage with organic fertilizer; T35, inversion tillage with no organic fertilizer; T35+M, inversion tillage with organic fertilizer; SWC, soil water content; BD, soil bulk density; POIT, soil porosity; ANT, anisotropy; FRD, fractal dimension; CIL, pore circularity; ELER, Euler number; SOC, soil organic carbon; TN, soil total nitrogen; TP, soil total phosphorus; TK, soil total potassium; AVN, soil available nitrogen; AVP, soil available phosphorus; AVK, soil available potassium; DOC, soil dissolved organic carbon; DON, soil dissolved organic nitrogen; MBC, soil microbial carbon; MBN, soil microbial nitrogen; MBP, soil microbial phosphorus; BG, β-1,4-glucosidase; NAG, β-1,4-N-acetylglucosaminidase; LAP, leucine aminopeptidase; AP, alkaline phosphatase. Soil physical properties (A), chemical properties (B) and dissolved organic matter, microbial biomass, and extracellular enzymatic activities (C). The numbers represent the strength of the correlation between different treatments and soil properties.
Agronomy 14 00927 g005
Figure 6. Effects of soil properties on maize yield. Random-forest analysis of the importance of the factors affecting maize yield (A,B). **, p < 0.01; *, p < 0.05. The partial least-squares path model (C,D) was used to identify the possible pathways by which attributes controlled the maize yield. SWC, soil water content; BD, soil bulk density; POIT, soil porosity; ANT, anisotropy; FRD, fractal dimension; CIL, pore circularity; ELER, Euler number; SOC, soil organic carbon; TN, soil total nitrogen; TP, soil total phosphorus; TK, soil total potassium; AVN, soil available nitrogen; AVP, soil available phosphorus; AVK, soil available potassium; DOC, soil dissolved organic carbon; DON, soil dissolved organic nitrogen; MBC, soil microbial carbon; MBN, soil microbial nitrogen; MBP, soil microbial phosphorus; BG, β-1,4-glucosidase; NAG, β-1,4-N-acetylglucosaminidase; LAP, leucine aminopeptidase; AP, alkaline phosphatase. The numbers on the arrows indicate significant standardized path coefficients. Red solid and green dashed arrows indicate positive and negative relationships, respectively. R2 indicates the variance of the dependent variable explained by the model. ***, p < 0.001; **, p < 0.01; *, p < 0.05.
Figure 6. Effects of soil properties on maize yield. Random-forest analysis of the importance of the factors affecting maize yield (A,B). **, p < 0.01; *, p < 0.05. The partial least-squares path model (C,D) was used to identify the possible pathways by which attributes controlled the maize yield. SWC, soil water content; BD, soil bulk density; POIT, soil porosity; ANT, anisotropy; FRD, fractal dimension; CIL, pore circularity; ELER, Euler number; SOC, soil organic carbon; TN, soil total nitrogen; TP, soil total phosphorus; TK, soil total potassium; AVN, soil available nitrogen; AVP, soil available phosphorus; AVK, soil available potassium; DOC, soil dissolved organic carbon; DON, soil dissolved organic nitrogen; MBC, soil microbial carbon; MBN, soil microbial nitrogen; MBP, soil microbial phosphorus; BG, β-1,4-glucosidase; NAG, β-1,4-N-acetylglucosaminidase; LAP, leucine aminopeptidase; AP, alkaline phosphatase. The numbers on the arrows indicate significant standardized path coefficients. Red solid and green dashed arrows indicate positive and negative relationships, respectively. R2 indicates the variance of the dependent variable explained by the model. ***, p < 0.001; **, p < 0.01; *, p < 0.05.
Agronomy 14 00927 g006
Table 1. Effects of incorporation of inversion tillage and organic fertilizer application on soil physical properties.
Table 1. Effects of incorporation of inversion tillage and organic fertilizer application on soil physical properties.
TreatmentsLayer
(cm)
Soil Water Content
(%)
Soil Bulk Density
g cm3
PorosityAnisotropyFractal DimensionCircularityEuler Number
T150–1522.01 ± 0.11 c1.15 ± 0.03 c0.57 ± 0.01 bc0.35 ± 0.01 a2.70 ± 0.02 b0.72 ± 0.01 ab12,076 ± 605 b
T15+M23.01 ± 0.12 a1.14 ± 0.03 c0.67 ± 0.01 a0.30 ± 0.01 c2.85 ± 0.07 a0.74 ± 0.01 a10,078 ± 405 c
T3522.03 ± 0.11 c1.30 ± 0.02 a0.55 ± 0.01 c0.36 ± 0.01 a2.55 ± 0.04 c0.70 ± 0.02 b13,557 ± 584 a
T35+M22.52 ± 0.11 b1.23 ± 0.03 b0.58 ± 0.01 b0.32 ± 0.01 b2.67 ± 0.03 b0.72 ± 0.01 ab12,532 ± 382 b
T1515–3518.01 ± 0.10 a1.35 ± 0.02 a0.37 ± 0.01 c0.53 ± 0.02 a2.40 ± 0.03 b0.61 ± 0.01 b24,239 ± 608 a
T15+M17.99 ± 0.21 a1.35 ± 0.05 a0.38 ± 0.01 c0.52 ± 0.02 a2.40 ± 0.03 b0.61 ± 0.02 b24,146 ± 534 a
T3518.06 ± 0.19 a1.20 ± 0.02 b0.42 ± 0.02 b0.75 ± 0.43 a2.50 ± 0.07 a0.65 ± 0.02 a22,201 ± 576 b
T35+M18.01 ± 0.09 a1.13 ± 0.01 b0.46 ± 0.02 a0.48 ± 0.01 a2.44 ± 0.03 ab0.66 ± 0.01 a21,131 ± 409 c
T150–3519.73 ± 0.10 b1.26 ± 0.02 a0.46 ± 0.01 c0.45 ± 0.01 a2.53 ± 0.01 a0.66 ± 0.01 b19,026 ± 450 a
T15+M20.14 ± 0.16 a1.22 ± 0.04 b0.50 ± 0.01 a0.42 ± 0.02 a2.59 ± 0.05 a0.66 ± 0.02 ab18,117 ± 436 b
T3519.76 ± 0.14 b1.25 ± 0.01 ab0.47 ± 0.01 b0.58 ± 0.25 a2.52 ± 0.05 a0.67 ± 0.02 ab18,496 ± 265 ab
T35+M19.94 ± 0.1 ab1.17 ± 0.02 c0.51 ± 0.01 a0.41 ± 0.01 a2.53 ± 0.03 a0.69 ± 0.01 a17,445 ± 131 c
Notes: T15, conventional tillage with no organic fertilizer; T15+M, conventional tillage with organic fertilizer; T35, inversion tillage with no organic fertilizer; T35+M, inversion tillage with organic fertilizer. Different letters indicate significant differences between samples in the same soil layer (p < 0.05). Values are mean ± standard deviation (n = 4).
Table 2. Effects of incorporation of inversion tillage and organic fertilizer application on soil chemical properties.
Table 2. Effects of incorporation of inversion tillage and organic fertilizer application on soil chemical properties.
TreatmentsSoil Layer
(cm)
pHSOC
g kg−1
TN
g kg−1
TP
g kg−1
TK
g kg−1
AVN
mg kg−1
AVP
mg kg−1
AVK
mg kg−1
DOC
mg kg−1
DON
mg kg−1
T150–157.85 ± 0.06 b22.65 ± 0.07 b2.31 ± 0.02 b0.63 ± 0.01 b22.40 ± 0.08 b145 ± 2 b16.00 ± 0.09 b123 ± 2 b80 ± 2 c15.04 ± 0.27 b
T15+M7.65 ± 0.05 c24.44 ± 0.33 a2.40 ± 0.06 a0.66 ± 0.02 a23.62 ± 0.23 a165 ± 4 a17.55 ± 0.15 a130 ± 4 a100 ± 2 a20.25 ± 0.51 a
T357.96 ± 0.03 a21.07 ± 0.16 c2.20 ± 0.02 c0.60 ± 0.02 c21.03 ± 0.78 c135 ± 2 c14.10 ± 0.38 d110 ± 3 c72 ± 2 d13.03 ± 0.29 c
T35+M7.85 ± 0.04 b22.48 ± 0.24 b2.25 ± 0.02 bc0.63 ± 0.01 ab22.01 ± 0.50 b141 ± 3 b15.04 ± 0.26 c115 ± 4 c85 ± 2 b15.01 ± 0.23 b
T1515–358.22 ± 0.04 a15.23 ± 0.05 c1.58 ± 0.03 c0.52 ± 0.03 b18.54 ± 0.17 c107 ± 2 c10.62 ± 0.24 c92 ± 3 b55 ± 1 c10.03 ± 0.23 c
T15+M8.20 ± 0.03 a15.29 ± 0.06 c1.61 ± 0.03 c0.52 ± 0.02 b18.55 ± 0.22 c105 ± 4 c10.66 ± 0.24 c90 ± 3 b55 ± 2 c10.11 ± 0.36 c
T358.10 ± 0.02 b17.53 ± 0.31 b1.75 ± 0.03 b0.55 ± 0.01 ab19.48 ± 0.39 b115 ± 3 b12.53 ± 0.23 b95 ± 4 ab62 ± 2 b12.08 ± 0.19 b
T35+M7.95 ± 0.05 c18.01 ± 0.11 a1.86 ± 0.02 a0.58 ± 0.03 a20.00 ± 0.31 a126 ± 4 a13.52 ± 0.35 a100 ± 5 a70 ± 2 a13.07 ± 0.17 a
T150–358.06 ± 0.01 a18.41 ± 0.05 c1.89 ± 0.02 c0.57 ± 0.02 b20.19 ± 0.12 b123 ± 1 b12.92 ± 0.12 c105 ± 3 a66 ± 1 b12.18 ± 0.23 c
T15+M7.97 ± 0.03 b19.21 ± 0.11 b1.94 ± 0.03 b0.58 ± 0.01 ab20.72 ± 0.16 a131 ± 4 a13.61 ± 0.15 b107 ± 1 a74 ± 2 a14.46 ± 0.40 a
T358.04 ± 0.02 a19.05 ± 0.21 b1.94 ± 0.01 b0.57 ± 0.01 b20.14 ± 0.46 b124 ± 3 b13.20 ± 0.18 c101 ± 2 b67 ± 2 b12.49 ± 0.23 c
T35+M7.91 ± 0.04 c19.92 ± 0.11 a2.02 ± 0.02 a0.60 ± 0.01 a20.86 ± 0.20 a132 ± 1 a14.17 ± 0.26 a107 ± 1 a77 ± 0 a13.90 ± 0.08 b
Notes: T15, conventional tillage with no organic fertilizer; T15+M, conventional tillage with organic fertilizer; T35, inversion tillage with no organic fertilizer; T35+M, inversion tillage with organic fertilizer. Different letters indicate significant differences between samples in the same soil layer (p < 0.05). SOC, soil organic carbon; TN, soil total nitrogen; TP, soil total phosphorus; TK, soil total potassium; AVN, soil available nitrogen; AVP, soil available phosphorus; AVK, soil available potassium; DOC, soil dissolved organic carbon; DON, soil dissolved organic nitrogen. Values are mean ± standard deviation (n = 4).
Disclaimer/Publisher’s Note: The statements, opinions and data contained in all publications are solely those of the individual author(s) and contributor(s) and not of MDPI and/or the editor(s). MDPI and/or the editor(s) disclaim responsibility for any injury to people or property resulting from any ideas, methods, instructions or products referred to in the content.

Share and Cite

MDPI and ACS Style

Liu, C.; Han, X.; Chen, X.; Yan, J.; Lu, X.; Song, B.; Wang, W.; Zou, W.; Ma, X. Inversion Tillage Combined with Organic Fertilizer Application Increased Maize Yield via Improving Soil Pore Structure and Enzymatic Activity in Haplic Chernozem. Agronomy 2024, 14, 927. https://doi.org/10.3390/agronomy14050927

AMA Style

Liu C, Han X, Chen X, Yan J, Lu X, Song B, Wang W, Zou W, Ma X. Inversion Tillage Combined with Organic Fertilizer Application Increased Maize Yield via Improving Soil Pore Structure and Enzymatic Activity in Haplic Chernozem. Agronomy. 2024; 14(5):927. https://doi.org/10.3390/agronomy14050927

Chicago/Turabian Style

Liu, Chunzhu, Xiaozeng Han, Xu Chen, Jun Yan, Xinchun Lu, Bo Song, Wei Wang, Wenxiu Zou, and Xianfa Ma. 2024. "Inversion Tillage Combined with Organic Fertilizer Application Increased Maize Yield via Improving Soil Pore Structure and Enzymatic Activity in Haplic Chernozem" Agronomy 14, no. 5: 927. https://doi.org/10.3390/agronomy14050927

APA Style

Liu, C., Han, X., Chen, X., Yan, J., Lu, X., Song, B., Wang, W., Zou, W., & Ma, X. (2024). Inversion Tillage Combined with Organic Fertilizer Application Increased Maize Yield via Improving Soil Pore Structure and Enzymatic Activity in Haplic Chernozem. Agronomy, 14(5), 927. https://doi.org/10.3390/agronomy14050927

Note that from the first issue of 2016, this journal uses article numbers instead of page numbers. See further details here.

Article Metrics

Back to TopTop