Machine Learning-Powered Forecasting of Climate Conditions in Smart Greenhouse Containing Netted Melons
Abstract
1. Introduction
2. Materials and Methods
2.1. Greenhouse and Measurements
2.2. Dataset Preparation
2.3. Modeling Methods
2.3.1. MLR Model
2.3.2. SVM Model
2.3.3. ANN Model
2.3.4. XGBoost Model
2.4. Model Evaluation
3. Results and Discussion
3.1. Prediction Results of Environmental Parameters
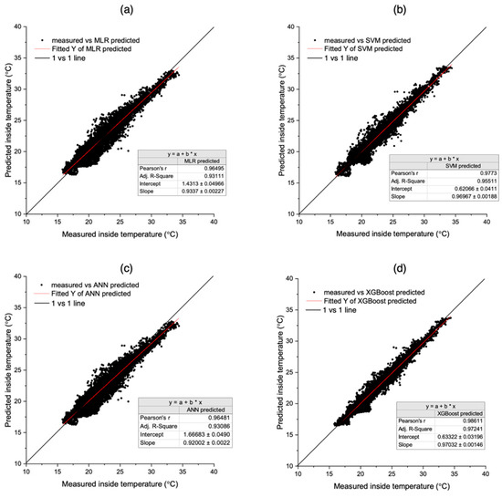
3.1.1. Inside Temperature
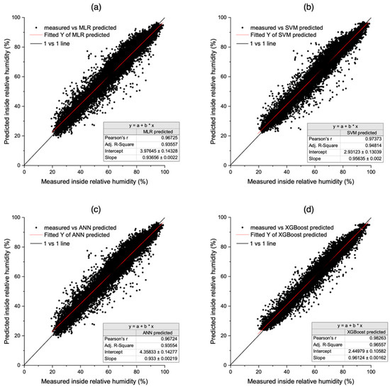
3.1.2. Inside Relative Humidity
3.1.3. Inside CO2 Concentration
3.2. Investigating Parameter Contributions and Model Decisions
3.2.1. Inside Temperature
3.2.2. Inside Relative Humidity
3.2.3. Inside CO2 Concentration
4. Conclusions
Author Contributions
Funding
Data Availability Statement
Conflicts of Interest
References
- Nemali, K. History of Controlled Environment Horticulture: Greenhouses. HortScience 2022, 57, 239–246. [Google Scholar] [CrossRef]
- Ahonen, T.; Virrankoski, R.; Elmusrati, M. Greenhouse Monitoring with Wireless Sensor Network. In Proceedings of the 2008 IEEE/ASME International Conference on Mechtronic and Embedded Systems and Applications, Beijing, China, 12–15 October 2008; pp. 403–408. [Google Scholar]
- Cafuta, D.; Dodig, I.; Cesar, I.; Kramberger, T. Developing a Modern Greenhouse Scientific Research Facility—A Case Study. Sensors 2021, 21, 2575. [Google Scholar] [CrossRef]
- Nouri, N.M.; Abbood, H.M.; Riahi, M.; Alagheband, S.H. A Review of Technological Developments in Modern Farming: Intelligent Greenhouse Systems. AIP Conf. Proc. 2023, 2631, 030012. [Google Scholar] [CrossRef]
- Bennis, N.; Duplaix, J.; Enéa, G.; Haloua, M.; Youlal, H. Greenhouse Climate Modelling and Robust Control. Comput. Electron. Agric. 2008, 61, 96–107. [Google Scholar] [CrossRef]
- Siddiqui, M.F.; Ur Rehman Khan, A.; Kanwal, N.; Mehdi, H.; Noor, A.; Khan, M.A. Automation and Monitoring of Greenhouse. In Proceedings of the 2017 International Conference on Information and Communication Technologies (ICICT), Karachi, Pakistan, 30–31 December 2017; pp. 197–201. [Google Scholar]
- Shamshiri, R.R.; Jones, J.W.; Thorp, K.R.; Ahmad, D.; Man, H.C.; Taheri, S. Review of Optimum Temperature, Humidity, and Vapour Pressure Deficit for Microclimate Evaluation and Control in Greenhouse Cultivation of Tomato: A Review. Int. Agrophys. 2018, 32, 287–302. [Google Scholar] [CrossRef]
- Arora, N.K. Impact of Climate Change on Agriculture Production and Its Sustainable Solutions. Environ. Sustain. 2019, 2, 95–96. [Google Scholar] [CrossRef]
- Pawlowski, A.; Guzman, J.L.; Rodríguez, F.; Berenguel, M.; Sánchez, J.; Dormido, S. Simulation of Greenhouse Climate Monitoring and Control with Wireless Sensor Network and Event-Based Control. Sensors 2009, 9, 232–252. [Google Scholar] [CrossRef]
- Du, J.; Bansal, P.; Huang, B. Simulation Model of a Greenhouse with a Heat-Pipe Heating System. Appl. Energy 2012, 93, 268–276. [Google Scholar] [CrossRef]
- Ma, D.; Carpenter, N.; Maki, H.; Rehman, T.U.; Tuinstra, M.R.; Jin, J. Greenhouse Environment Modeling and Simulation for Microclimate Control. Comput. Electron. Agric. 2019, 162, 134–142. [Google Scholar] [CrossRef]
- Katzin, D.; Van Henten, E.J.; Van Mourik, S. Process-Based Greenhouse Climate Models: Genealogy, Current Status, and Future Directions. Agric. Syst. 2022, 198, 103388. [Google Scholar] [CrossRef]
- Tabachnick, B.G.; Fidell, L.S.; Ullman, J.B. Using Multivariate Statistics, 7th ed.; Pearson: New York, NY, USA, 2019; ISBN 978-0-13-479054-1. [Google Scholar]
- Frausto, H.U.; Pieters, J.G.; Deltour, J.M. Modelling Greenhouse Temperature by Means of Auto Regressive Models. Biosyst. Eng. 2003, 84, 147–157. [Google Scholar] [CrossRef]
- Taki, M.; Ajabshirchi, Y.; Ranjbar, S.F.; Matloobi, M. Application of Neural Networks and Multiple Regression Models in Greenhouse Climate Estimation. Agric. Eng. Int. CIGR J. 2016, 18, 29–43. [Google Scholar]
- Hearst, M.A.; Dumais, S.T.; Osuna, E.; Platt, J.; Scholkopf, B. Support Vector Machines. IEEE Intell. Syst. Their Appl. 1998, 13, 18–28. [Google Scholar] [CrossRef]
- Wang, D.; Wang, M.; Qiao, X. Support Vector Machines Regression and Modeling of Greenhouse Environment. Comput. Electron. Agric. 2009, 66, 46–52. [Google Scholar] [CrossRef]
- Agatonovic-Kustrin, S.; Beresford, R. Basic Concepts of Artificial Neural Network (ANN) Modeling and Its Application in Pharmaceutical Research. J. Pharm. Biomed. Anal. 2000, 22, 717–727. [Google Scholar] [CrossRef]
- Seginer, I. Some Artificial Neural Network Applications to Greenhouse Environmental Control. Comput. Electron. Agric. 1997, 18, 167–186. [Google Scholar] [CrossRef]
- Manonmani, A.; Thyagarajan, T.; Elango, M.; Sutha, S. Modelling and Control of Greenhouse System Using Neural Networks. Trans. Inst. Meas. Control 2018, 40, 918–929. [Google Scholar] [CrossRef]
- Taki, M.; Abdanan Mehdizadeh, S.; Rohani, A.; Rahnama, M.; Rahmati-Joneidabad, M. Applied Machine Learning in Greenhouse Simulation; New Application and Analysis. Inf. Process. Agric. 2018, 5, 253–268. [Google Scholar] [CrossRef]
- Alhnaity, B.; Pearson, S.; Leontidis, G.; Kollias, S. Using Deep Learning to Predict Plant Growth and Yield in Greenhouse Environments. Acta Hortic. 2020, 1296, 425–432. [Google Scholar] [CrossRef]
- Jung, D.-H.; Kim, H.S.; Jhin, C.; Kim, H.-J.; Park, S.H. Time-Serial Analysis of Deep Neural Network Models for Prediction of Climatic Conditions inside a Greenhouse. Comput. Electron. Agric. 2020, 173, 105402. [Google Scholar] [CrossRef]
- Bentéjac, C.; Csörgő, A.; Martínez-Muñoz, G. A Comparative Analysis of Gradient Boosting Algorithms. Artif. Intell. Rev. 2021, 54, 1937–1967. [Google Scholar] [CrossRef]
- Chen, W.; Fu, K.; Zuo, J.; Zheng, X.; Huang, T.; Ren, W. Radar Emitter Classification for Large Data Set Based on Weighted-Xgboost. IET Radar Sonar Navig. 2017, 11, 1203–1207. [Google Scholar] [CrossRef]
- Amjad, M.; Ahmad, I.; Ahmad, M.; Wróblewski, P.; Kamiński, P.; Amjad, U. Prediction of Pile Bearing Capacity Using XGBoost Algorithm: Modeling and Performance Evaluation. Appl. Sci. 2022, 12, 2126. [Google Scholar] [CrossRef]
- Nguyen, N.-H.; Abellán-García, J.; Lee, S.; Garcia-Castano, E.; Vo, T.P. Efficient Estimating Compressive Strength of Ultra-High Performance Concrete Using XGBoost Model. J. Build. Eng. 2022, 52, 104302. [Google Scholar] [CrossRef]
- Azmi, S.S.; Baliga, S. An Overview of Boosting Decision Tree Algorithms Utilizing AdaBoost and XGBoost Boosting Strategies. Int. Res. J. Eng. Technol 2020, 7, 6867–6870. [Google Scholar]
- Chen, T.; Guestrin, C. XGBoost: A Scalable Tree Boosting System. In Proceedings of the 22nd ACM SIGKDD International Conference on Knowledge Discovery and Data Mining, San Francisco, CA, USA, 13–17 August 2016; Association for Computing Machinery: New York, NY, USA, 2016; pp. 785–794. [Google Scholar]
- Mallikarjuna Rao, G.S.; Dangeti, S.; Amiripalli, S.S. An Efficient Modeling Based on XGBoost and SVM Algorithms to Predict Crop Yield. In Proceedings of the Advances in Data Science and Management, Manchester, UK, 20–21 June 2022; Borah, S., Mishra, S.K., Mishra, B.K., Balas, V.E., Polkowski, Z., Eds.; Springer Nature: Singapore, 2022; pp. 565–574. [Google Scholar]
- Mariadass, D.A.-L.; Moung, E.G.; Sufian, M.M.; Farzamnia, A. Extreme Gradient Boosting (XGBoost) Regressor and Shapley Additive Explanation for Crop Yield Prediction in Agriculture. In Proceedings of the 2022 12th International Conference on Computer and Knowledge Engineering (ICCKE), Mashhad, Iran, 17–18 November 2022; pp. 219–224. [Google Scholar]
- Ge, J.; Zhao, L.; Yu, Z.; Liu, H.; Zhang, L.; Gong, X.; Sun, H. Prediction of Greenhouse Tomato Crop Evapotranspiration Using XGBoost Machine Learning Model. Plants 2022, 11, 1923. [Google Scholar] [CrossRef] [PubMed]
- Pardossi, A.; Giacomet, P.; Malorgio, F.; Albini, F.M.; Murelli, C.; Serra, G.; Vernieri, P. The Influence of Growing Season on Fruit Yield and Quality of Greenhouse Melon (Cucumis melo L.) Grown in Nutrient Film Technique in a Mediterranean Climate. J. Hortic. Sci. Biotechnol. 2000, 75, 488–493. [Google Scholar] [CrossRef]
- Diao, Q.; Cao, Y.; Yao, D.; Xu, Y.; Zhang, W.; Fan, H.; Zhang, Y. Effects of Temperature and Humidity on the Quality and Textural Properties of Melon Fruits During Development and Ripening. Mol. Plant Breed. 2022, 13, 1–13. [Google Scholar] [CrossRef]
- Han, X.; Sun, Y.; Chen, J.; Wang, Z.; Qi, H.; Liu, Y.; Liu, Y. Effects of CO2 Enrichment on Carbon Assimilation, Yield and Quality of Oriental Melon Cultivated in a Solar Greenhouse. Horticulturae 2023, 9, 561. [Google Scholar] [CrossRef]
- Jeenprasom, P.; Chulaka, P.; Kaewsorn, P.; Chunthawodtiporn, J. Effects of Relative Humidity and Growing Medium Moisture on Growth and Fruit Quality of Melon (Cucumis melo L.). Acta Hortic. 2019, 1245, 35–40. [Google Scholar] [CrossRef]
- Bouzo, C.A.; Küchen, M.G. Effect of Temperature on Melon Development Rate. Agron. Res. 2012, 10, 283–294. [Google Scholar]
- Murakami, K.; Fukuoka, N.; Noto, S. Improvement of Greenhouse Microenvironment and Sweetness of Melon (Cucumis melo L.) Fruits by Greenhouse Shading with a New Kind of near-Infrared Ray-Cutting Net in Mid-Summer. Sci. Hortic. 2017, 218, 1–7. [Google Scholar] [CrossRef]
- Weng, J.; Rehman, A.; Li, P.; Chang, L.; Zhang, Y.; Niu, Q. Physiological and Transcriptomic Analysis Reveals the Responses and Difference to High Temperature and Humidity Stress in Two Melon Genotypes. Int. J. Mol. Sci. 2022, 23, 734. [Google Scholar] [CrossRef] [PubMed]
- An, P.; Inanaga, S.; Lux, A.; Li, X.J.; Ali, M.E.K.; Matsui, T.; Sugimoto, Y. Effects of Salinity and Relative Humidity on Two Melon Cultivars Differing in Salt Tolerance. Biol. Plant. 2002, 45, 409–415. [Google Scholar] [CrossRef]
- Omid, M. A Computer-Based Monitoring System to Maintain Optimum Air Temperature and Relative Humidity in Greenhouses. Int. J. Agric. Biol. 2004, 6, 869–873. [Google Scholar]
- Naroui Rad, M.R.; Koohkan, S.; Fanaei, H.R.; Pahlavan Rad, M.R. Application of Artificial Neural Networks to Predict the Final Fruit Weight and Random Forest to Select Important Variables in Native Population of Melon (Cucumis melo L.). Sci. Hortic. 2015, 181, 108–112. [Google Scholar] [CrossRef]
- Qian, C.; Du, T.; Sun, S.; Liu, W.; Zheng, H.; Wang, J. An Integrated Learning Algorithm for Early Prediction of Melon Harvest. Sci. Rep. 2022, 12, 18199. [Google Scholar] [CrossRef] [PubMed]
- Sun, M.; Zhang, D.; Liu, L.; Wang, Z. How to Predict the Sugariness and Hardness of Melons: A near-Infrared Hyperspectral Imaging Method. Food Chem. 2017, 218, 413–421. [Google Scholar] [CrossRef]
- Erniati; Suhardiyanto, H.; Hasbullah, R. Supriyanto Artificial Neural Network Models to Estimate Growth of Melon (Cucumis melo L.) at Vegetative Phase in Greenhouse with Evaporative Cooling. IOP Conf. Ser. Earth Environ. Sci. 2022, 1038, 012011. [Google Scholar] [CrossRef]
- Akiba, T.; Sano, S.; Yanase, T.; Ohta, T.; Koyama, M. Optuna: A Next-Generation Hyperparameter Optimization Framework. In Proceedings of the 25th ACM SIGKDD International Conference on Knowledge Discovery & Data Mining, Anchorage, AK, USA, 4–8 August 2019; Association for Computing Machinery: New York, NY, USA, 2019; pp. 2623–2631. [Google Scholar]
- Watanabe, S. Tree-Structured Parzen Estimator: Understanding Its Algorithm Components and Their Roles for Better Empirical Performance. arXiv 2023, arXiv:2304.11127. [Google Scholar]
- Uyanık, G.K.; Güler, N. A Study on Multiple Linear Regression Analysis. Procedia—Soc. Behav. Sci. 2013, 106, 234–240. [Google Scholar] [CrossRef]
- Awad, M.; Khanna, R. Support Vector Regression. In Efficient Learning Machines: Theories, Concepts, and Applications for Engineers and System Designers; Awad, M., Khanna, R., Eds.; Apress: Berkeley, CA, USA, 2015; pp. 67–80. ISBN 978-1-4302-5990-9. [Google Scholar]
- Agarap, A.F. Deep Learning Using Rectified Linear Units (ReLU). arXiv 2019, arXiv:1803.08375. [Google Scholar]
- Noori, R.; Khakpour, A.; Omidvar, B.; Farokhnia, A. Comparison of ANN and Principal Component Analysis-Multivariate Linear Regression Models for Predicting the River Flow Based on Developed Discrepancy Ratio Statistic. Expert Syst. Appl. 2010, 37, 5856–5862. [Google Scholar] [CrossRef]
- Salem, H.; Kabeel, A.E.; El-Said, E.M.S.; Elzeki, O.M. Predictive Modelling for Solar Power-Driven Hybrid Desalination System Using Artificial Neural Network Regression with Adam Optimization. Desalination 2022, 522, 115411. [Google Scholar] [CrossRef]
- Hodson, T.O. Root-Mean-Square Error (RMSE) or Mean Absolute Error (MAE): When to Use Them or Not. Geosci. Model Dev. 2022, 15, 5481–5487. [Google Scholar] [CrossRef]
- Chicco, D.; Warrens, M.J.; Jurman, G. The Coefficient of Determination R-Squared Is More Informative than SMAPE, MAE, MAPE, MSE and RMSE in Regression Analysis Evaluation. PeerJ Comput. Sci. 2021, 7, e623. [Google Scholar] [CrossRef]
- Lan, Y.; Wang, Q.; Cole, J.R.; Rosen, G.L. Using the RDP Classifier to Predict Taxonomic Novelty and Reduce the Search Space for Finding Novel Organisms. PLoS ONE 2012, 7, e32491. [Google Scholar] [CrossRef]









| Parameter | Unit | Description |
|---|---|---|
| DATETIME | minutes | The date and time of data recorded at 1 min intervals |
| TMPin | °C | The greenhouse inside temperature |
| RHM | % | The greenhouse inside relative humidity |
| CO2 | ppm | The greenhouse inside carbon dioxide concentration |
| HEAT | (0,1) | The status of the heating valve: 1 for open, 0 for closed |
| TPMout | °C | The greenhouse outside temperature |
| WDR | 0~360 | The wind direction |
| WSP | m/s | The wind speed |
| SRD | W/m2 | The solar radiation |
| CSRD | J/m2 | The cumulative solar radiation |
| RAIN | (0,1) | The status of the rain sensor: 1 for detected rainfall, 0 for no detection |
| Parameter | Model | RMSET | RT2 | RMSEP | RP2 | RPD |
|---|---|---|---|---|---|---|
| TMPin | MLR | 0.8682 | 0.9318 | 0.8644 | 0.9311 | 3.8100 |
| SVM | 0.6950 | 0.9563 | 0.7003 | 0.9548 | 4.7026 | |
| ANN | 0.8729 | 0.9310 | 0.8689 | 0.9304 | 3.7922 | |
| XGBoost | 0.5226 | 0.9753 | 0.5471 | 0.9724 | 6.0197 | |
| RHM | MLR | 4.4579 | 0.9352 | 4.4841 | 0.9356 | 3.9397 |
| SVM | 3.9699 | 0.9486 | 4.0303 | 0.9480 | 4.3883 | |
| ANN | 4.4638 | 0.9351 | 4.4879 | 0.9355 | 3.9344 | |
| XGBoost | 3.1256 | 0.9682 | 3.2789 | 0.9656 | 5.3878 | |
| CO2 | MLR | 26.8977 | 0.9408 | 28.0193 | 0.9392 | 4.0556 |
| SVM | 24.8876 | 0.9493 | 26.6713 | 0.9449 | 4.2604 | |
| ANN | 26.9102 | 0.9407 | 28.0193 | 0.9392 | 4.0542 | |
| XGBoost | 8.5519 | 0.9940 | 9.5919 | 0.9929 | 11.8464 |
Disclaimer/Publisher’s Note: The statements, opinions and data contained in all publications are solely those of the individual author(s) and contributor(s) and not of MDPI and/or the editor(s). MDPI and/or the editor(s) disclaim responsibility for any injury to people or property resulting from any ideas, methods, instructions or products referred to in the content. |
© 2024 by the authors. Licensee MDPI, Basel, Switzerland. This article is an open access article distributed under the terms and conditions of the Creative Commons Attribution (CC BY) license (https://creativecommons.org/licenses/by/4.0/).
Share and Cite
Jeon, Y.-J.; Kim, J.Y.; Hwang, K.-S.; Cho, W.-J.; Kim, H.-J.; Jung, D.-H. Machine Learning-Powered Forecasting of Climate Conditions in Smart Greenhouse Containing Netted Melons. Agronomy 2024, 14, 1070. https://doi.org/10.3390/agronomy14051070
Jeon Y-J, Kim JY, Hwang K-S, Cho W-J, Kim H-J, Jung D-H. Machine Learning-Powered Forecasting of Climate Conditions in Smart Greenhouse Containing Netted Melons. Agronomy. 2024; 14(5):1070. https://doi.org/10.3390/agronomy14051070
Chicago/Turabian StyleJeon, Yu-Jin, Joon Yong Kim, Kue-Seung Hwang, Woo-Jae Cho, Hak-Jin Kim, and Dae-Hyun Jung. 2024. "Machine Learning-Powered Forecasting of Climate Conditions in Smart Greenhouse Containing Netted Melons" Agronomy 14, no. 5: 1070. https://doi.org/10.3390/agronomy14051070
APA StyleJeon, Y.-J., Kim, J. Y., Hwang, K.-S., Cho, W.-J., Kim, H.-J., & Jung, D.-H. (2024). Machine Learning-Powered Forecasting of Climate Conditions in Smart Greenhouse Containing Netted Melons. Agronomy, 14(5), 1070. https://doi.org/10.3390/agronomy14051070

