Optimum Plant Density Improved Cotton (Gossypium hirsutum L.) Root Production Capacity and Photosynthesis for High Cotton Yield under Plastic Film Mulching
Abstract
1. Introduction
2. Materials and Methods
2.1. Details of Experimental Site
2.2. Experimental Design
2.3. Plant Sampling and Analysis
2.4. Determination of SPAD Value, Chlorophyll Fluorescence Traits, and Photosynthetic Characteristics
2.5. Seed cotton Yield and Economic Income
2.6. Data Analysis
3. Results
3.1. BCR, BLR, and R/S
3.2. Cotton Biomass
3.3. SPAD Value
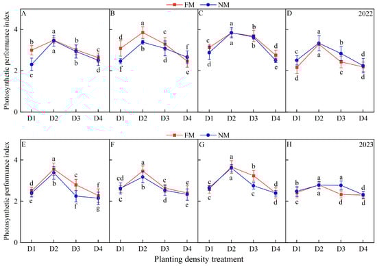
3.4. Chlorophyll Fluorescence Parameters
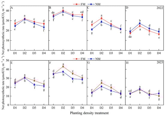
3.5. Photosynthetic Characteristics
3.6. Yield, Economic Income, and Correlation
4. Discussion
5. Conclusions
Author Contributions
Funding
Data Availability Statement
Conflicts of Interest
References
- National Bureau of Statistics of China. China Statistical Yearbook; China Statistics Press: Beijing, China, 2023. Available online: https://www.stats.gov.cn/sj/zxfb/202312/t20231225_1945745.html (accessed on 25 December 2023).
- Dai, J.; Dong, H. Intensive cotton farming technologies in China: Achievements, challenges and countermeasures. Field Crops Res. 2014, 155, 99–110. [Google Scholar] [CrossRef]
- Li, F.M.; Wang, P.; Wang, J.; Xu, J. Effects of irrigation before sowing and plastic film mulching on yield and water uptake of spring wheat in semiarid Loess Plateau of China. Agric. Water Manag. 2004, 67, 77–88. [Google Scholar] [CrossRef]
- Guo, Y.; Yin, W.; Fan, H.; Fan, Z.L.; Hu, F.L.; Yu, A.Z.; Zhao, C.; Chai, Q.; Aziiba, E.A.; Zhang, X.J. Photosynthetic physiological characteristics of water and nitrogen coupling for enhanced high-density tolerance and increased yield of maize in arid irrigation regions. Front Plant Sci. 2021, 12, 726568. [Google Scholar] [CrossRef] [PubMed]
- Khan, A.; Zheng, J.; Tan, D.K.Y.; Khan, A.; Akhtar, K.; Kong, X.J.; Munsif, F.; Iqbal, A.; Afridi, M.Z.; Ullah, A.; et al. Changes in leaf structural and functional characteristics when changing planting density at different growth stages alters cotton lint yield under a new planting model. Agronomy 2019, 9, 859. [Google Scholar] [CrossRef]
- Kalaji, H.M.; Schansker, G.; Brestic, M.; Bussotti, F.; Calatayud, A.; Ferroni, L.; Losciale, P. Frequently asked questions about chlorophyll fluorescence, the sequel. Photosynth. Res. 2017, 132, 13–66. [Google Scholar] [CrossRef] [PubMed]
- Dong, H.; Li, W.; Eneji, A.E.; Zhang, D. Nitrogen rate and plant density effects on yield and late-season leaf senescence of cotton raised on a saline field. Field Crops Res. 2012, 126, 137–144. [Google Scholar] [CrossRef]
- Gwathmey, C.O.; Clement, J.D. Alteration of cotton source–sink relations with plant population density and mepiquat chloride. Field Crops Res. 2010, 116, 101–107. [Google Scholar] [CrossRef]
- Shao, H.; Xia, T.; Wu, D.; Chen, F.; Mi, G. Root growth and root system architecture of field-grown maize in response to high planting density. Plant Soil 2018, 430, 395–411. [Google Scholar] [CrossRef]
- Wang, J.; Du, G.; Tian, J.; Zhang, Y.; Jiang, C.; Zhang, W. Effect of irrigation methods on root growth, root-shoot ratio and yield components of cotton by regulating the growth redundancy of root and shoot. Agric. Water Manag. 2020, 234, 106120. [Google Scholar] [CrossRef]
- Zha, L.; Jin, W.; Fang, G.; Guo, J.; Liu, Z.; Hu, W.; Zhou, Z.G.; Meng, Y.L. Long-term residue retention affects seedcotton yield by regulating distribution of photosynthetic carbon, boll capacity of the root system and soil quality. Field Crops Res. 2023, 303, 109120. [Google Scholar] [CrossRef]
- Hossain, M.I.; Osaki, M.; Haque, M.S.; Khan, M.M.H.; Rashid, M.H. Effect of straw management and nitrogen fertilization on root growth and root characteristics of wheat through raised bed system on a low N calcareous soil of Bangladesh. Thai J. Agric. Sci. 2008, 41, 45–52. [Google Scholar]
- Khan, A.; Najeeb, U.; Wang, L.; Tan, D.K.Y.; Yang, G.; Munsif, F.; Ali, S.; Hafeez, A. Planting density and sowing date strongly influence growth and lint yield of cotton crops. Field Crops Res. 2017, 209, 129–135. [Google Scholar] [CrossRef]
- Lai, Z.L.; Fan, J.L.; Yang, R.; Xu, X.Y.; Liu, L.J.; Li, S.E.; Zhang, F.C.; Li, Z.J. Interactive effects of plant density and nitrogen rate on grain yield, economic benefit, water productivity and nitrogen use efficiency of drip-fertigated maize in northwest China. Agric. Water Manag. 2022, 263, 107453. [Google Scholar] [CrossRef]
- Zhang, Z.; Sheng, T.; Liu, Z.; Jin, W.; Wang, J.W.; Tang, Q.X.; Zhou, Z.G.; Zhao, W.Q. Continuous wheat-cotton residue incorporation combined with potassium fertilizer improved cotton root production capacity and constructed an optimized photosynthate distribution structure for high seedcotton yield. Arch. Agron. Soil Sci. 2023, 69, 3533–3549. [Google Scholar] [CrossRef]
- Wu, Y.; Dai, J.; Chen, D. The study on effects of N application on boll loading by cotton root system. Cotton Sci. 1992, 2, 52–58. (In Chinese) [Google Scholar]
- Wang, X.; Yang, Z.; Liu, X.; Huang, G.; Xiao, W.; Han, L. The composition characteristics of different crop straw types and their multivariate analysis and comparison. Waste Manag. 2020, 110, 87–97. [Google Scholar] [CrossRef]
- Yao, H.S.; Zhang, Y.L.; Yi, X.P.; Zhang, X.J.; Zhang, W.F. Cotton responds to different plant population densities by adjusting specific leaf area to optimize canopy photosynthetic use efficiency of light and nitrogen. Field Crops Res. 2016, 188, 10–16. [Google Scholar] [CrossRef]
- Yang, G.Z.; Luo, X.J.; Nie, Y.C.; Zhang, X.L. Effects of plant density on yield and canopy micro environment in hybrid cotton. J. Integr. Agric. 2014, 13, 2154–2163. [Google Scholar] [CrossRef]
- Bednarz, C.W.; Nichols, R.L.; Brown, S.M. Plant density modifications of cotton within-boll yield components. Crop Sci. 2006, 46, 2076–2080. [Google Scholar] [CrossRef]
- Guzman, M.; Vilain, L.; Rondon, T.; Sanchez, J. Sowing density effects in cotton yields and its components. Agronomy 2019, 9, 349. [Google Scholar] [CrossRef]
- Khan, N.; Han, Y.; Xing, F.; Feng, L.; Wang, Z.B.; Wang, G.; Yang, B.F.; Fan, Z.Y.; Li, Y.P.; Xiong, S.W.; et al. Plant density influences reproductive growth, lint yield and boll spatial distribution of cotton. Agronomy 2019, 10, 14. [Google Scholar] [CrossRef]
- Luo, Z.; Liu, H.; Li, W.; Zhao, Q.; Dai, J.; Tian, L.; Dong, H. Effects of reduced nitrogen rate on cotton yield and nitrogen use efficiency as mediated by application mode or plant density. Field Crops Res. 2018, 218, 150–157. [Google Scholar] [CrossRef]
- Zhi, X.Y.; Han, Y.C.; Li, Y.B.; Wang, G.P.; Du, W.L.; Li, X.X.; Mao, S.C.; Lu, F. Effects of plant density on cotton yield components and quality. J. Integr. Agric. 2016, 15, 1469–1479. [Google Scholar] [CrossRef]
- Wang, Z.H.; Wu, Q.; Fan, B.H.; Zheng, X.R.; Zhang, J.Z.; Li, W.; Guo, L. Effects of mulching biodegradable films under drip irrigation on soil hydrothermal conditions and cotton (Gossypium hirsutum L.) yield. Agric. Water Manag. 2019, 213, 477–485. [Google Scholar] [CrossRef]
- Zhou, C.; Huang, Y.; Jia, B.; Wang, S.; Wang, Y. Optimization of nitrogen rate and planting density for improving the grain yield of diferent rice genotypes in Northeast China. Agronomy 2019, 9, 555. [Google Scholar] [CrossRef]
- Gu, X.B.; Cai, H.J.; Fang, H.; Li, Y.P.; Chen, P.P.; Li, Y.N. Effects of degradable film mulching on crop yield and water use efficiency in China: A meta-analysis. Soil Tillage Res. 2020, 202, 104676. [Google Scholar] [CrossRef]
- Wang, J.; Du, G.; Tian, J.; Jiang, C.; Zhang, Y.; Zhang, W.b. Mulched drip irrigation increases cotton yield and water use efficiency via improving fine root plasticity. Agric. Water Manag. 2021, 255, 106992. [Google Scholar] [CrossRef]
- Feng, L.; Dai, J.L.; Tian, L.W.; Zhang, H.J.; Li, W.J.; Dong, H.Z. Review of the technology for high-yielding and efficient cotton cultivation in the northwest inland cotton-growing region of China. Field Crop Res. 2017, 208, 18–26. [Google Scholar] [CrossRef]
- Zhang, G.J.; Yan, J.W.; Zuo, W.Q.; Zhang, P.P.; Zhang, W.F. Effects of straw return and fertilisation on root growth and nutrient utilisation efficiency of cotton in an arid area. Crop Pasture Sci. 2021, 72, 528–540. [Google Scholar] [CrossRef]
- Maddonni, G.A.; Otegui, M.E.; Cirilo, A.G. Plant population density, row spacing and hybrid effects on maize canopy architecture and light attenuation. Field Crops Res. 2001, 71, 183–193. [Google Scholar] [CrossRef]
- Richards, R.A. Selectable traits to increase crop photosynthesis and yield of grain crops. J. Exp. Bot. 2000, 51, 447–458. [Google Scholar] [CrossRef]
- Ommen, O.E.; Donnelly, A.; Vanhoutvin, S.; Oijen, M.V.; Manderscheid, R. Chlorophyll content of spring wheat flag leaves grown under elevated CO2 concentrations and other environmental stresses within the ‘ESPACE-wheat’ project. Eur. J. Agron. 1999, 10, 197–203. [Google Scholar] [CrossRef]
- Ciampitti, I.A.; Vyn, T.J. A comprehensive study of plant density consequences on nitrogen uptake dynamics of maize plants from vegetative to reproductive stages. Field Crops Res. 2011, 121, 2–18. [Google Scholar] [CrossRef]
- Fang, X.; Li, Y.; Nie, J.; Wang, C.; Huang, K.; Zhang, Y.; Zhang, Y.; She, H.; Liu, X.; Ruan, R.; et al. Effects of nitrogen fertilizer and planting density on the leaf photosynthetic characteristics, agronomic traits and grain yield in common buckwheat (Fagopyrum esculentum M.). Field Crops Res. 2018, 219, 160–168. [Google Scholar] [CrossRef]
- Yan, Y.Y.; Duan, F.Y.; Li, X.; Zhao, R.L.; Hou, P.; Zhao, M.; Li, S.K.; Wang, Y.H.; Dai, T.B.; Zhou, W.B. Photosynthetic capacity and assimilate transport of the lower canopy influence maize yield under high planting density. Plant Physiol. 2024. [CrossRef]
- Chen, J.L.; Wang, Y.R.; Zhi, X.Y.; Qiu, Y.R.; Han, Y.C.; Feng, L.; Wang, Z.B.; Li, X.F.; Lei, Y.P.; Xiong, S.W.; et al. Modifying the planting density to change water utilization in various soil layers and regulate plant growth and yield formation of cotton. Field Crops Res. 2022, 289, 108738. [Google Scholar] [CrossRef]
- Ma, N.; Yuan, J.; Li, M.; Li, J.; Zhang, L.; Liu, L.; Naeem, M.S.; Zhang, C. Ideotype population exploration: Growth, photosynthesis, and yield components at different planting densities in winter oilseed rape (Brassica napus L.). PLoS ONE 2014, 9, e114232. [Google Scholar] [CrossRef]
- Fan, Y.; Liu, J.; Zhao, J.; Ma, Y.; Li, Q. Effects of delayed irrigation during the jointing stage on the photosynthetic characteristics and yield of winter wheat under different planting patterns. Agric. Water Manag. 2019, 221, 371–376. [Google Scholar] [CrossRef]
- Dai, Y.; Fan, J.; Liao, Z.; Zhang, C.; Yu, J.; Feng, H.; Zhang, F.; Li, Z. Supplemental irrigation and modified plant density improved photosynthesis, grain yield and water productivity of winter wheat under ridge-furrow mulching. Agric. Water Manag. 2022, 274, 107985. [Google Scholar] [CrossRef]
- Li, T.; Zhang, Y.; Dai, J.; Dong, H.; Kong, X. High plant density inhibits vegetative branching in cotton by altering hormone contents and photosynthetic production. Field Crops Res. 2019, 230, 121–131. [Google Scholar] [CrossRef]
- Echer, F.R.; Rosolem, C.A. Cotton yield and fiber quality affected by row spacing and shading at different growth stages. Eur. J. Agron. 2015, 65, 18–26. [Google Scholar] [CrossRef]
- Tobiasz-Salach, R.; Jańczak-Pieniążek, M.; Augustyńska-Prejsnar, A. Effect of Different Row Spacing and Sowing Density on Selected Photosynthesis Indices, Yield, and Quality of White Lupine Seeds. Agriculture 2023, 13, 1845. [Google Scholar] [CrossRef]
- Shah, A.N.; Wu, Y.; Tanveer, M.; Hafeez, A.; Tung, S.A.; Ali, S.; Khalofah, A.; Alsubeie, M.S.; Al-Qthanin, R.N.; Yang, G. Interactive effect of nitrogen fertilizer and plant density on photosynthetic and agronomical traits of cotton at different growth stages. Saudi J. Biol. Sci. 2021, 28, 3578–3584. [Google Scholar] [CrossRef] [PubMed]
- Lan, T.Q.; Du, L.J.; Wang, X.L.; Zhan, X.X.; Liu, Q.L.; Wei, G.; Lyu, C.C.; Liu, F.; Gao, J.X.; Feng, D.J.; et al. Synergistic effects of planting density and nitrogen fertilization on chlorophyll degradation and leaf senescence after silking in maize. Crop J. 2024, 12, 605–613. [Google Scholar] [CrossRef]
- Zuo, W.Q.; Wu, B.J.; Wang, Y.X.; Xu, S.Z.; Chen, M.Z.; Liang, F.B.; Tian, J.S.; Zhang, W.F. Optimal row spacing configuration to improve cotton yield or quality is regulated by plant density and irrigation rate. Field Crop Res. 2024, 305, 109187. [Google Scholar] [CrossRef]
- Dai, J.L.; Li, W.J.; Zhang, D.M.; Tang, W.; Li, Z.H.; Lu, H.Q.; Kong, X.Q.; Luo, Z.; Xu, S.Z.; Xin, C.S.; et al. Competitive yield and economic benefits of cotton achieved through a combination of extensive pruning and a reduced nitrogen rate at high plant density. Field Crop Res. 2017, 209, 65–72. [Google Scholar] [CrossRef]
- Friedman, S.P. Relationships between combined and individual field crops’ biomass and planting density. Field Crops Res. 2024, 305, 109188. [Google Scholar] [CrossRef]
- Duan, F.Y.; Wei, Z.; Soualiou, S.L.H.; Zhou, W.B. Nitrogen partitioning in maize organs and underlined mechanisms from different plant density levels and N application rate in China. Field Crops Res. 2023, 294, 108874. [Google Scholar] [CrossRef]
- Lloret, F.; Casanovas, C.; Penuelas, J. Seedling survival of Mediterranean shrubland species in relation to root shoot ratio, seed size and water and nitrogen use. Funct. Ecol. 1999, 13, 210–216. [Google Scholar] [CrossRef]
- Chen, X.Y.; Ren, H.; Zhang, J.W.; Zhao, B.; Ren, B.Z.; Wan, Y.S.; Liu, P. Deep phosphorus fertilizer placement increases maize productivity by improving root-shoot coordination and photosynthetic performance. Soil Tillage Res. 2024, 235, 105915. [Google Scholar] [CrossRef]













| Mulch Treatments | Density | Yield | Economic Income | ||
|---|---|---|---|---|---|
| 2022 (kg ha−1) | 2023 (kg ha−1) | 2022 (RMB ha−1) | 2023 (RMB ha−1) | ||
| FM | D1 | 5309.57 b | 4798.55 d | 36,793.39 c | 32,431.57 d |
| D2 | 5805.07 a | 5242.32 a | 40,336.27 a | 35,626.70 b | |
| D3 | 5384.06 b | 4961.28 c | 37,326.01 bc | 33,603.18 c | |
| D4 | 5210.14 b | 4657.97 e | 36,082.54 cd | 31,419.39 e | |
| NM | D1 | 4810.14 c | 4657.97 e | 34,392.50 d | 33,537.39 c |
| D2 | 5436.96 b | 5159.42 b | 38,874.24 ab | 37,147.83 a | |
| D3 | 4950.72 c | 4504.35 f | 35,397.68 cd | 32,431.30 d | |
| D4 | 4846.38 c | 4408.70 g | 34,651.59 d | 31,742.61 e | |
| Analysis of variance | |||||
| M | ** | ** | * | ** | |
| D | ** | * | ** | ** | |
| M × D | ns | ns | ns | ** | |
Disclaimer/Publisher’s Note: The statements, opinions and data contained in all publications are solely those of the individual author(s) and contributor(s) and not of MDPI and/or the editor(s). MDPI and/or the editor(s) disclaim responsibility for any injury to people or property resulting from any ideas, methods, instructions or products referred to in the content. |
© 2024 by the authors. Licensee MDPI, Basel, Switzerland. This article is an open access article distributed under the terms and conditions of the Creative Commons Attribution (CC BY) license (https://creativecommons.org/licenses/by/4.0/).
Share and Cite
Cao, N.; Hou, J.; Hu, W.; Li, H.; Lin, J.; Chen, G.; Wan, S.; Hu, S. Optimum Plant Density Improved Cotton (Gossypium hirsutum L.) Root Production Capacity and Photosynthesis for High Cotton Yield under Plastic Film Mulching. Agronomy 2024, 14, 1040. https://doi.org/10.3390/agronomy14051040
Cao N, Hou J, Hu W, Li H, Lin J, Chen G, Wan S, Hu S. Optimum Plant Density Improved Cotton (Gossypium hirsutum L.) Root Production Capacity and Photosynthesis for High Cotton Yield under Plastic Film Mulching. Agronomy. 2024; 14(5):1040. https://doi.org/10.3390/agronomy14051040
Chicago/Turabian StyleCao, Nan, Jinmei Hou, Wei Hu, Huqiang Li, Jiao Lin, Guodong Chen, Sumei Wan, and Shoulin Hu. 2024. "Optimum Plant Density Improved Cotton (Gossypium hirsutum L.) Root Production Capacity and Photosynthesis for High Cotton Yield under Plastic Film Mulching" Agronomy 14, no. 5: 1040. https://doi.org/10.3390/agronomy14051040
APA StyleCao, N., Hou, J., Hu, W., Li, H., Lin, J., Chen, G., Wan, S., & Hu, S. (2024). Optimum Plant Density Improved Cotton (Gossypium hirsutum L.) Root Production Capacity and Photosynthesis for High Cotton Yield under Plastic Film Mulching. Agronomy, 14(5), 1040. https://doi.org/10.3390/agronomy14051040

