From Residue to Resource: A Physicochemical and Microbiological Analysis of Soil Microbial Communities through Film Mulch-Enhanced Rice Straw Return Strategies
Abstract
1. Introduction
2. Materials and Methods
2.1. Site Description
2.2. Materials
2.3. Experimental Design
2.4. Chemical and Physical Analyses
2.5. Soil DNA Extraction and Gene Sequencing
2.6. Statistical Analysis
3. Results
3.1. Effects of Different Treatments on Soil Physicochemical Properties
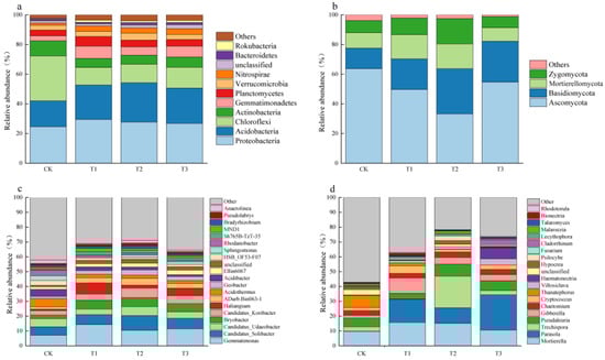
3.2. Predominant Bacterial and Fungal Communities at the Phylum and Genus Levels of Different Treatments
3.3. Richness and Diversity of Bacterial and Fungal Communities in Different Soil Treatment Samples
3.4. Effects of Different Treatments on Bacterial and Fungal Communities
3.5. Relationship between Predominant Soil Environmental Factors and Soil Microbial Community
4. Discussion
4.1. Effect of Microbial Agents and Mulch Film Covering on the Physicochemical Properties of Soil
4.2. Effects of Microbial Agents and Mulch Film Covering on the Bacterial and Fungal Communities
4.3. Relationship between Bacterial and Fungal Communities and Soil Physicochemical Properties
5. Conclusions
Author Contributions
Funding
Data Availability Statement
Conflicts of Interest
References
- Laudicina, V.A.; Ruisi, P.; Badalucco, L. Soil Quality and Crop Nutrition. Agriculture 2023, 13, 1412. [Google Scholar] [CrossRef]
- Huang, J.; Li, R.; Chen, Z.; Zhang, B.; Lei, H.; Pan, R.; Yang, M.; Pan, M.; Tang, L. Effects of Straw Returning Techniques on Soil Nutrients, Organic Carbon and Microbial Diversity in Tobacco-rice Rotation System. Chin. J. Rice Sci. 2023, 37, 415–426. [Google Scholar]
- Li, C.; Zhang, C. Effects of Straw Returning on Paddy Soil Environmental Remediation. In Proceedings of the ICESE 2022: Proceedings of the 2022 12th International Conference on Environment Science and Engineering, Beijing, China, 2–5 September 2022. [Google Scholar]
- Xia, L.; Lam, S.; Wolf, B.; Kiese, R.; Chen, D.; Butterbach-Bahl, K. Trade-offs between soil carbon sequestration and reactive nitrogen losses under straw return in global agroecosystems. Glob. Chang. Biol. 2018, 24, 5919–5932. [Google Scholar] [CrossRef]
- Yang, H.; Xu, M.; Li, Y.; Xu, C.; Zhai, S.; Liu, J. The impacts of ditch-buried straw layers on the interface soil physicochemical and microbial properties in a rice-wheat rotation system. Soil Tillage Res. 2020, 202, 104656. [Google Scholar] [CrossRef]
- Hou, X.; Wu, P.; Wang, Y.; Li, P.; Wang, X.; Li, R. Effects of returning straw with nitrogen application on soil water and nutrient status, and yield of maize. Chin. J. Appl. Ecol. 2018, 29, 1928–1934. [Google Scholar]
- Li, P.; Tong, H.; Han, Y.; Jiang, Y.; Wu, C. Effect of Straw Return, Directly or as Biochar, on Nitrifying Microbes in Fluvo-aquic Soil. Acta Pedol. Sin. 2019, 56, 1471–1481. [Google Scholar]
- Martínez-Eixarch, M.; Alcaraz, C.; Viñas, M.; Noguerol, J.; Aranda, X.; Prenafeta-Boldú, F.-X.; Català-Forner, M.; Fennessy, M.S.; Ibáñez, C. The main drivers of methane emissions differ in the growing and flooded fallow seasons in Mediterranean rice fields. Plant Soil 2021, 460, 211–227. [Google Scholar] [CrossRef]
- Chen, L.; Yao, B.; Peng, Y.; Qin, T.; Zhou, Y.; Sun, C. Effects of straw return and straw biochar on soil properties and crop growth: A review. Front. Plant Sci. 2022, 13, 986763. [Google Scholar] [CrossRef]
- Teng, K.; Zhang, Q.; Peng, J.; Chen, Q.; Tian, M.; Chao, J. Effects of reductive soil disinfestation on chemical properties and microbial community structure of soils before and after tobacco planting. Tob. Sci. Technol. 2022, 55, 9–19. [Google Scholar]
- Allsup, C.M.; George, I.; Lankau, R.A. Shifting microbial communities can enhance tree tolerance to changing climates. Science 2023, 380, 835–840. [Google Scholar] [CrossRef]
- Gao, X.; Liu, W.; Li, X.; Zhang, W.; Bu, S.; Wang, A. A novel fungal agent for straw returning to enhance straw decomposition and nutrients release. Environ. Technol. Innov. 2023, 30, 103064. [Google Scholar] [CrossRef]
- Li, Y.; Hu, Y.; Song, D.; Liang, S.; Qin, X.; Siddique, K.H. The effects of straw incorporation with plastic film mulch on soil properties and bacterial community structure on the loess plateau. Eur. J. Soil Sci. 2021, 72, 979–994. [Google Scholar] [CrossRef]
- Tong, W.; Yang, M.; Wang, H.; Feng, X.; Zhang, L.; Zhou, B. Effects of tillage methods on fungal community structure in rhizosphere soil of flue-cured tobacco in mountainous tobacco fields. Acta Tabacaria Sin. 2021, 27, 56–63. [Google Scholar]
- Liu, B.; Dai, Y.; Cheng, X.; He, X.; Bei, Q.; Wang, Y.; Zhou, Y.; Zhu, B.; Zhang, K.; Tian, X.; et al. Straw mulch improves soil carbon and nitrogen cycle by mediating microbial community structure and function in the maize field. Front. Microbiol. 2023, 14, 1217966. [Google Scholar] [CrossRef]
- Cong, P.; Wang, J.; Li, Y.; Liu, N.; Dong, J.; Pang, H.; Zhang, L.; Gao, Z. Changes in soil organic carbon and microbial community under varying straw incorporation strategies. Soil Tillage Res. 2020, 204, 104735. [Google Scholar] [CrossRef]
- Liu, G.; Bai, Z.; Shah, F.; Cui, G.; Xiao, Z.; Gong, H.; Li, D.; Lin, Y.; Li, B.; Ji, G.; et al. Compositional and structural changes in soil microbial communities in response to straw mulching and plant revegetation in an abandoned artificial pasture in Northeast China. Glob. Ecol. Conserv. 2021, 31, e01871. [Google Scholar] [CrossRef]
- Bodenhausen, N.; Hess, J.; Valzano, A.; Deslandes-Hérold, G.; Waelchli, J.; Furrer, R.; Marcel, G.; van der Heijden, A.; Schlaeppi, K. Predicting soil fungal communities from chemical and physical properties. J. Sustain. Agric. Environ. 2023, 2, 225–237. [Google Scholar] [CrossRef]
- Abid, A.A.; Zou, X.; Gong, L.; Castellano-Hinojosa, A.; Afzal, M.; Di, H.; Zhang, Q. Physicochemical variables better explain changes in microbial community structure and abundance under alternate wetting and drying events. Agriculture 2022, 12, 762. [Google Scholar] [CrossRef]
- Gao, J.; Zhao, Q.; Chang, D.; Ndayisenga, F.; Yu, Z. Assessing the effect of physicochemical properties of saline and sodic soil on soil microbial communities. Agriculture 2022, 12, 782. [Google Scholar] [CrossRef]
- Zou, X.; Yao, K.; Zeng, F.; Zhang, C.; Zeng, Z.; Zhang, H. Diversity and Assembly of Bacteria Community in Lime Soil under Different Karst Land-Use Types. Forests 2023, 14, 672. [Google Scholar] [CrossRef]
- Li, J.; Bates, K.A.; Hoang, K.L.; Hector, T.E.; Knowles, S.C.; King, K.C. Experimental temperatures shape host microbiome diversity and composition. Glob. Chang. Biol. 2023, 29, 41–56. [Google Scholar] [CrossRef]
- Yuan, X.; Li, C.; Tang, Y.; Chen, Z.; Huang, C. The effects of functional microbial agents on the soil microbial communities of high-frigid grassland under desertification in Northwest Sichuan. Bot. Serbica 2022, 46, 259–268. [Google Scholar] [CrossRef]
- Xu, Z.; Wallach, R.; Song, J.; Mao, X. Effect of Plastic Film Colours and Perforations on Energy Distribution, Soil Temperature, and Evaporation. Agronomy 2023, 13, 926. [Google Scholar] [CrossRef]
- Yang, B.; Feng, L.; Li, X.; Yang, G.; Ma, Y.; Li, Y. Effects of plastic film mulching on the spatiotemporal distribution of soil water, temperature, and photosynthetic active radiation in a cotton field. PeerJ 2022, 10, e13894. [Google Scholar] [CrossRef]
- Zhang, Z.; Li, N.; Sun, Z.; Yin, G.; Zhang, Y.; Bai, W.; Feng, L.; Yang, J. Fall Straw Incorporation with Plastic Film Cover Increases Corn Yield and Water Use Efficiency under a Semi-Arid Climate. Agriculture 2022, 12, 2151. [Google Scholar] [CrossRef]
- Shao, J.; Gao, C.; Afi Seglah, P.; Xie, J.; Zhao, L.; Bi, Y.; Wang, Y. Analysis of the available straw nutrient resources and substitution of chemical fertilizers with straw returned directly to the field in China. Agriculture 2023, 13, 1187. [Google Scholar] [CrossRef]
- Bao, S.D. Soil Agro-Chemistry Analysis, 3rd ed.; China Agriculture Press: Beijing, China, 2000; pp. 14–114. [Google Scholar]
- Karlsson, I.; Friberg, H.; Steinberg, C.; Persson, P. Fungicide effects on fungal community composition in the wheat phyllosphere. PLoS ONE 2014, 9, e111786. [Google Scholar] [CrossRef]
- Schloss, P.D.; Gevers, D.; Westcott, S.L. Reducing the effects of PCR amplification and sequencing artifacts on 16S rRNA-based studies. PLoS ONE 2011, 6, e27310. [Google Scholar] [CrossRef]
- Kou, Z.; Zhou, X. Variation of soil bacterial community in tobacco field after different years of continuous monocropping. J. Plant Nutr. Fertil. 2020, 26, 511–521. [Google Scholar]
- Chen, D.; Wang, X.; Carrion, V.J.; Yin, S.; Yue, Z.; Liao, Y.; Dong, Y.; Li, X. Acidic amelioration of soil amendments improves soil health by impacting rhizosphere microbial assemblies. Soil Biol. Biochem. 2022, 167, 108599. [Google Scholar] [CrossRef]
- Mahapatra, S.; Yadav, R.; Ramakrishna, W. Bacillus subtilis impact on plant growth, soil health and environment: Dr. Jekyll and Mr. Hyde. J. Appl. Microbiol. 2022, 132, 3543–3562. [Google Scholar] [CrossRef] [PubMed]
- Hanafiah, A.S.; Haniv, Y.; Hidayat, B. Increased soil pH due to the application of sulfate-reducing bacteria, rhizobia and amendments to acid sulfate soils planted with soybeans. IOP Conf. Ser. Earth Environ. Sci. 2022, 977, 012011. [Google Scholar] [CrossRef]
- Luo, C.L.; Zhang, X.F.; Duan, H.X.; Mburu, D.M.; Ren, H.X.; Kavagi, L.; Dai, R.; Xiong, Y.C. Dual plastic film and straw mulching boosts wheat productivity and soil quality under the El Nino in semiarid Kenya. Sci. Total Environ. 2020, 738, 139808. [Google Scholar] [CrossRef] [PubMed]
- Zhang, X.; Borjigin, Q.; Gao, J.; Yu, X.; Zhang, B.; Hu, S.; Han, S.; Liu, R.; Zhang, S. Community succession and straw degradation characteristics using a microbial decomposer at low temperature. PLoS ONE 2022, 17, e0270162. [Google Scholar] [CrossRef] [PubMed]
- Song, K.; Zhou, Z.; Leng, J.; Fang, S.; Zhou, C.; Ni, G.; Kang, L.; Yin, X. Effects of rumen microorganisms on the decomposition of recycled straw residue. J. Zhejiang Univ.-Sci. B 2023, 24, 336–344. [Google Scholar] [CrossRef] [PubMed]
- Li, Y.; Zhang, G.; Xu, P.; Zhou, S.; Li, Y.; Ma, L.; Yang, Z.; Wu, Y. Effects of Exogenous Bacterial Agents on Material Transformation and Microbial Community Composition during Composting of Tomato Stalks. Sustainability 2022, 14, 16284. [Google Scholar] [CrossRef]
- Zuber, S.M.; Behnke, G.D.; Nafziger, E.D.; Villamil, M.B. Carbon and nitrogen content of soil organic matter and microbial biomass under long-term crop rotation and tillage in Illinois, USA. Agriculture 2018, 8, 37. [Google Scholar] [CrossRef]
- Wang, Y.; Qin, M.; Zhan, M.; Liu, T.; Yuan, J. Straw return-enhanced soil carbon and nitrogen fractions and nitrogen use efficiency in a maize–rice rotation system. Exp. Agric. 2024, 60, e5. [Google Scholar] [CrossRef]
- Bakker, P.A.; Berendsen, R.L.; Van Pelt, J.A.; Vismans, G.; Yu, K.; Li, E.; Bentum, S.V.; Poppeliers, S.W.; Gil1, J.S.; Zhang, H.; et al. The soil-borne identity and microbiome-assisted agriculture: Looking back to the future. Mol. Plant 2020, 13, 1394–1401. [Google Scholar] [CrossRef]
- Su, Y.; Liu, C.; Fang, H.; Zhang, D. Bacillus subtilis: A universal cell factory for industry, agriculture, biomaterials and medicine. Microb. Cell Factories 2020, 19, 173. [Google Scholar] [CrossRef]
- Oshiki, M.; Toyama, Y.; Suenaga, T.; Terada, A.; Kasahara, Y.; Yamaguchi, T.; Araki, N. N2O reduction by Gemmatimonas aurantiaca and potential involvement of Gemmatimonadetes bacteria in N2O reduction in agricultural soils. Microbes Environ. 2022, 37, ME21090. [Google Scholar] [CrossRef] [PubMed]
- Muneer, M.A.; Hou, W.; Li, J.; Huang, X.; Kayani, M.; Cai, Y.; Yang, W.; Wu, L.; Ji, B.; Zheng, C. Soil pH: A key edaphic factor regulating distribution and functions of bacterial community along vertical soil profiles in red soil of pomelo orchard. BMC Microbiol. 2022, 22, 38. [Google Scholar] [CrossRef] [PubMed]
- Zeng, Y.; Koblížek, M. Phototrophic Gemmatimonadetes: A new “purple” branch on the bacterial tree of life. In Modern Topics in the Phototrophic Prokaryotes: Environmental and Applied Aspects; Springer: Berlin/Heidelberg, Germany, 2017; pp. 163–192. [Google Scholar]
- Dou, Y.; Wen, M.; Yang, C.; Zhao, F.; Ren, C.; Zhang, N.; Liang, Y.; Wang, J. Effects of straw and plastic film mulching on microbial functional genes involved in soil nitrogen cycling. Front. Microbiol. 2023, 14, 1205088. [Google Scholar] [CrossRef]
- Muñoz, K.; Thiele-Bruhn, S.; Kenngott, K.G.; Meyer, M.; Diehl, D.; Steinmetz, Z.; Schaumann, G.E. Effects of plastic versus straw mulching systems on soil microbial community structure and enzymes in strawberry cultivation. Soil Syst. 2022, 6, 21. [Google Scholar] [CrossRef]
- Hu, Z.E.; Xiao, M.L.; Ding, J.N.; Ji, J.H.; Chen, J.P.; Ge, T.D.; Lu, S.B. Response characteristics of soil microbial community under long-term film mulching. Huan Jing Ke Xue 2022, 43, 4745–4754. [Google Scholar] [PubMed]
- Zhang, W.; Ma, J.; Cui, Z.; Xu, L.; Liu, Q.; Li, J.; Wang, S.; Zeng, X. Effects of Biodegradable Plastic Mulch Film on Cabbage Agronomic and Nutritional Quality Traits, Soil Physicochemical Properties and Microbial Communities. Agronomy 2023, 13, 1220. [Google Scholar] [CrossRef]
- Fox, A.; Widmer, F.; Lüscher, A. Soil microbial community structures are shaped by agricultural systems revealing little temporal variation. Environ. Res. 2022, 214, 113915. [Google Scholar] [CrossRef] [PubMed]
- El Amrani, B. Aspects of the rhizospheric microbiota and their interactions with the soil ecosystem. Vavilov J. Genet. Breed. 2022, 26, 442. [Google Scholar]
- Zhang, Q.; Wang, X.; Zhang, Z.; Liu, H.; Liu, Y.; Feng, Y.; Yang, G.; Ren, C.; Han, X. Linking soil bacterial community assembly with the composition of organic carbon during forest succession. Soil Biol. Biochem. 2022, 173, 108790. [Google Scholar] [CrossRef]
- Fan, W.; Yuan, J.; Wu, J.; Cai, H. Effects of straw maize on the bacterial community and carbon stability at different soil depths. Agriculture 2023, 13, 1307. [Google Scholar] [CrossRef]
- Mujakić, I.; Piwosz, K.; Koblížek, M. Phylum Gemmatimonadota and its role in the environment. Microorganisms 2022, 10, 151. [Google Scholar] [CrossRef] [PubMed]
- Długosz, J.; Piotrowska-Długosz, A.; Breza-Boruta, B. The effect of differences in soil water content on microbial and enzymatic properties across the soil profiles. Ecohydrol. Hydrobiol. 2023, 6, 10. [Google Scholar] [CrossRef]
- García, F.C.; Clegg, T.; O’Neill, D.B.; Warfield, R.; Pawar, S.; Yvon-Durocher, G. The temperature dependence of microbial community respiration is amplified by changes in species interactions. Nat. Microbiol. 2023, 8, 272–283. [Google Scholar] [CrossRef]
- Kumar, S.; Najar, I.N.; Sharma, P.; Tamang, S.; Mondal, K.; Das, S.; Sherpa, M.T.; Thakur, N. Temperature–A critical abiotic paradigm that governs bacterial heterogeneity in natural ecological system. Environ. Res. 2023, 234, 116547. [Google Scholar] [CrossRef]






| Treatment | Clean Tags | OTUS | Chao1 | Shannon | |
|---|---|---|---|---|---|
| Bacteria | CK | 62,728.33 ± 206.00 b | 2912.50 ± 20.50 b | 2668.20 ± 58.90 b | 9.80 ± 0.30 b |
| T1 | 66,010.00 ± 267.59 ab | 3040.30 ± 87.20 b | 3073.10 ± 75.70 ab | 10.40 ± 0.30 a | |
| T2 | 65,664.00 ± 115.84 ab | 3472.30 ± 83.60 a | 3520.70 ± 22.20 ab | 10.50 ± 0.10 a | |
| T3 | 67,734.33 ± 108.62 a | 3644.30 ± 28.10 a | 3664.80 ± 44.10 a | 10.60 ± 0.10 a | |
| Fungi | CK | 80,622.33 ± 45.46 a | 370.70 ± 13.70 b | 372.10 ± 14.20 b | 5.20 ± 0.10 b |
| T1 | 79,248.67 ± 167.19 a | 498.00 ± 49.50 a | 499.60 ± 50.30 a | 5.80 ± 0.40 a | |
| T2 | 78,691.33 ± 65.55 a | 399.00 ± 33.90 b | 399.60 ± 34.80 b | 5.80 ± 0.50 a | |
| T3 | 81,289.33 ± 108.23 a | 498.50 ± 12.30 a | 498.60 ± 12.50 a | 6.10 ± 0.60 a |
Disclaimer/Publisher’s Note: The statements, opinions and data contained in all publications are solely those of the individual author(s) and contributor(s) and not of MDPI and/or the editor(s). MDPI and/or the editor(s) disclaim responsibility for any injury to people or property resulting from any ideas, methods, instructions or products referred to in the content. |
© 2024 by the authors. Licensee MDPI, Basel, Switzerland. This article is an open access article distributed under the terms and conditions of the Creative Commons Attribution (CC BY) license (https://creativecommons.org/licenses/by/4.0/).
Share and Cite
Wang, X.; Huang, J.; Yang, L.; Li, Y.; Xia, B.; Li, H.; Deng, X. From Residue to Resource: A Physicochemical and Microbiological Analysis of Soil Microbial Communities through Film Mulch-Enhanced Rice Straw Return Strategies. Agronomy 2024, 14, 1001. https://doi.org/10.3390/agronomy14051001
Wang X, Huang J, Yang L, Li Y, Xia B, Li H, Deng X. From Residue to Resource: A Physicochemical and Microbiological Analysis of Soil Microbial Communities through Film Mulch-Enhanced Rice Straw Return Strategies. Agronomy. 2024; 14(5):1001. https://doi.org/10.3390/agronomy14051001
Chicago/Turabian StyleWang, Xinyue, Jie Huang, Lili Yang, Yuanhuan Li, Bing Xia, Hailin Li, and Xiaohua Deng. 2024. "From Residue to Resource: A Physicochemical and Microbiological Analysis of Soil Microbial Communities through Film Mulch-Enhanced Rice Straw Return Strategies" Agronomy 14, no. 5: 1001. https://doi.org/10.3390/agronomy14051001
APA StyleWang, X., Huang, J., Yang, L., Li, Y., Xia, B., Li, H., & Deng, X. (2024). From Residue to Resource: A Physicochemical and Microbiological Analysis of Soil Microbial Communities through Film Mulch-Enhanced Rice Straw Return Strategies. Agronomy, 14(5), 1001. https://doi.org/10.3390/agronomy14051001

