Soil Phosphorus Forms in Saline Soil after the Application of Biomass Materials
Abstract
1. Introduction
2. Materials and Methods
2.1. Soil Profile
2.2. Biomass Materials
2.3. Experimental Design and Soil Sampling
2.4. Analytical Methods
2.4.1. Analysis of the Soil’s Properties
2.4.2. Leaching Liquid Sample Analysis
2.4.3. Sequential Extraction Procedure for Phosphorus
2.5. Fertilizer Amount Conversion
2.6. Statistical Analyses
3. Results
3.1. Properties of the Soil
3.2. Phosphorus Forms Determined by Sequential Extraction
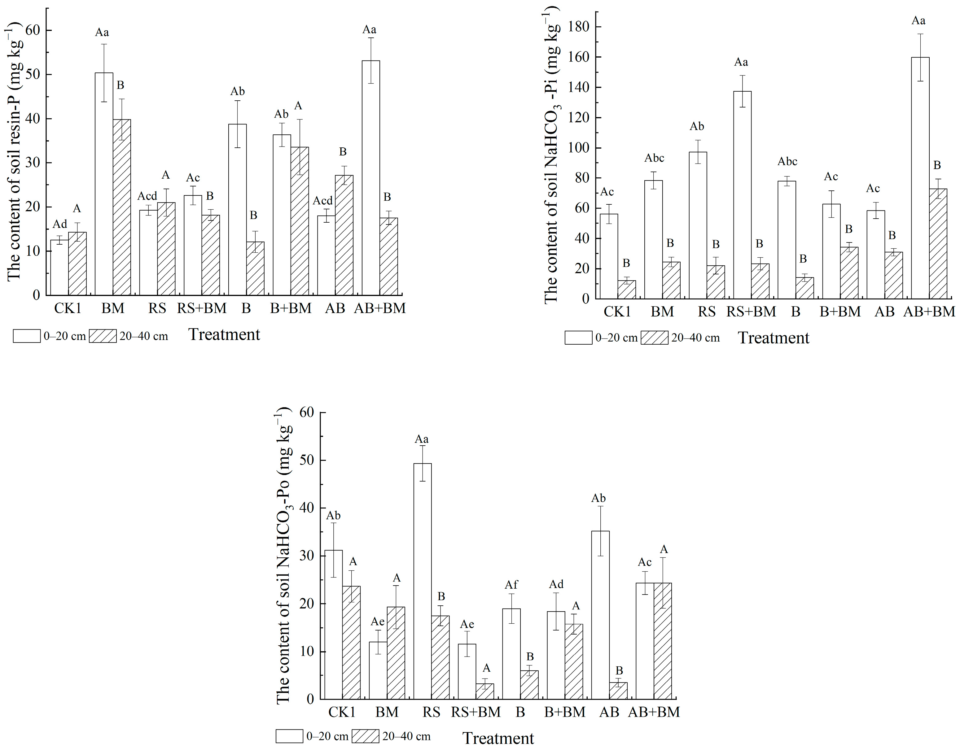
3.2.1. Soil Active Phosphorus Component
3.2.2. Soil Medium Active Phosphorus Component
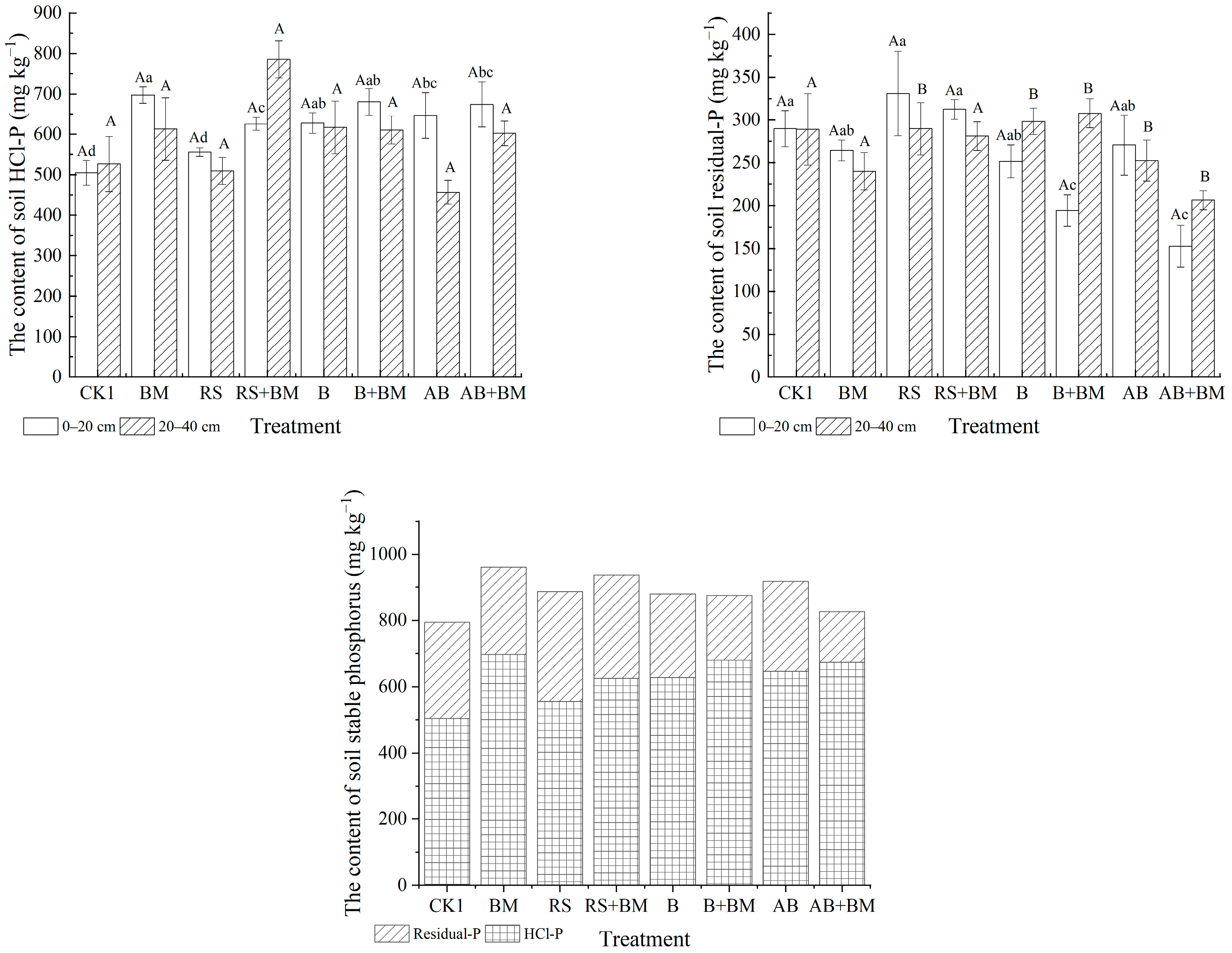
3.2.3. Soil Stable Phosphorus Component
3.3. Relationships between the Different Forms of Phosphorus Fractions and the Soil’s Properties
3.4. Cumulative Loss of Soil Phosphorus
4. Discussion
5. Conclusions
Author Contributions
Funding
Data Availability Statement
Acknowledgments
Conflicts of Interest
Abbreviations
References
- Shahbaz, M.; Ashraf, M. Critical reviews in Plant Sciences improving salinity tolerance in cereals. Crit. Rev. Plant Sci. 2013, 32, 237–249. [Google Scholar] [CrossRef]
- Zhao, Y.G. The Process and Mechanism of Integrated Effects of Plastic Mulch and Buried Straw Layer on Soil Water and Salt Movement in the Hetao Irrigation District; Chinese Academy of Agricultural Sciences: Beijing, China, 2014. (In Chinese) [Google Scholar]
- Yang, J.S.; Yao, R.J.; Wang, X.P.; Xie, W.P.; Zhang, X.; Zhu, W.; Zhang, L.; Sun, R.J. Research on salt-affected soils in China: History, status quo and prospect. Acta Pedol. Sin. 2022, 59, 10–27. [Google Scholar] [CrossRef]
- Zhu, J.F.; Cui, Z.R.; Wu, C.H.; Deng, C.; Chen, J.H.; Zhang, H.X. Research advances and prospect of saline and alkali land greening in China. World For. Res. 2018, 31, 70–75. [Google Scholar] [CrossRef]
- Cheng, C.H.; Lehmann, J.; Thies, J.E.; Burton, S.D.; Engelhard, M.H. Oxidation of black carbon by biotic and abiotic processes. Org. Geochem. 2006, 37, 1477–1488. [Google Scholar] [CrossRef]
- Wang, H.B.; Yang, J.J.; Gu, F.N.; Wang, Y.J.; Jiang, Y.; Li, L. Effects of slaughtering wastewater sludge compost application on physicochemical properties of saline-alkali soil. J. Jilin Agric. Univ. 2023, 1–11. Available online: http://kns.cnki.net/kcms/detail/22.1100.S.20230405.0942.002.html (accessed on 4 April 2023).
- Liu, S.L. Researches to Improve Cotton Yield and Nutrient Efficiency by Manupulating Phosphorus Bio-Availability in Root Layer in Saline Field; China Agricultural University: Beijing, China, 2015. (In Chinese) [Google Scholar]
- Carroll, P.V.; Claudia, U.S.; Deborah, L.A. Phosphorus Acquisition and Use: Critical Adaptations by Plants for Securing a Nonrenewable Resource. New Phytol. 2003, 157, 423–447. [Google Scholar] [CrossRef]
- Sulieman, S.; Karl, H.M. Utilization of soil organic phosphorus as a strategic approach for sustainable agriculture. J. Plant Nutr. Soil Sci. 2021, 184, 311–319. [Google Scholar] [CrossRef]
- He, M.X. Characteristics of Phosphorus Migration and Transformation after Straw Returning under Flooding Condition; Huazhong Agricultural University: Shenzhen, China, 2021. [Google Scholar] [CrossRef]
- David, L.A.; Mark, R.B.; Laurent, A.; Etienne, S.; Lysiane, D.; Christian, M. Evaluation of the phosphorus status of P-deficient podzols in temperate pine stands: Combining isotopic dilution and extraction methods. Biogeochemistry 2009, 92, 183–200. [Google Scholar] [CrossRef]
- Zhang, G.B.; Li, G.T. Roles of soil organisms on the enhancement of plant availability of soil phosphorus. Acta Pedol. Sin. 1998, 35, 104–111. [Google Scholar] [CrossRef]
- Zhan, X.Y.; Ren, Y.; Zhang, S.X.; Kang, R.F. Changes in Olsen phosphorus concentration and its response to phosphorus balance in the main types of soil in China. Sci. Agric. Sin. 2015, 48, 4728–4737. [Google Scholar] [CrossRef]
- Grattan, S.; Grieve, C. Salinity-mineral nutrient relations in horticultural crops. Sci. Hortic. 1998, 78, 127–157. [Google Scholar] [CrossRef]
- Kuang, X.Z.; Deng, W.M.; Tang, L.L.; Huang, Q.; Cai, K.Z.; Tian, J.H. Impacts of biochar and phosphorus application on soil phosphorus availability and soybean phosphorus uptake. Chin. J. Appl. Ecol. 2022, 33, 1911–1918. [Google Scholar] [CrossRef]
- Dai, Z.G. Study on Nutrient Release Characteristic of Crop Residue and Effect of Corp Residue Returning on Crop Yield and Soil Fertilty; Huazhong Agricultural University: Shenzhen, China, 2009. (In Chinese) [Google Scholar]
- Peng, G.Y. Study on the Process of Straw Decomposition and the Adsorption and Desorption of Antimony in Yellow Soil; Guizhou University: Guiyang, China, 2020. [Google Scholar] [CrossRef]
- Shamim, G.; Joann, K.W. Biochemical cycling of nitrogen and phosphorus in biochar-amended soils. Soil Biol. Biochem. 2016, 103, 1–15. [Google Scholar] [CrossRef]
- Hayat, R.; Ali, S.; Amara, U.; Khalid, R.; Ahmed, I. Soil beneficial bacteria and their role in plant growth promotion: A review. Ann. Microbiol. 2010, 60, 579–598. [Google Scholar] [CrossRef]
- Li, Q.L.; Li, A.B.; Huang, Z.Y.; Gai, X.; Bian, F.Y.; Zhong, Z.K.; Zhang, X.P. Application of phosphorus solubilizing microorganisms in forestry soil ecological restoration. World For. Res. 2022, 35, 15–20. [Google Scholar] [CrossRef]
- Jin, Y.; Liang, X.; He, M.; Liu, Y.; Tian, G.; Shi, J. Manure biochar influence upon soil properties, phosphorus distribution and phosphatase activities: A microcosm incubation study. Chemosphere 2016, 142, 128–135. [Google Scholar] [CrossRef]
- Tobiszewska, A.W.; Boersma, M.; Sargison, J.; Adams, P.; Singh, B.; Franks, S.; Brich, C.J.; Close, D.C. Nutrient changes in potting mix and Eucalyptus nitens leaf tissue under macadamia biochar amendments. J. For. Res. 2018, 29, 383–393. [Google Scholar] [CrossRef]
- Hedley, M.J.; Stewart, J.W.B.; Chauhan, B.S. Changes in inorganic and organic soil phosphorus fractions induced by cultivation practices and by laboratory incubations. Soil Sci. Soc. Am. J. 1982, 46, 970–976. [Google Scholar] [CrossRef]
- Sui, Y.B.; Thompson, M.L.; Shang, C. Fractionation of phosphorus in a mollisol amended with biosolids. Soil Sci. Soc. Am. J. 1999, 63, 1174–1180. [Google Scholar] [CrossRef]
- Bao, S.D. Agriculture and Chemistry Analysis of Soil; Agriculture Press: Beijing, China, 2000. (In Chinese) [Google Scholar]
- State Environmental Protection Administration. Water and Exhausted Water Monitoring Analysis Method; Environmental Science Press: Beijing, China, 2002. (In Chinese) [Google Scholar]
- Slattery, W.J.; Ridley, A.M.; Windsor, S.M. Ash alkalinity of animal and plant products. Aust. J. Exp. Agric. 1991, 31, 321–324. [Google Scholar] [CrossRef]
- Yi, G.S.; Li, W.; Peng, Y.M.; Chen, C.; Shuang, J.Y.; Wang, X. Effects of straw and its application on different organic materials on the leaching effect of saline-alkali soils in an irrigation aera in the south bank of the Yellow River. J. Agro-Environ. Sci. 2023, 1–11. Available online: http://kns.cnki.net/kcms/detail/12.1347.S.20230825.1039.002.html (accessed on 25 August 2023).
- Noble, A.D.; Irene, Z.; Randall, P.J. Leaf litter ash alkalinity and neutralisation of soil acidity. Plant Soil 1996, 179, 293–302. [Google Scholar] [CrossRef]
- Metawee, J.; Tanabhat-Sakorn, S.; Duangsamorn, T.; Wanwimon, M.; Patma, V. Organic phosphorus forms in a tropical sandy soil after application of organic residues of different quality. Geoderma 2021, 405, 115462. [Google Scholar] [CrossRef]
- Guan, L.Z.; Jiang, X.N.; Zhang, G.C.; Pan, L.L.; Zhang, T.; Zhao, Y.; Ye, C.; Zhang, Y.N.; Li, L. Effects of Rice Straw-derived Biochar on Organic Carbon Activity in Coastal Saline Paddy Soil. Soils 2019, 51, 205–209. [Google Scholar] [CrossRef]
- Nie, T.H.; Han, X.B.; Wang, H.L.; Huang, H.G.; Ban, G.J.; Zhang, L.; Yang, X.; Che, L. Effect of different biochars on soil conservation, growth and quality of the flue-cured Tobacco. J. Soil Water Conserv. 2018, 32, 346–351+358. [Google Scholar] [CrossRef]
- Rose, T.J.; Hardiputra, B.; Rengel, Z. Wheat, canola and grain legume access to soil phosphorus fractions differs in soils with contrasting phosphorus dynamics. Plant Soil 2010, 326, 159–170. [Google Scholar] [CrossRef]
- Parvage, M.M.; Ulén, B.; Eriksson, J.; Strock, K.H. Phosphorus availability in soils amended with wheat residue char. Biol. Fertil. Soils 2013, 49, 245–250. [Google Scholar] [CrossRef]
- Liu, Y.H.; Li, X.H.; Sheng, K.Y.; Zheng, Q.Y.; Wen, J.; Xiu, Y.B.; Zhang, X.; Zhang, W.Y. Effect of Phosphate-Solubilizing Bacteria Burkholderia ZP-4 and Klebsiella ZP-2 on Soil Phosphorus Fraction and Bacterial Diversity. Chin. J. Soil Sci. 2022, 53, 472–481. [Google Scholar] [CrossRef]
- Iyamuremye, F.; Dick, R.P. Organic amendments and phosphorus sorption by soils. Adv. Agron. 1996, 56, 139–185. [Google Scholar]
- Liu, S.; Meng, J.; Jiang, L.; Yang, X.; Lan, Y.; Cheng, X.; Chen, W. Rice husk biochar impacts soil phosphorous availability, phosphatase activities and bacterial community characteristics in three different soil types. Appl. Soil Ecol. 2017, 116, 12–22. [Google Scholar] [CrossRef]
- Sui, R.G.; Rong, F.L.; Zhang, W.; Zhang, M.Y.; Wu, A.P.; Chen, F.L. Effects of combined applications of biochar and reduce phosphate fertilizer on phosphorus forms in acid paddy soil of southern China. Soil Fert. Sci. China 2023, 1–11. Available online: http://kns.cnki.net/kcms/detail/11.5498.S.20230420.1724.002.html (accessed on 21 April 2023).
- Gao, Q.Q.; Yang, Z.Y.; Pan, F.Y.; Huang, C.F.; Zhou, C.F. Relationship between iron reduction and phosphorus transformation in subtropical red soil under biochar application. For. Res. 2023, 36, 149–159. [Google Scholar] [CrossRef]
- Wei, Y.; Zhao, Y.; Wang, H.; Lu, Q.; Cao, Z.Y.; Cui, H.Y.; Zhu, L.J.; Wei, Z.M. An optimized regulating method for composting phosphorus fractions transformation based on biochar addition and phosphate-solubilizing bacteria inoculation. Bioresour. Technol. 2016, 221, 139–146. [Google Scholar] [CrossRef]
- Wu, W.L.; Hong, J.P.; Meng, H.S.; Ji, G. Effect of continuous application of phosphorus bacterial fertilizer on soil alkaline phosphatase activity and Hedley phosphorus forms in the reclaimed soil. Soil Fert. Sci. China 2016, 2016, 59–64. [Google Scholar] [CrossRef]
- Gypser, S.; Freese, D. Phosphorus release from vivianite and hydroxyapatite by organic and inorganic compounds. Pedosphere 2020, 30, 190–200. [Google Scholar] [CrossRef]







| Soil Layer | pH | EC μs cm−1 | SOM g kg−1 | STN g kg−1 | STP g kg−1 | SAP mg kg−1 |
|---|---|---|---|---|---|---|
| 0–20 cm | 8.55 | 2696.50 | 5.15 | 0.38 | 0.32 | 5.45 |
| 20–40 cm | 8.44 | 2503.50 | 4.32 | 0.50 | 0.68 | 2.11 |
| Abbreviation | Treatment | Application Rate (kg ha−1) | |
|---|---|---|---|
| 1 | CK1 | conventional fertilization | \ |
| 2 | BM | B. mucilaginosus | 120 |
| 3 | RS | rice straw | 14,800 |
| 4 | B | biochar | 13,200 |
| 5 | AB | acidified biochar | 13,200 |
| 6 | RS+BM | rice straw+B. mucilaginosus | 14,800 + 120 |
| 7 | B+BM | biochar+B. mucilaginosus | 13,200 + 120 |
| 8 | AB+BM | acidified biochar+B. mucilaginosus | 13,200 + 120 |
| Soil Layer | Treatment | pH | EC | SOM | STP | STN | SAP | Ca | Fe |
|---|---|---|---|---|---|---|---|---|---|
| μs cm−1 | g kg−1 | g kg−1 | g kg−1 | mg kg−1 | mg kg−1 | mg kg−1 | |||
| 0–20 cm | CK1 | 8.59 Aa | 254.60 Aab | 6.91 Ac | 1.32 Aa | 1.01 Aa | 10.28 Ac | 76.00 Ac | 69.84 Ac |
| BM | 8.36 Aa | 228.80 Ab | 8.61 Ab | 1.46 Aa | 1.04 Aa | 18.95 Aab | 78.67 Abc | 57.31 Ade | |
| RS | 8.38 Aa | 255.53 Aab | 8.60 Ab | 1.39 Aa | 1.46 Aa | 18.24 Aab | 93.33 Aabc | 108.13 Ab | |
| RS+BM | 8.52 Aa | 228.73 Ab | 8.57 Ab | 1.48 Aa | 1.59 Aa | 21.65 Aa | 66.00 Ac | 117.66 Aa | |
| B | 8.45 Aa | 280.43 Aab | 9.63 Aab | 1.35 Aa | 1.17 Aa | 17.05 Aab | 116.00 Aabc | 52.00 Aef | |
| B+BM | 8.44 Aa | 298.17 Aab | 8.45 Ab | 1.56 Aa | 1.26 Aa | 19.11 Ab | 128.67 Aab | 49.82 Aef | |
| AB | 8.35 Aa | 299.35 Aa | 10.62 Aa | 1.47 Aa | 1.27 Aa | 17.04 Ab | 122.67 Aabc | 48.84 Af | |
| AB+BM | 8.30 Aa | 308.93 Aab | 9.01 Aab | 1.58 Aa | 1.35 Aa | 21.53 Aa | 149.33 Aa | 61.62 Ad | |
| 20–40 cm | CK1 | 8.65 A | 217.63 B | 6.45 B | 1.05 B | 0.83 B | 2.29 B | 77.00 A | 52.93 A |
| BM | 8.64 B | 203.55 B | 5.98 B | 1.31 B | 1.39 B | 4.48 B | 55.50 B | 55.36 A | |
| RS | 8.62 B | 258.90 A | 6.83 B | 1.06 B | 1.25 A | 1.90 B | 76.67 B | 86.99 B | |
| RS+BM | 8.62 A | 248.00 A | 6.36 B | 1.05 B | 2.33 B | 3.10 B | 77.33 A | 94.11 A | |
| B | 8.64 B | 222.27 B | 7.84 B | 1.17 B | 0.73 B | 3.72 B | 78.67 B | 49.55 B | |
| B+BM | 8.62 B | 236.75 B | 7.32 B | 1.26 B | 0.60 B | 2.64 B | 113.00 A | 39.83 B | |
| AB | 8.45 B | 243.40 B | 9.00 B | 1.44 A | 0.91 B | 4.84 B | 107.00 A | 68.11 A | |
| AB+BM | 8.49 B | 281.90 A | 8.62 A | 1.15 B | 0.68 B | 3.64 B | 114.00 B | 71.40 B |
| Resin-P | NaHCO3-Pi | NaHCO3-Po | NaOH-Pi | NaOH-Po | HCl-P | Residual-P | |
|---|---|---|---|---|---|---|---|
| Resin-P | 1 | ||||||
| NaHCO3-Pi | 0.415 ** | 1 | |||||
| NaHCO3-Po | −0.522 ** | −0.104 * | 1 | ||||
| NaOH-Pi | 0.115 | 0.645 ** | −0.029 | 1 | |||
| NaOH-Po | −0.682 ** | −0.505 ** | 0.705 ** | −0.236 * | 1 | ||
| HCl-P | 0.779 ** | 0.148 | −0.606 ** | 0.058 | −0.670 ** | 1 | |
| Residual-P | −0.452 ** | −0.122 | 0.23 | 0.14 | 0.621 ** | −0.293 * | 1 |
| pH | −0.234 * | −0.036 | −0.054 | 0.037 | 0.212 | −0.206 | 0.326 ** |
| EC | 0.056 | −0.015 | 0.173 | −0.231 | −0.177 | 0.191 | −0.270 * |
| SOM | 0.162 | 0.029 | −0.057 | −0.032 | −0.357 ** | 0.474 ** | 0.239 * |
| STP | 0.004 | 0.231 * | −0.161 | 0.203 * | −0.270 * | 0.077 | −0.185 |
| STN | −0.151 | 0.084 | −0.215 | 0.227 | −0.179 | −0.073 | −0.034 |
| Ca | 0.402 ** | 0.091 | −0.083 | 0.025 | −0.482 ** | 0.305 ** | −0.540 ** |
| Fe | −0.412 ** | 0.456 ** | 0.258 * | 0.726 ** | 0.249 * | −0.492 ** | 0.448 ** |
| Regression Model | R2 | p |
|---|---|---|
| Resin-P = 370.35 + 4.31SAP − 0.069EC − 0.57Fe − 8.70SOM − 33.69pH | 0.88 | <0.001 |
| NaHCO3-Pi = 477.25 + 10.10SAP − 16.72SOM − 50.07pH | 0.70 | <0.001 |
| NaOH-Pi = −9.19 + 0.21Fe + 1.10SAP + 0.07Ca − 1.13SOM | 0.79 | <0.001 |
| HCl-P = 228.57 + 12.64STP + 6.66STN + 1.34SOM + 1.92Ca | 0.78 | <0.001 |
| NaHCO3-Po = −10.36 + 0.47Fe + 0.10EC + 4.51SOM − 2.72SAP − 8.14STP − 3.84STN | 0.60 | <0.001 |
| NaOH-Po = 37.22 + 0.17Fe + 2.01SOM − 1.68SAP − 2.37STN − 0.07Ca − 4.01STP | 0.87 | <0.001 |
| Residual-P = 860.25 + 58.62STP + 1.13pH + 1.21SOM − 13.83STN | 0.46 | <0.001 |
Disclaimer/Publisher’s Note: The statements, opinions and data contained in all publications are solely those of the individual author(s) and contributor(s) and not of MDPI and/or the editor(s). MDPI and/or the editor(s) disclaim responsibility for any injury to people or property resulting from any ideas, methods, instructions or products referred to in the content. |
© 2024 by the authors. Licensee MDPI, Basel, Switzerland. This article is an open access article distributed under the terms and conditions of the Creative Commons Attribution (CC BY) license (https://creativecommons.org/licenses/by/4.0/).
Share and Cite
Guan, X.; Chen, J.; Liu, G.; Wang, X. Soil Phosphorus Forms in Saline Soil after the Application of Biomass Materials. Agronomy 2024, 14, 255. https://doi.org/10.3390/agronomy14020255
Guan X, Chen J, Liu G, Wang X. Soil Phosphorus Forms in Saline Soil after the Application of Biomass Materials. Agronomy. 2024; 14(2):255. https://doi.org/10.3390/agronomy14020255
Chicago/Turabian StyleGuan, Xuewei, Jinlin Chen, Guangming Liu, and Xiuping Wang. 2024. "Soil Phosphorus Forms in Saline Soil after the Application of Biomass Materials" Agronomy 14, no. 2: 255. https://doi.org/10.3390/agronomy14020255
APA StyleGuan, X., Chen, J., Liu, G., & Wang, X. (2024). Soil Phosphorus Forms in Saline Soil after the Application of Biomass Materials. Agronomy, 14(2), 255. https://doi.org/10.3390/agronomy14020255
