Biochar Enhances Paddy Productivity, Carbon Sequestration, and Reduces Greenhouse Gas Emissions in the Middle Yangtze River Region
Abstract
1. Introduction
2. Materials and Methods
2.1. Study Area
2.2. Experimental Design and Field Management
2.3. Greenhouse Gases
2.4. Experimental Observation Indicators
2.5. Carbon Sequestration, Emission Reduction, and Efficiency Enhancement Calculation
- (1)
- Carbon sequestration
- (2)
- Emission reduction
- (3)
- Agricultural efficiency enhancement
2.6. Statistical Analysis
3. Results
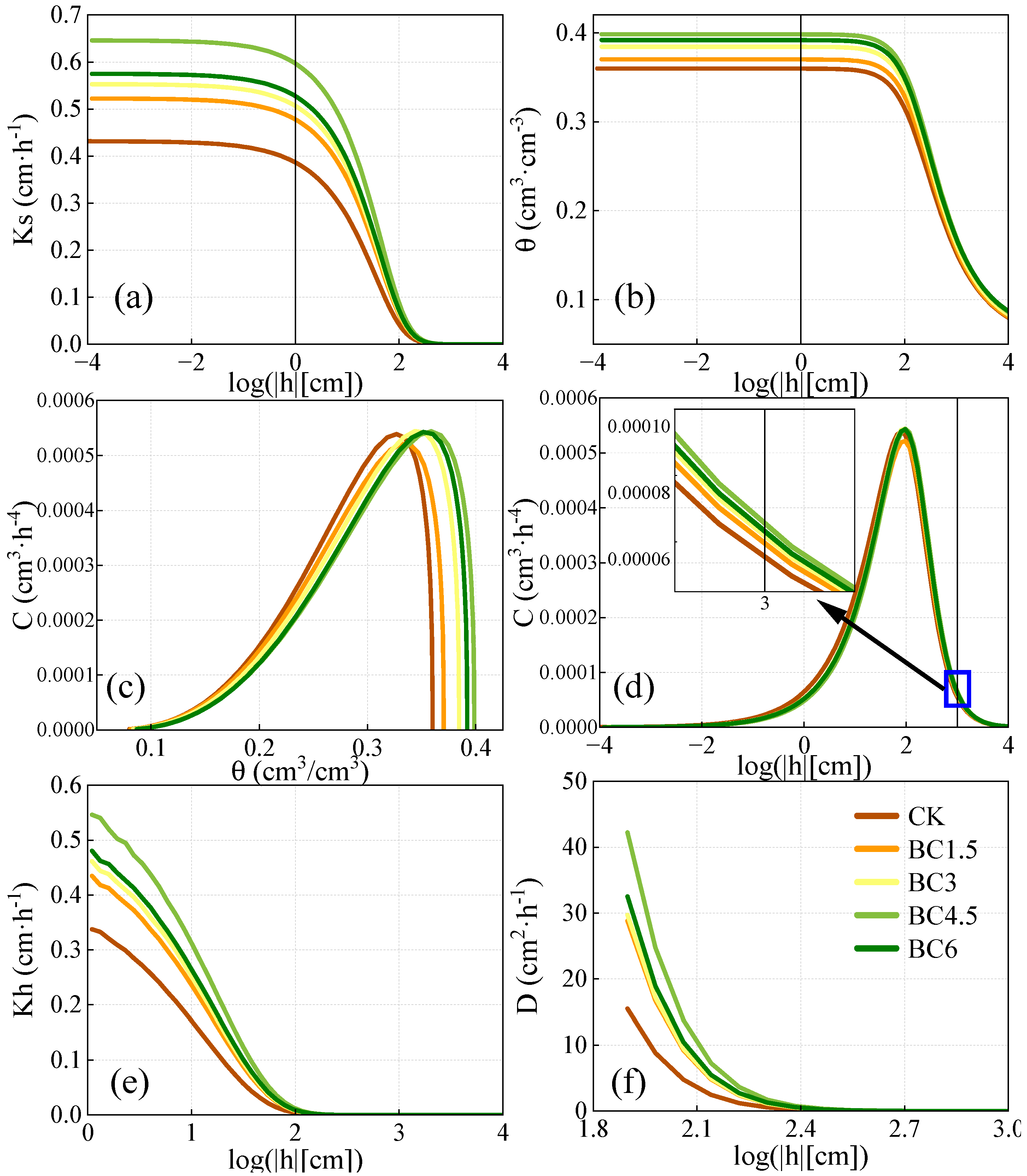
3.1. Changes in Soil Physical Properties and Hydrodynamic Parameters
3.2. Changes in Soil Environmental Factors
3.3. CO2, CH4, and N2O Emissions
3.4. Effect of Carbon Sequestration, Emission Reduction, and Efficiency Enhancement
3.5. Relationship Between Carbon Sequestration, Emission Reduction, Efficiency Enhancement, and Soil Factors
4. Discussion
4.1. Soil Carbon Sequestration
4.2. GHG Emissions
4.3. Paddy Field Efficiency
5. Conclusions
Supplementary Materials
Author Contributions
Funding
Data Availability Statement
Acknowledgments
Conflicts of Interest
References
- Canatoy, R.C.; Jeong, S.T.; Cho, S.R.; Galgo, S.J.C.; Kim, P.J. Importance of biochar as a key amendment to convert rice paddy into carbon negative. Sci. Total Environ. 2023, 873, 162331. [Google Scholar] [CrossRef] [PubMed]
- Novair, S.B.; Cheraghi, M.; Faramarzi, F.; Lajayer, B.A.; Senapathi, V.; Astatkie, T.; Price, G.W. Reviewing the role of biochar in paddy soils: An agricultural and environmental perspective. Ecotoxicol. Environ. Saf. 2023, 263, 115228. [Google Scholar] [CrossRef]
- Maraseni, T.N.; Deo, R.C.; Qu, J.; Gentle, P.; Neupane, P.R. An international comparison of rice consumption behaviours and greenhouse gas emissions from rice production. J. Clean. Prod. 2018, 172, 2288–2300. [Google Scholar] [CrossRef]
- Liu, X.; Zhou, J.; Chi, Z.; Zheng, J.; Li, L.; Zhang, X.; Zheng, J.; Cheng, K.; Bian, R.; Pan, G. Biochar provided limited benefits for rice yield and greenhouse gas mitigation six years following an amendment in a fertile rice paddy. Catena 2019, 179, 20–28. [Google Scholar] [CrossRef]
- Sun, H.; Feng, Y.; Ji, Y.; Shi, W.; Yang, L.; Xing, B. N2O and CH4 emissions from N-fertilized rice paddy soil can be mitigated by wood vinegar application at an appropriate rate. Atmos. Environ. 2018, 185, 153–158. [Google Scholar] [CrossRef]
- Ren, X.; Chen, F.; Ma, T.; Hu, Y. Soil Quality Characteristics as Affected by Continuous Rice Cultivation and Changes in Cropping Systems in South China. Agriculture 2020, 10, 443. [Google Scholar] [CrossRef]
- Bruun, E.W.; Petersen, C.T.; Hansen, E.; Holm, J.K.; Hauggaard-Nielsen, H. Biochar amendment to coarse sandy subsoil improves root growth and increases water retention. Soil Use Manag. 2014, 30, 109–118. [Google Scholar] [CrossRef]
- Lehmann, J. Bio-energy in the black. Front. Ecol. Environ. 2007, 5, 381–387. [Google Scholar] [CrossRef]
- Razzaghi, F.; Obour, P.B.; Arthur, E. Does biochar improve soil water retention? A systematic review and meta-analysis. Geoderma 2020, 361, 114055. [Google Scholar] [CrossRef]
- Hussain, R.; Ravi, K.; Garg, A. Influence of biochar on the soil water retention characteristics (SWRC): Potential application in geotechnical engineering structures. Soil Tillage Res. 2020, 204, 104713. [Google Scholar] [CrossRef]
- Ding, X.; Li, G.; Zhao, X.; Lin, Q.; Wang, X. Biochar application significantly increases soil organic carbon under conservation tillage: An 11-year field experiment. Biochar 2023, 5, 28. [Google Scholar] [CrossRef]
- Bhat, S.A.; Kuriqi, A.; Dar MU, D.; Bhat, O.; Sammen, S.S.; Islam AR, M.T.; Elbeltagi, A.; Shah, O.; Ai-Ansari, N.; Ali, R.; et al. Application of Biochar for Improving Physical, Chemical, and Hydrological Soil Properties: A Systematic Review. Sustainability 2022, 14, 11104. [Google Scholar] [CrossRef]
- Jeffery, S.; Verheijen FG, A.; Kammann, C.; Abalos, D. Biochar effects on methane emissions from soils: A meta-analysis. Soil Biol. Biochem. 2016, 101, 251–258. [Google Scholar] [CrossRef]
- Chen, J.; Liu, X.; Li, L.; Zheng, J.; Qu, J.; Zheng, J.; Zhang, X.; Pan, G. Consistent increase in abundance and diversity but variable change in community composition of bacteria in topsoil of rice paddy under short term biochar treatment across three sites from South China. Appl. Soil Ecol. 2015, 91, 68–79. [Google Scholar] [CrossRef]
- Doulgeris, C.; Kypritidou, Z.; Kinigopoulou, V.; Hatzigiannakis, E. Simulation of Potassium Availability in the Application of Biochar in Agricultural Soil. Agronomy 2023, 13, 784. [Google Scholar] [CrossRef]
- Qin, S.; Rong, F.; Zhang, M.; Su, G.; Wang, W.; Wu, L.; Wu, A.; Chen, F. Biochar Can Partially Substitute Fertilizer for Rice Production in Acid Paddy Field in Southern China. Agronomy 2023, 13, 1304. [Google Scholar] [CrossRef]
- Mosharrof, M.; Uddin, M.K.; Jusop, S.; Sulaiman, M.F.; Shamsuzzaman, S.M.; Haque AN, A. Changes in Acidic Soil Chemical Properties and Carbon Dioxide Emission Due to Biochar and Lime Treatments. Agriculture 2021, 11, 219. [Google Scholar] [CrossRef]
- Solaiman, Z.M.; Shafi, M.I.; Beamont, E.; Anawar, H.M. Poultry Litter Biochar Increases Mycorrhizal Colonisation, Soil Fertility and Cucumber Yield in a Fertigation System on Sandy Soil. Agriculture 2020, 10, 480. [Google Scholar] [CrossRef]
- Faloye, O.T.; Alatise, M.O.; Ajayi, A.E.; Ewulo, B.S. Effects of biochar and inorganic fertiliser applications on growth, yield and water use efficiency of maize under deficit irrigation. Agric. Water Manag. 2019, 217, 165–178. [Google Scholar] [CrossRef]
- Haque AN, A.; Uddin, M.K.; Sulaiman, M.F.; Amin, A.M.; Hossain, M.; Solaiman, Z.M.; Mosharrof, M. Rice Growth Performance, Nutrient Use Efficiency and Changes in Soil Properties Influenced by Biochar under Alternate Wetting and Drying Irrigation. Sustainability 2022, 14, 7977. [Google Scholar] [CrossRef]
- Liu, X.Z.; Wei, Z.H.; Ma, Y.Y.; Liu, J.; Liu, F.L. Effects of biochar amendment and reduced irrigation on growth, physiology, water-use efficiency and nutrients uptake of tobacco (Nicotiana tabacum L.) on two different soil types. Sci. Total Environ. 2021, 770, 144769. [Google Scholar] [CrossRef]
- Singh, S.; Chaturvedi, S.; Nayak, P.; Dhyani, V.C.; Nandipamu TM, K.; Singh, D.K.; Gudapaty, P.; Mathyam, P.; Srinivasrao, K.; Govindaraju, K. Carbon offset potential of biochar based straw management under rice- wheat system along Indo-Gangetic Plains of India. Sci. Total Environ. 2023, 897, 165176. [Google Scholar] [CrossRef]
- Yang, S.; Chen, X.; Jiang, Z.; Ding, J.; Sun, X.; Xu, J. Effects of Biochar Application on Soil Organic Carbon Composition and Enzyme Activity in Paddy Soil under Water-Saving Irrigation. Int. J. Environ. Res. Public Health 2020, 17, 333. [Google Scholar] [CrossRef] [PubMed]
- Linam, F.; Limmer, M.A.; Ebling, A.M.; Seyfferth, A.L. Rice husk and husk biochar soil amendments store soil carbon while water management controls dissolved organic matter chemistry in well-weathered soil. J. Environ. Manag. 2023, 339, 117936. [Google Scholar] [CrossRef] [PubMed]
- Partovi, Z.; Ramezani Etedali, H.; Kaviani, A. Effects of applying biochar and straw on nitrate leaching and maize yield production. Water Environ. J. 2021, 35, 943–950. [Google Scholar] [CrossRef]
- Gao, J.; Shi, Z.; Wu, H.; Lv, J. Fluorescent characteristics of dissolved organic matter released from biochar and paddy soil incorporated with biochar. RSC Adv. 2020, 10, 5785–5793. [Google Scholar] [CrossRef]
- Li, D.; He, H.; Zhou, G.; He, Q.; Yang, S. Rice Yield and Greenhouse Gas Emissions Due to Biochar and Straw Application under Optimal Reduced N Fertilizers in a Double Season Rice Cropping System. Agronomy 2023, 13, 1023. [Google Scholar] [CrossRef]
- Song, H.; Wang, J.; Zhang, K.; Zhang, M.; Hui, R.; Sui, T.; Yang, L.; Du, W.; Dong, Z. A 4-year field measurement of N2O emissions from a maize-wheat rotation system as influenced by partial organic substitution for synthetic fertilizer. J. Environ. Manag. 2020, 263, 110384. [Google Scholar] [CrossRef] [PubMed]
- Wu, Z.; Zhang, X.; Dong, Y.; Xu, X.; Xiong, Z. Microbial explanations for field-aged biochar mitigating greenhouse gas emissions during a rice-growing season. Environ. Sci. Pollut. R. 2018, 25, 31307–31317. [Google Scholar] [CrossRef] [PubMed]
- Walkiewicz, A.; Kalinichenko, K.; Kubaczyński, A.; Brzezińska, M.; Bieganowski, A. Usage of biochar for mitigation of CO2 emission and enhancement of CH4 consumption in forest and orchard Haplic Luvisol (Siltic) soils. Appl. Soil Ecol. 2020, 156, 103711. [Google Scholar] [CrossRef]
- Yang, X.; Shaheen, S.M.; Wang, J.; Hou, D.; Ok, Y.S.; Wang, S.-L.; Wang, H.; Rinklebe, J. Elucidating the redox-driven dynamic interactions between arsenic and iron-impregnated biochar in a paddy soil using geochemical and spectroscopic techniques. J. Hazard. Mate. 2022, 422, 126808. [Google Scholar] [CrossRef]
- Shaukat, M.; Samoy-Pascual, K.; Maas, E.D.V.L.; Ahmad, A. Simultaneous effects of biochar and nitrogen fertilization on nitrous oxide and methane emissions from paddy rice. J. Environ. Manag. 2019, 248, 109242. [Google Scholar] [CrossRef] [PubMed]
- Binh Thanh, N.; Nam Ngoc, T.; Quang-Vu, B. Methane emissions and associated microbial activities from paddy salt-affected soil as influenced by biochar and cow manure addition. Appl. Soil Ecol. 2020, 152, 103531. [Google Scholar]
- Fu, Q.; Zhao, H.; Li, T.; Hou, R.; Liu, D.; Ji, Y.; Zhou, Z.; Yang, L. Effects of biochar addition on soil hydraulic properties before and after freezing-thawing. Catena 2019, 176, 112–124. [Google Scholar] [CrossRef]
- Liao, B.; Cai, T.; Wu, X.; Luo, Y.; Liao, P.; Zhang, B.; Zhang, Y.; Wei, G.; Hu, R.; Luo, Y.; et al. A combination of organic fertilizers partially substitution with alternate wet and dry irrigation could further reduce greenhouse gases emission in rice field. J. Environ. Manag. 2023, 344, 118372. [Google Scholar] [CrossRef]
- Wang, H.; Shao, D.; Ji, B.; Gu, W.; Yao, M. Biochar effects on soil properties, water movement and irrigation water use efficiency of cultivated land in Qinghai-Tibet Plateau. Sci. Total Environ. 2022, 829, 154520. [Google Scholar] [CrossRef]
- Blair, G.J.; Lefroy, R.D.B.; Lise, L. Soil carbon fractions based on their degree of oxidation, and the development of a carbon management index for agrucultural systems. Aust. J. Agric. Res. 1995, 46, 1459–1466. [Google Scholar] [CrossRef]
- IPCC Climate Change 2021: The Physical Science Basis; Cambridge University Press: Cambridge, MA, USA, 2021.
- Durán, J.; Morse, J.L.; Groffman, P.M.; Campbell, J.L.; Christenson, L.M.; Driscoll, C.T.; Fahey, T.J.; Fisk, M.C.; Mitchell, M.J.; Templer, P.H. Winter climate change affects growing-season soil microbial biomass and activity in northern hardwood forests. Glob. Chang. Biol. 2015, 20, 3568–3577. [Google Scholar] [CrossRef] [PubMed]
- Zanutel, M.; Garre, S.; Sanglier, P.; Bielders, C. Biochar modifies soil physical properties mostly through changes in soil structure rather than through its internal porosity. Vadose Zone J. 2024, 23, e20301. [Google Scholar] [CrossRef]
- Liu, Y.L.; Ge, T.D.; van Groenigen, K.J.; Yang, Y.H.; Wang, P.; Cheng, K.; Zhu, Z.K.; Wang, J.K.; Li, Y.; Guggenberger, G.; et al. Rice paddy soils are a quantitatively important carbon store according to a global synthesis. Commun. Earth Environ. 2021, 2, 154. [Google Scholar] [CrossRef]
- Sharma, S.; Singh, P.; Kumar, S. Responses of Soil Carbon Pools, Enzymatic Activity, and Crop Yields to Nitrogen and Straw Incorporation in a Rice-Wheat Cropping System in North-Western India. Front. Sustain. Food Syst. 2020, 4, 532704. [Google Scholar] [CrossRef]
- Yin, Y.F.; He, X.H.; Gao, R.; Ma, H.L.; Yang, Y.S. Effects of Rice Straw and Its Biochar Addition on Soil Labile Carbon and Soil Organic Carbon. J. Integr. Agric. 2014, 13, 491–498. [Google Scholar] [CrossRef]
- Matsuda, S.; Nakamura, K.; Tran, H.; Le Xuan, Q.; Haruhiko, H.; Pham Thanh, H.; Nguyen Dang, H.; Hama, T. Paddy ponding water management to reduce methane emission based on observations of methane fluxes and soil redox potential in the Red River Delta, Vietnam*. Irrig. Drain. 2022, 71, 241–254. [Google Scholar] [CrossRef]
- Yargicoglu, E.N.; Reddy, K.R. Effects of biochar and wood pellets amendments added to landfill cover soil on microbial methane oxidation: A laboratory column study. J. Environ. Manag. 2017, 193, 19–31. [Google Scholar] [CrossRef]
- Nan, Q.; Xin, L.; Qin, Y.; Waqas, M.; Wu, W. Exploring long-term effects of biochar on mitigating methane emissions from paddy soil: A review. Biochar 2021, 3, 125–134. [Google Scholar] [CrossRef]
- Yangjin, D.; Wu, X.; Bai, H.; Gu, J. A meta-analysis of management practices for simultaneously mitigating N2O and NO emissions from agricultural soils. Soil Tillage Res. 2021, 213, 105142. [Google Scholar] [CrossRef]
- Bolan, N.; Sarmah, A.K.; Bordoloi, S.; Bolan, S.; Padhye, L.P.; Van Zwieten, L.; Sooriyakumar, P.; Khan, B.A.; Ahmad, M.; Solaiman, Z.M.; et al. Soil acidification and the liming potential of biochar. Environ. Pollut. 2023, 317, 120632. [Google Scholar] [CrossRef]
- Igalavithana, A.D.; Ok, Y.S.; Niazi, N.K.; Rizwan, M.; Al-Wabel, M.I.; Usman AR, A.; Moon, D.H.; Lee, S.S. Effect of Corn Residue Biochar on the Hydraulic Properties of Sandy Loam Soil. Sustainability 2017, 9, 266. [Google Scholar] [CrossRef]
- Dexter, A.R. Soil physical quality—Part I. Theory, effects of soil texture, density, and organic matter, and effects on root growth. Geoderma 2004, 120, 201–214. [Google Scholar] [CrossRef]
- Driesen, E.; van den Ende, W.; De Proft, M.; Saeys, W. Influence of Environmental Factors Light, CO2, Temperature, and Relative Humidity on Stomatal Opening and Development: A Review. Agronomy 2020, 10, 1975. [Google Scholar] [CrossRef]
- Purakayastha, T.J.; Bera, T.; Bhaduri, D.; Sarkar, B.; Mandal, S.; Wade, P.; Kumari, S.; Biswas, S.; Menon, M.; Pathak, H.; et al. A review on biochar modulated soil condition improvements and nutrient dynamics concerning crop yields: Pathways to climate change mitigation and global food security. Chemosphere 2019, 227, 345–365. [Google Scholar] [CrossRef] [PubMed]
- Si, L.; Xie, Y.; Ma, Q.; Wu, L. The Short-Term Effects of Rice Straw Biochar, Nitrogen and Phosphorus Fertilizer on Rice Yield and Soil Properties in a Cold Waterlogged Paddy Field. Sustainability 2018, 10, 537. [Google Scholar] [CrossRef]









| Parameters | Soil | Biochar |
|---|---|---|
| Sand (%) | 21.16 ± 1.08 | – |
| Silt (%) | 64.11 ± 4.79 | – |
| Clay (%) | 14.73 ± 0.38 | – |
| Bulk density (g·cm−3) | 1.59 ± 0.033 | – |
| Organic matter content (g·kg−1) | 7.31 ± 0.27 | – |
| pH | 6.65 ± 0.09 | 9.14 ± 0.10 |
| C mass fraction (%) | – | 68.60 ± 3.12 |
| H mass fraction (%) | – | 2.13 ± 0.18 |
| N mass fraction (%) | – | 1.28 ± 0.13 |
| S mass fraction (%) | – | 0.67 ± 0.05 |
| Ash content (%) | – | 25.18 ± 3.96 |
| Particle size range (mm) | – | 1.5–2.0 |
| Parameters | CK | BC1.5 | BC3 | BC4.5 | BC6 |
|---|---|---|---|---|---|
| Bulk density (ρb) (g·cm−3) | 1.59 ± 0.16 a | 1.53 ± 0.15 b | 1.52 ± 0.15 b | 1.48 ± 0.14 c | 1.50 ± 0.15 c |
| porosity (P) (%) | 40.11 ± 2.01 c | 42.12 ± 2.11 b | 42.66 ± 2.13 b | 44.11 ± 2.21 a | 43.57 ± 2.18 ab |
| Sand (%) | 21.16 ± 1.06 c | 21.93 ± 1.10 c | 22.26 ± 1.11 b | 22.62 ± 1.13 b | 23.00 ±1.15 a |
| Silt (%) | 14.73 ± 0.74 c | 15.10 ± 0.75 c | 16.20 ± 0.81 b | 17.20 ± 0.86 ab | 18.03 ± 0.90 a |
| Clay (%) | 64.11 ± 3.21 a | 62.97 ± 3.15 b | 61.55 ± 3.08 b | 60.18 ± 3.01 c | 58.97 ± 2.95 d |
| Saturated water content (θs) (%) | 35.99 ± 1.80 d | 37.02 ± 1.85 c | 38.44 ± 1.92 b | 39.84 ± 1.99 a | 39.19 ± 1.96 a |
| Field capacity (θf) (%) | 28.30 ± 1.42 c | 29.61 ± 1.48 bc | 30.71 ± 1.54 b | 32.16 ± 1.61 a | 31.49 ± 1.57 ab |
| Residual water content (θr) (%) | 6.09 ± 0.61 a | 6.03 ± 0.60 ab | 5.77 ± 0.58 b | 5.57 ± 0.56 c | 5.37 ± 0.54 d |
| CPI | A | AI | CPMI | SCS (kg·m−2) | SNR (kg·m−2) | |
|---|---|---|---|---|---|---|
| CK | 1.00 ± 0.05 d | 0.16 ± 0.02 d | 1.00 ± 0.05 d | 100.00 ± 5.00 d | 0.2833 ± 0.0142 d | −0.1053 ± 0.0053 d |
| BC1.5 | 1.12 ± 0.06 d | 0.17 ± 0.01 d | 1.10 ± 0.05 d | 123.00 ± 6.15 d | 0.3481 ± 0.0174 c | −0.0872 ± 0.0044 c |
| BC3 | 1.53 ± 0.08 c | 0.20 ± 0.02 c | 1.28 ± 0.06 c | 196.03 ± 9.80 c | 0.3986 ± 0.0199 c | −0.0797 ± 0.0040 b |
| BC4.5 | 1.82 ± 0.09 a | 0.26 ± 0.03 a | 1.64 ± 0.08 a | 298.26 ± 14.91 a | 0.4858 ± 0.0243 b | −0.0631 ± 0.0032 a |
| BC6 | 1.68 ± 0.08 b | 0.22 ± 0.02 b | 1.42 ± 0.07 b | 237.80 ± 11.89 b | 0.5313 ± 0.0266 a | −0.0721 ± 0.0036 b |
Disclaimer/Publisher’s Note: The statements, opinions and data contained in all publications are solely those of the individual author(s) and contributor(s) and not of MDPI and/or the editor(s). MDPI and/or the editor(s) disclaim responsibility for any injury to people or property resulting from any ideas, methods, instructions or products referred to in the content. |
© 2024 by the authors. Licensee MDPI, Basel, Switzerland. This article is an open access article distributed under the terms and conditions of the Creative Commons Attribution (CC BY) license (https://creativecommons.org/licenses/by/4.0/).
Share and Cite
Wang, H.; Dong, W.; Shao, D.; Liu, L.; Liao, B.; Gu, W.; Tang, C.; Liu, J.; Hu, W.; Feng, J.; et al. Biochar Enhances Paddy Productivity, Carbon Sequestration, and Reduces Greenhouse Gas Emissions in the Middle Yangtze River Region. Agronomy 2024, 14, 3067. https://doi.org/10.3390/agronomy14123067
Wang H, Dong W, Shao D, Liu L, Liao B, Gu W, Tang C, Liu J, Hu W, Feng J, et al. Biochar Enhances Paddy Productivity, Carbon Sequestration, and Reduces Greenhouse Gas Emissions in the Middle Yangtze River Region. Agronomy. 2024; 14(12):3067. https://doi.org/10.3390/agronomy14123067
Chicago/Turabian StyleWang, He, Wei Dong, Dongguo Shao, Luguang Liu, Bin Liao, Wenquan Gu, Chi Tang, Jie Liu, Wentong Hu, Jinping Feng, and et al. 2024. "Biochar Enhances Paddy Productivity, Carbon Sequestration, and Reduces Greenhouse Gas Emissions in the Middle Yangtze River Region" Agronomy 14, no. 12: 3067. https://doi.org/10.3390/agronomy14123067
APA StyleWang, H., Dong, W., Shao, D., Liu, L., Liao, B., Gu, W., Tang, C., Liu, J., Hu, W., Feng, J., & Huang, J. (2024). Biochar Enhances Paddy Productivity, Carbon Sequestration, and Reduces Greenhouse Gas Emissions in the Middle Yangtze River Region. Agronomy, 14(12), 3067. https://doi.org/10.3390/agronomy14123067

