The Application of Kitchen Waste Changed the Community Structure and Composition of AOA and AOB by Affecting the pH and Soil Organic Carbon of Red Soil
Abstract
1. Introduction
2. Materials and Methods
2.1. Overview of the Study Area
2.2. Experimental Design
2.3. Sample Collection
2.4. Chemical Property Analysis
2.5. DNA Extraction and Analysis
- (1)
- Cutadapt (Version 1.18.) was used to remove Read1 3′ sequencing primer adaptor AGATCGGAAGAGCACACGTCTGAACTCCAGTCA and Read2 3′ sequencing primer adaptor AGATCGGAAGAGCGTCGTGTAGGGAAAGAGTGT;
- (2)
- According to the overlap relationship between PE reads, PEAR (Version 0.9.8.) is used to splice paired reads into a sequence;
- (3)
- According to the barcode sequence and primer sequence of each sample, the sample data are segmented from the spliced data, and the sequence direction is corrected;
- (4)
- PRINSEQ (Version 0.20.4) was used to remove the bases with a mass value below 20 in the tail of reads, and a 10 bp window was set. If the average mass value in the window was less than 20, the back–end bases were cut off from the window, and the N–containing sequences and short sequences after quality control were filtered, and finally the low–complexity sequences were filtered out.
- (1)
- The non–repetitive sequence is extracted from the optimized sequence of each sample, which is convenient to reduce the redundant calculation amount of the analysis intermediate process (http://drive5.com/usearch/manual/cmd_fastx_uniques.html, accessed on 2 April 2024);
- (2)
- All samples to remove redundant sequences after the merger to remove the single sequence without duplication (http://drive5.com/usearch/manual/singletons.html, accessed on 8 April 2024);
- (3)
- OTU clustering is performed on non–repeat sequences (excluding single sequences) according to 97% similarity. Chimeras are removed during the clustering process to obtain the representative sequence of OTU (http://drive5.com/usearch/manual/cmd_cluster_otus.html, accessed on 14 April 2024);
- (4)
- All the optimized sequences are aligned to the OTU representative sequences, and the sequences with more than 97% similarity to the representative sequences are selected to generate the OTU table (https://drive5.com/usearch/manual/, accessed on 19 April 2024).
2.6. Data Processing and Analysis
3. Results
3.1. Soil Chemical Properties
3.2. Soil AOA and AOB Community Structure
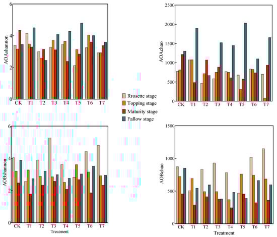
3.2.1. α–Diversity
3.2.2. β–Diversity
3.3. Soil AOA and AOB Community Composition
3.4. Soil AOA and AOB Co–Occurrence Network
3.5. Relationship Between the Soil AOA and AOB Community Structure and Soil Chemical Properties
4. Discussion
4.1. Effect of Kitchen Waste on Soil Chemical Properties
4.2. Effects of Kitchen Waste on the Community Structure and Composition of AOA and AOB
4.3. The Relationship Between AOA, AOB, and Soil Chemical Properties
5. Conclusions
Supplementary Materials
Author Contributions
Funding
Data Availability Statement
Acknowledgments
Conflicts of Interest
References
- Jianghao, H.; Yuhong, P.; Li, L.; Jinsong, L.; Linyu, W.; Hongtao, Z.; Panyue, Z. High salinity slowed organic acid production from acidogenic fermentation of kitchen wastewater by shaping functional bacterial community. J. Environ. Manag. 2022, 310, 114765. [Google Scholar] [CrossRef]
- Han, L.; Li, L.; Xu, X.; Ye, W.; Zhang, F.; Xu, Y.; Peng, X.; Zhen, F. Utilization of short–term high temperature pretreatment for food waste composting: Effects of end–products on soil properties and plant growth. J. Clean. Prod. 2024, 438, 140790. [Google Scholar] [CrossRef]
- Manu, M.; Li, D.; Liwen, L.; Jun, Z.; Varjani, S.; Wong, J.W. A review on nitrogen dynamics and mitigation strategies of food waste digestate composting. Bioresour. Technol. 2021, 334, 125032. [Google Scholar] [CrossRef] [PubMed]
- Mi, H.; Shen, C.; Ding, T.; Zheng, X.; Tang, J.; Lin, H.; Zhou, S. Identifying the role of array electrodes in improving the compost quality of food waste during electric field–assisted aerobic composting. Bioresour. Technol. 2023, 388, 129763. [Google Scholar] [CrossRef] [PubMed]
- Verma, S.; Awasthi, M.K.; Liu, T.; Awasthi, S.K.; Syed, A.; Bahkali, A.H.; Verma, M.; Zhang, Z. Influence of biochar on succession of fungal communities during food waste composting. Bioresour. Technol. 2023, 385, 129437. [Google Scholar] [CrossRef] [PubMed]
- Chen, Z.; Zhang, S.; Li, Y.; Wang, Y. Characteristics of denitrification activity, functional genes, and denitrifying community composition in the composting process of kitchen and garden waste. Bioresour. Technol. 2023, 381, 129137. [Google Scholar] [CrossRef] [PubMed]
- Zhao, J.; Bello, M.O.; Meng, Y.; Prosser, J.I.; Gubry-Rangin, C. Selective inhibition of ammonia oxidising archaea by simvastatin stimulates growth of ammonia oxidising bacteria. Soil Biol. Biochem. 2020, 141, 107673. [Google Scholar] [CrossRef]
- Kaur-Bhambra, J.; Wardak, D.L.; Prosser, J.I.; Gubry-Rangin, C. Revisiting plant biological nitrification inhibition efficiency using multiple archaeal and bacterial ammonia–oxidising cultures. Biol. Fertil. Soils 2022, 58, 241–249. [Google Scholar] [CrossRef]
- Kong, D.; Zhang, X.; Yu, Q.; Jin, Y.; Jiang, P.; Wu, S.; Liu, S.; Zou, J. Mitigation of N2O emissions in water–saving paddy fields: Evaluating organic fertilizer substitution and microbial mechanisms. J. Integr. Agric. 2024, 23, 3159–3173. [Google Scholar] [CrossRef]
- Jain, M.S.; Kalamdhad, A.S. Soil revitalization via waste utilization: Compost effects on soil organic properties, nutritional, sorption and physical properties. Environ. Technol. Innov. 2020, 18, 100668. [Google Scholar] [CrossRef]
- Willekens, K.; Vandecasteele, B.; Buchan, D.; De Neve, S. Soil quality is positively affected by reduced tillage and compost in an intensive vegetable cropping system. Appl. Soil Ecol. 2014, 82, 61–71. [Google Scholar] [CrossRef]
- Zhang, X.; Song, Y.; Yang, X.; Hu, C.; Wang, K. Regulation of soil enzyme activity and bacterial communities by food waste compost application during field tobacco cultivation cycle. Appl. Soil Ecol. 2023, 192, 105016. [Google Scholar] [CrossRef]
- Kabato, W.; Ergudo, T.; Mutum, L.; Janda, T.; Molnár, Z. Correction to: Response of wheat to combined application of nitrogen and phosphorus along with compost. J. Crop Sci. Biotechnol. 2022, 25, 621. [Google Scholar] [CrossRef]
- Sun, R.; Myrold, D.D.; Wang, D.; Guo, X.; Chu, H. AOA and AOB communities respond differently to changes of soil pH under long–term fertilization. Soil Ecol. Lett. 2019, 1, 126–135. [Google Scholar] [CrossRef]
- Zeng, J.; Zhao, D.; Yu, Z.; Huang, R.; Wu, Q.L. Temperature responses of ammonia–oxidizing prokaryotes in freshwater sediment microcosms. PLoS ONE 2014, 9, e100653. [Google Scholar] [CrossRef] [PubMed]
- Wang, F.; Liang, X.; Ma, S.; Liu, L.; Wang, J. Ammonia–oxidizing archaea are dominant over comammox in soil nitrification under long–term nitrogen fertilization. J. Soils Sediments 2021, 21, 1800–1814. [Google Scholar] [CrossRef]
- Li, Y.; Chapman, S.J.; Nicol, G.W.; Yao, H. Nitrification and nitrifiers in acidic soils. Soil Biol. Biochem. 2018, 116, 290–301. [Google Scholar] [CrossRef]
- Huang, X.; Zhao, J.; Su, J.; Jia, Z.; Shi, X.; Wright, A.L.; Zhu-Barker, X.; Jiang, X. Neutrophilic bacteria are responsible for autotrophic ammonia oxidation in an acidic forest soil. Soil Biol. Biochem. 2018, 119, 83–89. [Google Scholar] [CrossRef]
- Yu, C.; Huang, X.; Chen, H.; Godfray, H.C.J.; Wright, J.S.; Hall, J.W.; Gong, P.; Ni, S.; Qiao, S.; Huang, G. Managing nitrogen to restore water quality in China. Nature 2019, 567, 516–520. [Google Scholar] [CrossRef]
- Ali, S.; Kailou, L.; Ahmed, W.; Hayatu, N.; Daba, N.; Maitlo, A.A.; Zhe, S.; Jiwen, L.; Jing, H.; Huimin, Z. Gross nitrogen mineralization and nitrification at an optimal phosphorus input level in southern Chinese red soil with long–term fertilization. Soil Tillage Res. 2023, 230, 105710. [Google Scholar] [CrossRef]
- Runsheng, X.; Aiwu, Z.; Qingman, L.; Kong, X.-l.; Guoliang, J. Acidity regime of the Red Soils in a subtropical region of southern China under field conditions. Geoderma 2003, 115, 75–84. [Google Scholar] [CrossRef]
- Li, P.; Wu, M.; Kang, G.; Zhu, B.; Li, H.; Hu, F.; Jiao, J. Soil quality response to organic amendments on dryland red soil in subtropical China. Geoderma 2020, 373, 114416. [Google Scholar] [CrossRef]
- Da-Jiong, L.; Jiaen, Z.; Ying, O.; Huang, Q.-C. Role of Simulated Acid Rain on Cations, Phosphorus, and Organic Matter Dynamics in Latosol. Arch. Environ. Contam. Toxicol. 2006, 52, 16–21. [Google Scholar] [CrossRef]
- Wenju, Z.; Minggang, X.; Boren, W.; Xiujun, W. Soil organic carbon, total nitrogen and grain yields under long–term fertilizations in the upland red soil of southern China. Nutr. Cycl. Agroecosyst. 2008, 84, 59–69. [Google Scholar] [CrossRef]
- Zhang, X.; Li, Z.; Zeng, G.; Xia, X.; Yang, L.; Wu, J. Erosion effects on soil properties of the unique red soil hilly region of the economic development zone in southern China. Environ. Earth Sci. 2012, 67, 1725–1734. [Google Scholar] [CrossRef]
- Liu, Y.-J.; Hu, J.-M.; Wang, T.-W.; Cai, C.-F.; Li, Z.-X.; Zhang, Y. Effects of vegetation cover and road–concentrated flow on hillslope erosion in rainfall and scouring simulation tests in the Three Gorges Reservoir Area, China. Catena 2016, 136, 108–117. [Google Scholar] [CrossRef]
- ISO 11261:1995; Soil Quality–Determination of Total Nitrogen–Modified Kjeldahl Method. International Organization for Standardization (ISO): Geneva, Switzerland, 1995.
- Bao, S.D. Soil and Agricultural Chemistry Analysis, 3rd ed.; China Agricultural Press: Beijing, China, 2000; (Source from China). [Google Scholar]
- Sun, X.; Wang, G.; Ma, Q.; Liao, J.; Wang, D.; Guan, Q.; Jones, D.L. Organic mulching promotes soil organic carbon accumulation to deep soil layer in an urban plantation forest. For. Ecosyst. 2021, 8, 1–11. [Google Scholar] [CrossRef]
- Azis, F.A.; Choo, M.; Suhaimi, H.; Abas, P.E. The Effect of initial carbon to nitrogen ratio on kitchen waste composting maturity. Sustainability 2023, 15, 6191. [Google Scholar] [CrossRef]
- Pinggera, J.; Geisseler, D.; Piepho, H.-P.; Joergensen, R.G.; Ludwig, B. Effect of substrate quality on the N uptake routes of soil microorganisms in different soil depths. Pedobiologia 2015, 58, 211–218. [Google Scholar] [CrossRef]
- Gao, Y.; Wang, J.; Ge, Y.; Lei, Y.; Wei, X.; Xu, Y.; Zheng, X. Partial substitution of nitrogen fertilizers by organic products of rural waste co–composting impacts on farmland soil quality. Environ. Technol. Innov. 2024, 33, 103470. [Google Scholar] [CrossRef]
- Aguilar-Paredes, A.; Valdés, G.; Araneda, N.; Valdebenito, E.; Hansen, F.; Nuti, M. Microbial community in the composting process and its positive impact on the soil biota in sustainable agriculture. Agronomy 2023, 13, 542. [Google Scholar] [CrossRef]
- Hao, H.; Wang, R.; Li, S.; Pian, D.; Peng, N.; Sailike, A.; Yu, Z.; Shi, J.; Wang, X.; Wang, Z. Different contributions of microbial and plant residues to soil organic carbon accumulation during planted forest and abandoned farmland restoration, Loess Plateau, China. Plant Soil 2024, 1–18. [Google Scholar] [CrossRef]
- Zhang, D.; Wen, C.; Wang, K.; Song, Y.; Chen, W.; Chen, B. Effects of kitchen waste application on nitrogen and phosphorus balance characteristics of flue–cured tobacco farmland ecosystem in central Yunnan under erosive rainfall. Res. Soil Water Conserv. 2025, 32, 1–11, (Source: China National Knowledge Infrastructure CNKI). [Google Scholar] [CrossRef]
- Chen, Q.-L.; Ding, J.; Li, C.-Y.; Yan, Z.-Z.; He, J.-Z.; Hu, H.-W. Microbial functional attributes, rather than taxonomic attributes, drive top soil respiration, nitrification and denitrification processes. Sci. Total Environ. 2020, 734, 139479. [Google Scholar] [CrossRef]
- Wu, X.; Zhang, W.; Liu, G.; Chen, T.; Li, Z. Changes in Diversity and Abundance of Ammonia-Oxidizing Archaea and Bacteria along a Glacier Retreating Chronosequence in the Tianshan Mountains, China. Microorganisms 2023, 11, 2871. [Google Scholar] [CrossRef] [PubMed]
- Tang, H.; Yan, K.; Zhang, L.; Chi, F.; Li, Q.; Lian, S.; Wei, D. Diversity analysis of nitrite reductase genes (nirS) in black soil under different long–term fertilization conditions. Ann. Microbiol. 2010, 60, 97–104. [Google Scholar] [CrossRef]
- Yang, K.; Luo, S.; Hu, L.; Chen, B.; Xie, Z.; Ma, B.; Ma, W.; Du, G.; Ma, X.; Le Roux, X. Responses of soil ammonia–oxidizing bacteria and archaea diversity to N, P and NP fertilization: Relationships with soil environmental variables and plant community diversity. Soil Biol. Biochem. 2020, 145, 107795. [Google Scholar] [CrossRef]
- Assémien, F.L.; Pommier, T.; Gonnety, J.T.; Gervaix, J.; Le Roux, X. Adaptation of soil nitrifiers to very low nitrogen level jeopardizes the efficiency of chemical fertilization in west african moist savannas. Sci. Rep. 2017, 7, 10275. [Google Scholar] [CrossRef] [PubMed]
- Liu, H.; Qin, S.; Li, Y.; Zhao, P.; Nie, Z.; Liu, H. Comammox Nitrospira and AOB communities are more sensitive than AOA community to different fertilization strategies in a fluvo–aquic soil. Agric. Ecosyst. Environ. 2023, 342, 108224. [Google Scholar] [CrossRef]
- Delgado-Baquerizo, M.; Maestre, F.T.; Reich, P.B.; Jeffries, T.C.; Gaitan, J.J.; Encinar, D.; Berdugo, M.; Campbell, C.D.; Singh, B.K. Microbial diversity drives multifunctionality in terrestrial ecosystems. Nat. Commun. 2016, 7, 10541. [Google Scholar] [CrossRef]
- Lehtovirta-Morley, L.E.; Stoecker, K.; Vilcinskas, A.; Prosser, J.I.; Nicol, G.W. Cultivation of an obligate acidophilic ammonia oxidizer from a nitrifying acid soil. Proc. Natl. Acad. Sci. USA 2011, 108, 15892–15897. [Google Scholar] [CrossRef] [PubMed]
- Lu, J.; Hong, Y.; Wei, Y.; Gu, J.-D.; Wu, J.; Wang, Y.; Ye, F.; Lin, J.-G. Nitrification mainly driven by ammonia–oxidizing bacteria and nitrite–oxidizing bacteria in an anammox–inoculated wastewater treatment system. AMB Express 2021, 11, 158. [Google Scholar] [CrossRef]
- Clark, I.M.; Hughes, D.J.; Fu, Q.; Abadie, M.; Hirsch, P.R. Metagenomic approaches reveal differences in genetic diversity and relative abundance of nitrifying bacteria and archaea in contrasting soils. Sci. Rep. 2021, 11, 15905. [Google Scholar] [CrossRef] [PubMed]
- Prosser, J.I.; Nicol, G.W. Archaeal and bacterial ammonia–oxidisers in soil: The quest for niche specialisation and differentiation. Trends Microbiol. 2012, 20, 523–531. [Google Scholar] [CrossRef]
- Yang, X.; Wu, Y.; Shu, L.; Gu, H.; Liu, F.; Ding, J.; Zeng, J.; Wang, C.; He, Z.; Xu, M. Unraveling the important role of comammox Nitrospira to nitrification in the coastal aquaculture system. Front. Microbiol. 2024, 15, 1355859. [Google Scholar] [CrossRef] [PubMed]
- De Vries, F.T.; Griffiths, R.I.; Bailey, M.; Craig, H.; Girlanda, M.; Gweon, H.S.; Hallin, S.; Kaisermann, A.; Keith, A.M.; Kretzschmar, M. Soil bacterial networks are less stable under drought than fungal networks. Nat. Commun. 2018, 9, 3033. [Google Scholar] [CrossRef] [PubMed]
- Gao, C.; Xu, L.; Montoya, L.; Madera, M.; Hollingsworth, J.; Chen, L.; Purdom, E.; Singan, V.; Vogel, J.; Hutmacher, R. Co–occurrence networks reveal more complexity than community composition in resistance and resilience of microbial communities. Nat. Commun. 2022, 13, 3867. [Google Scholar] [CrossRef]
- Newman, M.E. Modularity and community structure in networks. Proc. Natl. Acad. Sci. USA 2006, 103, 8577–8582. [Google Scholar] [CrossRef]
- Berry, D.; Widder, S. Deciphering microbial interactions and detecting keystone species with co–occurrence networks. Front. Microbiol. 2014, 5, 219. [Google Scholar] [CrossRef]
- Lehtovirta-Morley, L.E. Ammonia oxidation: Ecology, physiology, biochemistry and why they must all come together. FEMS Microbiol. Lett. 2018, 365, fny058. [Google Scholar] [CrossRef] [PubMed]
- Sun, J.; Rengel, Z.; Zhou, Y.; Li, H.; Zhang, A. Ammonia–oxidizing archaea bacteria (AOB) and comammox drive the nitrification in alkaline soil under long–term biochar and N fertilizer applications. Appl. Soil Ecol. 2024, 193, 105124. [Google Scholar] [CrossRef]
- Xiao, R.; Ran, W.; Hu, S.; Guo, H. The response of ammonia oxidizing archaea and bacteria in relation to heterotrophs under different carbon and nitrogen amendments in two agricultural soils. Appl. Soil Ecol. 2021, 158, 103812. [Google Scholar] [CrossRef]
- Di, H.J.; Cameron, K.C.; Shen, J.-P.; Winefield, C.S.; O’Callaghan, M.; Bowatte, S.; He, J.-Z. Ammonia–oxidizing bacteria and archaea grow under contrasting soil nitrogen conditions. FEMS Microbiol. Ecol. 2010, 72, 386–394. [Google Scholar] [CrossRef] [PubMed]
- Martens-Habbena, W.; Berube, P.M.; Urakawa, H.; de La Torre, J.R.; Stahl, D.A. Ammonia oxidation kinetics determine niche separation of nitrifying Archaea and Bacteria. Nature 2009, 461, 976–979. [Google Scholar] [CrossRef]
- Yao, H.; Campbell, C.D.; Chapman, S.J.; Freitag, T.E.; Nicol, G.W.; Singh, B.K. Multi–factorial drivers of ammonia oxidizer communities: Evidence from a national soil survey. Environ. Microbiol. 2013, 15, 2545–2556. [Google Scholar] [CrossRef]









| Treatment | Base Fertilizer (Chemical Fertilizer) | Base Fertilizer (Kitchen Waste) | Tiller Fertilizer | Additional Fertilizer | Converted to Pure Nitrogen | Converted to Pure Phosphorus |
|---|---|---|---|---|---|---|
| CK | 0 | 0 | 0.3 | 0.45 | 0.117 | 0.009 |
| T1 | 1 | 0 | 0.3 | 0.45 | 0.237 | 0.022 |
| T2 | 1 | 12 | 0.3 | 0.45 | 0.416 | 0.027 |
| T3 | 1 | 15 | 0.3 | 0.45 | 0.506 | 0.028 |
| T4 | 1 | 18 | 0.3 | 0.45 | 0.560 | 0.029 |
| T5 | 0 | 12 | 0.3 | 0.45 | 0.296 | 0.014 |
| T6 | 0 | 15 | 0.3 | 0.45 | 0.386 | 0.015 |
| T7 | 0 | 18 | 0.3 | 0.45 | 0.440 | 0.016 |
Disclaimer/Publisher’s Note: The statements, opinions and data contained in all publications are solely those of the individual author(s) and contributor(s) and not of MDPI and/or the editor(s). MDPI and/or the editor(s) disclaim responsibility for any injury to people or property resulting from any ideas, methods, instructions or products referred to in the content. |
© 2024 by the authors. Licensee MDPI, Basel, Switzerland. This article is an open access article distributed under the terms and conditions of the Creative Commons Attribution (CC BY) license (https://creativecommons.org/licenses/by/4.0/).
Share and Cite
Zhang, D.; Chen, W.; Wen, C.; Hou, Z.; Wang, K.; Song, Y. The Application of Kitchen Waste Changed the Community Structure and Composition of AOA and AOB by Affecting the pH and Soil Organic Carbon of Red Soil. Agronomy 2024, 14, 3053. https://doi.org/10.3390/agronomy14123053
Zhang D, Chen W, Wen C, Hou Z, Wang K, Song Y. The Application of Kitchen Waste Changed the Community Structure and Composition of AOA and AOB by Affecting the pH and Soil Organic Carbon of Red Soil. Agronomy. 2024; 14(12):3053. https://doi.org/10.3390/agronomy14123053
Chicago/Turabian StyleZhang, Donghui, Wen Chen, Changtao Wen, Zheng Hou, Keqin Wang, and Yali Song. 2024. "The Application of Kitchen Waste Changed the Community Structure and Composition of AOA and AOB by Affecting the pH and Soil Organic Carbon of Red Soil" Agronomy 14, no. 12: 3053. https://doi.org/10.3390/agronomy14123053
APA StyleZhang, D., Chen, W., Wen, C., Hou, Z., Wang, K., & Song, Y. (2024). The Application of Kitchen Waste Changed the Community Structure and Composition of AOA and AOB by Affecting the pH and Soil Organic Carbon of Red Soil. Agronomy, 14(12), 3053. https://doi.org/10.3390/agronomy14123053

