Morpho-Physiological Responses of Shade-Loving Fern Polystichum spp. to Single and Combined Lead and Light Stress
Abstract
1. Introduction
2. Materials and Methods
2.1. Plant Material, Treatments, and Growing Conditions
2.2. Evaluation of Visual Score and Morphometric Parameters
2.3. Determination of Photosynthetic Pigments Content
2.4. Preparation of Extracts
2.5. Determination of Reducing Sugars Content
2.6. Determination of Free Amino Acids
2.7. Determination of Total Polyphenols Content
2.8. Determination of Total Flavonoids Content
2.9. Determination of Antioxidant Activity
2.10. Determination of Pb Content
2.11. Statistical Analysis
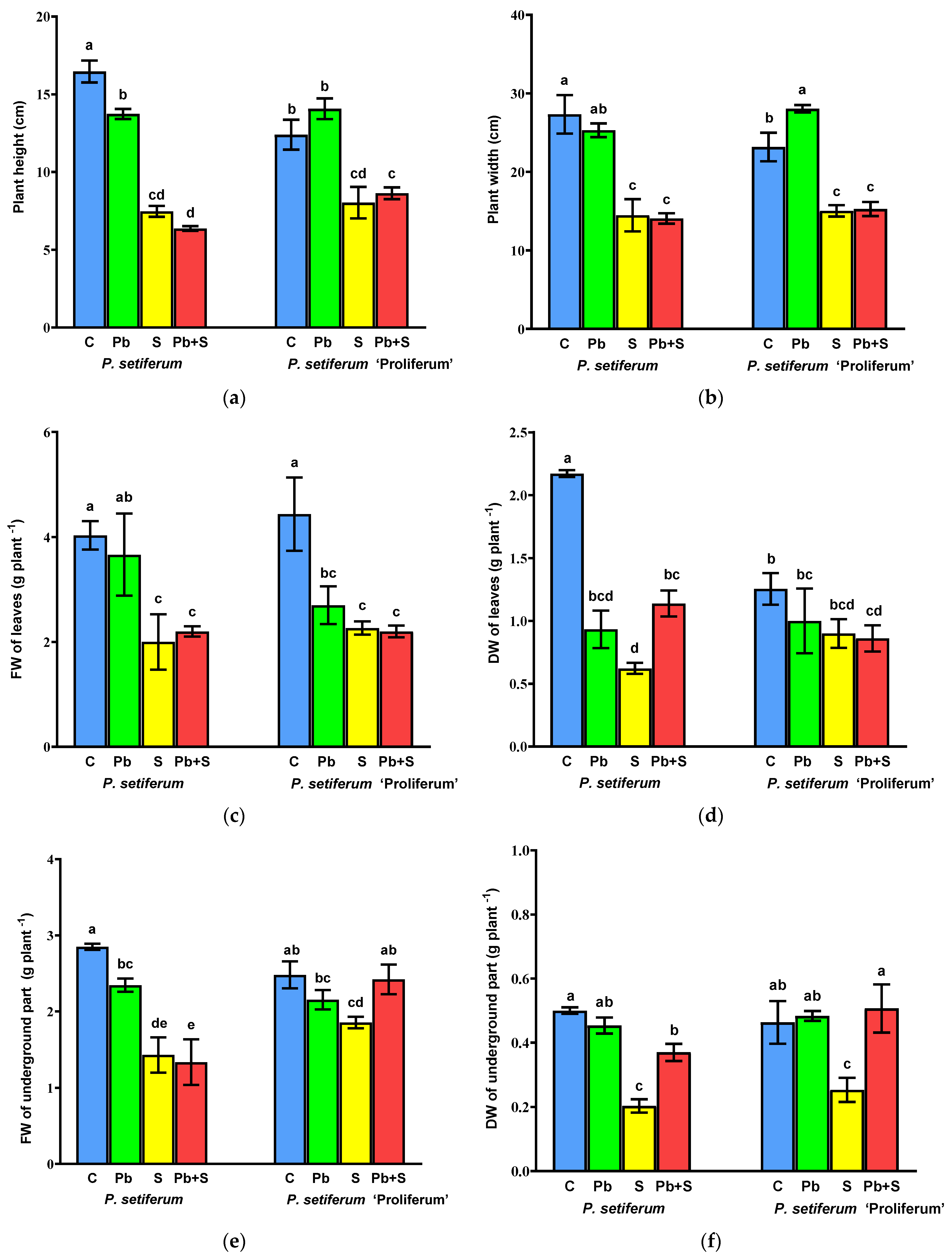
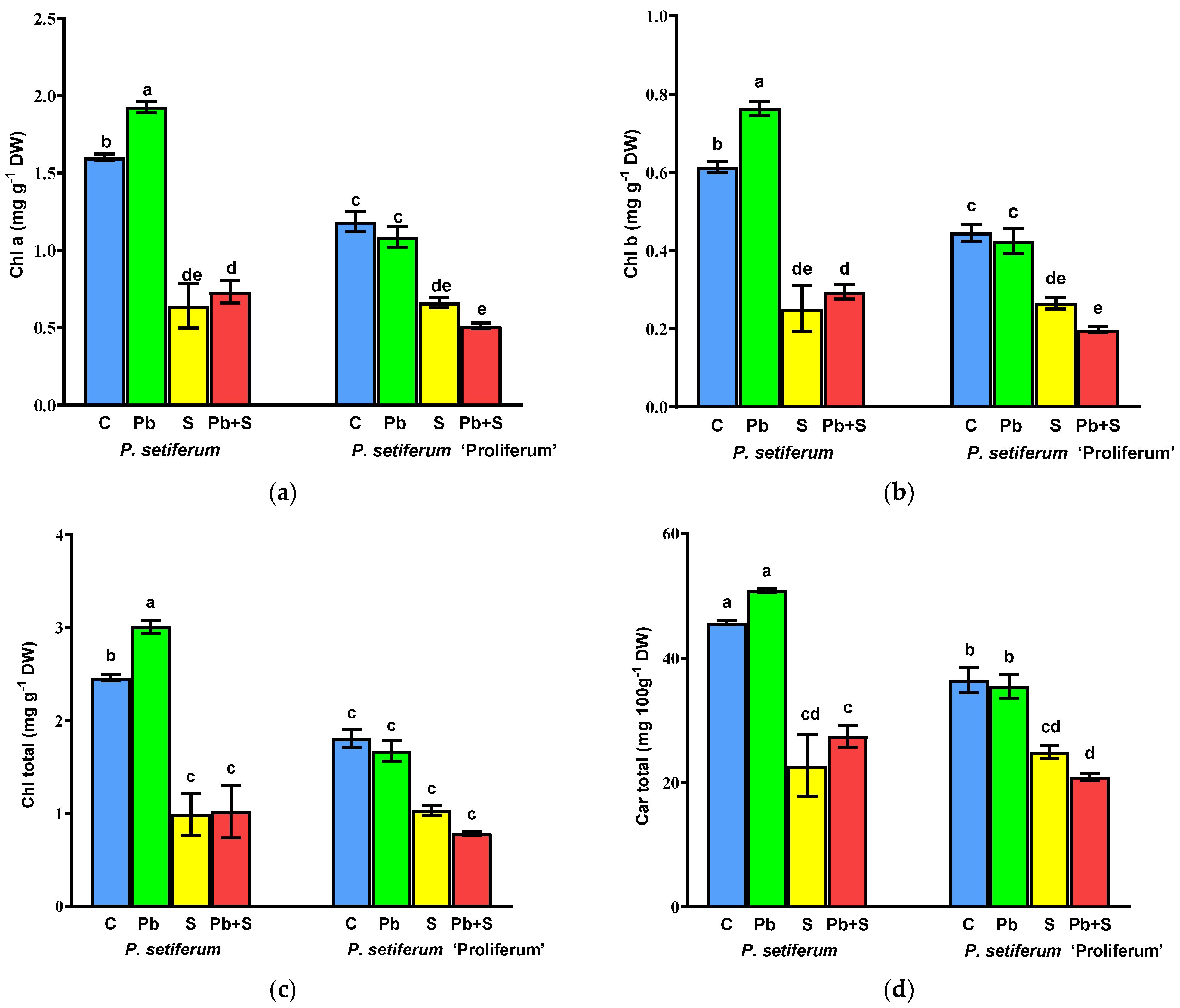
3. Results
3.1. Effect of Pb Stress on P. setiferum and P. setiferum ‘Proliferum’
3.2. Effect of Light Stress on P. setiferum and P. setiferum ‘Proliferum’
3.3. Effect of Combined Stress on P. setiferum and P. setiferum ‘Proliferum’
3.4. Overall Effects of Treatments
4. Discussion
5. Conclusions
Supplementary Materials
Author Contributions
Funding
Data Availability Statement
Conflicts of Interest
References
- Mitra, S.; Chakraborty, A.J.; Tareq, A.M.; Emran, T.B.; Nainu, F.; Khusro, A.; Idris, A.M.; Khandaker, M.U.; Osman, H.; Alhumaydhi, F.A.; et al. Impact of heavy metals on the environment and human health: Novel therapeutic insights to counter the toxicity. J. King Saud Univ.—Sci. 2022, 34, 101865. [Google Scholar] [CrossRef]
- Bełcik, M.; Grzegorzek, M.; Canales, F.A.; Struk-Sokołowska, J.; Kaźmierczak, B. Examination of interactions between heavy metals and benzotriazoles in rainwater runoff and snowmelt in an urban catchment in Poland. Water Resour. Ind. 2024, 31, 100236. [Google Scholar] [CrossRef]
- Fei, X.; Lou, Z.; Xiao, R.; Ren, Z.; Lv, X. Contamination assessment and source apportionment of heavy metals in agricultural soil through the synthesis of PMF and GeogDetector models. Sci. Total Environ. 2020, 747, 141293. [Google Scholar] [CrossRef] [PubMed]
- Bello, O.S.; Agboola, O.S.; Adegoke, K.A. Sources of various heavy metal ions. In Heavy Metals in the Environment: Management Strategies for Global Pollution; ACS Symposium Series; Verma, D.K., Verma, C., Mahish, P.K., Eds.; American Chemical Society: Washington, DC, USA, 2023; Volume 1456, pp. 59–69. ISBN 978-0-8412-9705-0. [Google Scholar]
- Phaenark, C.; Niamsuthi, A.; Paejaroen, P.; Chunchob, S.; Cronberg, N.; Sawangproh, W. Comparative toxicity of heavy metals Cd, Pb, and Zn to three acrocarpous moss species using chlorophyll contents. Trends Sci. 2023, 20, 4287. [Google Scholar] [CrossRef]
- Shehzad, J.; Mustafa, G.; Arshad, H.; Ali, A.; Naveed, N.H.; Riaz, Z.; Khan, I. Morpho-physiological and biochemical responses of Brassica species toward lead (Pb) stress. Acta Physiol. Plant. 2022, 45, 8. [Google Scholar] [CrossRef]
- Aldoobie, N.F.; Beltagi, M.S. Physiological, biochemical and molecular responses of common bean (Phaseolus vulgaris L.) plants to heavy metals stress. Afr. J. Biotechnol. 2013, 12, 4614–4622. [Google Scholar] [CrossRef]
- Qi, X.; Xu, X.; Zhong, C.; Jiang, T.; Wei, W.; Song, X. Removal of cadmium and lead from contaminated soils using sophorolipids from fermentation culture of Starmerella bombicola CGMCC 1576 Fermentation. Int. J. Environ. Res. Public Health 2018, 15, 2334. [Google Scholar] [CrossRef]
- Dinu, C.; Gheorghe, S.; Tenea, A.G.; Stoica, C.; Vasile, G.-G.; Popescu, R.L.; Serban, E.A.; Pascu, L.F. Toxic metals (As, Cd, Ni, Pb) impact in the most common medicinal plant (Mentha piperita). Int. J. Environ. Res. Public Health 2021, 18, 3904. [Google Scholar] [CrossRef]
- Moreira, I.N.; Martins, L.L.; Mourato, M.P. Effect of Cd, Cr, Cu, Mn, Ni, Pb and Zn on seed germination and seedling growth of two lettuce cultivars (Lactuca sativa L.). Plant Physiol. Rep. 2020, 25, 347–358. [Google Scholar] [CrossRef]
- Guo, Z.; Gao, Y.; Yuan, X.; Yuan, M.; Huang, L.; Wang, S.; Liu, C.; Duan, C. Effects of heavy metals on stomata in plants: A review. Int. J. Mol. Sci. 2023, 24, 9302. [Google Scholar] [CrossRef]
- Giannakoula, A.; Therios, I.; Chatzissavvidis, C. Effect of lead and copper on photosynthetic apparatus in citrus (Citrus aurantium L.) plants. The role of antioxidants in oxidative damage as a response to heavy metal stress. Plants 2021, 10, 155. [Google Scholar] [CrossRef]
- Rahman, S.U.; Qin, A.; Zain, M.; Mushtaq, Z.; Mehmood, F.; Riaz, L.; Naveed, S.; Ansari, M.J.; Saeed, M.; Ahmad, I.; et al. Pb uptake, accumulation, and translocation in plants: Plant physiological, biochemical and molecular response: A review. Heliyon 2024, 10, e27724. [Google Scholar] [CrossRef] [PubMed]
- Zhao, L.; Li, T.; Yu, H.; Chen, G.; Zhang, X.; Zheng, Z.; Li, J. Changes in chemical forms, subcellular distribution, and thiol compounds involved in Pb accumulation and detoxification in Athyrium wardii (Hook.). Environ. Sci. Pollut. Res. 2015, 22, 12676–12688. [Google Scholar] [CrossRef] [PubMed]
- Wiszniewska, A.; Koźmińska, A.; Hanus-Fajerska, E.; Dziurka, M.; Dziurka, K. Insight into mechanisms of multiple stresses tolerance in a halophyte Aster tripolium subjected to salinity and heavy metal stress. Ecotoxicol. Environ. Saf. 2019, 180, 12–22. [Google Scholar] [CrossRef] [PubMed]
- Iftikhar, A.; Abbas, G.; Saqib, M.; Shabbir, A.; Amjad, M.; Shahid, M.; Ahmad, I.; Iqbal, S.; Qaisrani, S.A. Salinity modulates lead (Pb) tolerance and phytoremediation potential of Quinoa: A multivariate comparison of physiological and biochemical attributes. Environ. Geochem. Health 2022, 44, 257–272. [Google Scholar] [CrossRef] [PubMed]
- Sharma, A.; Kumar, V.; Shahzad, B.; Ramakrishnan, M.; Singh Sidhu, G.P.; Bali, A.S.; Handa, N.; Kapoor, D.; Yadav, P.; Khanna, K.; et al. Photosynthetic response of plants under different abiotic stresses: A review. J. Plant Growth Regul. 2020, 39, 509–531. [Google Scholar] [CrossRef]
- Roeber, V.M.; Bajaj, I.; Rohde, M.; Schmülling, T.; Cortleven, A. Light acts as a stressor and influences abiotic and biotic stress responses in plants. Plant Cell Environ. 2021, 44, 645–664. [Google Scholar] [CrossRef]
- Szymańska, R.; Ślesak, I.; Orzechowska, A.; Kruk, J. Physiological and biochemical responses to high light and temperature stress in plants. Environ. Exp. Bot. 2017, 139, 165–177. [Google Scholar] [CrossRef]
- Sato, R.; Ito, H.; Tanaka, A. Chlorophyll b degradation by chlorophyll b reductase under high-light conditions. Photosynth. Res. 2015, 126, 249–259. [Google Scholar] [CrossRef] [PubMed]
- Shomali, A.; Lastochkina, O.V.; Mohammadian, M.; Rastogi, A.; Bosacchi, M.; Li, T.; Aliniaeifard, S. Photoinhibition in horticultural crops: An overview of the effect of light quality and signaling in the underlying photoprotection mechanisms. Int. J. Hortic. Sci. Technol. 2023, 10, 39–50. [Google Scholar] [CrossRef]
- Mahanty, D.S. Physiology of shade loving plants: A comparative analysis with shade avoiding plants. Indian J. Appl. Pure Biol. 2023, 38, 536–546. [Google Scholar]
- Suzuki, N.; Rivero, R.M.; Shulaev, V.; Blumwald, E.; Mittler, R. Abiotic and biotic stress combinations. New Phytol. 2014, 203, 32–43. [Google Scholar] [CrossRef] [PubMed]
- Bilal, S.; Shahzad, R.; Imran, M.; Jan, R.; Kim, K.M.; Lee, I.-J. Synergistic association of endophytic fungi enhances Glycine max L. resilience to combined abiotic stresses: Heavy metals, high temperature and drought stress. Ind. Crops Prod. 2020, 143, 111931. [Google Scholar] [CrossRef]
- Romanowska, E.; Wróblewska, B.; Droƶak, A.; Siedlecka, M. High light intensity protects photosynthetic apparatus of Pea plants against exposure to lead. Plant Physiol. Biochem. 2006, 44, 387–394. [Google Scholar] [CrossRef] [PubMed]
- Adejumo, S.A.; Owoseni, O.; Mur, L.A.J. Low light intensity and compost modified biochar enhanced maize growth on contaminated soil and minimized Pb induced oxidative stress. J. Environ. Chem. Eng. 2021, 9, 104764. [Google Scholar] [CrossRef]
- Priya, P.; Patil, M.; Pandey, P.; Singh, A.; Babu, V.S.; Senthil-Kumar, M. Stress combinations and their interactions in plants database: A one-stop resource on combined stress responses in plants. Plant J. 2023, 116, 1097–1117. [Google Scholar] [CrossRef] [PubMed]
- Zandalinas, S.I.; Peláez-Vico, M.Á.; Sinha, R.; Pascual, L.S.; Mittler, R. The impact of multifactorial stress combination on plants, crops, and ecosystems: How should we prepare for what comes next? Plant J. 2024, 117, 1800–1814. [Google Scholar] [CrossRef]
- Marchant, D.B.; Chen, G.; Cai, S.; Chen, F.; Schafran, P.; Jenkins, J.; Shu, S.; Plott, C.; Webber, J.; Lovell, J.T.; et al. Dynamic genome evolution in a model fern. Nat. Plants 2022, 8, 1038–1051. [Google Scholar] [CrossRef] [PubMed]
- Chen, Z.-H. Unveiling novel genes in fern genomes for the design of stress tolerant crops. Crop Des. 2022, 1, 100013. [Google Scholar] [CrossRef]
- Salachna, P.; Piechocki, R. Salinity tolerance of four hardy ferns from the genus Dryopteris Adans. grown under different light conditions. Agronomy 2021, 11, 49. [Google Scholar] [CrossRef]
- de Groot, G.A.; Verduyn, B.; Wubs, E.J.; Erkens, R.H.; During, H.J. Inter-and intraspecific variation in fern mating systems after long-distance colonization: The importance of selfing. BMC Plant Biol. 2012, 12, 3. [Google Scholar] [CrossRef]
- Preston, C.D.; Pearman, D.A.; Dines, T.D. New Atlas of the British and Irish flora: An Atlas of the Vascular Plants of Britain, Ireland, the Isle of Man, and the Channel Islands; Oxford University Press: Oxford, UK, 2002. [Google Scholar]
- Şuţan, N.A.; Fierăscu, I.; Fierăscu, R.; Ionica, D.; Soare, L.C. Phytochemical analysis and in vitro assessment of Polystichum setiferum extracts for their cytotoxic and antimicrobial activities. Caryologia 2019, 72, 53–61. [Google Scholar]
- Kachenko, A.G.; Singh, B.; Bhatia, N.P. Heavy metal tolerance in common fern species. Aust. J. Bot. 2007, 55, 63–73. [Google Scholar] [CrossRef]
- Prabhu, S.G.; Srinikethan, G.; Hegde, S. Potential of pteridophytes in heavy metal phytoremediation. Int. J. Res. Eng. Technol. 2016, 5, 1–9. [Google Scholar] [CrossRef]
- Castillo Loría, K.; Emiliani, J.; Bergara, C.D.; Herrero, M.S.; Salvatierra, L.M.; Pérez, L.M. Effect of daily exposure to Pb-contaminated water on Salvinia Biloba physiology and phytoremediation performance. Aquat. Toxicol. 2019, 210, 158–166. [Google Scholar] [CrossRef] [PubMed]
- Ray, I.; Misra, S.; Chen, M.; Wang, X.; Das, R. Entrapment of atmospheric particle bound heavy metals by ferns as evidenced by lead (Pb) isotope and MixSIAR: Implications for improving air quality. J. Hazard. Mater. 2024, 469, 134014. [Google Scholar] [CrossRef] [PubMed]
- Francini, A.; Romano, D.; Toscano, S.; Ferrante, A. The contribution of ornamental plants to urban ecosystem services. Earth 2022, 3, 1258–1274. [Google Scholar] [CrossRef]
- Singh, A.P.; Johari, D. Scope of ferns in horticulture and economic development. In Current Advances in Fern Research; Fernández, H., Ed.; Springer International Publishing: Cham, Switzerland, 2018; pp. 153–175. ISBN 978-3-319-75103-0. [Google Scholar]
- Kessler, M.; Kluge, J. Mountain ferns: What determines their elevational ranges and how will they respond to climate change? Am. Fern J. 2022, 112, 285–302. [Google Scholar] [CrossRef]
- Hietz, P. Fern Adaptations to Xeric Environments. In Fern Ecology; Mehltreter, K., Walker, L.R., Sharpe, J.M., Eds.; Cambridge University Press: Cambridge, UK, 2010; pp. 140–176. ISBN 9780511844898. [Google Scholar]
- Nishida, K.; Hanba, Y.T. Photosynthetic response of four fern species from different habitats to drought stress: Relationship between morpho-anatomical and physiological traits. Photosynthetica 2017, 55, 689–697. [Google Scholar] [CrossRef]
- Blake-Mahmud, J.; Sessa, E.B.; Visger, C.J.; Watkins, J.E., Jr. Polyploidy and environmental stress response: A comparative study of fern gametophytes. New Phytol. 2024; early review. [Google Scholar] [CrossRef]
- Thepsilvisut, O.; Iad-ak, R.; Chutimanukul, P. The effects of shading and nutrient management on yield quality of vegetable fern. Horticulturae 2023, 9, 259. [Google Scholar] [CrossRef]
- Pietrak, A.; Salachna, P.; Łopusiewicz, Ł. Changes in growth, ionic status, metabolites content and antioxidant activity of two ferns exposed to shade, full sunlight, and salinity. Int. J. Mol. Sci. 2023, 24, 296. [Google Scholar] [CrossRef] [PubMed]
- Wang, Y.; Gao, S.; He, X.; Li, Y.; Zhang, Y.; Chen, W. Response of total phenols, flavonoids, minerals, and amino acids of four edible fern species to four shading treatments. PeerJ 2020, 8, e8354. [Google Scholar] [CrossRef] [PubMed]
- Pal, N.; Sukul, S. Consequences of copper and lead stress on biochemical properties and mitotic chromosomal behavior of two thelypteroid ferns and their potential in tolerance of those metals. S. Afr. J. Bot. 2022, 147, 53–62. [Google Scholar] [CrossRef]
- Grzeszczuk, M.; Salachna, P.; Meller, E. Changes in photosynthetic pigments, total phenolic content, and antioxidant activity of Salvia coccinea Buc’hoz Ex Etl. induced by exogenous salicylic acid and soil salinity. Molecules 2018, 23, 1296. [Google Scholar] [CrossRef]
- Łopusiewicz, Ł.; Drozłowska, E.; Siedlecka, P.; Mężyńska, M.; Bartkowiak, A.; Sienkiewicz, M.; Zielińska-Bliźniewska, H.; Kwiatkowski, P. Development, characterization and bioactivity of non-dairy kefir-like fermented beverage based on flaxseed oil cake. Foods 2019, 8, 544. [Google Scholar] [CrossRef] [PubMed]
- Tong, T.; Liu, Y.-J.; Kang, J.; Zhang, C.-M.; Kang, S.-G. Antioxidant activity and main chemical components of a novel fermented tea. Molecules 2019, 24, 2917. [Google Scholar] [CrossRef] [PubMed]
- Gałczyńska, M. The Response of Common Mare’s Tail (Hippuris vulgaris L.) and Common Frogbit (Hydrocharis morsus-ranae L.) to the Pollution of Water with Selected Heavy Metals, and the Possibility to Use This Plant in Phytoremediation of Water; Academic Publishing ZUT in Szczecin: Szczecin, Poland, 2012; pp. 1–138. ISBN 978-83-7663-137-0. (In Polish) [Google Scholar]
- Anderson, O.R. Physiological ecology of ferns: Biodiversity and conservation perspectives. Int. J. Biodivers. Conserv. 2021, 13, 49–63. [Google Scholar]
- Anderson, O.R.; Griffin, K.L. Preliminary ecophysiological observations of the fern Asplenium platyneuron growing in two microenvironments varying in light intensity at an urban location in New York City. J. Torrey Bot. Soc. 2021, 148, 308–317. [Google Scholar] [CrossRef]
- Anderson, O.R. Photophysiology, dark respiration and leaf desiccation resilience of the fern Adiantum capillus-veneris L. J. Ecol. Environ. 2023, 15, 1–8. [Google Scholar]
- Anderson, O.R. An ecophysiological study of the fern Onoclea sensibilis growing in three environmental locations varying in incident light intensity. Int. J. Biodivers. Conserv. 2024, 16, 137–143. [Google Scholar]
- Mehltreter, K.; Sharpe, J.M. Causes and consequences of the variability of leaf lifespan of ferns. Fern Gaz. 2013, 19, 193–202. [Google Scholar]
- Batista-Silva, W.; Heinemann, B.; Rugen, N.; Nunes-Nesi, A.; Araújo, W.L.; Braun, H.-P.; Hildebrandt, T.M. The role of amino acid metabolism during abiotic stress release. Plant Cell Environ. 2019, 42, 1630–1644. [Google Scholar] [CrossRef]
- Toldi, D.; Gyugos, M.; Darkó, É.; Szalai, G.; Gulyás, Z.; Gierczik, K.; Székely, A.; Boldizsár, Á.; Galiba, G.; Müller, M.; et al. Light intensity and spectrum affect metabolism of glutathione and amino acids at transcriptional level. PLoS ONE 2019, 14, e0227271. [Google Scholar] [CrossRef]
- Zhuang, W.-B.; Li, Y.-H.; Shu, X.-C.; Pu, Y.-T.; Wang, X.-J.; Wang, T.; Wang, Z. The Classification, molecular structure and biological biosynthesis of flavonoids, and their roles in biotic and abiotic stresses. Molecules 2023, 28, 3599. [Google Scholar] [CrossRef] [PubMed]
- Cai, Z.; Wang, X.; Xie, Z.; Wen, Z.; Yu, X.; Xu, S.; Su, X.; Luo, J. Light response of gametophyte in Adiantum flabellulatum: Transcriptome analysis and identification of key genes and pathways. Front. Plant Sci. 2023, 14, 1222414. [Google Scholar] [CrossRef]
- Shomali, A.; Das, S.; Arif, N.; Sarraf, M.; Zahra, N.; Yadav, V.; Aliniaeifard, S.; Chauhan, D.K.; Hasanuzzaman, M. Diverse physiological roles of flavonoids in plant environmental stress responses and tolerance. Plants 2022, 11, 3158. [Google Scholar] [CrossRef] [PubMed]
- Maleki, M.; Mansour, G.; Khalil, K. Physiological and antioxidative responses of medicinal plants exposed to heavy metals stress. Plant Gene 2017, 11, 247–254. [Google Scholar] [CrossRef]
- Cao, H.; Chai, T.-T.; Wang, X.; Morais-Braga, M.F.B.; Yang, J.-H.; Wong, F.-C.; Wang, R.; Yao, H.; Cao, J.; Cornara, L. Phytochemicals from fern species: Potential for medicine applications. Phytochem. Rev. 2017, 16, 379–440. [Google Scholar] [CrossRef]
- Xia, X.; Cao, J.; Zheng, Y.; Wang, Q.; Xiao, J. Flavonoid concentrations and bioactivity of flavonoid extracts from 19 Species of ferns from China. Ind. Crops Prod. 2014, 58, 91–98. [Google Scholar] [CrossRef]
- Janciauskiene, S. The beneficial effects of antioxidants in health and diseases. Chronic Obstr. Pulm. Dis. 2020, 7, 182. [Google Scholar] [CrossRef] [PubMed]
- Soongsombat, P.; Kruatrachue, M.; Chaiyarat, R.; Pokethitiyook, P.; Ngernsansaruay, C. Lead tolerance and accumulation in pteris vittata and pityrogramma calomelanos, and their potential for phytoremediation of lead-contaminated soil. Int. J. Phytoremediat. 2009, 11, 396–412. [Google Scholar] [CrossRef]
- Kamachi, H.; Komori, I.; Tamura, H.; Sawa, Y.; Karahara, I.; Honma, Y.; Wada, N.; Kawabata, T.; Matsuda, K.; Ikeno, S.; et al. Lead tolerance and accumulation in the gametophytes of the fern Athyrium yokoscense. J. Plant Res. 2005, 118, 137–145. [Google Scholar] [CrossRef]
- Wang, Y.; He, L.; Dong, S.; Fu, H.; Wang, G.; Liang, X.; Tan, W.; He, H.; Zhu, R.; Zhu, J. Accumulation, translocation, and fractionation of Rare Earth Elements (REEs) in fern species of hyperaccumulators and non-hyperaccumulators growing in urban areas. Sci. Total Environ. 2023, 905, 167344. [Google Scholar] [CrossRef]






| Treatment | P. setiferum | P. setiferum ‘Proliferum’ |
|---|---|---|
| C | 0.81 | 3.79 |
| Pb | 78.08 | 23.79 |
| FS | 0.65 | 1.53 |
| Pb + FS | 39.27 | 19.18 |
Disclaimer/Publisher’s Note: The statements, opinions and data contained in all publications are solely those of the individual author(s) and contributor(s) and not of MDPI and/or the editor(s). MDPI and/or the editor(s) disclaim responsibility for any injury to people or property resulting from any ideas, methods, instructions or products referred to in the content. |
© 2024 by the authors. Licensee MDPI, Basel, Switzerland. This article is an open access article distributed under the terms and conditions of the Creative Commons Attribution (CC BY) license (https://creativecommons.org/licenses/by/4.0/).
Share and Cite
Pietrak, A.; Łopusiewicz, Ł.; Gałczyńska, M.; Salachna, P. Morpho-Physiological Responses of Shade-Loving Fern Polystichum spp. to Single and Combined Lead and Light Stress. Agronomy 2024, 14, 2981. https://doi.org/10.3390/agronomy14122981
Pietrak A, Łopusiewicz Ł, Gałczyńska M, Salachna P. Morpho-Physiological Responses of Shade-Loving Fern Polystichum spp. to Single and Combined Lead and Light Stress. Agronomy. 2024; 14(12):2981. https://doi.org/10.3390/agronomy14122981
Chicago/Turabian StylePietrak, Anna, Łukasz Łopusiewicz, Małgorzata Gałczyńska, and Piotr Salachna. 2024. "Morpho-Physiological Responses of Shade-Loving Fern Polystichum spp. to Single and Combined Lead and Light Stress" Agronomy 14, no. 12: 2981. https://doi.org/10.3390/agronomy14122981
APA StylePietrak, A., Łopusiewicz, Ł., Gałczyńska, M., & Salachna, P. (2024). Morpho-Physiological Responses of Shade-Loving Fern Polystichum spp. to Single and Combined Lead and Light Stress. Agronomy, 14(12), 2981. https://doi.org/10.3390/agronomy14122981

