Impact of Light-Emitting Diode (LED) Lighting and Microbial Inoculum on Rice Seedling Phenotype, Physiology, and Microbial Communities
Abstract
1. Introduction
2. Materials and Methods
2.1. Plant Materials
2.2. Seedling Growth Conditions
2.3. Light Conditions
2.4. Phenotypes and Biomass
2.5. Leaf Total Chlorophyll, Malondialdehyde, and Catalase
2.6. Microbial Community Analyses
2.7. Field Experiment
2.8. Statistical Analyses
3. Results
3.1. Phenotypes Comparing Rice Seedlings Cultivated Under Natural Light and LED Light
3.2. Microbial Inoculum Helped Reduce Light Stress on Rice Seedlings Under LED Light
3.3. Microbial Inoculum Altered the Microbial Communities in Rhizosphere and Root Endosphere Environments
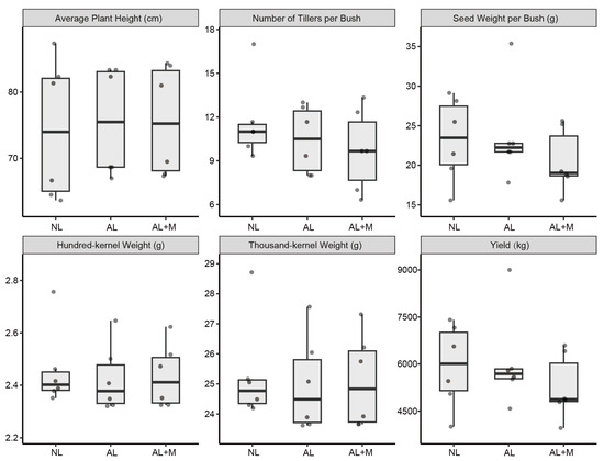
3.4. Light Conditions for Seedling Cultivation Resulted in No Change to the Field Yield
4. Discussion
4.1. Rice Seedling Phenotypes Were Modulated Greatly by Light Conditions but Slightly by Microbial Inoculum
4.2. Combined Effects of Light Conditions and Microbial Inoculum on Leaf Physiology
4.3. Light Conditions and Microbial Inoculum Altered the Microbial Communities Residing in the Rice Rhizosphere and Root Endosphere
4.4. The Effects of Light Conditions and Microbial Inoculum Lead to No Changes in Rice Yield Traits
5. Conclusions
Author Contributions
Funding
Data Availability Statement
Acknowledgments
Conflicts of Interest
References
- Ros, C.; Bell, R.W.; White, P.F. Seedling Vigour and the Early Growth of Transplanted Rice (Oryza sativa). Plant Soil 2003, 252, 325–337. [Google Scholar] [CrossRef]
- Mishra, A.; Salokhe, V.M. Seedling Characteristics and the Early Growth of Transplanted Rice under Different Water Regimes. Exp. Agric. 2008, 44, 365–383. [Google Scholar] [CrossRef]
- Bhushan, L.; Ladha, J.K.; Gupta, R.K.; Singh, S.; Tirol-Padre, A.; Saharawat, Y.S.; Gathala, M.; Pathak, H. Saving of Water and Labor in a Rice-Wheat System with No-Tillage and Direct Seeding Technologies. Agron. J. 2007, 99, 1288–1296. [Google Scholar] [CrossRef]
- Lee, H.; Hwang, W.; Jeong, J.; Yang, S.; Jeong, N.; Lee, C.; Choi, M. Physiological Causes of Transplantation Shock on Rice Growth Inhibition and Delayed Heading. Sci. Rep. 2021, 11, 16818. [Google Scholar] [CrossRef]
- Wang, T.; Xiong, W.; Kuang, F.; Sun, D.; Geng, Z.; Que, J.; Hou, R.; Zhu, D. Effects of Seedling Age and Root Pruning on Root Characteristics and Dry Matter Accumulation Dynamics in Machine-Transplanted Rice. Plant Soil Environ. 2024, 70, 164–175. [Google Scholar] [CrossRef]
- Li, H.; Cheng, Z. Hoagland Nutrient Solution Promotes the Growth of Cucumber Seedlings under Light-Emitting Diode Light. Acta Agric. Scand. Sect. B Soil Plant Sci. 2015, 65, 74–82. [Google Scholar] [CrossRef]
- Javanmardi, J.; Emami, S. Response of Tomato and Pepper Transplants to Light Spectra Provided by Light Emitting Diodes. Int. J. Veg. Sci. 2013, 19, 138–149. [Google Scholar] [CrossRef]
- Kerbiriou, P.J.; Stomph, T.J.; Lammerts van Bueren, E.T.; Struik, P.C. Influence of Transplant Size on the Above- and below-Ground Performance of Four Contrasting Field-Grown Lettuce Cultivars. Front. Plant Sci. 2013, 4, 379. [Google Scholar] [CrossRef]
- Samantara, K.; Bohra, A.; Mohapatra, S.R.; Prihatini, R.; Asibe, F.; Singh, L.; Reyes, V.P.; Tiwari, A.; Maurya, A.K.; Croser, J.S.; et al. Breeding More Crops in Less Time: A Perspective on Speed Breeding. Biology 2022, 11, 275. [Google Scholar] [CrossRef]
- Jähne, F.; Hahn, V.; Würschum, T.; Leiser, W.L. Speed Breeding Short-Day Crops by LED-Controlled Light Schemes. Theor. Appl. Genet. 2020, 133, 2335–2342. [Google Scholar] [CrossRef]
- Bhatta, M.; Sandro, P.; Smith, M.R.; Delaney, O.; Voss-Fels, K.P.; Gutierrez, L.; Hickey, L.T. Need for Speed: Manipulating Plant Growth to Accelerate Breeding Cycles. Curr. Opin. Plant Biol. 2021, 60, 101986. [Google Scholar] [CrossRef] [PubMed]
- Wong, C.E.; Teo, Z.W.N.; Shen, L.; Yu, H. Seeing the Lights for Leafy Greens in Indoor Vertical Farming. Trends Food Sci. Technol. 2020, 106, 48–63. [Google Scholar] [CrossRef]
- Niu, G.; Wang, G.; Li, B.; Song, C.; Xiao, W.; Zhou, H. Design of Rice Factory Three-Dimensional Carpet Raising Seedlings System Engineering. IERI Procedia 2014, 8, 93–100. [Google Scholar] [CrossRef]
- Park, B.G.; Lee, J.H.; Shin, E.J.; Kim, E.A.; Nam, S.Y. Light Quality Influence on Growth Performance and Physiological Activity of Coleus Cultivars. Int. J. Plant Biol. 2024, 15, 807–826. [Google Scholar] [CrossRef]
- Lazzarin, M.; Meisenburg, M.; Meijer, D.; van Ieperen, W.; Marcelis, L.F.M.; Kappers, I.F.; van der Krol, A.R.; van Loon, J.J.A.; Dicke, M. LEDs Make It Resilient: Effects on Plant Growth and Defense. Trends Plant Sci. 2021, 26, 496–508. [Google Scholar] [CrossRef]
- Yu, L.L.; Song, C.M.; Sun, L.J.; Li, L.L.; Xu, Z.G.; Tang, C.M. Effects of Light-Emitting Diodes on Tissue Culture Plantlets and Seedlings of Rice (Oryza sativa L.). J. Integr. Agric. 2020, 19, 1743–1754. [Google Scholar] [CrossRef]
- Stamford, J.D.; Stevens, J.; Mullineaux, P.M.; Lawson, T. LED Lighting: A Grower’s Guide to Light Spectra. HortScience 2023, 58, 180–196. [Google Scholar] [CrossRef]
- Vandenbussche, F.; Yu, N.; Li, W.; Vanhaelewyn, L.; Hamshou, M.; Van Der Straeten, D.; Smagghe, G. An Ultraviolet B Condition That Affects Growth and Defense in Arabidopsis. Plant Sci. 2018, 268, 54–63. [Google Scholar] [CrossRef]
- Shin, E.J.; Lee, J.H.; Nam, S.Y. Changes in Growth, Visual Qualities, and Photosynthetic Parameters in Peperomia Species and Cultivars under Different Color Temperatures of White Lighting Conditions. Koreanstudies Inf. Serv. Syst. 2023, 35, 307–321. [Google Scholar] [CrossRef]
- Deng, X.; Chen, B.; Chen, Y.; Lu, L.; Yuan, X.; Yang, Y.; Zeng, Q. Variations in Root Morphological Indices of Rice (Oryza sativa L.) Induced by Seedling Establishment Methods and Their Relation to Arsenic Accumulation in Plant Tissues. Environ. Pollut. 2021, 281, 116999. [Google Scholar] [CrossRef]
- Kozai, T. Resource Use Efficiency of Closed Plant Production System with Artificial Light: Concept, Estimation and Application to Plant Factory. Proc. Japan Acad. Ser. B Phys. Biol. Sci. 2013, 89, 447–461. [Google Scholar] [CrossRef] [PubMed]
- Ren, M.; Liu, S.; Tang, C.; Mao, G.; Gai, P.; Guo, X.; Zheng, H.; Tang, Q. Photomorphogenesis and Photosynthetic Traits Changes in Rice Seedlings Responding to Red and Blue Light. Int. J. Mol. Sci. 2023, 24, 11333. [Google Scholar] [CrossRef] [PubMed]
- Wei, Y.; Wang, S.; Yu, D. The Role of Light Quality in Regulating Early Seedling Development. Plants 2023, 12, 2746. [Google Scholar] [CrossRef] [PubMed]
- Wang, T.; Sun, Q.; Zheng, Y.; Xu, Y.; Liu, B.; Li, Q. Effects of Red and Blue Light on the Growth, Photosynthesis, and Subsequent Growth under Fluctuating Light of Cucumber Seedlings. Plants 2024, 13, 1668. [Google Scholar] [CrossRef] [PubMed]
- Fitzpatrick, C.R.; Copeland, J.; Wang, P.W.; Guttman, D.S.; Kotanen, P.M.; Johnson, M.T.J. Assembly and Ecological Function of the Root Microbiome across Angiosperm Plant Species. Proc. Natl. Acad. Sci. USA 2018, 115, E1157–E1165. [Google Scholar] [CrossRef]
- Dries, L.; Hendgen, M.; Schnell, S.; Löhnertz, O.; Vortkamp, A. Rhizosphere Engineering: Leading towards a Sustainable Viticulture? Oeno One 2021, 55, 353–363. [Google Scholar] [CrossRef]
- Mohanram, S.; Kumar, P. Rhizosphere Microbiome: Revisiting the Synergy of Plant-Microbe Interactions. Ann. Microbiol. 2019, 69, 307–320. [Google Scholar] [CrossRef]
- Khan, S.T. Consortia-Based Microbial Inoculants for Sustaining Agricultural Activities. Appl. Soil Ecol. 2022, 176, 104503. [Google Scholar] [CrossRef]
- Zvinavashe, A.T.; Lim, E.; Sun, H.; Marelli, B. A Bioinspired Approach to Engineer Seed Microenvironment to Boost Germination and Mitigate Soil Salinity. Proc. Natl. Acad. Sci. USA 2019, 116, 25555–25561. [Google Scholar] [CrossRef]
- Ghosh, U.D.; Saha, C.; Maiti, M.; Lahiri, S.; Ghosh, S.; Seal, A.; MitraGhosh, M. Root Associated Iron Oxidizing Bacteria Increase Phosphate Nutrition and Influence Root to Shoot Partitioning of Iron in Tolerant Plant Typha Angustifolia. Plant Soil 2014, 381, 279–295. [Google Scholar] [CrossRef]
- Kour, D.; Rana, K.L.; Kaur, T.; Yadav, N.; Yadav, A.N.; Kumar, M.; Kumar, V.; Dhaliwal, H.S.; Saxena, A.K. Biodiversity, Current Developments and Potential Biotechnological Applications of Phosphorus-Solubilizing and -Mobilizing Microbes: A Review. Pedosphere 2021, 31, 43–75. [Google Scholar] [CrossRef]
- Sun, X.; Wang, N.; Li, P.; Jiang, Z.; Liu, X.; Wang, M.; Su, Z.; Zhang, C.; Lin, F.; Liang, Y. Endophytic Fungus Falciphora Oryzae Promotes Lateral Root Growth by Producing Indole Derivatives after Sensing Plant Signals. Plant Cell Environ. 2020, 43, 358–373. [Google Scholar] [CrossRef] [PubMed]
- Dai, M.; Su, Z.; Zhu, X.; Li, L.; Ye, Z.; Tan, X.; Kong, D.; Liu, X.; Lin, F. Genome-Wide Identification and Characterization of Effector Candidates with Conserved Motif in Falciphora Oryzae. Int. J. Mol. Sci. 2024, 25, 650. [Google Scholar] [CrossRef] [PubMed]
- Su, Z.Z.; Dai, M.D.; Zhu, J.N.; Liu, X.H.; Li, L.; Zhu, X.M.; Wang, J.Y.; Yuan, Z.L.; Lin, F.C. Dark Septate Endophyte Falciphora Oryzae-Assisted Alleviation of Cadmium in Rice. J. Hazard. Mater. 2021, 419, 126435. [Google Scholar] [CrossRef] [PubMed]
- Dai, M.-D.; Zhu, J.-N.; Zeng, Y.-L.; Lu, X.-J.; Liu, X.-H.; Su, Z.-Z.; Lin, F. Role of CFEM Domain-Containing Protein in Systemic Resistance Induced by Falciphora oryzae to Rice Blast. SSRN Electron. J. 2021. [Google Scholar] [CrossRef]
- Richardson, A.D.; Duigan, S.P.; Berlyn, G.P. An Evaluation of Noninvasive Methods to Estimate Foliar Chlorophyll Content. New Phytol. 2002, 153, 185–194. [Google Scholar] [CrossRef]
- Taulavuori, E.; Hellström, E.K.; Taulavuori, K.; Laine, K. Comparison of Two Methods Used to Analyse Lipid Peroxidation from Vaccinium myrtillus (L.) during Snow Removal, Reacclimation and Cold Acclimation. J. Exp. Bot. 2001, 52, 2375–2380. [Google Scholar] [CrossRef]
- Tan, X.; Xie, H.; Yu, J.; Wang, Y.; Xu, J.; Xu, P.; Ma, B. Host Genetic Determinants Drive Compartment-Specific Assembly of Tea Plant Microbiomes. Plant Biotechnol. J. 2022, 20, 2174–2186. [Google Scholar] [CrossRef]
- Edgar, R.C. UNOISE2: Improved Error-Correction for Illumina 16S and ITS Amplicon Sequencing. bioRxiv 2016. [Google Scholar] [CrossRef]
- Cole, J.R.; Wang, Q.; Fish, J.A.; Chai, B.; McGarrell, D.M.; Sun, Y.; Brown, C.T.; Porras-Alfaro, A.; Kuske, C.R.; Tiedje, J.M. Ribosomal Database Project: Data and Tools for High Throughput RRNA Analysis. Nucleic Acids Res. 2014, 42, D633–D642. [Google Scholar] [CrossRef]
- R Core Team. R: A Language and Environment for Statistical Computing. 2020. Available online: https://www.R-project.org/ (accessed on 7 December 2024).
- He, D.; Yan, Z.; Sun, X.; Yang, P. Leaf Development and Energy Yield of Hydroponic Sweetpotato Seedlings Using Single-Node Cutting as Influenced by Light Intensity and LED Spectrum. J. Plant Physiol. 2020, 254, 153274. [Google Scholar] [CrossRef] [PubMed]
- Ren, M.; Liu, S.; Mao, G.; Tang, C.; Gai, P.; Guo, X.; Zheng, H.; Wang, W.; Tang, Q. Simultaneous Application of Red and Blue Light Regulate Carbon and Nitrogen Metabolism, Induces Antioxidant Defense System and Promote Growth in Rice Seedlings under Low Light Stress. Int. J. Mol. Sci. 2023, 24, 10706. [Google Scholar] [CrossRef] [PubMed]
- Li, C.; Chen, X.; Jia, Z.; Zhai, L.; Zhang, B.; Grüters, U.; Ma, S.; Qian, J.; Liu, X.; Zhang, J.; et al. Meta-Analysis Reveals the Effects of Microbial Inoculants on the Biomass and Diversity of Soil Microbial Communities. Nat. Ecol. Evol. 2024, 8, 1270–1284. [Google Scholar] [CrossRef] [PubMed]
- Li, C.; Jia, Z.; Ma, S.; Liu, X.; Zhang, J.; Müller, C. Plant and Native Microorganisms Amplify the Positive Effects of Microbial Inoculant. Microorganisms 2023, 11, 570. [Google Scholar] [CrossRef] [PubMed]
- Zhu, H.; Li, X.; Zhai, W.; Liu, Y.; Gao, Q.; Liu, J.; Ren, L.; Chen, H.; Zhu, Y. Effects of Low Light on Photosynthetic Properties, Antioxidant Enzyme Activity, and Anthocyanin Accumulation in Purple Pak-Choi (Brassica campestris ssp. Chinensis Makino). PLoS ONE 2017, 12, e0179305. [Google Scholar] [CrossRef]
- Zhang, J.; Ge, J.; Dayananda, B.; Li, J. Effect of Light Intensities on the Photosynthesis, Growth and Physiological Performances of Two Maple Species. Front. Plant Sci. 2022, 13, 999026. [Google Scholar] [CrossRef]
- Mhamdi, A.; Queval, G.; Chaouch, S.; Vanderauwera, S.; Van Breusegem, F.; Noctor, G. Catalase Function in Plants: A Focus on Arabidopsis Mutants as Stress-Mimic Models. J. Exp. Bot. 2010, 61, 4197–4220. [Google Scholar] [CrossRef]
- Ptushenko, O.S.; Ptushenko, V.V.; Solovchenko, A.E. Spectrum of Light as a Determinant of Plant Functioning: A Historical Perspective. Life 2020, 10, 25. [Google Scholar] [CrossRef]
- Zhao, K.; Ma, B.; Xu, Y.; Stirling, E.; Xu, J. Light Exposure Mediates Circadian Rhythms of Rhizosphere Microbial Communities. ISME J. 2021, 15, 2655–2664. [Google Scholar] [CrossRef]
- Trabelsi, D.; Mhamdi, R. Microbial Inoculants and Their Impact on Soil Microbial Communities: A Review. Biomed Res. Int. 2013, 2013, 863240. [Google Scholar] [CrossRef]
- Kong, D.; Ye, Z.; Dai, M.; Ma, B.; Tan, X. Light Intensity Modulates the Functional Composition of Leaf Metabolite Groups and Phyllosphere Prokaryotic Community in Garden Lettuce (Lactuca sativa L.) Plants at the Vegetative Stage. Int. J. Mol. Sci. 2024, 25, 1451. [Google Scholar] [CrossRef] [PubMed]
- Vishwakarma, K.; Kumar, N.; Shandilya, C.; Mohapatra, S.; Bhayana, S.; Varma, A. Revisiting Plant–Microbe Interactions and Microbial Consortia Application for Enhancing Sustainable Agriculture: A Review. Front. Microbiol. 2020, 11, 560406. [Google Scholar] [CrossRef] [PubMed]
- Rawat, P.; Das, S.; Shankhdhar, D.; Shankhdhar, S.C. Phosphate-Solubilizing Microorganisms: Mechanism and Their Role in Phosphate Solubilization and Uptake. J. Soil Sci. Plant Nutr. 2021, 21, 49–68. [Google Scholar] [CrossRef]
- Li, J.; Zou, Y.; Yang, K.; Zhu, Y.; Zhou, Q.; Shao, L.; Gong, J.; Peng, S.; Peng, G.; Qin, T.; et al. Well-Developed Root Systems and a Nitrogen-Rich Rhizosphere Recruit Key Bacterial Taxa to Resist Disease Invasion of Field Crop. Agric. Ecosyst. Environ. 2025, 378, 109279. [Google Scholar] [CrossRef]
- Saad, M.M.; Eida, A.A.; Hirt, H.; Doerner, P. Tailoring Plant-Associated Microbial Inoculants in Agriculture: A Roadmap for Successful Application. J. Exp. Bot. 2020, 71, 3878–3901. [Google Scholar] [CrossRef]
- Mawarda, P.C.; Mallon, C.A.; Le Roux, X.; van Elsas, J.D.; Salles, J.F. Interactions between Bacterial Inoculants and Native Soil Bacterial Community: The Case of Spore-Forming Bacillus spp. FEMS Microbiol. Ecol. 2022, 98, fiac127. [Google Scholar] [CrossRef]
- Lei, W.S.; Ding, Y.F.; Li, G.H.; Tang, S.; Wang, S.H. Effects of Soilless Substrates on Seedling Quality and the Growth of Transplanted Super Japonica Rice. J. Integr. Agric. 2017, 16, 1053–1063. [Google Scholar] [CrossRef]







Disclaimer/Publisher’s Note: The statements, opinions and data contained in all publications are solely those of the individual author(s) and contributor(s) and not of MDPI and/or the editor(s). MDPI and/or the editor(s) disclaim responsibility for any injury to people or property resulting from any ideas, methods, instructions or products referred to in the content. |
© 2024 by the authors. Licensee MDPI, Basel, Switzerland. This article is an open access article distributed under the terms and conditions of the Creative Commons Attribution (CC BY) license (https://creativecommons.org/licenses/by/4.0/).
Share and Cite
Ye, Z.; Dai, M.; Kong, D.; Tan, X. Impact of Light-Emitting Diode (LED) Lighting and Microbial Inoculum on Rice Seedling Phenotype, Physiology, and Microbial Communities. Agronomy 2024, 14, 2943. https://doi.org/10.3390/agronomy14122943
Ye Z, Dai M, Kong D, Tan X. Impact of Light-Emitting Diode (LED) Lighting and Microbial Inoculum on Rice Seedling Phenotype, Physiology, and Microbial Communities. Agronomy. 2024; 14(12):2943. https://doi.org/10.3390/agronomy14122943
Chicago/Turabian StyleYe, Ziran, Mengdi Dai, Dedong Kong, and Xiangfeng Tan. 2024. "Impact of Light-Emitting Diode (LED) Lighting and Microbial Inoculum on Rice Seedling Phenotype, Physiology, and Microbial Communities" Agronomy 14, no. 12: 2943. https://doi.org/10.3390/agronomy14122943
APA StyleYe, Z., Dai, M., Kong, D., & Tan, X. (2024). Impact of Light-Emitting Diode (LED) Lighting and Microbial Inoculum on Rice Seedling Phenotype, Physiology, and Microbial Communities. Agronomy, 14(12), 2943. https://doi.org/10.3390/agronomy14122943

