Identification of qTGW2, a Minor-Effect QTL Controlling Grain Weight in Rice
Abstract
1. Introduction
2. Materials and Methods
2.1. Development of NIL Populations
2.2. DNA Marker Genotyping and Sequence Analysis
2.3. Field Experiments and Phenotyping
2.4. Data Analysis
2.5. Transcriptome Analysis and Real-Time PCR Analysis
3. Results
3.1. Delimitation of qTGW2 by Increasing Marker Density
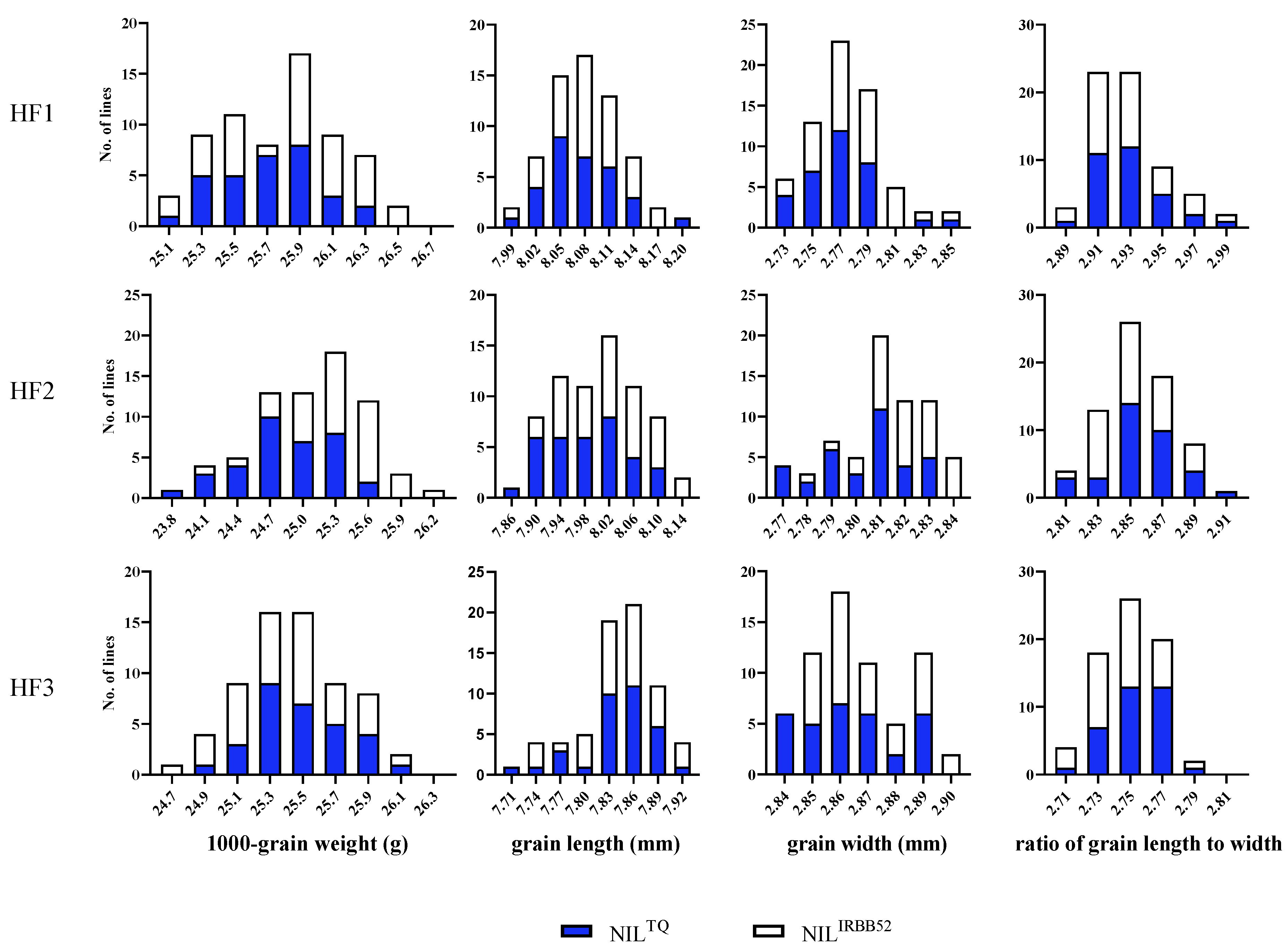
3.2. Genetic Effects of qTGW2
3.3. Candidate Genes of qTGW2
3.4. Allelic Variations in TGW2 in Cultivated Rice
4. Discussion
5. Conclusions
Supplementary Materials
Author Contributions
Funding
Data Availability Statement
Acknowledgments
Conflicts of Interest
References
- Zuo, J.; Li, J. Molecular genetic dissection of quantitative trait loci regulating rice grain size. Annu. Rev. Genet. 2014, 48, 99–118. [Google Scholar] [CrossRef] [PubMed]
- Bao, J. Rice-germplasm, genetics and improvement. In Genes and QTLs for Rice Grain Quality Improvement; Yan, W., Bao, J., Eds.; Intech Open: Rijeka, Croatia, 2014; pp. 239–278. [Google Scholar]
- Dong, Q.; Zhang, Z.H.; Wang, L.L.; Zhu, Y.J.; Fan, Y.Y.; Mou, T.M.; Ma, L.Y.; Zhuang, J.Y. Dissection and fine-mapping of two QTL for grain size linked in a 460-kb region on chromosome 1 of rice. Rice 2018, 11, 44. [Google Scholar] [CrossRef] [PubMed]
- Chan, A.N.; Wang, L.L.; Zhu, Y.J.; Fan, Y.Y.; Zhuang, J.Y.; Zhang, Z.-H. Identification through fine mapping and verification using CRISPR/Cas9-targeted mutagenesis for a minor QTL controlling grain weight in rice. Theor. Appl. Genet. 2021, 134, 327–337. [Google Scholar] [CrossRef]
- Hu, J.; Wang, Y.; Fang, Y.; Zeng, L.; Xu, J.; Yu, H.; Shi, Z.; Pan, J.; Zhang, D.; Kang, S.; et al. A rare allele of GS2 enhances grain size and grain yield in Rice. Mol. Plant 2015, 8, 1455–1465. [Google Scholar] [CrossRef]
- Che, R.; Tong, H.; Shi, B.; Liu, Y.; Fang, S.; Liu, D.; Xiao, Y.; Hu, B.; Liu, L.; Wang, H.; et al. Control of grain size and rice yield by GL2-mediated brassinosteroid responses. Nat. Plants 2016, 2, 15195. [Google Scholar] [CrossRef] [PubMed]
- Li, S.; Gao, F.; Xie, K.; Zeng, X.; Cao, Y.; Zeng, J.; He, Z.; Ren, Y.; Li, W.; Deng, Q.; et al. The OsmiR396c-OsGRF4-OsGIF1 regulatory module determines grain size and yield in rice. Plant Biotechnol. J. 2016, 14, 2134–2146. [Google Scholar] [CrossRef]
- Song, X.J.; Huang, W.; Shi, M.; Zhu, M.Z.; Lin, H.X. A QTL for rice grain width and weight encodes a previously unknown RING-type E3 ubiquitin ligase. Nat. Genet. 2007, 39, 623–630. [Google Scholar] [CrossRef]
- Zhang, Y.M.; Yu, H.X.; Ye, W.W.; Shan, J.X.; Dong, N.Q.; Guo, T.; Kan, Y.; Xiang, Y.H.; Zhang, H.; Yang, Y.B.; et al. A rice QTL GS3.1 regulates grain size through metabolic-flux distribution between flavonoid and lignin metabolons without affecting stress tolerance. Commun. Biol. 2021, 4, 1171. [Google Scholar] [CrossRef]
- Yu, J.; Miao, J.; Zhang, Z.; Xiong, H.; Zhu, X.; Sun, X.; Pan, Y.; Liang, Y.; Zhang, Q.; Rashid, M.A.R.; et al. Alternative splicing of OsLG3b controls grain length and yield in Japonica rice. Plant Biotechnol. J. 2018, 16, 1667–1678. [Google Scholar] [CrossRef]
- Liu, Q.; Han, R.; Wu, K.; Zhang, J.; Ye, Y.; Wang, S.; Chen, J.; Pan, Y.; Li, Q.; Xu, X.; et al. G-protein βγ subunits determine grain size through interaction with MADS-domain transcription factors in rice. Nat. Commun. 2018, 9, 852. [Google Scholar] [CrossRef]
- Fan, C.; Xing, Y.; Mao, H.; Lu, T.; Han, B.; Xu, C.; Li, X.; Zhang, Q. GS3, a major QTL for grain length and weight and minor QTL for grain width and thickness in rice, encodes a putative transmembrane protein. Theor. Appl. Genet. 2006, 112, 1164–1171. [Google Scholar] [CrossRef] [PubMed]
- Li, Q.; Lu, L.; Liu, H.; Bai, X.; Zhou, X.; Wu, B.; Yuan, M.; Yang, L.; Xing, Y. A minor QTL, SG3, encoding an R2R3-MYB protein, negatively controls grain length in rice. Theor. Appl. Genet. 2020, 133, 2387–2399. [Google Scholar] [CrossRef] [PubMed]
- Dong, N.Q.; Sun, Y.; Guo, T.; Shi, C.L.; Zhang, Y.-M.; Kan, Y.; Xiang, Y.H.; Zhang, H.; Yang, Y.B.; Li, Y.C.; et al. UDP-glucosyltransferase regulates grain size and abiotic stress tolerance associated with metabolic flux redirection in rice. Nat. Commun. 2020, 11, 2629. [Google Scholar] [CrossRef] [PubMed]
- Qi, P.; Lin, Y.S.; Song, X.J.; Shen, J.B.; Huang, W.; Shan, J.X.; Zhu, M.Z.; Jiang, L.; Gao, J.P.; Lin, H.X. The novel quantitative trait locus GL3.1 controls rice grain size and yield by regulating Cyclin-T1;3. Cell Res. 2012, 22, 1666–1680. [Google Scholar] [CrossRef] [PubMed]
- Zhang, X.; Wang, J.; Huang, J.; Lan, H.; Wang, C.; Yin, C.; Wu, Y.; Tang, H.; Qian, Q.; Li, J.; et al. Rare allele of OsPPKL1 associated with grain length causes extra-large grain and a significant yield increase in rice. Proc. Natl. Acad. Sci. USA 2012, 109, 21534–21539. [Google Scholar] [CrossRef]
- Hu, Z.; Lu, S.J.; Wang, M.J.; He, H.; Sun, L.; Wang, H.; Liu, X.; Jiang, L.; Sun, J.L.; Xin, X.; et al. A novel QTL qTGW3 encodes the GSK3/SHAGGY-like kinase OsGSK5/OsSK41 that interacts with OsARF4 to negatively regulate grain size and weight in rice. Mol. Plant 2018, 11, 736–749. [Google Scholar] [CrossRef]
- Xia, D.; Zhou, H.; Liu, R.; Dan, W.; Li, P.; Wu, B.; Chen, J.; Wang, L.; Gao, J.; Zhang, Q. GL3.3, a novel QTL encoding a GSK3/SHAGGY-like kinase, epistatically interacts with GS3 to produce extra-long grains in rice. Mol. Plant 2018, 11, 754–756. [Google Scholar] [CrossRef]
- Ishimaru, K.; Hirotsu, N.; Madoka, Y.; Murakami, N.; Hara, N.; Onodera, H.; Kashiwagi, T.; Ujiie, K.; Shimizu, B.; Onishi, A.; et al. Loss of function of the IAA-glucose hydrolase gene TGW6 enhances rice grain weight and increases yield. Nat. Genet. 2013, 45, 707–711. [Google Scholar] [CrossRef]
- Wang, A.; Hou, Q.; Si, L.; Huang, X.; Luo, J.; Lu, D.; Zhu, J.; Shangguan, Y.; Miao, J.; Xie, Y.; et al. The PLATZ transcription factor GL6 affects grain length and number in rice. Plant Physiol. 2019, 180, 2077–2090. [Google Scholar] [CrossRef]
- Wang, Y.; Xiong, G.; Hu, J.; Jiang, L.; Yu, H.; Xu, J.; Fang, Y.; Zeng, L.; Xu, E.; Xu, J.; et al. Copy number variation at the GL7 locus contributes to grain size diversity in rice. Nat. Genet. 2015, 47, 944–948. [Google Scholar] [CrossRef]
- Wang, S.; Li, S.; Liu, Q.; Wu, K.; Zhang, J.; Wang, S.; Wang, Y.; Chen, X.; Zhang, Y.; Gao, C.; et al. The OsSPL16-GW7 regulatory module determines grain shape and simultaneously improves rice yield and grain quality. Nat. Genet. 2015, 47, 949–954. [Google Scholar] [CrossRef] [PubMed]
- Si, L.; Chen, J.; Huang, X.; Gong, H.; Luo, J.; Hou, Q.; Zhou, T.; Lu, T.; Zhu, J.; Shangguan, Y.; et al. OsSPL13 controls grain size in cultivated rice. Nat. Genet. 2016, 48, 447–456. [Google Scholar] [CrossRef] [PubMed]
- Zhao, D.S.; Li, Q.F.; Zhang, C.Q.; Zhang, C.; Yang, Q.Q.; Pan, L.X.; Ren, X.Y.; Lu, J.; Gu, M.H.; Liu, Q.Q. GS9 acts as a transcriptional activator to regulate rice grain shape and appearance quality. Nat. Commun. 2018, 9, 1240. [Google Scholar] [CrossRef]
- Zhu, Y.J.; Sun, Z.C.; Niu, X.J.; Ying, J.Z.; Fan, Y.Y.; Mou, T.M.; Tang, S.Q.; Zhuang, J.Y. Dissection of three quantitative trait loci for grain size on the long arm of chromosome 10 in rice (Oryza sativa L.). PeerJ 2019, 7, e6966. [Google Scholar] [CrossRef] [PubMed]
- Zhan, P.; Ma, S.; Xiao, Z.; Li, F.; Wei, X.; Lin, S.; Wang, X.; Ji, Z.; Fu, Y.; Pan, J.; et al. Natural variations in grain length 10 (GL10) regulate rice grain size. J. Genet. Genom. 2022, 49, 405–413. [Google Scholar] [CrossRef]
- Zuo, Z.W.; Zhang, Z.H.; Huang, D.R.; Fan, Y.Y.; Yu, S.B.; Zhuang, J.Y.; Zhu, Y.J. Control of thousand-grain weight by OsMADS56 in rice. Int. J. Mol. Sci. 2022, 23, 125. [Google Scholar] [CrossRef]
- Ruan, B.; Shang, L.; Zhang, B.; Hu, J.; Wang, Y.; Lin, H.; Zhang, A.; Liu, C.; Peng, Y.; Zhu, L.; et al. Natural variation in the promoter of TGW2 determines grain width and weight in rice. New Phytol. 2020, 227, 629–640. [Google Scholar] [CrossRef]
- Yu, J.; Xiong, H.; Zhu, X.; Zhang, H.; Li, H.; Miao, J.; Wang, W.; Tang, Z.; Zhang, Z.; Yao, G.; et al. OsLG3 contributing to rice grain length and yield was mined by Ho-LAMap. BMC Biol. 2017, 15, 28. [Google Scholar] [CrossRef]
- Xu, C.; Liu, Y.; Li, Y.; Xu, X.; Xu, C.; Li, X.; Xiao, J.; Zhang, Q. Differential expression of GS5 regulates grain size in rice. J. Exp. Bot. 2015, 66, 2611–2623. [Google Scholar] [CrossRef]
- Song, X.J.; Kuroha, T.; Ayano, M.; Furuta, T.; Nagai, K.; Komeda, N.; Segami, S.; Miura, K.; Ogawa, D.; Kamura, T.; et al. Rare allele of a previously unidentified histone H4 acetyltransferase enhances grain weight, yield, and plant biomass in rice. Proc. Natl. Acad. Sci. USA 2015, 112, 76–81. [Google Scholar] [CrossRef]
- Qiao, J.; Jiang, H.; Lin, Y.; Shang, L.; Wang, M.; Li, D.; Fu, X.; Geisler, M.; Qi, Y.; Gao, Z.; et al. A novel miR167a-OsARF6-OsAUX3 module regulates grain length and weight in rice. Mol. Plant 2021, 14, 1683–1698. [Google Scholar] [CrossRef] [PubMed]
- Duan, P.; Xu, J.; Zeng, D.; Zhang, B.; Geng, M.; Zhang, G.; Huang, K.; Huang, L.; Xu, R.; Ge, S.; et al. Natural variation in the promoter of GSE5 contributes to grain size diversity in rice. Mol. Plant 2017, 10, 685–694. [Google Scholar] [CrossRef] [PubMed]
- Liu, J.; Chen, J.; Zheng, X.; Wu, F.; Lin, Q.; Heng, Y.; Tian, P.; Cheng, Z.; Yu, X.; Zhou, K.; et al. GW5 acts in the brassinosteroid signalling pathway to regulate grain width and weight in rice. Nat. Plants 2017, 3, 17043. [Google Scholar] [CrossRef] [PubMed]
- Shi, C.L.; Dong, N.Q.; Guo, T.; Ye, W.W.; Shan, J.X.; Lin, H.X. A quantitative trait locus GW6 controls rice grain size and yield through the gibberellin pathway. Plant J. 2020, 103, 1174–1188. [Google Scholar] [CrossRef]
- Wang, S.; Wu, K.; Yuan, Q.; Liu, X.; Liu, Z.; Lin, X.; Zeng, R.; Zhu, H.; Dong, G.; Qian, Q.; et al. Control of grain size, shape and quality by OsSPL16 in rice. Nat. Genet. 2012, 44, 950–954. [Google Scholar] [CrossRef]
- Zhan, P.; Wei, X.; Xiao, Z.; Wang, X.; Ma, S.; Lin, S.; Li, F.; Bu, S.; Liu, Z.; Zhu, H.; et al. GW10, a member of P450 subfamily regulates grain size and grain number in rice. Theor. Appl. Genet. 2021, 134, 3941–3950. [Google Scholar] [CrossRef]
- Li, N.; Xu, R.; Duan, P.G.; Li, Y.H. Control of grain size in rice. Plant Peprod. 2018, 31, 237–251. [Google Scholar] [CrossRef]
- Li, N.; Li, Y.H. Signaling pathways of seed size control in plants. Curr. Opin. Plant Biol. 2016, 33, 23–32. [Google Scholar] [CrossRef]
- Li, N.; Xu, R.; Li, Y.H. Molecular networks of seed size control in plants. Annu. Rev. Plant Biol. 2019, 60, 435–463. [Google Scholar] [CrossRef]
- Guo, T.; Lu, Z.Q.; Shan, J.X.; Ye, W.W.; Dong, N.Q.; Lin, H.X. ERECTA1 acts upstream of the OsMKK10-OsMKK4-OsMPK6 cascade to control spikelet number by regulating cytokinin metabolism in rice. Plant Cell 2020, 32, 2763–2779. [Google Scholar] [CrossRef]
- Xu, R.; Duan, P.; Yu, H.; Zhou, Z.; Zhang, B.; Wang, R.; Li, J.; Zhang, G.; Zhuang, S.; Lyu, J.; et al. Control of grain size and weight by the OsMKKK10-OsMKK4-OsMAPK6 signaling pathway in rice. Mol. Plant 2018, 11, 860–873. [Google Scholar] [CrossRef] [PubMed]
- Guo, T.; Chen, K.; Dong, N.Q.; Shi, C.L.; Ye, W.W.; Gao, J.P.; Shan, J.X.; Lin, H.X. GRAIN SIZE AND NUMBER1 negatively regulates the OsMKKK10-OsMKK4-OsMPK6 cascade to coordinate the trade-off between grain number per panicle and grain size in rice. Plant Cell 2018, 30, 871–888. [Google Scholar] [CrossRef] [PubMed]
- Zhang, Y.; Xiong, Y.; Liu, R.; Xue, H.; Yang, Z. The Rho-family GTPase OsRac1 controls rice grain size and yield by regulating cell division. Pro. Natl. Acad. Sci. USA 2019, 116, 16121–16126. [Google Scholar] [CrossRef]
- Zhang, H.; Zhu, Y.J.; Zhu, A.D.; Fan, Y.Y.; Huang, T.X.; Zhang, J.F.; Xie, H.A.; Zhuang, J.Y. Fine-mapping of qTGW2, a quantitative trait locus for grain weight in rice (Oryza sativa L.). PeerJ 2020, 8, e8679. [Google Scholar] [CrossRef]
- Zheng, K.L.; Huang, N.; Bennett, J.; Khush, G.S. PCR-Based Marker Assisted Selection in Rice Breeding: IRRI Discussion Paper Series No. 12; International Rice Research Institute: Los Banos, CA, USA, 1995. [Google Scholar]
- Chen, X.; Temnykh, S.; Xu, Y.; Cho, Y.G.; McCouch, S.R. Development of a microsatellite framework map providing genome-wide coverage in rice (Oryza sativa L). Theor. Appl. Genet. 1997, 95, 553–567. [Google Scholar] [CrossRef]
- Dai, W.M.; Zhang, K.Q.; Wu, J.R.; Wang, L.; Duan, B.W.; Zheng, K.L.; Cai, R.; Zhuang, J.Y. Validating a segment on the short arm of chromosome 6 responsible for genetic variation in the hull silicon content and yield traits of rice. Euphytica 2008, 160, 317–324. [Google Scholar] [CrossRef]
- Kim, D.; Langmead, B.; Salzberg, S.L. HISAT: A fast spliced aligner with low memory requirements. Nat. Methods 2015, 12, 357–360. [Google Scholar] [CrossRef]
- Anders, S.; Pyl, P.T.; Huber, W. HTSeq—A Python framework to work with high-throughput sequencing data. Bioinformatics 2015, 31, 166–169. [Google Scholar] [CrossRef]
- Livak, K.J.; Schmittgen, T.D. Analysis of relative gene expression data using real-time quantitative PCR and the 2-ΔΔCt method. Methods 2001, 25, 402–408. [Google Scholar] [CrossRef]
- Zhao, H.; Yao, W.; Ouyang, Y.; Yang, W.; Wang, G.; Lian, X.; Xing, Y.; Chen, L.; Xie, W. RiceVarMap: A comprehensive database of rice genomic variations. Nucleic Acids Res. 2015, 43, 1018–1022. [Google Scholar] [CrossRef]
- Wu, W.; Zheng, X.; Lu, G.; Zhong, Z.; Gao, H.; Chen, L.; Wu, C.; Wang, H.; Wang, Q.; Zhou, K.; et al. Association of functional nucleotide polymorphisms at DTH2 with the northward expansion of rice cultivation in Asia. Proc. Natl. Acad. Sci. USA 2013, 110, 2775–2780. [Google Scholar] [CrossRef] [PubMed]
- Shibaya, T.; Hori, K.; Ogiso-Tanaka, E.; Yamanouchi, U.; Shu, K.; Kitazawa, N.; Shomura, A.; Ando, T.; Ebana, K.; Wu, J.; et al. Hd18, encoding histone acetylase related to Arabidopsis FLOWERING LOCUS D, is involved in the control of flowering time in rice. Plant Cell Physiol. 2016, 57, 1828–1838. [Google Scholar] [CrossRef]
- Chen, J.Y.; Guo, L.; Ma, H.; Chen, Y.Y.; Zhang, H.W.; Ying, J.Z.; Zhuang, J.Y. Fine mapping of qHd1, a minor heading date QTL with pleiotropism for yield traits in rice (Oryza sativa L.). Theor. Appl. Genet. 2014, 127, 2515–2524. [Google Scholar] [CrossRef]
- Zhong, Z.; Wu, W.; Wang, H.; Chen, L.; Liu, L.; Wang, C.; Zhao, Z.; Lu, G.; Gao, H.; Wei, X.; et al. Fine mapping of a minor effect QTL, DTH12, controlling heading date in rice by upregulation of florigen genes under long-day conditions. Mol. Breed. 2014, 34, 311–322. [Google Scholar] [CrossRef]
- Chen, L.; Zhong, Z.; Wu, W.; Liu, L.; Lu, G.; Jin, M.; Tan, J.; Sheng, P.; Wang, D.; Wang, J.; et al. Fine mapping of DTH3b, a minor heading date QTL potentially functioning upstream of Hd3a and RFT1 under long-day conditions in rice. Mol. Breed. 2015, 35, 206. [Google Scholar] [CrossRef]
- Wang, S.L.; Zhang, Z.H.; Fan, Y.Y.; Huang, D.R.; Yang, Y.L.; Zhuang, J.Y.; Zhu, Y.J. Control of grain weight and size in rice (Oryza sativa L.) by OsPUB3 encoding a U-Box E3 ubiquitin ligase. Rice 2022, 15, 58. [Google Scholar] [CrossRef]
- Zhang, H.; Huang, D.R.; Shen, Y.; Niu, X.J.; Fan, Y.Y.; Zhang, Z.H.; Zhuang, J.Y.; Zhu, Y.J. GL5.2, a quantitative trait locus for rice grain shape, encodes a RING-type E3 ubiquitin ligase. Plants 2024, 13, 2521. [Google Scholar] [CrossRef]
- Yamamoto, E.; Iwata, H.; Tanabata, T.; Mizobuchi, R.; Yonemaru, J.-I.; Yamamoto, T. Effect of advanced intercrossing on genome structure and on the power to detect linked quantitative trait loci in a multi-parent population: A simulation study in rice. BMC Genet. 2014, 15, 50. [Google Scholar] [CrossRef][Green Version]
- Niu, X.; Zhang, Z.; Chan, A.N.; Fan, Y.; Tang, S.; Yu, S.; Zhuang, J.; Zhu, Y. Dissection of two quantitative trait loci for grain length linked on the long arm of chromosome 5 in rice. Crop Sci. 2021, 61, 4151–4163. [Google Scholar] [CrossRef]






| Generation | Population | Trait | Phenotype (Mean ± SD) | p-Value | A | R2 (%) | |
|---|---|---|---|---|---|---|---|
| NILTQ | NILIRBB52 | ||||||
| F12:13 | HF1 | TGW | 25.30 ± 0.52 | 25.41 ± 0.34 | 0.2941 | ||
| GL | 7.837 ± 0.052 | 7.842 ± 0.045 | 0.6414 | ||||
| GW | 2.860 ± 0.021 | 2.870 ± 0.018 | 0.0365 | ||||
| RLW | 2.754 ± 0.018 | 2.746 ± 0.020 | 0.0978 | ||||
| HF2 | TGW | 24.85 ± 0.45 | 25.29 ± 0.42 | <0.0001 | 0.22 | 13.37 | |
| GL | 7.980 ± 0.074 | 8.021 ± 0.066 | 0.0173 | 0.020 | 5.26 | ||
| GW | 2.803 ± 0.018 | 2.822 ± 0.016 | <0.0001 | 0.009 | 14.10 | ||
| RLW | 2.875 ± 0.022 | 2.853 ± 0.021 | 0.4441 | ||||
| HF3 | TGW | 25.73 ± 0.44 | 25.83 ± 0.38 | 0.3714 | |||
| GL | 8.075 ± 0.055 | 8.073 ± 0.067 | 0.8530 | ||||
| GW | 2.771 ± 0.025 | 2.778 ± 0.027 | 0.2473 | ||||
| RLW | 2.928 ± 0.022 | 2.928 ± 0.024 | 0.9787 | ||||
| Locus Name | Polymorphism Using Teqing as a Reference | ||||||
|---|---|---|---|---|---|---|---|
| LOC_Os02g57630 | NP | A97G | −374T | T753C | G1203A | T2617G | G3037A |
| AP | intron | intron | intron | intron | I275M | intron | |
| LOC_Os02g57640 | NP | G2250C | A3731T | ||||
| AP | intron | intron | |||||
| LOC_Os02g57650 | NP | no difference | |||||
| AP | no difference | ||||||
| LOC_Os02g57660 | NP | −1717T | T4693C | −5649A | |||
| AP | stop | intron | intron | ||||
| LOC_Os02g57670 | NP | no difference | |||||
| AP | no difference | ||||||
| LOC_Os02g57690 | NP | A2074- | |||||
| AP | intron | ||||||
| LOC_Os02g57700 | NP | C2100T | |||||
| AP | intron | ||||||
| LOC_Os02g57710 | NP | A926G | C2819G | C4831T | |||
| AP | intron | intron | intron | ||||
| LOC_Os02g57720 | NP | no difference | |||||
| AP | no difference | ||||||
| LOC_Os02g57730 | NP | no difference | |||||
| AP | no difference | ||||||
| LOC_Os02g57740 | NP | no difference | |||||
| AP | no difference | ||||||
| LOC_Os02g57750 | NP | no difference | |||||
| AP | no difference | ||||||
| LOC_Os02g57760 | NP | no difference | |||||
| AP | no difference | ||||||
Disclaimer/Publisher’s Note: The statements, opinions and data contained in all publications are solely those of the individual author(s) and contributor(s) and not of MDPI and/or the editor(s). MDPI and/or the editor(s) disclaim responsibility for any injury to people or property resulting from any ideas, methods, instructions or products referred to in the content. |
© 2024 by the authors. Licensee MDPI, Basel, Switzerland. This article is an open access article distributed under the terms and conditions of the Creative Commons Attribution (CC BY) license (https://creativecommons.org/licenses/by/4.0/).
Share and Cite
Zhang, H.; Huang, D.-R.; Fan, Y.-Y.; Zhang, Z.-H.; Zhu, Y.-J. Identification of qTGW2, a Minor-Effect QTL Controlling Grain Weight in Rice. Agronomy 2024, 14, 2789. https://doi.org/10.3390/agronomy14122789
Zhang H, Huang D-R, Fan Y-Y, Zhang Z-H, Zhu Y-J. Identification of qTGW2, a Minor-Effect QTL Controlling Grain Weight in Rice. Agronomy. 2024; 14(12):2789. https://doi.org/10.3390/agronomy14122789
Chicago/Turabian StyleZhang, Hui, De-Run Huang, Ye-Yang Fan, Zhen-Hua Zhang, and Yu-Jun Zhu. 2024. "Identification of qTGW2, a Minor-Effect QTL Controlling Grain Weight in Rice" Agronomy 14, no. 12: 2789. https://doi.org/10.3390/agronomy14122789
APA StyleZhang, H., Huang, D.-R., Fan, Y.-Y., Zhang, Z.-H., & Zhu, Y.-J. (2024). Identification of qTGW2, a Minor-Effect QTL Controlling Grain Weight in Rice. Agronomy, 14(12), 2789. https://doi.org/10.3390/agronomy14122789

