The Impact of Humic Acid Fertilizers on Crop Yield and Nitrogen Use Efficiency: A Meta-Analysis
Abstract
1. Introduction
2. Materials and Methods
2.1. Data Collection and Processing
2.2. Meta-Analysis
2.3. Determining the Primary Factors Affecting HA Efficacy
3. Results
3.1. Overall Efficacy of HA Fertilizers
3.2. Influence of Climate Conditions on HA Efficacy
3.3. Influence of Soil Properties on HA Efficacy
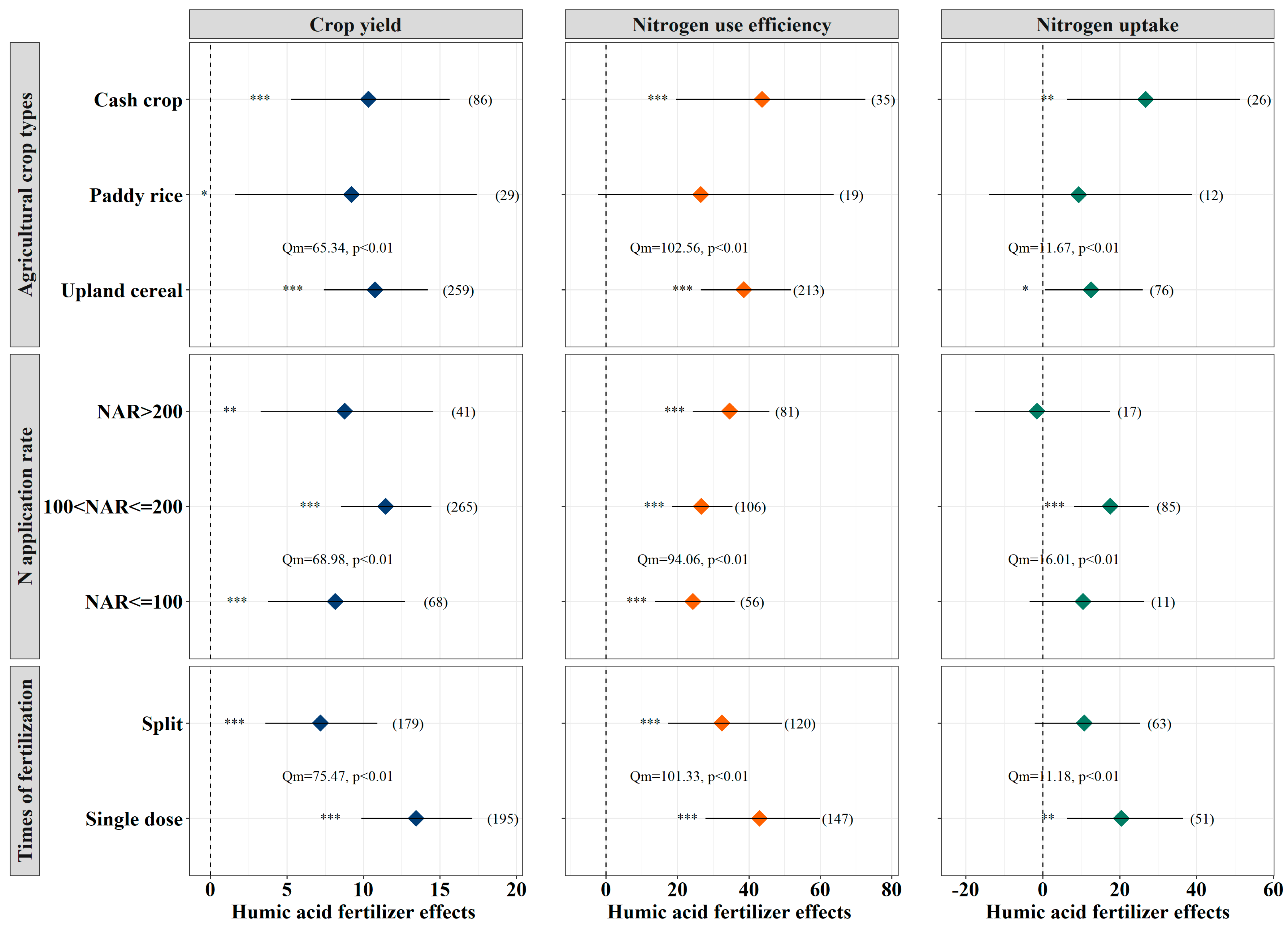
3.4. Influence of Field Management Practices on HA Efficacy
3.5. Factors Influencing HA Efficacy
4. Discussion
4.1. The Influence of Geographical and Climatic Factors on HA’s Effectiveness
4.2. The Effects of Soil Property Interactions on HA’s Efficacy
4.3. Effect of Field Management on HA Efficacy
5. Conclusions
Supplementary Materials
Author Contributions
Funding
Data Availability Statement
Conflicts of Interest
References
- Xu, G.; Fan, X.; Miller, A.J. Plant nitrogen assimilation and use efficiency. Annu. Rev. Plant Biol. 2012, 63, 153–182. [Google Scholar] [CrossRef]
- Guo, J.H.; Liu, X.J.; Zhang, Y.; Shen, J.L.; Han, W.X.; Zhang, W.F.; Christie, P.; Goulding, K.W.T.; Vitousek, P.M.; Zhang, F.S. Significant Acidification in Major Chinese Croplands. Science 2010, 327, 1008–1010. [Google Scholar] [CrossRef] [PubMed]
- Zhang, F.; Chen, X.; Vitousek, P. Chinese agriculture: An experiment for the world. Nature 2013, 497, 33–35. [Google Scholar] [CrossRef]
- Ju, X.T.; Xing, G.X.; Chen, X.P.; Zhang, S.L.; Zhang, L.J.; Liu, X.J.; Cui, Z.-L.; Yin, B.; Christieet, P.; Zhu, Z.-L.; et al. Reducing environmental risk by improving N management in intensive Chinese agricultural systems. Proc. Natl. Acad. Sci. USA 2009, 106, 3041–3046. [Google Scholar] [CrossRef] [PubMed]
- Stevenson, F.J. Humus chemistry; genesis, composition, reactions. Soil Sci. 1982, 135, 129–130. [Google Scholar] [CrossRef]
- Lal, R. Soil health and carbon management. Food Energy Secur. 2016, 5, 212–222. [Google Scholar] [CrossRef]
- Newcomb, C.J. Humic Matter in Soil and the Environment, Principles and Controversies. Soil Sci. Soc. Am. J. 2003, 79, 1520. [Google Scholar] [CrossRef]
- El Bouchtaoui, F.-Z.; Ablouh, E.-H.; Mhada, M.; Kassem, I.; Gracia, D.R.; El Achaby, M. Humic Acid-Functionalized Lignin-Based Coatings Regulate Nutrient Release and Promote Wheat Productivity and Grain Quality. ACS Appl. Mater. Interfaces 2024, 16, 30355–30370. [Google Scholar] [CrossRef]
- Saudy, H.S.; Hamed, M.F.; El-Momen, W.R.A.; Hussein, H. Nitrogen use Rationalization and Boosting Wheat Productivity by Applying Packages of Humic, Amino Acids, and Microorganisms. Commun. Soil Sci. Plant Anal. 2020, 51, 1036–1047. [Google Scholar] [CrossRef]
- Mahoney, K.J.; McCreary, C.M.; Depuydt, D.; Gillard, C.L. Fulvic and humic acid fertilizers are ineffective in dry bean. Can. J. Plant Sci. 2017, 97, 202–205. [Google Scholar] [CrossRef]
- Kleber, M.; Johnson, M.G. Advances in Understanding the Molecular Structure of Soil Organic Matter. Adv. Agron. 2010, 106, 77–142. [Google Scholar] [CrossRef]
- Jing, J.; Zhang, S.; Yuan, L.; Li, Y.; Lin, Z.; Xiong, Q.; Zhao, B. Combining humic acid with phosphate fertilizer affects humic acid structure and its stimulating efficacy on the growth and nutrient uptake of maize seedlings. Sci. Rep. 2020, 10, 17502. [Google Scholar] [CrossRef] [PubMed]
- Hou, S.; Yang, S.; Peng, G.; Zhang, Z. Physicochemical properties of humic acid and its effect on phosphorus availability in acid soils. J. Anhui Agric. Sci. 2012, 40, 7127–7129. [Google Scholar] [CrossRef]
- Luo, Y.; Li, X.; Zhang, S.; Zhu, M.; Lü, Y.; Dai, Z.; Zhang, Y. Comparison of different humic acid properties and their effects on soil and crops. J. Agric. Sci. Technol. 2015, 32, 118–125. [Google Scholar] [CrossRef]
- Palkar, K.P.; Meshram, N.A.; Kasture, M.C. Effect of crop residue and fertilizers on humus fractions and rice (Oryza sativa) yield. Indian J. Agric. Sci. 2022, 92, 249–253. [Google Scholar] [CrossRef]
- Hartz, T.K.; Bottoms, T.G. Humic Substances Generally Ineffective in Improving Vegetable Crop Nutrient Uptake or Productivity. Hortscience 2010, 45, 906–910. [Google Scholar] [CrossRef]
- Lv, J.; Zhang, X.; Sha, Z.; Li, S.; Chen, X.; Chen, Y.; Liu, X. Mitigation of reactive nitrogen loss from arable soils through microbial inoculant application: A meta-analysis. Soil Tillage Res. 2024, 235, 105883. [Google Scholar] [CrossRef]
- Hedges, L.V.; Gurevitch, J.; Curtis, P.S. The Meta-Analysis of Response Ratios in Experimental Ecology. Ecology 1999, 80, 1150–1156. [Google Scholar] [CrossRef]
- Gui, D.; Zhang, Y.; Lv, J.; Guo, J.; Sha, Z. Effects of intercropping on soil greenhouse gas emissions-A global meta-analysis. Sci. Total Environ. 2013, 918, 170632. [Google Scholar] [CrossRef]
- Jouffray, J.-B.; Wedding, L.M.; Norström, A.V.; Donovan, M.K.; Williams, G.J.; Crowder, L.B.; Erickson, A.L.; Friedlander, A.M.; Graham, N.A.J.; Gove, J.M.; et al. Parsing human and biophysical drivers of coral reef regimes. Proc. Biol. Sci. 2019, 286, 20182544. [Google Scholar] [CrossRef]
- Wolfgang, V. Conducting Meta-Analyses in R with The metafor Package. J. Stat. Softw. 2010, 36, 1–48. [Google Scholar] [CrossRef]
- Piccolo, A.; Spaccini, R.; Nieder, R.; Richter, J. Sequestration of a Biologically Labile Organic Carbon in Soils by Humified Organic Matter. Clim. Chang. 2004, 67, 329–343. [Google Scholar] [CrossRef]
- Nardi, S.; Pizzeghello, D.; Muscolo, A.; Vianello, A. Physiological effects of humic substances on higher plants. Soil Biol. Biochem. 2002, 34, 1527–1536. [Google Scholar] [CrossRef]
- Canellas, L.P.; Olivares, F.L.; Aguiar, N.O.; Jones, D.L.; Nebbioso, A.; Mazzei, P.; Piccolo, A. Humic and fulvic acids as biostimulants in horticulture. Sci. Hortic. 2015, 196, 15–27. [Google Scholar] [CrossRef]
- Young, C.C.; Chang, C.H.; Chen, L.F.; Chao, C.C. Characterization of the nitrogen fixation and ferric phosphate solubilizing bacteria isolated from a Taiwan soil. J. Chin. Chem. Soc. Taip. 1998, 36, 201–210. [Google Scholar]
- Olk, D.C.; Dinnes, D.L.; Scoresby, J.R.; Callaway, C.R.; Darlington, J.W. Humic products in agriculture: Potential benefits and research challenges—A review. J. Soils Sediments 2018, 18, 2881–2891. [Google Scholar] [CrossRef]
- Olaetxea, M.; De Hita, D.; Garcia, C.A.; Fuentes, M.; Baigorri, R.; Mora, V.; Garnica, M.; Urrutia, O.; Erro, J.; Zamarreño, A.M.; et al. Hypothetical framework integrating the main mechanisms involved in the promoting action of rhizospheric humic substances on plant root-and shoot-growth. Appl. Soil Ecol. 2017, 123, 521–537. [Google Scholar] [CrossRef]
- Atkin, O.K.; Tjoelker, M.G. Thermal acclimation and the dynamic response of plant respiration to temperature. Trends Plant Sci. 2003, 8, 343–351. [Google Scholar] [CrossRef]
- Piccolo, A.; Mbagwu, J.S.C. Role of Hydrophobic Components of Soil Organic Matter in Soil Aggregate Stability. Soil Sci. Soc. Am. J. 1999, 63, 1801–1810. [Google Scholar] [CrossRef]
- Baigorri, R.; Fuentes, M.; González-Gaitano, G.; García-Mina, J.M.; Almendros, G.; González-Vila, F.J. Complementary multianalytical approach to study the distinctive structural features of the main humic fractions in solution: Gray humic acid, brown humic acid, and fulvic acid. J. Agric. Food Chem. 2009, 57, 3266–3272. [Google Scholar] [CrossRef]
- Tipping, E.; Hurley, M.A. A model of solid-solution interactions in acid organic soils, based on the complexation properties of humic substances. J. Soil Sci. 2010, 39, 505–519. [Google Scholar] [CrossRef]
- Lehmann, J.; Solomon, D.; Kinyangi, J.; Dathe, L.; Wirick, S.; Jacobsen, C. Spatial complexity of soil organic matter forms at nanometre scales. Nat. Geosci. 2008, 1, 238–242. [Google Scholar] [CrossRef]
- Conant, R.T.; Ryan, M.G.; Ågren, G.I.; Birge, H.E.; Davidson, E.A.; Eliasson, P.E.; Evans, S.E.; Frey, S.D.; Giardina, C.P.; Hopkins, F.M.; et al. Temperature and soil organic matter decomposition rates—Synthesis of current knowledge and a way forward. Glob. Chang. Biol. 2011, 17, 3392–3404. [Google Scholar] [CrossRef]
- Fierer, N.; Bradford, M.A.; Jackson, R.B. Toward an Ecological Classification of Soil Bacteria. Ecology 2007, 88, 1354–1364. [Google Scholar] [CrossRef]
- Elsas, J.D.V. Methods of soil analysis. Part 2—Microbiological and biochemical properties. Sci. Hortic. 1995, 63, 131–133. [Google Scholar] [CrossRef]
- Jannin, L.; Arkoun, M.; Ourry, A.; Laîné, P.; Goux, D.; Garnica, M.; Fuentes, M.; Francisco, S.S.; Baigorri, B.B.; Cruz, F.; et al. Microarray analysis of humic acid effects on Brassica napus growth: Involvement of N, C and S metabolisms. Plant Soil 2012, 359, 297–319. [Google Scholar] [CrossRef]
- Qin, W.; Hu, C.; Oenema, O. Soil mulching significantly enhances yields and water and nitrogen use efficiencies of maize and wheat: A meta-analysis. Sci. Rep. 2015, 5, 16210. [Google Scholar] [CrossRef]
- Rose, M.T.; Patti, A.F.; Little, K.R.; Brown, A.L.; Jackson, W.R.; Cavagnaro, T.R. A Meta-Analysis and Review of Plant-Growth Response to Humic Substances: Practical Implications for Agriculture. Adv. Agron. 2014, 124, 37–89. [Google Scholar] [CrossRef]
- Ampong, K.; Thilakaranthna, M.S.; Gorim, L.Y. Understanding the role of humic acids on crop performance and soil health. Front. Agron. 2022, 4, 848621. [Google Scholar] [CrossRef]
- Masunga, R.H.; Uzokwe, V.N.; Mlay, P.D.; Odeh, I.; Singh, A.; Buchan, D.; De Neve, S. Nitrogen Mineralization Dynamics of Different Valuable Organic Amendments Commonly Used in Agriculture; Elsevier: Amsterdam, The Netherlands, 2016. [Google Scholar] [CrossRef]
- Tavares, O.C.H.; Ribeiro, T.G.; García-Mina, J.M.; Baldani, V.L.D.; García, A.C.; Berbara, R.L.L.; da Conceição Jesus, E. Humic acids enrich the plant microbiota with bacterial candidates for the suppression of pathogens. Appl. Soil Ecol. 2021, 168, 104146. [Google Scholar] [CrossRef]
- Zhou, S.; Chen, S.; Yuan, Y.; Lu, Q. Influence of Humic Acid Complexation with Metal Ions on Extracellular Electron Transfer Activity. Sci. Rep. 2015, 5, 17067. [Google Scholar] [CrossRef] [PubMed]
- Van Oosten, M.J.; Pepe, O.; De Pascale, S.; Silletti, S.; Maggio, A. The role of biostimulants and bioeffectors as alleviators of abiotic stress in crop plants. Chem. Biol. Technol. Agric. 2017, 4, 5. [Google Scholar] [CrossRef]
- Kleber, M.; Eusterhues, K.; Keiluweit, M.; Mikutta, C.; Mikutta, R.; Nico, P.S. Mineral–Organic Associations: Formation, Properties, and Relevance in Soil Environments. Adv. Agron. 2015, 130, 1–140. [Google Scholar] [CrossRef]
- Trevisan, S.; Francioso, O.; Quaggiotti, S.; Nardi, S. Humic substances biological activity at the plant-soil interface. Plant Signal. Behav. 2010, 5, 635–643. [Google Scholar] [CrossRef] [PubMed]






Disclaimer/Publisher’s Note: The statements, opinions and data contained in all publications are solely those of the individual author(s) and contributor(s) and not of MDPI and/or the editor(s). MDPI and/or the editor(s) disclaim responsibility for any injury to people or property resulting from any ideas, methods, instructions or products referred to in the content. |
© 2024 by the authors. Licensee MDPI, Basel, Switzerland. This article is an open access article distributed under the terms and conditions of the Creative Commons Attribution (CC BY) license (https://creativecommons.org/licenses/by/4.0/).
Share and Cite
Ma, Y.; Cheng, X.; Zhang, Y. The Impact of Humic Acid Fertilizers on Crop Yield and Nitrogen Use Efficiency: A Meta-Analysis. Agronomy 2024, 14, 2763. https://doi.org/10.3390/agronomy14122763
Ma Y, Cheng X, Zhang Y. The Impact of Humic Acid Fertilizers on Crop Yield and Nitrogen Use Efficiency: A Meta-Analysis. Agronomy. 2024; 14(12):2763. https://doi.org/10.3390/agronomy14122763
Chicago/Turabian StyleMa, Yunqi, Xiaoyu Cheng, and Yuyang Zhang. 2024. "The Impact of Humic Acid Fertilizers on Crop Yield and Nitrogen Use Efficiency: A Meta-Analysis" Agronomy 14, no. 12: 2763. https://doi.org/10.3390/agronomy14122763
APA StyleMa, Y., Cheng, X., & Zhang, Y. (2024). The Impact of Humic Acid Fertilizers on Crop Yield and Nitrogen Use Efficiency: A Meta-Analysis. Agronomy, 14(12), 2763. https://doi.org/10.3390/agronomy14122763

