Effects of GroMore® Program on Rice Yield and GHG Emissions in a Korean Paddy Rice
Abstract
1. Introduction
2. Materials and Methods
2.1. Field Experiment

2.2. Management of the Chemicals and Fertilizer Application, Water Irrigation, and Rice Cultivation
2.3. Agronomic Measurements
2.4. Measurement of CH4 and N2O
2.5. Greenhouse Gas Intensity (GHGI) Estimated with Aggregate Emission of CH4 and N2O
2.6. Statistical Analysis
3. Results and Discussions
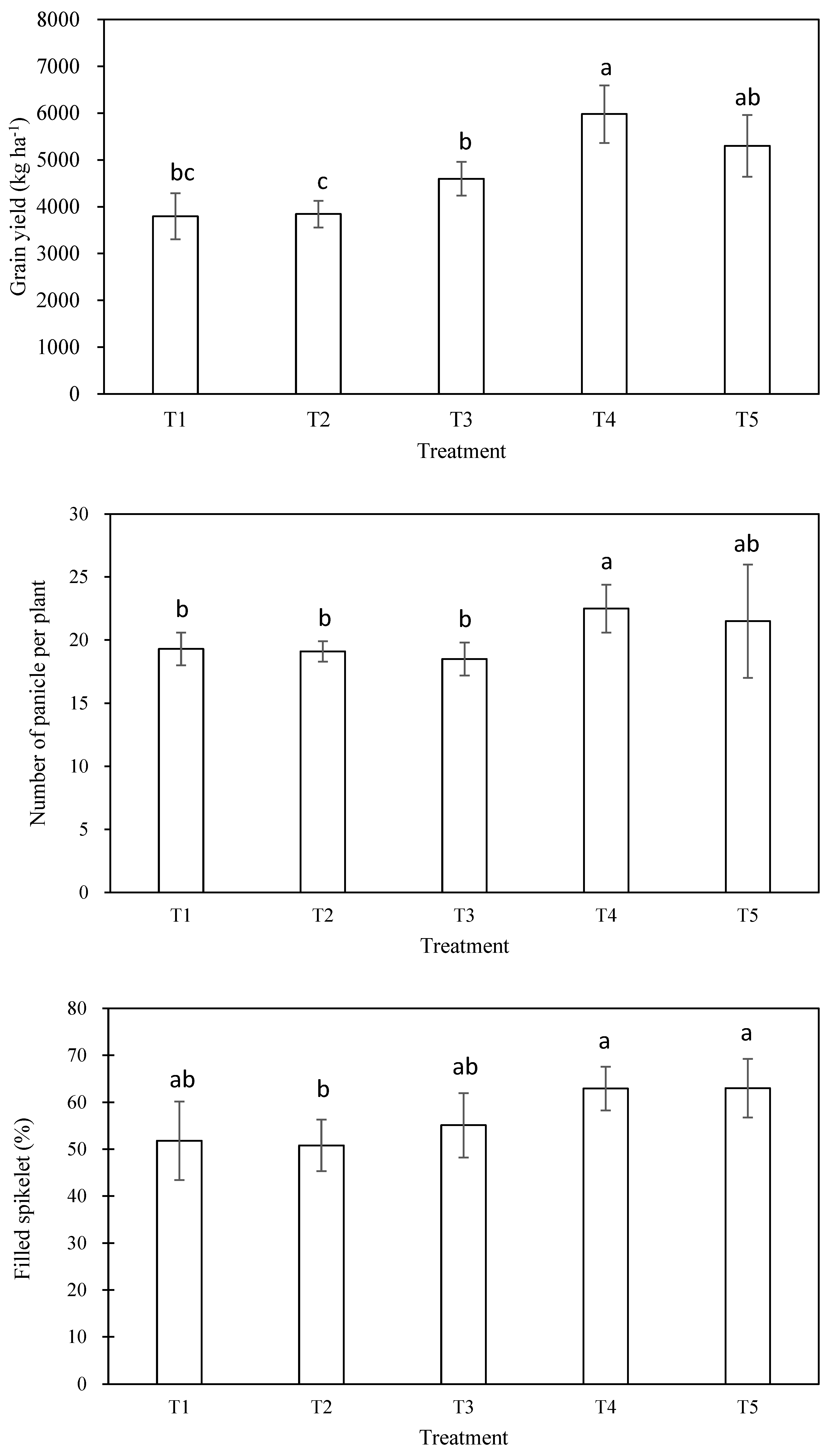
3.1. Rice Yield Characteristics
3.2. Effect of the Chemical Applications With/Without Amino Acids on CH4 Emissions and GHGI
3.3. PCA Analysis
4. Conclusions
Supplementary Materials
Author Contributions
Funding
Data Availability Statement
Acknowledgments
Conflicts of Interest
References
- Audsley, E.; Stacey, K.; Parsons, D.J.; Williams, A.G. Estimation of the Greenhouse Gas Emissions from Agricultural Pesticide Manufacture and Use; Crop Protection Association: Bedford, UK, 2009; pp. 1–20. [Google Scholar]
- Ku, H.H.; Hayashi, K.; Agbisit, R.; Villegas-Pangga, G. Evaluation of fertilizer and water management effect on rice performance and greenhouse gas intensity in different seasonal weather of tropical climate. Sci. Total Environ. 2017, 601, 1254–1262. [Google Scholar] [CrossRef] [PubMed]
- Jeong, S.T.; Kim, G.W.; Hwang, H.Y.; Kim, P.J.; Kim, S.Y. Beneficial effect of compost utilization on reducing greenhouse gas emissions in a rice cultivation system through the overall management chain. Sci. Total Environ. 2018, 613, 115–122. [Google Scholar] [CrossRef] [PubMed]
- Kim, G.W.; Gutierrez-Suson, J.; Kim, P.J. Optimum N rate for grain yield coincides with minimum greenhouse gas intensity in flooded rice fields. Field Crops Res. 2019, 237, 23–31. [Google Scholar] [CrossRef]
- Burke, M.; Lobell, D. Food security and adaptation to climate change: What do we know? In Climate Change and Food Security: Adapting Agriculture to a Warmer World; Springer: New York, NY, USA, 2010; pp. 133–153. [Google Scholar]
- Barth, H.G.; Sun, S.T. Particle size analysis. Anal. Chem. 1989, 61, 143–152. [Google Scholar] [CrossRef] [PubMed]
- Bradshaw, C.J.; Leroy, B.; Bellard, C.; Roiz, D.; Albert, C.; Fournier, A.; Barbet-Massin, M.; Salles, J.-M.; Simard, F.; Courchamp, F. Massive yet grossly underestimated global costs of invasive insects. Nat. Commun. 2016, 7, 12986. [Google Scholar] [CrossRef]
- FAO. Pesticides Use. Available online: https://www.fao.org/faostat/en/#data/RP (accessed on 2 October 2024).
- Tosun, N.; Karabay, N.Ü.; Sayım, F. Pesticide usage and their potential adverse impacts on living organisms. Anadolu J. AARI 2001, 11, 113–125. [Google Scholar]
- Kalia, A.; Gosal, S. Effect of pesticide application on soil microorganisms. Arch. Agron. Soil Sci. 2011, 57, 569–596. [Google Scholar] [CrossRef]
- Zacharia, J.T. Ecological effects of pesticides. In Pesticides in the Modern World-Risks and Benefits; IntechPublisher: Rijeka, Croatia, 2011; pp. 129–142. [Google Scholar]
- Liu, X.; Xu, X.; Li, C.; Zhang, H.; Fu, Q.; Shao, X.; Ye, Q.; Li, Z. Degradation of chiral neonicotinoid insecticide cycloxaprid in flooded and anoxic soil. Chemosphere 2015, 119, 334–341. [Google Scholar] [CrossRef]
- Prudnikova, S.; Streltsova, N.; Volova, T. The effect of the pesticide delivery method on the microbial community of field soil. Environ. Sci. Pollut. Res. 2021, 28, 8681–8697. [Google Scholar] [CrossRef]
- Behera, B.; Singh, G.S. Studies on weed management in monsoon season crop of tomato. Indian J. Weed Sci. 1999, 31, 67–70. [Google Scholar]
- Webster, J.; Bowles, R.; Williams, N. Estimating the economic benefits of alternative pesticide usage scenarios: Wheat production in the United Kingdom. Crop Prot. 1999, 18, 83–89. [Google Scholar] [CrossRef]
- Ross, G. Risks and benefits of DDT. Lancet 2005, 366, 1771–1772. [Google Scholar] [CrossRef]
- Cooper, J.; Dobson, H. The benefits of pesticides to mankind and the environment. Crop Prot. 2007, 26, 1337–1348. [Google Scholar] [CrossRef]
- Bellamy, C. The State of the World’s Children 1998; Oxford University Press for UNICEF: New York, NY, USA, 1998. [Google Scholar]
- Aktar, W.; Sengupta, D.; Chowdhury, A. Impact of pesticides use in agriculture: Their benefits and hazards. Interdiscip. Toxicol. 2009, 2, 1–12. [Google Scholar] [CrossRef] [PubMed]
- Ahmed, S.; Chauhan, B.S.; Humphreys, E. Effect of application timings of soil applied herbicides on weed growth and crop yield in dry-seeded rice in Bangladesh. In Proceedings of the Weed Science Society Conference, Bandung, Indonesia, 22–25 October 2013. [Google Scholar]
- Cederberg, C.; Persson, U.M.; Schmidt, S.; Hedenus, F.; Wood, R. Beyond the borders–burdens of Swedish food consumption due to agrochemicals, greenhouse gases and land-use change. J. Clean. Prod. 2019, 214, 644–652. [Google Scholar] [CrossRef]
- Mithila, J.; Hall, J.C.; Johnson, W.G.; Kelley, K.B.; Riechers, D.E. Evolution of resistance to auxinic herbicides: Historical perspectives, mechanisms of resistance, and implications for broadleaf weed management in agronomic crops. Weed Sci. 2011, 59, 445–457. [Google Scholar] [CrossRef]
- Karimmojeni, H.; Pirbaloti, A.G.; Kudsk, P.; Kanani, V.; Ghafori, A. Influence of Postemergence Herbicides on Weed Management in Spring-Sown Linseed. Agron. J. 2013, 105, 821–826. [Google Scholar] [CrossRef]
- Owen, M.J.; Martinez, N.J.; Powles, S.B. Multiple herbicide-resistant Lolium rigidum (annual ryegrass) now dominates across the W estern A ustralian grain belt. Weed Res. 2014, 54, 314–324. [Google Scholar] [CrossRef]
- Oyeogbe, A.I.; Das, T.; Bhatia, A.; Singh, S.B. Adaptive nitrogen and integrated weed management in conservation agriculture: Impacts on agronomic productivity, greenhouse gas emissions, and herbicide residues. Environ. Monit. Assess. 2017, 189, 198. [Google Scholar] [CrossRef]
- Grichar, W.J.; Rose, J.J.; Dotray, P.A.; Baughman, T.A.; Langham, D.R.; Werner, K.; Bagavathiannan, M. Response of sesame to selected herbicides applied early in the growing season. Int. J. Agron. 2018, 2018, 9373721. [Google Scholar] [CrossRef]
- Mirtaleb, S.H.; Niknejad, Y.; Fallah, H. Foliar spray of amino acids and potassic fertilizer improves the nutritional quality of rice. J. Plant Nutr. 2021, 44, 2029–2041. [Google Scholar] [CrossRef]
- Abbasi, P.A.; Cuppels, D.A.; Lazarovits, G. Effect of foliar applications of neem oil and fish emulsion on bacterial spot and yield of tomatoes and peppers. Can. J. Plant Pathol. 2003, 25, 41–48. [Google Scholar] [CrossRef]
- Priyanka, B.; Ramesh, T.; Rathika, S.; Balasubramaniam, P. Foliar application of fish amino acid and egg amino acid to improve the physiological parameters of rice. Int. J. Curr. Microbiol. Appl. Sci. 2019, 8, 3005. [Google Scholar] [CrossRef]
- Makino, A. Photosynthesis, grain yield, and nitrogen utilization in rice and wheat. Plant Physiol. 2011, 155, 125–129. [Google Scholar] [CrossRef] [PubMed]
- Caemmerer, S.; Evans, J.R. Determination of the average partial pressure of CO2 in chloroplasts from leaves of several C3 plants. Funct. Plant Biol. 1991, 18, 287–305. [Google Scholar] [CrossRef]
- Gianessi, L.P. The increasing importance of herbicides in worldwide crop production. Pest Manag. Sci. 2013, 69, 1099–1105. [Google Scholar] [CrossRef]
- Jiang, J.; Chen, L.; Sun, Q.; Sang, M.; Huang, Y. Application of herbicides is likely to reduce greenhouse gas (N2O and CH4) emissions from rice–wheat cropping systems. Atmos. Environ. 2015, 107, 62–69. [Google Scholar] [CrossRef]
- Das, S.; Ghosh, A.; Adhya, T. Nitrous oxide and methane emission from a flooded rice field as influenced by separate and combined application of herbicides bensulfuron methyl and pretilachlor. Chemosphere 2011, 84, 54–62. [Google Scholar] [CrossRef]
- Korean Soil Information System. Soil Classification. Available online: http://soil.rda.go.kr/geoweb/soilmain.do (accessed on 4 March 2023).
- Agricultural Weather 365. Agricultural Climatic Information. Available online: https://weather.rda.go.kr (accessed on 4 March 2024).
- Lee, K.S.; Park, W.K.; Jeong, B.K.; Song, Y.S.; Jeon, H.J.; Jeong, K.S.; Lee, C.S. Fertilizer Recommendation Standards for Various Crops; Rural Development Administration: Suwon, Republic of Korea, 2006; pp. 19–25. [Google Scholar]
- Hutchinson, G.; Mosier, A. Improved soil cover method for field measurement of nitrous oxide fluxes. Soil Sci. Soc. Am. J. 1981, 45, 311–316. [Google Scholar] [CrossRef]
- Rolston, D. Methods of Soil Analysis. Part 1. Physical and Mineralogical Methods; Klute, A., Ed.; American Society of Agronomy, Inc.: Madison, WI, USA, 1986; pp. 1103–1119. [Google Scholar]
- Solomon, S.; Qin, D.; Manning, M.; Alley, R.B.; Berntsen, T.; Bindoff, N.L.; Chen, Z.; Chidthaisong, A.; Gregory, J.M.; Hegerl, G.C. Technical summary. Climate Change 2007: The Physical Science Basis. Contribution of Working Group I to the Fourth Assessment Report of the Intergovernmental Panel on Climate Change; Solomon, S., Qin, D., Manning, M., Chen, Z., Marquis, M., Averyt, K.B., Tignor, M., Miller, H.L., Eds.; Cambridge University Press: New York, NY, USA, 2007. [Google Scholar]
- Ku, H.H.; Hayashi, K.; Agbisit, R.; Villegas-Pangga, G. Effect of calcium silicate on nutrient use of lowland rice and greenhouse gas emission from a paddy soil under alternating wetting and drying. Pedosphere 2020, 30, 535–543. [Google Scholar] [CrossRef]
- Luo, H.; Zhang, Y.; Yi, W.; Zhang, S.; Zhang, Q.; Xing, P.; Tang, X. Foliar application of phenylalanine, tryptophan, and tyrosine in fragrant rice production: Aroma, yield, grain quality, and economic return. Eur. J. Agron. 2024, 155, 127117. [Google Scholar] [CrossRef]
- Decouard, B.; Bailly, M.; Rigault, M.; Marmagne, A.; Arkoun, M.; Soulay, F.; Caïus, J.; Paysant-Le Roux, C.; Louahlia, S.; Jacquard, C. Corrigendum: Genotypic Variation of Nitrogen Use Efficiency and Amino Acid Metabolism in Barley. Front. Plant Sci. 2022, 13, 893540. [Google Scholar] [CrossRef] [PubMed]
- Wang, G.; Xu, M.; Wang, W.; Galili, G. Fortifying horticultural crops with essential amino acids: A review. Int. J. Mol. Sci. 2017, 18, 1306. [Google Scholar] [CrossRef] [PubMed]
- Garcia, A.; Madrid, R.; Gimeno, V.; Rodriguez-Ortega, W.; Nicolas, N.; Garcia-Sanchez, F. The effects of amino acids fertilization incorporated to the nutrient solution on mineral composition and growth in tomato seedlings. Span. J. Agric. Res. 2011, 9, 852–861. [Google Scholar] [CrossRef]
- Popko, M.; Michalak, I.; Wilk, R.; Gramza, M.; Chojnacka, K.; Górecki, H. Effect of the new plant growth biostimulants based on amino acids on yield and grain quality of winter wheat. Molecules 2018, 23, 470. [Google Scholar] [CrossRef]
- Havlin, J.L. Soil: Fertility and nutrient management. In Landscape and Land Capacity; CRC Press: Boca Raton, FL, USA, 2020; pp. 251–265. [Google Scholar]
- IRAC.org. Available online: https://irac-online.org (accessed on 1 March 2023).
- Chotsaeng, N.; Laosinwattana, C.; Charoenying, P. Enantioselective and synergistic herbicidal activities of common amino acids against Amaranthus tricolor and Echinochloa crus-galli. Molecules 2021, 26, 2071. [Google Scholar] [CrossRef]
- Zhao, P.; Wang, C.; Zhang, S.; Zheng, L.; Li, F.; Cao, C.; Cao, L.; Huang, Q. Fungicide-loaded mesoporous silica nanoparticles promote rice seedling growth by regulating amino acid metabolic pathways. J. Hazard. Mater. 2022, 425, 127892. [Google Scholar] [CrossRef]
- Zhao, G.-P.; Cheng, W.-L.; Zhang, Z.-H.; Li, Y.-X.; Li, Y.-Q.; Yang, F.-W.; Wang, Y.-B. The use of amino acids and their derivates to mitigate against pesticide-induced toxicity. Ecotoxicol. Environ. Saf. 2024, 276, 116340. [Google Scholar] [CrossRef]
- Chen, Y.; Guo, W.; Ngo, H.H.; Wei, W.; Ding, A.; Ni, B.; Hoang, N.B.; Zhang, H. Ways to mitigate greenhouse gas production from rice cultivation. J. Environ. Manag. 2024, 368, 122139. [Google Scholar] [CrossRef]
- Ding, H.; Liu, T.; Hu, Q.; Liu, M.; Cai, M.; Jiang, Y.; Cao, C. Effect of microbial community structures and metabolite profile on greenhouse gas emissions in rice varieties. Environ. Pollut. 2022, 306, 119365. [Google Scholar] [CrossRef]
- Conant, R.T.; Steinweg, J.M.; Haddix, M.L.; Paul, E.A.; Plante, A.F.; Six, J. Experimental warming shows that decomposition temperature sensitivity increases with soil organic matter recalcitrance. Ecology 2008, 89, 2384–2391. [Google Scholar] [CrossRef] [PubMed]
- Sowmya, R.; Warke, V.G.; Mahajan, G.B.; Annapure, U.S. Effect of amino acids on growth, elemental content, functional groups, and essential oils composition on hydroponically cultivated coriander under different conditions. Ind. Crops Prod. 2023, 197, 116577. [Google Scholar]
- Cai, Z.; Shan, Y.; Xu, H. Effects of nitrogen fertilization on CH4 emissions from rice fields. Soil Sci. Plant Nutr. 2007, 53, 353–361. [Google Scholar] [CrossRef]
- Hughes, D.J.; West, J.S.; Atkins, S.D.; Gladders, P.; Jeger, M.J.; Fitt, B.D. Effects of disease control by fungicides on greenhouse gas emissions by UK arable crop production. Pest Manag. Sci. 2011, 67, 1082–1092. [Google Scholar] [CrossRef]






| Soil Texture | pH | O.M 1 | Av. P2O5 | Av. SiO2 | K+ | Ca2+ | Mg2+ |
| (1:5) | (g kg−1) | (mg kg−1) | (mg kg−1) | (cmolc kg−1) | |||
| Loam | 6.5 | 13.3 | 23 | 173.7 | 0.5 | 4.4 | 1.5 |
| Treatment | Chemicals | Purpose | Recommended Rate |
|---|---|---|---|
| (g, mL ha−1) | |||
| T1 | - | - | - |
| T2 | Fipronil | Insecticide | 10,000 |
| Orysastrobin | Fungicide | 10,000 | |
| T3 | Clothianidin | Insecticide | 10,000 |
| Thifluzamide | Fungicide | 10,000 | |
| Tiadinil | 10,000 | ||
| T4 | Cyantraniliprole | Insecticide | 800 |
| Pymetrozine | 800 | ||
| Clothianidin | 2000 | ||
| Orysastrobin | Fungicide | 2000 | |
| Amino acid (water soluble) | Nutrition | 1500 | |
| T5 | Cyantraniliprole | Insecticide | 400 |
| Thiamethoxam | 400 | ||
| Clothianidin | 2000 | ||
| Orysastrobin | Fungicide | 2000 | |
| Amino acid (water soluble) | Nutrition | 1500 |
| Factor Loading | 1st PC | 2nd PC |
|---|---|---|
| Grain yield (kg ha−1) | 0.937 | 0.011 |
| Number of panicles per plant | 0.797 | 0.159 |
| Percentage filled spikelet (%) | 0.999 | 0.001 |
| Thousand-grain weight (g) | 0.978 | 0.000 |
| CH4 (kg ha−1) | 0.251 | 0.743 |
| Eigenvalue | 3.96 | 1.0 |
| Cumulative proportion | 79.2 | 97.5 |
Disclaimer/Publisher’s Note: The statements, opinions and data contained in all publications are solely those of the individual author(s) and contributor(s) and not of MDPI and/or the editor(s). MDPI and/or the editor(s) disclaim responsibility for any injury to people or property resulting from any ideas, methods, instructions or products referred to in the content. |
© 2024 by the authors. Licensee MDPI, Basel, Switzerland. This article is an open access article distributed under the terms and conditions of the Creative Commons Attribution (CC BY) license (https://creativecommons.org/licenses/by/4.0/).
Share and Cite
Yoo, S.Y.; Son, J.-K.; Jun, K.-S.; Ku, H.-H. Effects of GroMore® Program on Rice Yield and GHG Emissions in a Korean Paddy Rice. Agronomy 2024, 14, 2448. https://doi.org/10.3390/agronomy14102448
Yoo SY, Son J-K, Jun K-S, Ku H-H. Effects of GroMore® Program on Rice Yield and GHG Emissions in a Korean Paddy Rice. Agronomy. 2024; 14(10):2448. https://doi.org/10.3390/agronomy14102448
Chicago/Turabian StyleYoo, Sung Yung, Jun-Ki Son, Kyoung-Sik Jun, and Hyun-Hwoi Ku. 2024. "Effects of GroMore® Program on Rice Yield and GHG Emissions in a Korean Paddy Rice" Agronomy 14, no. 10: 2448. https://doi.org/10.3390/agronomy14102448
APA StyleYoo, S. Y., Son, J.-K., Jun, K.-S., & Ku, H.-H. (2024). Effects of GroMore® Program on Rice Yield and GHG Emissions in a Korean Paddy Rice. Agronomy, 14(10), 2448. https://doi.org/10.3390/agronomy14102448

