Effects of Humic Acid from Weathered Coal on Water-Stable Aggregates and Pore Structure of a Reclaimed Cambisol
Abstract
1. Introduction
2. Materials and Methods
2.1. Study Site and Soil Properties
2.2. Experiment Design
2.3. Soil Sampling
2.4. Laboratory Analysis
2.5. Statistics Analysis
3. Results
3.1. Influence of Humic Acid on Distribution and Stability of Water-Stable Aggregates
3.1.1. Distribution of Water-Stable Aggregates
3.1.2. Stability of Water-Stable Aggregates
3.2. Influence of Weathered Coal Humic Acid on Soil Organic C
3.2.1. Total Organic C (TOC) of Reclaimed Cambisol
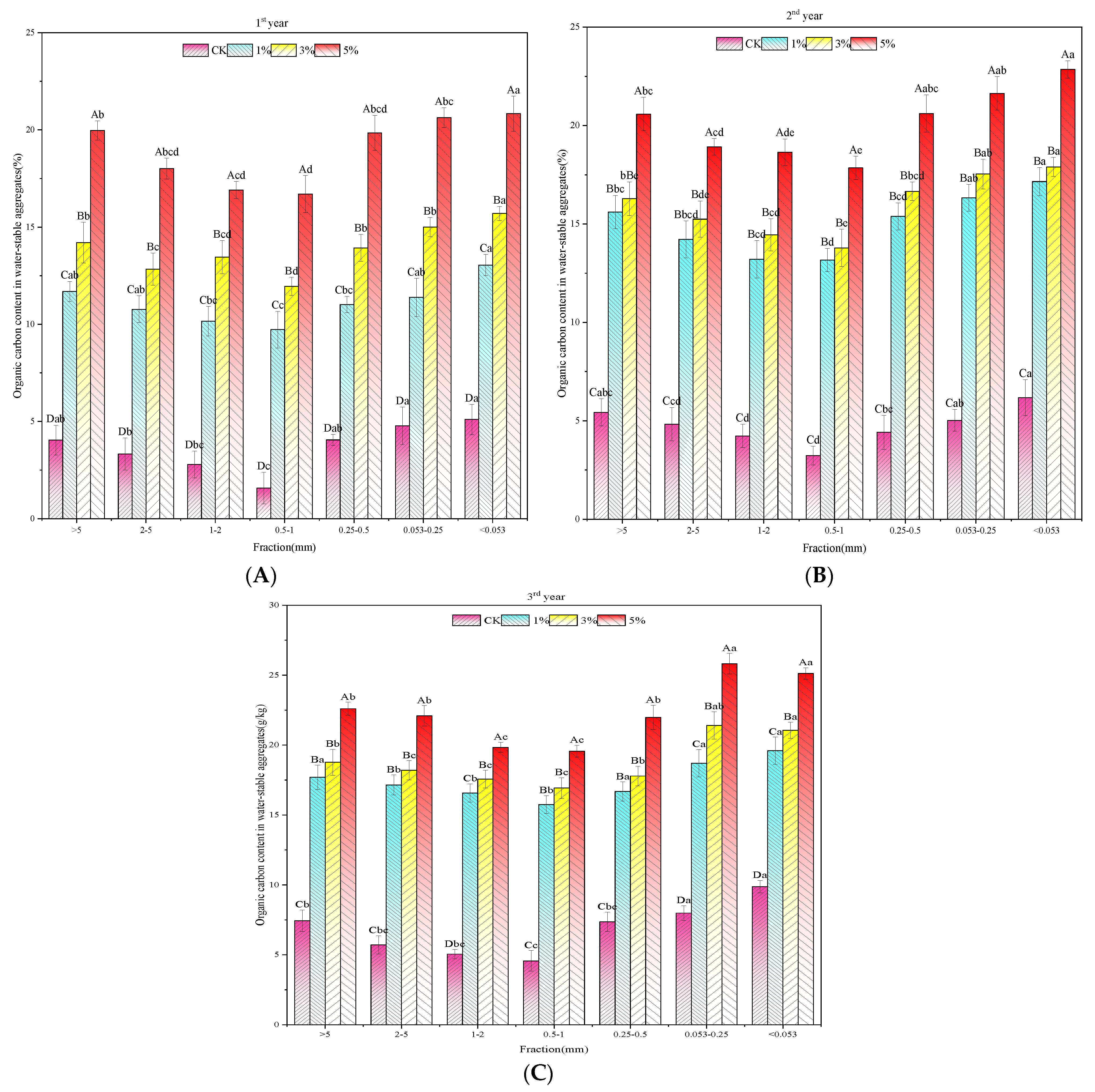
3.2.2. Organic C in Water-Stable Aggregates
3.2.3. POC and MOC Contents in Soil Aggregates
3.3. Influence of Weathered Coal Humic Acid on Soil Pore Structure
3.3.1. Soil Pore Shape and Distribution
3.3.2. Three-Dimensional Morphological Characteristics of Soil Pores
4. Discussion
4.1. Influence of Weathered Coal Humic Acid on Distribution and Stability of Soil Aggregates
4.2. Influence of Weathered Coal Humic Acid on Organic C of Aggregates of Different Sizes
4.3. Soil Pore Structure Effected by Weathered Coal Humic Acid
5. Conclusions
Author Contributions
Funding
Data Availability Statement
Conflicts of Interest
References
- Anna, Y.; Yakov, K. Dual nature of soil structure: The unity of aggregates and pores. Geoderma 2023, 434, 116478. [Google Scholar]
- Zhang, W.; Li, S.; An, T.; Zhu, P.; Xu, Y.; Peng, C.; Liu, X.; Wang, J. Advances in Research on Relationships between Soil Pore Structure and Soil Miocroenvironment and Organic Carbon Turnover. J. Soil Water Conserv. 2019, 33, 1–9. [Google Scholar]
- Kravchenko, A.N.; Guber, A.K. Soil pores and their contributions to soil carbon processes. Geoderma 2017, 287, 31–39. [Google Scholar] [CrossRef]
- Brevik, E.C.; Cerdà, A.; Mataix-Solera, J.; Pereg, L.; Quinton, J.N.; Six, J.; Van Oost, K. The interdisciplinary nature of SOIL. SOIL 2015, 1, 117–129. [Google Scholar] [CrossRef]
- Mataix-Solera, J.; Cerdà, A.; Arcenegui, V.; Jordán, A.; Zavala, L.M. Fire effects on soil aggregation: A review. Earth-Sci. Rev. 2011, 109, 44–60. [Google Scholar] [CrossRef]
- Saygin, S.D.; Erpul, G.; Basaran, M. Comparison of Aggregate Stability Measurement Methods for Clay-rich Soils in Asartepe Catchment of Turkey. Land Degrad. Dev. 2017, 28, 199–206. [Google Scholar] [CrossRef]
- Amézketa, E. Soil Aggregate Stability: A Review. J. Sustain. Agric. 1999, 14, 83–151. [Google Scholar] [CrossRef]
- Fonte, S.J.; Yeboah, E.; Ofori, P.; Quansah, G.W.; Vanlauwe, B.; Six, J. Fertilizer and Residue Quality Effects on Organic Matter Stabilization in Soil Aggregates. Soil Sci. Soc. Am. J. 2009, 73, 961–966. [Google Scholar] [CrossRef]
- Tisdall, J.; Oades, J. Organic Matter and Water-stable Aggregates in Soils. J. Soil Sci. 1982, 33, 141–163. [Google Scholar] [CrossRef]
- Liang, A.; Zhang, Y.; Zhang, X.; Yang, X.; McLaughlin, N.; Chen, X.; Guo, Y.; Jia, S.; Zhang, S.; Wang, L.; et al. Investigations of relationships among aggregate pore structure, microbial biomass, and soil organic carbon in a Mollisol using combined non-destructive measurements and phospholipid fatty acid analysis. Soil Tillage Res. 2019, 185, 94–101. [Google Scholar] [CrossRef]
- Dhaliwal, J.K.; Kumar, S. 3D-visualization and quantification of soil porous structure using X-ray micro-tomography scanning under native pasture and crop-livestock systems. Soil Tillage Res. 2022, 218, 105305. [Google Scholar] [CrossRef]
- Li, B.; Zhou, H.; Wang, G.; Liu, G.; Gao, W.; Zhu, K.; Chen, C. Explore the “Transparent” Soils: Soilporelogy Has Sailed. Acta Pedol. Sin. 2023, 60, 1221–1230. [Google Scholar]
- Singh, N.; Kumar, S.; Udawatta, R.P.; Anderson, S.H.; de Jonge, L.W.; Katuwal, S. X-ray micro-computed tomography characterized soil pore network as influenced by long-term application of manure and fertilizer. Geoderma 2021, 385, 114872. [Google Scholar] [CrossRef]
- Qiao, J.; Liu, X.; Zhu, Y.; Jia, X.; Shao, M.a. Three-dimensional quantification of soil pore structure in wind-deposited loess under different vegetation types using industrial X-ray computed tomography. Catena 2021, 199, 105098. [Google Scholar] [CrossRef]
- Liu, J.; Lu, S. Amendment of different biochars changed pore characteristics and permeability of Ultisol macroaggregates identified by X-ray computed tomography (CT). Geoderma 2023, 434, 116470. [Google Scholar] [CrossRef]
- Feng, Y.; Wang, J.; Bai, Z.; Reading, L. Effects of surface coal mining and land reclamation on soil properties: A review. Earth-Sci. Rev. 2019, 191, 12–25. [Google Scholar] [CrossRef]
- Reynolds, B.; Reddy, K. Infiltration rates in reclaimed surface coal mines. Water Air Soil Pollut. 2012, 223, 5941–5958. [Google Scholar] [CrossRef]
- Ahirwal, J.; Maiti, S.K.; Singh, A.K. Changes in ecosystem carbon pool and soil CO2 flux following post-mine reclamation in dry tropical environment, India. Sci. Total Environ. 2017, 583, 153–162. [Google Scholar] [CrossRef]
- Zhou, L.; Yuan, L.; Zhao, B.; Li, Y.; Lin, Z. Structural characteristics of humic acids derived from Chinese weathered coal under different oxidizing conditions. PLoS ONE 2019, 14, e0217469. [Google Scholar] [CrossRef]
- Zhang, X.; Wang, K.; Sun, C.; Yang, K.; Zheng, J. Differences in soil physical properties caused by applying three organic amendments to loamy clay soil under field conditions. J. Soils Sediments 2022, 22, 43–55. [Google Scholar] [CrossRef]
- Li, H.; Shao, H.; Li, W.; Bi, R.; Bai, Z. Improving Soil Enzyme Activities and Related Quality Properties of Reclaimed Soil by Applying Weathered Coal in Opencast-Mining Areas of the Chinese Loess Plateau. Clean—Soil Air Water 2012, 40, 233–238. [Google Scholar] [CrossRef]
- Gümüş, İ.; Şeker, C. Influence of humic acid applications on modulus of rupture, aggregate stability, electrical conductivity, carbon and nitrogen content of a crusting problem soil. Solid Earth 2015, 6, 1231–1236. [Google Scholar] [CrossRef]
- Zhang, X.; Zheng, J.; Wang, K.; Wang, X.; Zhang, Z.; Xie, X.; Cai, J. Greater mineral and aggregate protection for organic carbon in the soil amended by weathered coal than by biochar: Based on a 3-year field experiment. Geoderma 2023, 438, 116639. [Google Scholar] [CrossRef]
- Yeasmin, S.; Singh, B.; Johnston, C.T.; Hua, Q.; Sparks, D.L. Changes in particulate and mineral-associated organic carbon with land use in contrasting soils. Pedosphere 2023, 33, 421–435. [Google Scholar] [CrossRef]
- Zhao, D.; Xu, M.; Liu, G.; Ma, L.; Zhang, S.; Xiao, T.; Peng, G. Effect of vegetation type on microstructure of soil aggregates on the Loess Plateau, China. Agric. Ecosyst. Environ. 2017, 242, 1–8. [Google Scholar] [CrossRef]
- Zhou, H.; Peng, X.; Peth, S.; Xiao, T.Q. Effects of vegetation restoration on soil aggregate microstructure quantified with synchrotron-based micro-computed tomography. Soil Tillage Res. 2012, 124, 17–23. [Google Scholar] [CrossRef]
- Krumins, J.; Yang, Z.; Zhang, Q.; Yan, M.; Klavins, M. A study of weathered coal spectroscopic properties. Energy Procedia 2017, 128, 51–58. [Google Scholar] [CrossRef]
- Zhou, R.; Tian, J.; Cui, Z.; Zhang, F. Microbial necromass within aggregates atabilizes physically-protected c response to cropland management. Front. Agric. Sci. Eng. 2023, 10, 198–209. [Google Scholar]
- Messiga, A.J.; Ziadi, N.; Angers, D.A.; Morel, C.; Parent, L.-E. Tillage practices of a clay loam soil affect soil aggregation and associated C and P concentrations. Geoderma 2011, 164, 225–231. [Google Scholar] [CrossRef]
- Rakhsh, F.; Golchin, A.; Beheshti Al Agha, A.; Nelson, P.N. Mineralization of organic carbon and formation of microbial biomass in soil: Effects of clay content and composition and the mechanisms involved. Soil Biol. Biochem. 2020, 151, 108036. [Google Scholar] [CrossRef]
- Kan, Z.R.; Liu, W.X.; Liu, W.S.; Lal, R.; Dang, Y.P.; Zhao, X.; Zhang, H.L. Mechanisms of soil organic carbon stability and its response to no-till: A global synthesis and perspective. Glob. Chang. Biol. 2022, 28, 693–710. [Google Scholar] [CrossRef] [PubMed]
- Maroušek, J.; Vochozka, M.; Plachý, J.; Žák, J. Glory and misery of biochar. Clean Technol. Environ. Policy 2017, 19, 311–317. [Google Scholar] [CrossRef]
- Weil, R.R.; Brady, N.C. The Nature and Properties of Soils; Pearson: London, UK, 2017. [Google Scholar]
- Sun, Q.; Meng, J.; Lan, Y.; Shi, G.; Yang, X.; Cao, D.; Chen, W.; Han, X. Long-term effects of biochar amendment on soil aggregate stability and biological binding agents in brown earth. Catena 2021, 205, 105460. [Google Scholar] [CrossRef]
- Six, J.; Bossuyt, H.; Degryze, S.; Denef, K. A history of research on the link between (micro)aggregates, soil biota, and soil organic matter dynamics. Soil Tillage Res. 2004, 79, 7–31. [Google Scholar] [CrossRef]
- Le Bissonnais, Y. Aggregate stability and assessment of soil crustability and erodibility: I. Theory and methodology. Eur. J. Soil Sci. 1996, 47, 425–437. [Google Scholar] [CrossRef]
- Huang, R.; Lan, M.; Liu, J.; Gao, M. Soil aggregate and organic carbon distribution at dry land soil and paddy soil: The role of different straws returning. Environ. Sci. Pollut. Res. Int. 2017, 24, 27942–27952. [Google Scholar] [CrossRef]
- Six, J.; Elliott, E.T.; Paustian, K. Soil macroaggregate turnover and microaggregate formation: A mechanism for C sequestration under no-tillage agriculture. Soil Biol. Biochem. 2000, 32, 2099–2103. [Google Scholar] [CrossRef]
- Angst, G.; Mueller, K.E.; Nierop, K.G.J.; Simpson, M.J. Plant- or microbial-derived? A review on the molecular composition of stabilized soil organic matter. Soil Biol. Biochem. 2021, 156, 108189. [Google Scholar] [CrossRef]
- Ni, H.; Jing, X.; Xiao, X.; Zhang, N.; Wang, X.; Sui, Y.; Sun, B.; Liang, Y. Microbial metabolism and necromass mediated fertilization effect on soil organic carbon after long-term community incubation in different climates. ISME J. 2021, 15, 2561–2573. [Google Scholar] [CrossRef]
- Kallenbach, C.M.; Frey, S.D.; Grandy, A.S. Direct evidence for microbial-derived soil organic matter formation and its ecophysiological controls. Nat. Commun. 2016, 7, 13630. [Google Scholar] [CrossRef]
- Yu, Q.; Zhang, Z.; He, Y.; Ming, H.; Wang, G.; Dun, X.; Wu, Q.; Gao, P. Secondary shrubs promoted the priming effect by increasing soil particle organic carbon mineralization. Front. For. Glob. Chang. 2023, 6, 1288259. [Google Scholar] [CrossRef]
- Wu, S.; Konhauser, K.O.; Chen, B.; Huang, L. “Reactive Mineral Sink” drives soil organic matter dynamics and stabilization. npj Mater. Sustain. 2023, 1, 3. [Google Scholar] [CrossRef]
- Kleber, M.; Bourg, I.C.; Coward, E.K.; Hansel, C.M.; Myneni, S.C.B.; Nunan, N. Dynamic interactions at the mineral–organic matter interface. Nat. Rev. Earth Environ. 2021, 2, 402–421. [Google Scholar] [CrossRef]
- Zhang, X.; Xin, X.; Zhu, A.; Zhang, J.; Yang, W. Effects of tillage and residue managements on organic C accumulation and soil aggregation in a sandy loam soil of the North China Plain. Catena 2017, 156, 176–183. [Google Scholar] [CrossRef]
- Hampton, H.G.; Watson, B.N.J.; Fineran, P.C. The arms race between bacteria and their phage foes. Nature 2020, 577, 327–336. [Google Scholar] [CrossRef]
- Nielsen, N.U. Global to Local Scales; Cambridge University Press: Cambridge, UK, 2019. [Google Scholar]
- Liu, Y.; Shi, Z.; Yin, J.; Lin, W. Analysis of Soil Water Characters Between Upland Red Soil and Paddy Soil. J. Soil Water Conserv. 2009, 23, 232–235. [Google Scholar]
- Xia, Q.; Zheng, N.; Heitman, J.L.; Shi, W. Soil pore size distribution shaped not only compositions but also networks of the soil microbial community. Appl. Soil Ecol. 2022, 170, 104273. [Google Scholar] [CrossRef]
- Peng, J.; Yang, Q.; Zhang, C.; Ni, S.; Wang, J.; Cai, C. Aggregate pore structure, stability characteristics, and biochemical properties induced by different cultivation durations in the Mollisol region of Northeast China. Soil Tillage Res. 2023, 233, 105797. [Google Scholar] [CrossRef]






| Treatments | MWD/mm | GMD/mm | ||||
|---|---|---|---|---|---|---|
| 1st Year | 2nd Year | 3rd Year | 1st Year | 2nd Year | 3rd Year | |
| CK | 1.22 ± 0.08 Ba | 1.44 ± 0.19 Ba | 1.55 ± 0.21 Ca | 0.4 ± 0.02 Bb | 0.39 ± 0.09 Bb | 0.91 ± 0.21 Ba |
| 1% | 1.06 ± 0.07 Bb | 1.56 ± 0.2 Ba | 1.7 ± 0.13 Ca | 0.49 ± 0.19 Ab | 0.66 ± 0.08 ABb | 0.87 ± 0.25 Ba |
| 3% | 1.3 ± 0.06 Bb | 1.72 ± 0.11 Abb | 2.43 ± 0.18 Ba | 0.49 ± 0.15 Aa | 0.72 ± 0.11 Aa | 0.54 ± 0.02 Ca |
| 5% | 1.81 ± 0.22 Ab | 2.12 ± 0.11 Ab | 3.91 ± 0.05 Aa | 0.59 ± 0.11 Aab | 0.76 ± 0.08 Ab | 1.62 ± 0.12 Aa |
| POC (g/kg) | MOC (g/kg) | ||||||
|---|---|---|---|---|---|---|---|
| Treatments | Fraction (mm) | 1st Year | 2nd Year | 3rd Year | 1st Year | 2nd Year | 3rd Year |
| >5 | 2.03 ± 0.6 Ab | 3.38 ± 0.94 Ab | 3.08 ± 0.93 Ab | 2.19 ± 0.37 Ac | 3.62 ± 1.03 Ac | 3.64 ± 1.09 Ac | |
| 2–5 | 2.17 ± 0.51 Bc | 3.50 ± 0.73 ABb | 4.77 ± 1.29 Ac | 2.80 ± 0.92 Bb | 4.09 ± 0.51 Ac | 4.96 ± 0.27 Ab | |
| 1–2 | 5.5 ± 0.7 Bb | 6.41 ± 1.07 Bb | 7.35 ± 0.45 Ac | 6.87 ± 0.54 Bb | 8.19 ± 0.74 Ab | 9.96 ± 0.88 Ab | |
| CK | 0.5–1 | 6.3 ± 1.06 Bb | 7.21 ± 1.28 ABb | 9.31 ± 1.03 Ab | 9.58 ± 0.88 Aa | 10.19 ± 0.46 Ab | 10.41 ± 0.69 Ab |
| 0.25–0.5 | 7.77 ± 0.5 Ac | 8.23 ± 0.96 Ac | 9.46 ± 0.92 Ab | 5.18 ± 0.63 Bd | 6.94 ± 0.8 Ac | 8.1 ± 0.63 Ab | |
| 0.053–0.25 | 1.7 ± 0.4 Ab | 2.48 ± 1.12 Ac | 3.11 ± 1.02 Ac | 3.41 ± 1.03 Bb | 4.83 ± 0.44 Bb | 7.54 ± 0.85 Ab | |
| <0.053 | 1.74 ± 0.94 Bd | 3.32 ± 0.86 ABc | 4.47 ± 1.43 Ad | 2.75 ± 1.03 Bc | 3.78 ± 0.3 Bc | 5.77 ± 0.62 Ac | |
| >5 | 2.59 ± 0.69 Bab | 3.25 ± 0.28 Ab | 3.69 ± 0.82 ABb | 1.84 ± 0.63 Bc | 4.48 ± 1.03 Abc | 4.4 ± 0.86 Abc | |
| 2–5 | 6.07 ± 0.85 Bb | 9.62 ± 0.94 Aa | 7.64 ± 0.55 Abc | 4.37 ± 1.28 Cb | 5.02 ± 1.15 Bc | 5.91 ± 0.58 Bb | |
| 1–2 | 6.1 ± 0.82 Bb | 7.47 ± 1.09 Bb | 9.72 ± 0.72 Ab | 7.63 ± 1.14 Aa | 8.66 ± 1.04 Ab | 9.7 ± 0.86 Ab | |
| 1% | 0.5–1 | 7.86 ± 1.23 Ab | 8.19 ± 1.14 Ab | 9.62 ± 0.69 Ab | 8.25 ± 0.79 Ba | 11.02 ± 0.78 Ab | 12.00 ± 1.8 Aab |
| 0.25–0.5 | 9.38 ± 0.54 Bb | 10.53 ±0.7 ABb | 11.28 ± 1.16 Ab | 6.83 ± 0.59 Cc | 9.37 ± 1.19 Bb | 12.55 ± 0.83 Aa | |
| 0.053–0.25 | 2.36 ± 0.24 Bb | 4.96 ± 0.55 Ab | 5.75 ± 0.84 Ab | 4.73 ± 0.87 Ab | 6.43 ± 1.39 Ab | 6.57 ± 0.5 Ab | |
| <0.053 | 3.84 ± 0.54 Bc | 4.66 ± 0.78 Bc | 6.65 ± 1.03 Ac | 5.84 ± 1.11 Ab | 6.79 ± 1.53 Ab | 7.23 ± 1.04 Abc | |
| >5 | 3.2 ± 1.25 Aab | 4.21± 0.66 ABab | 3.81 ± 0.81 Ab | 3.32 ± 1.02 Bb | 4.89 ± 1.01 Aab | 5.06 ± 1.28 Aab | |
| 2–5 | 8.12 ± 1.47 Aa | 10.1 ± 0.37 Aa | 9.26 ± 0.98 Aab | 8.61 ± 0.45 Aa | 9.10 ± 0.98 Ab | 10.1 ± 0.52 Ab | |
| 1–2 | 7.86 ± 1.14 Aa | 6.66 ± 0.63 Ab | 6.82 ± 1.08 Ac | 6.09 ± 0.76 Ca | 7.75 ± 0.62 Bb | 9.28 ± 0.82 Ab | |
| 3% | 0.5-1 | 7.85 ± 1.53 Ab | 8.37 ± 1.04 Ab | 9.67 ± 0.89 Ab | 8.87 ± 0.36 Ba | 11.22 ± 1.08 Ab | 12.5 ± 1.27 Aab |
| 0.25–0.5 | 10.6 ± 0.62 Ab | 10.94 ± 0.43 Ab | 11.39 ± 1.15 Ab | 9.89 ± 0.8 Bb | 11.68 ± 0.76 ABa | 12.55 ± 1.13 Aa | |
| 0.053–0.25 | 2.62 ± 0.56 Bb | 5.06 ± 0.23 Ab | 5.6 ± 0.84 Ab | 4.71 ± 0.49 Bb | 6.58 ± 1.42 Ab | 7.77 ± 0.17 Ab | |
| <0.053 | 5.89 ± 0.84 Bb | 7.56 ± 1.3 ABb | 8.81 ± 1.11 Ab | 7.45 ± 1.19 Ab | 7.16 ± 0.89 Ab | 7.8 ± 0.65 Ab | |
| >5 | 4.4 ± 1.18 Ba | 5.54 ± 0.88 Ba | 6.17 ± 1 ABa | 6.2 ± 0.59 ABc | 6.36 ± 0.32 Aa | 7.62 ± 0.94 Aa | |
| 2–5 | 8.8 ± 1.06 Aa | 10.55 ± 1.1 Aa | 10.32 ± 1.12 Aa | 8.34 ± 1.21 Ba | 10.30 ± 1 ABa | 10.64 ± 0.75 Aa | |
| 1–2 | 9.1 ± 0.44 Ba | 11.24 ± 1.01 Aa | 11.9 ± 0.67 Aa | 10.59 ± 0.97 Aa | 10.86 ± 0.62 Aa | 12.09 ± 0.99 Aa | |
| 5% | 0.5–1 | 10.59 ± 0.85 Aa | 11.49 ± 0.93 Aa | 11.81 ± 1.31 Aa | 9.62 ± 0.77 Ba | 13.54 ± 1.12 Aa | 13.82 ± 0.62 Aa |
| 0.25–0.5 | 12.42 ± 1.09 Ba | 13.35 ± 0.99 Ba | 16.05 ± 0.86 Aa | 11.85 ± 0.3 Ba | 13.42 ± 0.91 Aa | 13.44 ± 0.67 Aa | |
| 0.053–0.25 | 4.89 ± 0.78 Ba | 8.45 ± 1.28 Aa | 9.33 ± 0.71 Aa | 10.73 ± 0.86 Ba | 12.4 ± 0.55 Aa | 13.83 ± 1.49 Aa | |
| <0.053 | 9.37 ± 0.7 Ba | 9.92 ± 0.84 ABa | 11.35 ± 0.63 Aa | 11.58 ± 0.47 Ba | 13.63 ± 1.28 ABa | 15.58 ± 1.19 Aa | |
| Year | Treatments | Total Porosity/% | Degree of Anisotropy | Connective Pore Number/×103 | Disconnective Pore Number/×103 | Pore Number/×103 | Mean Pore Volume/×103 | Connectivity/% |
|---|---|---|---|---|---|---|---|---|
| 1 | CK | 0.17 ± 0.03 c | 1.53 ± 0.07 a | 4.60 ± 0.04 b | 5.85 ± 0.67 b | 5.40 ± 0.54 d | 3.65 ± 0.47 c | 15.57 ± 0.25 b |
| 1 | 5% | 0.43 ± 0.01 abc | 1.60 ± 0.43 a | 6.02 ± 0.7 b | 7.49 ± 0.32 b | 10.90 ± 0.93 cd | 6.18 ± 0.43 cd | 15.46 ± 0.41 b |
| 2 | CK | 0.33 ± 0.34 b | 1.39 ± 0.18 a | 4.19 ± 0.90 b | 6.12 ± 0.11 b | 6.69 ± 0.52 cd | 4.23 ± 0.68 c | 9.41 ± 0.90 b |
| 2 | 5% | 0.44 ± 0.02 ab | 1.69 ± 0.32 a | 6.15 ± 0.96 b | 6.49 ± 0.80 b | 14.24 ± 0.12 b | 15.85 ± 0.69 a | 36.56 ± 0.42 a |
| 3 | CK | 0.37 ± 0.04 ab | 1.60 ± 0.10 a | 8.09 ± 0.36 a | 6.91 ± 0.34 b | 7.82 ± 0.79 cd | 7.34 ± 0.95 cd | 15.91 ± 1.01 b |
| 3 | 5% | 0.48 ± 0.03 a | 1.70 ± 0.10 a | 12.02 ± 0.77 a | 21.79 ± 0.67 a | 22.52 ± 1.08 a | 11.57 ± 0.71 ab | 23.07 ± 1.26 b |
Disclaimer/Publisher’s Note: The statements, opinions and data contained in all publications are solely those of the individual author(s) and contributor(s) and not of MDPI and/or the editor(s). MDPI and/or the editor(s) disclaim responsibility for any injury to people or property resulting from any ideas, methods, instructions or products referred to in the content. |
© 2024 by the authors. Licensee MDPI, Basel, Switzerland. This article is an open access article distributed under the terms and conditions of the Creative Commons Attribution (CC BY) license (https://creativecommons.org/licenses/by/4.0/).
Share and Cite
Di, X.; Fan, W.; Meng, Q.; Liu, F.; Wang, G. Effects of Humic Acid from Weathered Coal on Water-Stable Aggregates and Pore Structure of a Reclaimed Cambisol. Agronomy 2024, 14, 2385. https://doi.org/10.3390/agronomy14102385
Di X, Fan W, Meng Q, Liu F, Wang G. Effects of Humic Acid from Weathered Coal on Water-Stable Aggregates and Pore Structure of a Reclaimed Cambisol. Agronomy. 2024; 14(10):2385. https://doi.org/10.3390/agronomy14102385
Chicago/Turabian StyleDi, Xiaoying, Wenhua Fan, Qinghui Meng, Fenwu Liu, and Gailing Wang. 2024. "Effects of Humic Acid from Weathered Coal on Water-Stable Aggregates and Pore Structure of a Reclaimed Cambisol" Agronomy 14, no. 10: 2385. https://doi.org/10.3390/agronomy14102385
APA StyleDi, X., Fan, W., Meng, Q., Liu, F., & Wang, G. (2024). Effects of Humic Acid from Weathered Coal on Water-Stable Aggregates and Pore Structure of a Reclaimed Cambisol. Agronomy, 14(10), 2385. https://doi.org/10.3390/agronomy14102385
