Crude Protein as an Indicator of Pasture Availability and Quality: A Validation of Two Complementary Sensors
Abstract
1. Introduction
2. Materials and Methods
2.1. Experimental Field
2.2. Equipment
- -
- An electronic stud to measure pasture height (Figure 3a);
- -
- A “bluetooth-enabled Jenquip EC20 electronic platemeter”, RPM (Jenquip, 21 Darragh Road, Feilding, New Zealand; Figure 3b) to measure pasture compressed height (HRPM);
- -
- A proximal and active optical sensor “OptRx” manufactured by Ag Leader (2202 South Riverside Drive, Ames, IA 50010, USA; Figure 3c);
- -
- A Trimble GNSS, GeoExplorer 6000 series receiver, model 88951, with sub-metric precision (GmbH, Am Prime Parc 11, 65479 Raunheim, Germany: Figure 3d);
- -
- Quadrats of 0.50 m by 0.50 m area to delimit pasture sampling areas (Figure 4a);
- -
- Portable electric grass shears (Figure 4b) and plastic bags for storing the pasture samples.
2.3. Field Measurements, Pasture Sample Collection, and Analyses
- -
- An operator, walking slowly, performed measurements within the sampling area with the “OptRx” sensor (associated with the Trimble GNSS receiver), placed about 0.5 m above the pasture. The NDVI values were registered for a 2 min period, so, on average, at each sampling date, 120 NDVI measurements were taken (one per second).
- -
- Once the optical sensor operator had finished each site, a second operator placed three sampling rings (0.5 m × 0.5 m, corresponding to a sampling sub-area of 3 × 0.25 m2) and measured pasture height (H) with an electronic stud (3 measurements for each sub-sampling area).
- -
- Then, the same operator took 3 measurements of pasture compressed height (HRPM).
- -
- After the measurements with the sensors, the pasture of each sub-sampling area was cut and collected in a plastic bag, identified with the respective code.
2.4. Data Analysis
3. Results
3.1. High Pasture Spatial and Temporal Variability
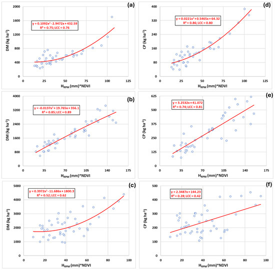
3.2. Relationship between Variables
4. Discussion
4.1. Pasture Spatial and Temporal Variability
4.2. Relationship between Variables
4.3. Limitations and Perspectives of This Study
5. Conclusions
Author Contributions
Funding
Data Availability Statement
Acknowledgments
Conflicts of Interest
References
- Efe Serrano, J. Pastures in Alentejo: Technical Basis for Characterization, Grazing and Improvement; Universidade de Évora—ICAM, Ed.; Gráfica Eborense: Évora, Portugal, 2006; pp. 165–178. (In Portuguese) [Google Scholar]
- Chapa, J.M.; Pichlbauer, B.; Bobal, M.; Guse, C.; Drillich, M.; Iwersen, M. Field evaluation of a rising plate meter to estimate herbage mass in Austrian pastures. Sensors 2023, 23, 7477. [Google Scholar] [CrossRef] [PubMed]
- Murphy, D.J.; Shine, P.; O’Brien, B.; O’Donovan, M.; Murphy, M.D. Utilising grassland management and climate data for more accurate prediction of herbage mass using the rising plate meter. Prec. Agric. 2021, 22, 1189–1216. [Google Scholar] [CrossRef]
- Schellberg, J.; Hill, M.J.; Gerhards, R.; Rothmund, M.; Braun, M. Precision agriculture on grassland: Applications, perspectives and constraints. Eur. J. Agron. 2008, 29, 59–71. [Google Scholar] [CrossRef]
- Sanderson, M.A.; Rotz, C.A.; Fultz, S.W.; Rayburn, E.B. Estimating forage ass with a commercial capacitance meter, rising plate meter, and pasture ruler. Agron. J. 2001, 93, 1281–1286. [Google Scholar] [CrossRef]
- Serrano, J.; Shahidian, S.; da Silva, J.M. Monitoring seasonal pasture quality degradation in the Mediterranean montado ecosystem: Proximal versus remote sensing. Water 2018, 10, 1422. [Google Scholar] [CrossRef]
- Cárdenas, J.; Balocchi, O.; Calvache, I. Calibration of the rising plate meter for mixed pastures of Ryegrass (Lolium perenne L.) and Kikuyo (Cenchrus clandestinus). Chil. J. Agric. Anim. Sci. 2020, 36, 216–223. [Google Scholar] [CrossRef]
- Lawson, A.R.; Giri, K.; Thomson, A.L.; Karunaratne, S.B.; Smith, K.F.; Jacobs, J.L.; Morse-McNabb, E.M. Multi-site calibration and validation of a wide-angle ultrasonic sensor and precise GPS to estimate pasture mass at the paddock scale. Comput. Electron. Agric. 2022, 195, 106786. [Google Scholar] [CrossRef]
- Gargiulo, J.; Clark, C.; Lyons, N.; Veyrac, G.; Beale, P.; Garcia, S. Spatial and temporal pasture biomass estimation integrating electronic plate meter, Planet CubeSats and Sentinel-2 satellite data. Remote Sens. 2020, 12, 3222. [Google Scholar] [CrossRef]
- O’Donovan, M.; Dillon, P.; Rath, M.; Stakelum, G. A comparison of four methods of herbage mass estimation. Ir. J. Agric. Food Res. 2002, 41, 17–27. [Google Scholar]
- Palma-Molina, P.; Hennessy, T.; Dillon, E.; Onakuse, S.; Moran, B.; Shalloo, L. Evaluating the effects of grass management technologies on the physical, environmental, and financial performance of Irish pasture-based dairy farms. J. Dairy Sci. 2023, 106, 6249–6262. [Google Scholar] [CrossRef]
- Murphy, D.J.; Murphy, M.D.; O’Brien, B.; O’Donovan, M. A review of precision technologies for optimising pasture measurement on Irish grassland. Agriculture 2021, 11, 600. [Google Scholar] [CrossRef]
- Lugassi, R.; Zaady, E.; Goldshleger, N.; Shoshany, M.; Chudnovsky, A. Spatial and temporal monitoring of pasture ecological quality: Sentinel-2-based estimation of crude protein and neutral detergent fiber contents. Remote Sens. 2019, 11, 799. [Google Scholar] [CrossRef]
- Serrano, J.; Shahidian, S.; Paixão, L.; Marques da Silva, J.; Morais, T.; Teixeira, R.; Domingos, T. Spatiotemporal patterns of pasture quality based on NDVI time-series in Mediterranean Montado ecosystem. Remote Sens. 2021, 13, 3820. [Google Scholar] [CrossRef]
- Fernández-Habas, J.; Moreno, A.M.G.; Hidalgo-Fernández, M.A.T.; Leal-Murillo, J.R.; Oar, B.A.; Gámez-Giráldez, P.J.; González-Dugo, M.P.; Fernández-Rebollo, P. Investigating the potential of Sentinel-2 configuration to predict the quality of Mediterranean permanent grasslands in open woodlands. Sci. Total Environ. 2021, 791, 148101. [Google Scholar] [CrossRef] [PubMed]
- Danieli, P.P.; Carlini, P.; Bernabucci, U.; Ronchi, B. Quality evaluation of regional forage resources by means of near infrared reflectance spectroscopy. Ital. J. Anim. Sci. 2004, 3, 363–376. [Google Scholar] [CrossRef]
- Parrini, S.; Acciaioli, A.; Franci, O.; Pugliese, C.; Bozzi, R. Near infrared spectroscopy technology for prediction of chemical composition of natural fresh pastures. J. Appl. Anim. Res. 2019, 47, 514–520. [Google Scholar] [CrossRef]
- Serrano, J.; Shahidian, S.; Marques da Silva, J.; Paixão, L.; Carreira, E.; Carmona-Cabezas, R.; Nogales-Bueno, J.; Rato, A.E. Evaluation of near infrared spectroscopy (NIRS) and remote sensing (RS) for estimating pasture quality in Mediterranean Montado ecosystem. Appl. Sci. 2020, 10, 4463. [Google Scholar] [CrossRef]
- Serrano, J.; Shahidian, S.; Carapau, Â.; Rato, A.E. Near-infrared spectroscopy (NIRS) and optical sensors for estimating protein and fiber in dryland Mediterranean pastures. AgriEngineering 2021, 3, 73–91. [Google Scholar] [CrossRef]
- Berzaghi, P.; Cherney, J.H.; Casler, M.D. Prediction performance of portable near infrared reflectance instruments using preprocessed dried, ground forage samples. Comput. Electron. Agric. 2021, 182, 106013. [Google Scholar] [CrossRef]
- Feng, X.; Cherney, J.H.; Cherney, D.J.R.; Digman, M.F. Practical considerations for using the NeoSpectra-Scanner handheld near-infrared reflectance spectrometer to predict the nutritive value of undried ensiled forage. Sensors 2023, 23, 1750. [Google Scholar] [CrossRef]
- Tacoma-Fogal, R.; Boggess, M.; Cherney, J.H.; Digman, M.; Cherney, D.J.R. Predicting grass proportion in fresh alfalfa: Grass mixtures using a hand-held near-infrared spectrometer. Crop Sci. 2024, 64, 2336–2344. [Google Scholar] [CrossRef]
- Karunaratne, S.; Thomson, A.; Morse-McNabb, E.; Wijesingha, J.; Stayches, D.; Copland, A.; Jacobs, J. The Fusion of spectral and structural datasets derived from an airborne multispectral sensor for estimation of pasture dry matter yield at paddock scale with time. Remote Sens. 2020, 12, 2017. [Google Scholar] [CrossRef]
- Punalekar, S.M.; Thomson, A.; Verhoef, A.; Humphries, D.J.; Reynolds, C.K. Assessing suitability of Sentinel-2 bands for monitoring of nutrient concentration of pastures with a range of species compositions. Agronomy 2021, 11, 1661. [Google Scholar] [CrossRef]
- Legg, M.; Bradley, S. Ultrasonic arrays for remote sensing of pasture biomass. Remote Sens. 2020, 12, 111. [Google Scholar] [CrossRef]
- Reddy, A.R.; Chaitanya, K.V.; Vivekanandan, M. Drought-induced responses of photosynthesis and antioxidant metabolism in higher plants. J. Plant. Physiol. 2004, 161, 1189–1202. [Google Scholar] [CrossRef]
- Hepp, C.; Reyes, C.; Soto, R.; Cáceres, E.; Barattini, P.; Juárez, D. Determinación de la Disponibilidad de Materia Seca en Praderas a Pastoreo en la Patagonia Húmeda (Región de Aysén); Hepp, C., Reyes, C., Eds.; Instituto de Investigaciones Agropecuarias, Centro de Investigación INIA Tamel Aike: Coyhaique, Chile, 2017. [Google Scholar]
- Mas-Portocarrero, W.; Cuzco-Mas, E.; Mathios-Flores, M.A.; Angulo-Villacorta, C.D. Evaluation of two methods for estimating dry matter availability in mixed pastures in the Amazon region Peru. Pastos Y Forrajes 2022, 45, 1–8. [Google Scholar]
- AOAC. AOAC Official Methods of Analysis of AOAC International, 18th ed.; AOAC International: Arlington, VA, USA, 2005. [Google Scholar]
- Lin, L.; Torbeck, L.D. Coefficient of accuracy and concordance correlation coefficient: New statistics for methods comparison. PDA J. Pharm. Sci. Technol. 1998, 52, 55–59. [Google Scholar]
- Huyghe, C.; De Vliegher, A.; van Gils, B.; Peeters, A. (Eds.) Grasslands and Herbivore Production in Europe and Effects of Common Policies; Quae: Versailles, France, 2014; pp. 54–56. [Google Scholar]
- Murphy, D.J.; O’Brien, B.; Hennessy, D.; Hurley, M.; Murphy, M.D. Evaluation of the precision of the rising plate meter for measuring compressed sward height on heterogeneous grassland swards. Precis. Agric. 2021, 22, 922–946. [Google Scholar] [CrossRef]
- Shalloo, L.; Donovan, M.O.; Leso, L.; Werner, J.; Ruelle, E.; Geoghegan, A.; Delaby, L.; O’Leary, N. Review: Grass-based dairy systems, data and precision technologies. Animal 2018, 12, S262–S271. [Google Scholar] [CrossRef]
- Beukes, P.C.; McCarthy, S.; Wims, C.M.; Gregorini, P.; Romera, A.J. Regular estimates of herbage mass can improve profitability of pasture-based dairy systems. Anim. Prod. Sci. 2019, 59, 359–367. [Google Scholar] [CrossRef]
- Moeckel, T.; Safari, H.; Reddersen, B.; Fricke, T.; Wachendorf, M. Fusion of ultrasonic and spectral sensor data for improving the estimation of biomass in grasslands with heterogeneous sward structure. Remote Sens. 2017, 9, 98. [Google Scholar] [CrossRef]
- Alckmin, T.G.; Kooistra, L.; Rawnsley, R.; Lucieer, A. Comparing methods to estimate perennial ryegrass biomass: Canopy height and spectral vegetation indices. Precis. Agric. 2021, 22, 205–225. [Google Scholar] [CrossRef]
- Nakagami, K. Efects of sites and years on the coefcients of rising plate meter calibration under varying coefcient models. Grassl. Sci. 2016, 62, 128–132. [Google Scholar] [CrossRef]
- Pullanagari, R.R.; Yule, I.J.; Tuohy, M.P.; Hedley, M.J.; Dynes, R.A.; King, W.M. Proximal sensing of the seasonal variability of pasture nutritive value using multispectral radiometry. Grass Forage Sci. 2012, 68, 110–119. [Google Scholar] [CrossRef]
- Schaefer, M.T.; Lamb, D.W. A combination of plant NDVI and Lidar measurements improve the estimation of pasture biomass in Tall Fescue (Festuca arundinacea Var. Fletcher). Remote Sens. 2016, 8, 109. [Google Scholar] [CrossRef]
- Serrano, J.; Shahidian, S.; Paixão, L.; Marques da Silva, J.; Paniágua, L.L. Pasture quality assessment through NDVI obtained by Remote Sensing: A validation study in the Mediterranean silvo-pastoral ecosystem. Agriculture 2024, 14, 1350. [Google Scholar] [CrossRef]










| Date | Date 1 (06DEC2023) | Date 2 (29FEB2024) | Date 3 (10MAY2024) | ||||
|---|---|---|---|---|---|---|---|
| Pasture Parameter | n | Mean ± SD (CV, %) | Range | Mean ± SD (CV, %) | Range | Mean ± SD (CV, %) | Range |
| GM (kg ha−1) | 48 | 6254 ± 4274 (68.3) | 1423–21,090 | 13256 ± 7054 (53.2) | 3867–27,917 | 8245 ± 4759 (57.7) | 2580–25,037 |
| DM (kg ha−1) | 48 | 571 ± 257 (45.0) | 237–1703 | 1834 ± 745 (40.6) | 580–3460 | 2353 ± 1108 (47.1) | 933–5400 |
| PMC (%) | 48 | 89.0 ± 3.3 (3.7) | 79.7–93.4 | 84.6 ± 3.2 (3.8) | 75.2–90.5 | 69.9 ± 6.9 (9.8) | 51.9–80.2 |
| CP (%) | 48 | 24.3 ± 5.3 (21.7) | 13.5–34.8 | 16.4 ± 3.6 (21.9) | 9.0–23.5 | 11.3 ± 1.8 (15.7) | 8.1–15.4 |
| CP (kg ha−1) | 48 | 140.6 ± 75.7 (53.9) | 38.8–386.1 | 305.0 ± 153.3 (50.2) | 74.0–626.6 | 260.6 ± 119.4 (45.8) | 108.2–650.7 |
| NDVI | 2880 | 0.817 ± 0.057 (7.0) | 0.663–0.898 | 0.762 ± 0.058 (7.6) | 0.605–0.840 | 0.537 ± 0.098 (18.2) | 0.313–0.765 |
| H (mm) | 144 | 105.3 ± 71.2 (67.6) | 14.0–400.0 | 163.5 ± 83.5 (51.1) | 30.0–420.0 | 249.6 ± 140.9 (56.5) | 60.0–660.0 |
| HRPM (mm) | 144 | 53.1 ± 35.4 (66.7) | 14.0–232.0 | 103.6 ± 55.3 (53.4) | 22.0–244.0 | 77.8 ± 42.2 (54.2) | 22.0–240.0 |
| PAQI | 144 | 44.8 ± 25.1 (56.1) | 13.7–108.4 | 79.2 ± 38.3 (48.4) | 21.2–154.5 | 41.3 ± 20.9 (50.6) | 9.1–95.0 |
Disclaimer/Publisher’s Note: The statements, opinions and data contained in all publications are solely those of the individual author(s) and contributor(s) and not of MDPI and/or the editor(s). MDPI and/or the editor(s) disclaim responsibility for any injury to people or property resulting from any ideas, methods, instructions or products referred to in the content. |
© 2024 by the authors. Licensee MDPI, Basel, Switzerland. This article is an open access article distributed under the terms and conditions of the Creative Commons Attribution (CC BY) license (https://creativecommons.org/licenses/by/4.0/).
Share and Cite
Serrano, J.; Shahidian, S.; Moral, F.J. Crude Protein as an Indicator of Pasture Availability and Quality: A Validation of Two Complementary Sensors. Agronomy 2024, 14, 2310. https://doi.org/10.3390/agronomy14102310
Serrano J, Shahidian S, Moral FJ. Crude Protein as an Indicator of Pasture Availability and Quality: A Validation of Two Complementary Sensors. Agronomy. 2024; 14(10):2310. https://doi.org/10.3390/agronomy14102310
Chicago/Turabian StyleSerrano, João, Shakib Shahidian, and Francisco J. Moral. 2024. "Crude Protein as an Indicator of Pasture Availability and Quality: A Validation of Two Complementary Sensors" Agronomy 14, no. 10: 2310. https://doi.org/10.3390/agronomy14102310
APA StyleSerrano, J., Shahidian, S., & Moral, F. J. (2024). Crude Protein as an Indicator of Pasture Availability and Quality: A Validation of Two Complementary Sensors. Agronomy, 14(10), 2310. https://doi.org/10.3390/agronomy14102310

