Mechanical Stubble Righting after the Mechanical Harvest of Primary Rice Improves the Grain Yield of Ratooning Rice
Abstract
:1. Introduction
2. Materials and Methods
2.1. Experimental Design
2.2. Measurements
2.2.1. Determination of Bud Germination
2.2.2. Determination of Grain Yield and Yield Components
2.2.3. Determination of Dry Weight Accumulation
2.2.4. Physiological and Biochemical Analysis
2.2.5. Determination of Photosynthetic Characteristics
2.2.6. Determination of Canopy Photosynthetically Active Radiation
2.3. Statistical Analysis
3. Results
3.1. Grain Yield and Yield Components
3.2. Biomass Accumulation
3.3. Interception Rate Solar Radiation and Photosynthetic Characteristics
3.4. Antioxidant Response and Nitrogen Metabolism
3.5. Bud-Regeneration Capacity
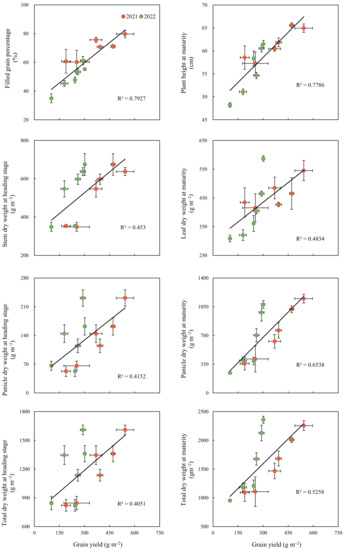
3.6. Correlation Analysis
4. Discussion
5. Conclusions
Author Contributions
Funding
Institutional Review Board Statement
Informed Consent Statement
Data Availability Statement
Conflicts of Interest
References
- Dong, H.; Chen, Q.; Wang, W.; Peng, S.; Huang, J.; Cui, K. The growth and yield of a wet-seeded rice-ratoon rice system in central China. Field Crops Res. 2017, 208, 55–59. [Google Scholar] [CrossRef]
- Peng, S.B. Reflection on China’s rice production strategies during the transition period. Sci. Sin. Vitae 2014, 44, 845–850. [Google Scholar] [CrossRef]
- Peng, S.; Tang, Q.; Zou, Y. Current status and challenges of rice production in China. Plant Prod. Sci. 2009, 12, 3–8. [Google Scholar] [CrossRef]
- Golam, F.; Rosna, T.; Zakaria, P. Rice Ratoon Crop: A sustainable rice production system for tropical hill agriculture. Sustainability 2014, 6, 5785–5800. [Google Scholar] [CrossRef]
- Qian, C.; He, A.; Wang, W.; Peng, S.; Huang, J.; Cui, K. Comparisons of regeneration rate and yields performance between inbred and hybrid rice cultivars in a direct seeding rice-ratoon rice system in central China. Field Crops Res. 2018, 223, 164–170. [Google Scholar] [CrossRef]
- Ray, D.K.; Foley, J.A. Increasing global crop harvest frequency: Recent trends and future directions. Environ. Res. Lett. 2013, 8, 575–591. [Google Scholar] [CrossRef]
- Yu, X.; Tao, X.; Liao, J.; Liu, S.; Xu, L.; Yuan, S.; Zhang, Z.; Wang, F.; Deng, N.; Huang, J.; et al. Predicting potential cultivation region and paddy area for ratoon rice production in China using Maxent model. Field Crops Res. 2022, 275, 108372. [Google Scholar] [CrossRef]
- Yuan, S.; Cassmam, K.; Huang, J.; Peng, S.; Grassini, P. Can ratoon cropping improve resource use efficiencies and profitability of rice in central China. Field Crops Res. 2019, 234, 66–72. [Google Scholar] [CrossRef]
- Dou, F.; Tarpley, L.; Chen, K.; Wright, A.L.; Mohammed, A.R. Planting date and variety effects on rice main and ratoon crop production in South Texas. Commun. Soil Sci. Plant Anal. 2016, 47, 2414–2420. [Google Scholar] [CrossRef]
- Chen, J.; Chen, C.; Tian, Y.; Zhang, X.; Dong, W.; Zhang, B.; Zhang, J.; Zheng, C.; Deng, A.; Song, Z.W.; et al. Differences in the impacts of nighttime warming on crop growth of rice-based cropping systems under field conditions. Eur. J. Agron. 2016, 82, 80–92. [Google Scholar] [CrossRef]
- Yang, D.; Peng, S.; Zheng, C.; Xiang, H.; Huang, J.; Cui, K. Effects of nitrogen fertilization for bud initiation and tiller growth on yield and quality of rice ratoon crop in central China. Field Crops Res. 2021, 272, 108286. [Google Scholar] [CrossRef]
- Hu, X.; Zhong, X.; Peng, B.; Liu, Y.; Huang, N.; Liang, K.; Pan, J.; Fu, Y. Grain yield and profit of machine-harvested low stubble ratoon rice under different nitrogen management. China Rice 2019, 25, 16–26. [Google Scholar]
- He, A.; Wang, W.; Jiang, G.; Sun, H.; Jiang, M.; Man, J.; Cui, K.; Peng, S.; Nie, L. Source-sink regulation and its effects on the regeneration ability of ratoon rice. Field Crops Res. 2019, 236, 155–164. [Google Scholar] [CrossRef]
- Harrell, D.L.; Bond, J.A.; Blanche, S. Evaluation of main-crop stubble height on ratoon rice growth and development. Field Crops Res. 2009, 114, 396–403. [Google Scholar] [CrossRef]
- Daliri, M.S.; Eftekhari, A.; Mobasser, H.R.; Tari, D.B.; Porkalhor, H. Effect of cutting time and cutting height on yield and yield components of ratoon rice (Tarom langrodi variety). Asian J. Plant Sci. 2009, 8, 89–91. [Google Scholar] [CrossRef]
- Jiang, T.; Yi, Z.; Tu, N. Effect of stubble height on ratooning properties of Pei’ai64S/E32. J. Hunan Agric. Univ. 2005, 31, 359–363. [Google Scholar]
- Huossainzade, A.; Azarpour, E.; Doustan, H.Z.; Moraditochaee, M.; Bozorgi, H.R. Management of cutting height and nitrogen fertilizer rates on grain yield and several attributes of ratoon rice (Oryza sativa L.) in Iran. World Appl. Sci. J. 2011, 15, 1089–1094. [Google Scholar]
- Liu, B.G.; Wang, G.M.; Chen, J.; Chen, G.H.; Ren, C.F. Physiological and biochemical basis of germination promoting germination of rice buds. Southwest China J. Agric. Sci. 1998, S3, 45–49. [Google Scholar] [CrossRef]
- Wang, Y.C.; Zheng, C.; Xiao, S.; Sun, Y.; Huang, J.; Peng, S. Agronomic responses of ratoon rice to nitrogen management in central China. Field Crops Res. 2019, 241, 107569. [Google Scholar] [CrossRef]
- Shao, Q.; Wang, H.; Guo, H.; Zhou, A.; Huang, Y.; Sun, Y.; Li, M. Effects of shade treatments on photosynthetic characteristics, chloroplast ultrastructure, and physiology of Anoectochilus roxburghii. PLoS ONE 2014, 9, e85996. [Google Scholar] [CrossRef]
- Xu, X.B.; Chen, L.; Qian, T.P.; Guo, J.X. Contrast experiment of mechanical harvesting and artificial harvesting in the first season of ratooning rice. China Seed Ind. 2016, 11, 52–53. [Google Scholar] [CrossRef]
- Lang, Y.Z.; Yang, X.D.; Wang, M.E.; Zhu, Q.S. Effects of lodging at different filling stages on rice yield and grain quality. Rice Sci. 2012, 19, 315–319. [Google Scholar] [CrossRef]
- Xiong, H.; Fang, W. Study on ecological conditions of axillary buds sprouting and yield of the ratooning rice. Acta Ecol. Sin. 1994, 2, 161–167. [Google Scholar]
- Xiao, S. Effect of Mechanical Harvesting of Main Crop on the Grain Yield and Quality of Ratoon Crop in Rationed Rice. Master’s Thesis, Huazhong Agricultural University, Wuhan, China, 2018. [Google Scholar]
- Peng, S.; Zhang, C.; Yu, X. Progress and challenges of rice ratooning technology in China. Crop Environ. 2023, 2, 5–11. [Google Scholar] [CrossRef]
- Chen, X.; Li, H.; Liu, M.; Yu, J.; Zhang, X.; Liu, Z.; Peng, Y. Stubble righting increases the grain yield of ratooning rice after the mechanical harvest of primary rice. J. Plant Growth Regul. 2022, 41, 1747–1757. [Google Scholar] [CrossRef]
- Pan, S.; Rasul, F.; Li, W.; Tian, H.; Mo, Z.; Duan, M.; Tang, X. Roles of plant growth regulators on yield, grain qualities and antioxidant enzyme activities in super hybrid rice (Oryza sativa L.). Rice 2013, 6, 9. [Google Scholar] [CrossRef]
- Li, S.; Jiang, H.; Wang, J.; Wang, Y.; Pan, S.; Tian, H.; Duan, M.; Wang, S.; Tang, X.; Mo, Z. Responses of plant growth, physiological, gas exchange parameters of super and non-super rice to rhizosphere temperature at the tillering stage. Sci. Rep. 2019, 9, 10618. [Google Scholar] [CrossRef]
- Bates, L.S.; Waldren, R.P.; Teare, I.D. Rapid determination of free proline for water-stress studies. Plant Soil. 1973, 39, 205–207. [Google Scholar] [CrossRef]
- Huang, S.; Rao, G.; Ashraf, U.; He, L.; Zhang, Z.; Zhang, H.; Mo, Z.; Pan, S.; Tang, X. Application of inorganic passivators reduced Cd contents in brown rice in oilseed rape–rice rotation under Cd contaminated soil. Chemosphere 2020, 259, 127404. [Google Scholar] [CrossRef]
- Yang, W.; Xiang, Z.; Ren, W.; Wang, X. Effect of s-3307 on nitrogen metabolism and grain protein content in rice. Chin. J. Rice Sci. 2005, 19, 63–67. [Google Scholar] [CrossRef]
- Feng, H.; Li, Y.; Yan, Y.; Wei, X.; Yang, Y.; Zhang, L.; Ma, L.; Li, W.; Tang, X.; Mo, Z. Nitrogen regulates the grain yield, antioxidant attributes, and nitrogen metabolism in fragrant rice grown under lead-contaminated Soil. J. Soil Sci. Plant Nutr. 2020, 20, 2099–2111. [Google Scholar] [CrossRef]
- Li, Y.; Liang, L.; Li, W.; Ashraf, U.; Mo, Z. Zno nanoparticle-based seed priming modulates early growth and enhances physio-biochemical and metabolic profiles of fragrant rice against cadmium toxicity. J. Nanobiotechnol. 2021, 19, 75. [Google Scholar] [CrossRef] [PubMed]







| Treatment | Panicle Number Per Hill | Grain Number Per Panicle | Filled Grain Percentage (%) | 1000-Grain Weight (g) | Grain Yield (g m−2) |
|---|---|---|---|---|---|
| 2021 | |||||
| YLiangyou911 | |||||
| CK | 12.62b | 81.65a | 60.71a | 19.84b | 189.94c |
| T1 | 21.03a | 72.40a | 70.73a | 21.38a | 392.85b |
| T2 | 20.35a | 83.85a | 71.14a | 22.13a | 471.43a |
| Kenliangyou801 | |||||
| CK | 14.68c | 70.07a | 60.20a | 21.63a | 253.49b |
| T1 | 18.03b | 67.49a | 75.64a | 22.88a | 369.09ab |
| T2 | 21.10a | 70.19a | 79.73a | 23.18a | 543.14a |
| 2022 | |||||
| YLiangyou911 | |||||
| CK | 20.48b | 96.88a | 47.79b | 23.44a | 243.24b |
| T1 | 27.73a | 69.77c | 53.37a | 24.03a | 260.28b |
| T2 | 26.45a | 77.18b | 55.25a | 23.07a | 301.62a |
| Kenliangyou801 | |||||
| CK | 16.68c | 62.37a | 34.97c | 21.45b | 101.72c |
| T1 | 24.23b | 54.46b | 45.27b | 22.24ab | 179.73b |
| T2 | 31.43a | 59.67ab | 61.22a | 23.23a | 290.76a |
| ANOVA | |||||
| Year (Y) | ** | ns | ** | ns | ** |
| Cultivar(C) | ns | ** | ns | ns | ns |
| Treatment (T) | ** | ** | ** | ** | ** |
| Y×C | ns | ** | * | ** | ns |
| Y×T | * | ** | ns | ns | * |
| C×T | ** | ** | ns | ns | ns |
| Y×C×T | ** | * | ns | ns | ns |
| Treatment | Heading Stage | Maturity Stage | ||||||
|---|---|---|---|---|---|---|---|---|
| Stem Dry Weight (g m−2) | Leaf Dry Weight (g m−2) | Panicle Dry Weight (g m−2) | Total Dry Weight (g m−2) | Stem Dry Weight (g m−2) | Leaf Dry Weight (g m−2) | Panicle Dry Weight (g m−2) | Total Dry Weight (g m−2) | |
| 2021 | ||||||||
| YLiangyou911 | ||||||||
| CK | 353.63b | 414.36a | 52.95b | 820.94c | 299.12b | 434.22a | 358.50c | 1091.84b |
| T1 | 598.05a | 423.38a | 114.85a | 1136.28b | 493.72a | 427.12a | 762.84b | 1683.68a |
| T2 | 674.63a | 524.00a | 162.12a | 1360.75a | 524.84a | 465.26a | 1018.91a | 2009.01a |
| Kenliangyou801 | ||||||||
| CK | 348.99b | 430.30b | 66.25c | 845.54c | 278.08b | 415.45a | 413.23b | 1106.76b |
| T1 | 547.36a | 654.21a | 144.52b | 1346.09b | 353.92b | 484.58a | 628.48b | 1466.98b |
| T2 | 637.50a | 740.80a | 231.28a | 1609.59a | 561.67a | 545.05a | 1149.15a | 2255.86a |
| 2022 | ||||||||
| YLiangyou911 | ||||||||
| CK | 353.63b | 414.36a | 52.95b | 820.94c | 455.20c | 360.73b | 390.31c | 1206.24c |
| T1 | 598.05a | 423.38a | 114.85a | 1136.28b | 568.58b | 404.70b | 702.89b | 1676.17b |
| T2 | 674.63a | 524.00a | 162.12a | 1360.75a | 695.60a | 586.94a | 1076.86a | 2359.41a |
| Kenliangyou801 | ||||||||
| CK | 348.99b | 430.30b | 66.25c | 845.54c | 399.37b | 308.89b | 245.31b | 953.57b |
| T1 | 547.36a | 654.21a | 144.52b | 1346.09b | 467.92b | 320.59b | 392.72b | 1181.23b |
| T2 | 637.50a | 740.80a | 231.28a | 1609.59a | 682.84a | 464.77a | 980.56a | 2128.17a |
| ANOVA | ||||||||
| Year (Y) | ** | * | ns | ns | ** | ** | ns | ns |
| Cultivar(C) | ns | ** | * | ** | * | ns | ns | * |
| Treatment (T) | ** | ** | ** | ** | ** | ** | ** | ** |
| Y×C | ns | ns | ns | ns | ns | ** | ns | * |
| Y×T | ns | ns | ns | ns | ns | ns | ns | ns |
| C×T | ns | ** | ns | ns | * | ns | ns | ns |
| Y×C×T | ns | ns | ns | ns | ns | ns | ns | ns |
| Treatment | Plant Height (cm) | Interception Rate of Radiation of Population (%) | Interception Rate of Radiation of Canopy (%) | Interception Rate of Radiation of Population (%) | Interception Rate Radiation of Canopy (%) | Interception Rate of Radiation of Population (%) |
|---|---|---|---|---|---|---|
| after harvest | at heading stage | at maturity stage | ||||
| 2021 | ||||||
| YLiangyou911 | ||||||
| CK | 58.56b | 61.40a | 16.64b | 61.80b | 24.90b | 69.34b |
| T1 | 61.88ab | 67.67a | 24.48ab | 63.10b | 47.71a | 80.94a |
| T2 | 65.60a | 69.62a | 30.52a | 80.01a | 50.85a | 84.62a |
| Kenliangyou801 | ||||||
| CK | 57.27b | 31.21c | 14.90b | 73.78b | 49.37a | 88.75a |
| T1 | 60.46ab | 51.15b | 38.60a | 75.64ab | 55.31a | 88.15a |
| T2 | 64.96a | 67.39a | 38.94a | 80.46a | 55.48a | 87.60a |
| 2022 | ||||||
| YLiangyou911 | ||||||
| CK | 58.36a | 27.42b | 59.90a | 81.65a | 63.16b | 89.76a |
| T1 | 54.65b | 38.58b | 70.95a | 84.41a | 64.38b | 90.83a |
| T2 | 61.51a | 57.55a | 66.18a | 84.55a | 76.23a | 93.70a |
| Kenliangyou801 | ||||||
| CK | 48.22c | 21.09b | 21.09c | 80.17a | 68.64ab | 93.42a |
| T1 | 51.08b | 53.76a | 48.03b | 83.24a | 61.46b | 94.41a |
| T2 | 60.56a | 57.37a | 59.78a | 80.33a | 75.33a | 93.61a |
| ANOVA | ||||||
| Year (Y) | ** | ** | ** | ** | ** | ** |
| Cultivar (C) | ** | * | ** | ns | * | ** |
| Treatment (T) | ** | ** | ** | * | ** | ** |
| Y×C | ** | ** | ** | ** | * | ** |
| Y×T | ns | ns | ns | ** | ** | * |
| C×T | ns | ** | ** | * | * | ** |
| Y×C×T | ns | * | * | ns | ns | ** |
| SOD Activity | POD Activity | CAT Activity | MDA Content | PRO Content | Ascorbic Acid Content | H2O2 Content | |
|---|---|---|---|---|---|---|---|
| Treatment | (U g-1 min-1) | (U g−1 min−1) | (mmol min−1 mg−1) | (µmol g-1 FW) | (µg g−1 FW) | (mg g−1) | (mmol g−1) |
| 2021 | |||||||
| YLiangyou911 | |||||||
| CK | 858.07b | 172.48b | 105.26c | 11.55ab | 8.76b | 0.12a | 17.25b |
| T1 | 930.21a | 220.39a | 146.72b | 11.15b | 23.24a | 0.11a | 19.99ab |
| T2 | 955.05a | 228.03a | 180.43a | 12.4a | 12.87b | 0.08a | 22.02a |
| Kenliangyou801 | |||||||
| CK | 826.87a | 184.54b | 141.57b | 12.86a | 6.53c | 0.09a | 15.42b |
| T1 | 865.42a | 208.03a | 162.05a | 12.88a | 21.41a | 0.08a | 15.87b |
| T2 | 639.04b | 199.43ab | 149.98ab | 12.69a | 12.04b | 0.04b | 18.51a |
| 2022 | |||||||
| YLiangyou911 | |||||||
| CK | 1284.97a | 263.87a | 208.26a | 17.08a | 7.17a | 0.17b | 30.31a |
| T1 | 1255.51a | 265.95a | 215.92a | 17.22a | 5.68a | 0.19a | 36.89a |
| T2 | 1204.3a | 285.26a | 241.57a | 15.39a | 6.01a | 0.17b | 27.63a |
| Kenliangyou801 | |||||||
| CK | 1123.63c | 241.29a | 214.8a | 18.21a | 6.69a | 0.14a | 12.82a |
| T1 | 1296.83a | 277.17a | 245.87a | 17.78a | 6.94a | 0.15a | 37.59a |
| T2 | 1197.13b | 288.6a | 234.1a | 13.64a | 7.76a | 0.15a | 34.37a |
| ANOVA | |||||||
| Year (Y) | ** | ** | ** | ns | ** | ** | ns |
| Cultivar(C) | ** | ns | ns | ns | ns | ** | ns |
| Treatment (T) | ** | ** | ** | ns | ** | ** | ns |
| Y×C | * | ns | ns | ns | ns | ns | ns |
| Y×T | ns | ns | ns | ns | ** | ** | ns |
| C×T | * | ns | ** | ns | ns | ns | ns |
| Y×C×T | ** | ns | ns | ns | ns | ns | ns |
| Treatment | Soluble Protein | NR Activity | GS Activity | GOGAT Activity |
|---|---|---|---|---|
| (mg g−1) | (μg g−1 h−1) | (μg g−1 h−1) | (μg−1 min−1) | |
| 2021 | ||||
| YLiangyou911 | ||||
| CK | 8.86b | 6.25a | 10.42a | 4.98a |
| T1 | 11ab | 8.95a | 14.92a | 6.02a |
| T2 | 14.1a | 7.88a | 13.13a | 6a |
| Kenliangyou801 | ||||
| CK | 7.36a | 5.49a | 8.41a | 3.7a |
| T1 | 8.16a | 5.39a | 8.14a | 6.34a |
| T2 | 8.59a | 5.06a | 8.43a | 6.1a |
| 2022 | ||||
| YLiangyou911 | ||||
| CK | 9.66a | 12.12a | 8.09b | 5.44a |
| T1 | 9.3a | 12.14a | 8.86a | 5.5a |
| T2 | 9.89a | 11.67a | 7.77b | 5.59a |
| Kenliangyou801 | ||||
| CK | 8.15b | 10.68b | 7.28a | 5.83a |
| T1 | 9.44a | 12.06a | 7.63a | 5.67a |
| T2 | 8.61b | 11.36ab | 7.5a | 5.48a |
| ANOVA | ||||
| Year (Y) | ns | ** | ns | ns |
| Cultivar(C) | ** | ** | * | ns |
| Treatment (T) | ** | ns | ns | ns |
| Y×C | ** | ns | * | ns |
| Y×T | * | ns | ns | ns |
| C×T | ns | ns | ns | ns |
| Y×C×T | ns | ns | ns | ns |
| Treatment | Chlorophyll a | Chlorophyll b | Carotenoid | Total chlorophyll |
|---|---|---|---|---|
| (mg g−1) | (mg g−1) | (mg g−1) | (mg g−1) | |
| 2021 | ||||
| YLiangyou911 | ||||
| CK | 1.31a | 0.47a | 0.28a | 1.78a |
| T1 | 1.36a | 0.49a | 0.29a | 1.85a |
| T2 | 1.38a | 0.49a | 0.29a | 1.87a |
| Kenliangyou801 | ||||
| CK | 1.08b | 0.4a | 0.23a | 1.49a |
| T1 | 0.81c | 0.29b | 0.17b | 1.09b |
| T2 | 1.32a | 0.48a | 0.26a | 1.8a |
| 2022 | ||||
| YLiangyou911 | ||||
| CK | 1.13b | 0.38b | 0.24b | 1.5b |
| T1 | 1.29a | 0.43a | 0.28a | 1.72a |
| T2 | 1.08b | 0.36b | 0.24b | 1.44b |
| Kenliangyou801 | ||||
| CK | 1.31a | 0.45a | 0.28a | 1.76a |
| T1 | 1.32a | 0.45a | 0.29a | 1.77a |
| T2 | 1.25a | 0.41a | 0.29a | 1.66a |
| ANOVA | ||||
| Year (Y) | ns | ns | ns | ns |
| Cultivar(C) | ns | ns | ns | ns |
| Treatment (T) | ns | ns | * | ns |
| Y×C | ** | ** | ** | ** |
| Y×T | ** | ** | ** | ** |
| C×T | ** | ** | ** | ** |
| Y×C×T | * | * | ns | * |
Disclaimer/Publisher’s Note: The statements, opinions and data contained in all publications are solely those of the individual author(s) and contributor(s) and not of MDPI and/or the editor(s). MDPI and/or the editor(s) disclaim responsibility for any injury to people or property resulting from any ideas, methods, instructions or products referred to in the content. |
© 2023 by the authors. Licensee MDPI, Basel, Switzerland. This article is an open access article distributed under the terms and conditions of the Creative Commons Attribution (CC BY) license (https://creativecommons.org/licenses/by/4.0/).
Share and Cite
Chen, X.; Liang, X.; Yu, J.; Mo, Z.; Fang, P.; Li, H.; Li, Y.; Sun, Z.; Liu, Z.; Liu, M. Mechanical Stubble Righting after the Mechanical Harvest of Primary Rice Improves the Grain Yield of Ratooning Rice. Agronomy 2023, 13, 2419. https://doi.org/10.3390/agronomy13092419
Chen X, Liang X, Yu J, Mo Z, Fang P, Li H, Li Y, Sun Z, Liu Z, Liu M. Mechanical Stubble Righting after the Mechanical Harvest of Primary Rice Improves the Grain Yield of Ratooning Rice. Agronomy. 2023; 13(9):2419. https://doi.org/10.3390/agronomy13092419
Chicago/Turabian StyleChen, Xiongfei, Xuehai Liang, Jiajia Yu, Zhaowen Mo, Peng Fang, Huilong Li, Yuanrui Li, Zeyu Sun, Zhaopeng Liu, and Muhua Liu. 2023. "Mechanical Stubble Righting after the Mechanical Harvest of Primary Rice Improves the Grain Yield of Ratooning Rice" Agronomy 13, no. 9: 2419. https://doi.org/10.3390/agronomy13092419
APA StyleChen, X., Liang, X., Yu, J., Mo, Z., Fang, P., Li, H., Li, Y., Sun, Z., Liu, Z., & Liu, M. (2023). Mechanical Stubble Righting after the Mechanical Harvest of Primary Rice Improves the Grain Yield of Ratooning Rice. Agronomy, 13(9), 2419. https://doi.org/10.3390/agronomy13092419

