Improvement of Active Organic Carbon Distribution and Soil Quality with the Combination of Deep Tillage and No-Tillage Straw Returning Mode
Abstract
:1. Introduction
2. Materials and Methods
2.1. Site Description
2.2. Experimental Design
2.3. Soil Sampling and Analysis
2.4. Calculation Methods
2.5. Data Analysis
3. Results
3.1. Profile Distribution Characteristics of SOC and Its Active Components
3.2. Stratification Ratio of SOC and Its Active Components
3.3. Carbon Pool Management Index
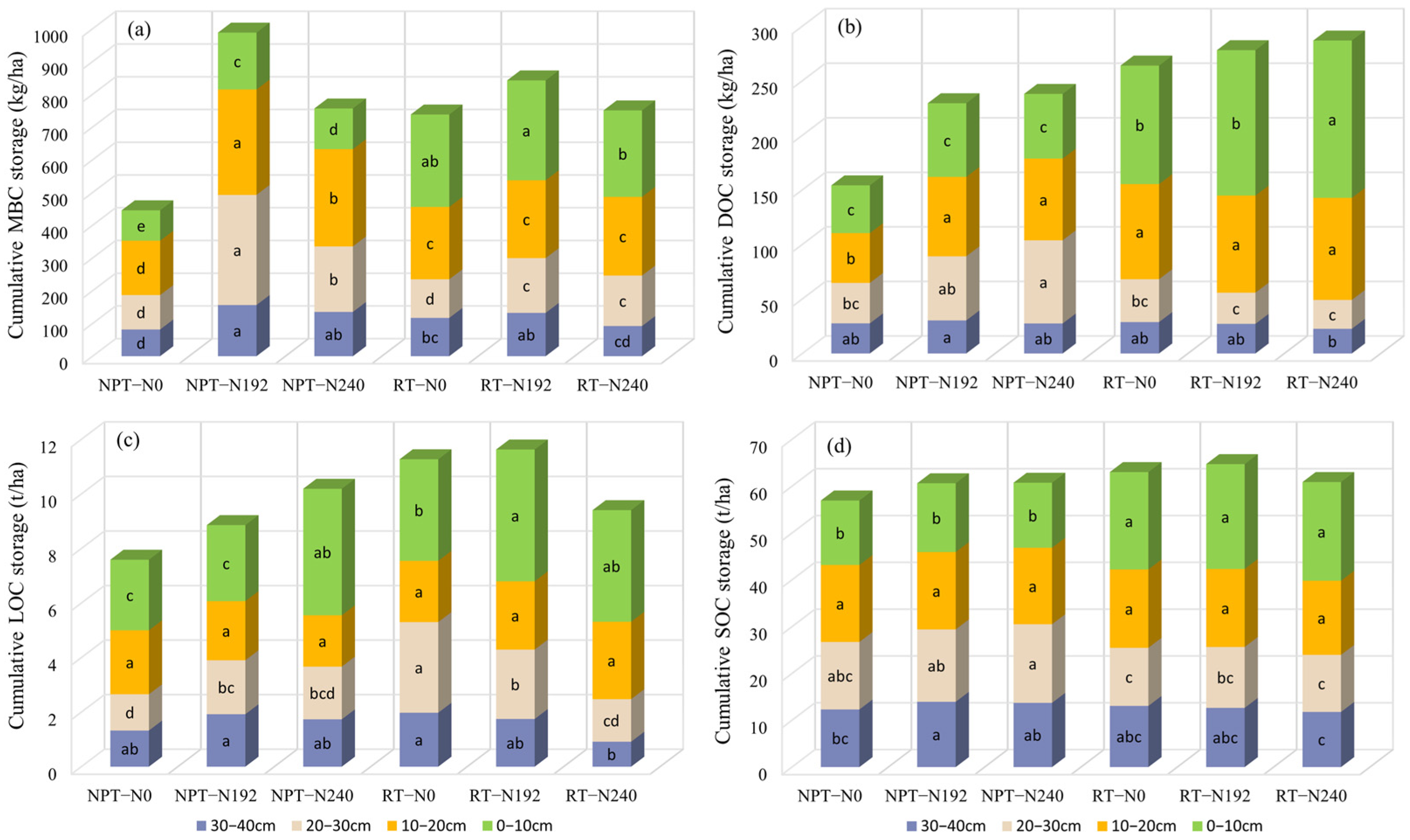
3.4. SOC and Its Active Components Storages
3.5. Maize Yield for 3 Consecutive Years of Straw Return Mode and N Fertilizer Dosage Treatment
4. Discussion
4.1. Characteristics of Soil Organic Carbon Profile Distribution
4.2. Effects of Tillage Methods and Nitrogen Fertilizer Rates on Soil Quality and Maize Yield
4.3. Carbon Turnover Induced by Straw Input in Different Modes
5. Conclusions
Supplementary Materials
Author Contributions
Funding
Data Availability Statement
Acknowledgments
Conflicts of Interest
References
- Li, H.; Cao, Y.; Wang, X.; Ge, X.; Li, B.; Jin, C. Evaluation on the Production of Food Crop Straw in China from 2006 to 2014. BioEnergy Res. 2017, 10, 949–957. [Google Scholar] [CrossRef]
- Wu, H.; Sun, W.; Zhu, F.; Jiang, Y.; Huang, S.; Goloran, J.; Xue, S. Straw addition increases enzyme activities and microbial carbon metabolism activities in bauxite residue. J. Environ. Sci. 2024, 135, 332–344. [Google Scholar] [CrossRef]
- Liu, Z.; Wang, D.; Ning, T.; Zhang, S.; Yang, Y.; He, Z.; Li, Z. Sustainability assessment of straw utilization circulation modes based on the emergetic ecological footprint. Ecol. Indic. 2017, 75, 1–7. [Google Scholar] [CrossRef]
- Sun, N.; Gao, C.; Ding, Y.; Bi, Y.; Seglah, P.A.; Wang, Y. Five-Dimensional Straw Utilization Model and Its Impact on Carbon Emission Reduction in China. Sustainability 2022, 14, 16722. [Google Scholar] [CrossRef]
- Song, T.; Wang, J.; Xu, X.; Sun, C.; Sun, C.; Chen, Z.; Zhang, Y.; Hao, L. Microbial community and network differently reshaped by crushed straw or biochar incorporation and associated with nitrogen fertilizer level. GCB Bioenergy 2023, 15, 1255–1272. [Google Scholar] [CrossRef]
- Chen, Z.; Wang, H.; Liu, X.; Zhao, X.; Lu, D.; Zhou, J.; Li, C. Changes in soil microbial community and organic carbon fractions under short-term straw return in a rice–wheat cropping system. Soil Tillage Res. 2017, 165, 121–127. [Google Scholar] [CrossRef]
- Burns, R.G.; DeForest, J.L.; Marxsen, J.; Sinsabaugh, R.L.; Stromberger, M.E.; Wallenstein, M.D.; Weintraub, M.N.; Zoppini, A. Soil enzymes in a changing environment: Current knowledge and future directions. Soil Biol. Biochem. 2013, 58, 216–234. [Google Scholar] [CrossRef]
- He, H.; Peng, M.; Ru, S.; Hou, Z.; Li, J. A suitable organic fertilizer substitution ratio could improve maize yield and soil fertility with low pollution risk. Front. Plant Sci. 2022, 13, 988663. [Google Scholar] [CrossRef]
- Chen, Z.; Liu, F.; Cai, G.; Peng, X.; Wang, X. Responses of Soil Carbon Pools and Carbon Management Index to Nitrogen Substitution Treatments in a Sweet Maize Farmland in South China. Plants 2022, 11, 2194. [Google Scholar] [CrossRef] [PubMed]
- Li, Z.; Shen, Y.; Zhang, W.; Zhang, H.; Liu, L.; Wang, Z.; Gu, J.; Yang, J. Effects of long-term straw returning on rice yield and soil properties and bacterial community in a rice-wheat rotation system. Field Crops Res. 2023, 291, 108800. [Google Scholar] [CrossRef]
- Wang, S.-C.; Zhao, Y.-W.; Wang, J.-Z.; Zhu, P.; Cui, X.; Han, X.-Z.; Xu, M.-G.; Lu, C.-A. The efficiency of long-term straw return to sequester organic carbon in Northeast China’s cropland. J. Integr. Agric. 2018, 17, 436–448. [Google Scholar] [CrossRef]
- Li, S.; Cui, Y.; Xia, Z.; Zhang, X.; Zhou, C.; An, S.; Zhu, M.; Gao, Y.; Yu, W.; Ma, Q. Microbial nutrient limitations limit carbon sequestration but promote nitrogen and phosphorus cycling: A case study in an agroecosystem with long-term straw return. Sci. Total Environ. 2023, 870, 161865. [Google Scholar] [CrossRef]
- Gao, Y.; Yu, G.; He, N. Equilibration of the terrestrial water, nitrogen, and carbon cycles: Advocating a health threshold for carbon storage. Ecol. Eng. 2013, 57, 366–374. [Google Scholar] [CrossRef]
- Willy, D.K.; Muyanga, M.; Jayne, T. Can economic and environmental benefits associated with agricultural intensification be sustained at high population densities? A farm level empirical analysis. Land Use Policy 2019, 81, 100–110. [Google Scholar] [CrossRef]
- Zhu, L.; Hu, N.; Zhang, Z.; Xu, J.; Tao, B.; Meng, Y. Short-term responses of soil organic carbon and carbon pool management index to different annual straw return rates in a rice–wheat cropping system. Catena 2015, 135, 283–289. [Google Scholar] [CrossRef]
- Huang, W.; Wu, J.-F.; Pan, X.-H.; Tan, X.-M.; Zeng, Y.-J.; Shi, Q.-H.; Liu, T.-J.; Zeng, Y.-H. Effects of long-term straw return on soil organic carbon fractions and enzyme activities in a double-cropped rice paddy in South China. J. Integr. Agric. 2020, 20, 236–247. [Google Scholar] [CrossRef]
- Zhao, Y.; Wang, M.; Hu, S.; Zhang, X.; Ouyang, Z.; Zhang, G.; Huang, B.; Zhao, S.; Wu, J.; Xie, D.; et al. Economics- and policy-driven organic carbon input enhancement dominates soil organic carbon accumulation in Chinese croplands. Proc. Natl. Acad. Sci. USA 2018, 115, 4045–4050. [Google Scholar] [CrossRef] [PubMed]
- Tian, M.; Whalley, W.R.; Zhou, H.; Ren, T.; Gao, W. Does no-tillage mitigate the negative effects of harvest compaction on soil pore characteristics in Northeast China? Soil Tillage Res. 2023, 233, 105787. [Google Scholar] [CrossRef]
- Guo, L.; Zhang, L.; Liu, L.; Sheng, F.; Cao, C.; Li, C. Effects of long-term no tillage and straw return on greenhouse gas emissions and crop yields from a rice-wheat system in central China. Agric. Ecosyst. Environ. 2021, 322, 107650. [Google Scholar] [CrossRef]
- Yang, Y.; Bao, X.; Xie, H.; He, H.; Zhang, X.; Shao, P.; Zhu, X.; Jiang, Y.; Liang, C. Frequent stover mulching builds healthy soil and sustainable agriculture in Mollisols. Agric. Ecosyst. Environ. 2022, 326, 107815. [Google Scholar] [CrossRef]
- Yuan, L.; Liu, Y.; He, H.; Zhu, T.; Chen, X.; Zhang, X.; Liang, C.; Xie, H.; Zhang, J.; Müller, C.; et al. Effects of long-term no-tillage and maize straw mulching on gross nitrogen transformations in Mollisols of Northeast China. Geoderma 2022, 428, 116194. [Google Scholar] [CrossRef]
- Xu, J.; Han, H.; Ning, T.; Li, Z.; Lal, R. Long-term effects of tillage and straw management on soil organic carbon, crop yield, and yield stability in a wheat-maize system. Field Crops Res. 2019, 233, 33–40. [Google Scholar] [CrossRef]
- Peixoto, D.S.; Silva, B.M.; de Oliveira, G.C.; Moreira, S.G.; da Silva, F.; Curi, N. A soil compaction diagnosis method for occasional tillage recommendation under continuous no tillage system in Brazil. Soil Tillage Res. 2019, 194, 104307. [Google Scholar] [CrossRef]
- Barth, V.P.; Reardon, C.L.; Coffey, T.; Klein, A.M.; McFarland, C.; Huggins, D.R.; Sullivan, T.S. Stratification of soil chemical and microbial properties under no-till after liming. Appl. Soil Ecol. 2018, 130, 169–177. [Google Scholar] [CrossRef]
- Lal, R. Soil Carbon Sequestration Impacts on Global Climate Change and Food Security. Science 2004, 304, 1623–1627. [Google Scholar] [CrossRef] [PubMed]
- Nie, X.; Duan, X.; Zhang, M.; Zhang, Z.; Liu, D.; Zhang, F.; Wu, M.; Fan, X.; Yang, L.; Xia, X. Cadmium accumulation, availability, and rice uptake in soils receiving long-term applications of chemical fertilizers and crop straw return. Environ. Sci. Pollut. Res. 2019, 26, 31243–31253. [Google Scholar] [CrossRef]
- Liu, B.; Xia, H.; Jiang, C.; Riaz, M.; Yang, L.; Chen, Y.; Fan, X.; Xia, X. 14 year applications of chemical fertilizers and crop straw effects on soil labile organic carbon fractions, enzyme activities and microbial community in rice-wheat rotation of middle China. Sci. Total Environ. 2022, 841, 156608. [Google Scholar] [CrossRef]
- Qiu, Q.; Wu, L.; Ouyang, Z.; Li, B.; Xu, Y.; Wu, S.; Gregorich, E. Effects of plant-derived dissolved organic matter (DOM) on soil CO2 and N2O emissions and soil carbon and nitrogen sequestrations. Appl. Soil Ecol. 2015, 96, 122–130. [Google Scholar] [CrossRef]
- Yan, S.; Song, J.; Fan, J.; Yan, C.; Dong, S.; Ma, C.; Gong, Z. Changes in soil organic carbon fractions and microbial community under rice straw return in Northeast China. Glob. Ecol. Conserv. 2020, 22, e00962. [Google Scholar] [CrossRef]
- Liang, C.; Schimel, J.P.; Jastrow, J.D. The importance of anabolism in microbial control over soil carbon storage. Nat. Microbiol. 2017, 2, 17105. [Google Scholar] [CrossRef] [PubMed]
- Berhane, M.; Xu, M.; Liang, Z.; Shi, J.; Wei, G.; Tian, X. Effects of long-term straw return on soil organic carbon storage and sequestration rate in North China upland crops: A meta-analysis. Glob. Change Biol. 2020, 26, 2686–2701. [Google Scholar] [CrossRef] [PubMed]
- Yan, Y.; Ji, W.; Li, B.; Wang, G.; Hu, B.; Zhang, C.; Mouazen, A.M. Effects of Long-Term Straw Return and Environmental Factors on the Spatiotemporal Variability of Soil Organic Matter in the Black Soil Region: A Case Study. Agronomy 2022, 12, 2532. [Google Scholar] [CrossRef]
- Qi, J.-Y.; Yao, X.-B.; Lu, J.; He, L.-X.; Cao, J.-L.; Kan, Z.-R.; Wang, X.; Pan, S.-G.; Tang, X.-R. A 40% paddy surface soil organic carbon increase after 5-year no-tillage is linked with shifts in soil bacterial composition and functions. Sci. Total Environ. 2023, 859, 160206. [Google Scholar] [CrossRef] [PubMed]
- Vance, E.D.; Brookes, P.C.; Jenkinson, D.S. An extraction method for measuring soil microbial biomass C. Soil Biol. Biochem. 1987, 19, 703–707. [Google Scholar] [CrossRef]
- Blair, G.; Lefroy, R.; Lisle, L. Soil carbon fractions based on their degree of oxidation, and the development of a carbon management index for agricultural systems. Aust. J. Agric. Res. 1995, 46, 1459–1466. [Google Scholar] [CrossRef]
- Franzluebbers, A. Soil organic matter stratification ratio as an indicator of soil quality. Soil Tillage Res. 2002, 66, 95–106. [Google Scholar] [CrossRef]
- Ellert, B.H.; Bettany, J.R. Calculation of organic matter and nutrients stored in soils under contrasting management regimes. Can. J. Soil Sci. 1995, 75, 529–538. [Google Scholar] [CrossRef]
- Haynes, R. Labile organic matter as an indicator of organic matter quality in arable and pastoral soils in New Zealand. Soil Biol. Biochem. 2000, 32, 211–219. [Google Scholar] [CrossRef]
- Benbi, D.K.; Brar, K.; Toor, A.S.; Sharma, S. Sensitivity of Labile Soil Organic Carbon Pools to Long-Term Fertilizer, Straw and Manure Management in Rice-Wheat System. Pedosphere 2015, 25, 534–545. [Google Scholar] [CrossRef]
- De Los Rios, J.; Poyda, A.; Taube, F.; Kluß, C.; Loges, R.; Reinsch, T. No-Till Mitigates SOC Losses after Grassland Renovation and Conversion to Silage Maize. Agriculture 2022, 12, 1204. [Google Scholar] [CrossRef]
- Chen, W.; Yuan, W.; Wang, J.; Wang, Z.; Zhou, Z.; Liu, S. No-Tillage Combined with Appropriate Amount of Straw Returning Increased Soil Biochemical Properties. Sustainability 2022, 14, 4875. [Google Scholar] [CrossRef]
- Leinemann, T.; Preusser, S.; Mikutta, R.; Kalbitz, K.; Cerli, C.; Höschen, C.; Mueller, C.; Kandeler, E.; Guggenberger, G. Multiple exchange processes on mineral surfaces control the transport of dissolved organic matter through soil profiles. Soil Biol. Biochem. 2018, 118, 79–90. [Google Scholar] [CrossRef]
- Weyers, S.L.; Johnson, J.M.F.; Archer, D.W. Assessment of Multiple Management Systems in the Upper Midwest. Agron. J. 2013, 105, 1665–1675. [Google Scholar] [CrossRef]
- Xu, X.; Pang, D.; Chen, J.; Luo, Y.; Zheng, M.; Yin, Y.; Li, Y.; Li, Y.; Wang, Z. Straw return accompany with low nitrogen moderately promoted deep root. Field Crops Res. 2018, 221, 71–80. [Google Scholar] [CrossRef]
- Wang, X.; Wang, X.; Geng, P.; Yang, Q.; Chen, K.; Liu, N.; Fan, Y.; Zhan, X.; Han, X. Effects of different returning method combined with decomposer on decomposition of organic components of straw and soil fertility. Sci. Rep. 2021, 11, 15495. [Google Scholar] [CrossRef] [PubMed]
- Liu, Y.X.; Pan, Y.Q.; Yang, L.; Ahmad, S.; Zhou, X.B. Stover return and nitrogen application affect soil organic carbon and nitrogen in a double-season maize field. Plant Biol. 2021, 24, 387–395. [Google Scholar] [CrossRef] [PubMed]
- Xu, Y.; Sun, L.; Lal, R.; Bol, R.; Wang, Y.; Gao, X.; Ding, F.; Liang, S.; Li, S.; Wang, J. Microbial assimilation dynamics differs but total mineralization from added root and shoot residues is similar in agricultural Alfisols. Soil Biol. Biochem. 2020, 148, 107901. [Google Scholar] [CrossRef]
- Zhao, D.; Ling, J.; Wu, G.; Liu, Z.; Zhou, S.; Wen, Y.; Beule, L. The incorporation of straw into the subsoil increases C, N, and P enzyme activities and nutrient supply by enriching distinctive functional microorganisms. Land Degrad. Dev. 2022, 34, 1297–1310. [Google Scholar] [CrossRef]
- Fang, Y.; Nazaries, L.; Singh, B.K.; Singh, B.P. Microbial mechanisms of carbon priming effects revealed during the interaction of crop residue and nutrient inputs in contrasting soils. Glob. Change Biol. 2018, 24, 2775–2790. [Google Scholar] [CrossRef]
- Yan, S.; Yin, L.; Dijkstra, F.A.; Wang, P.; Cheng, W. Priming effect on soil carbon decomposition by root exudate surrogates: A meta-analysis. Soil Biol. Biochem. 2023, 178, 108955. [Google Scholar] [CrossRef]
- Liu, J.; Qiu, T.; Peñuelas, J.; Sardans, J.; Tan, W.; Wei, X.; Cui, Y.; Cui, Q.; Wu, C.; Liu, L.; et al. Crop residue return sustains global soil ecological stoichiometry balance. Glob. Change Biol. 2023, 29, 2203–2226. [Google Scholar] [CrossRef]
- Lum, S.C.; de Oliveira, S.P.; de Lacerda, N.B.; de Alencar, G.V.; Escobar, M.E.O.; Mendonça, E.S.; de Oliveira, T.S. Stratification Ratios of Soil Organic Matter in Agro-ecosystems in Northeastern Brazil. In Soil Carbon; Hartemink, A.E., McSweeney, K., Eds.; Springer International Publishing: Cham, Switzerland, 2014; pp. 427–435. [Google Scholar]
- Zhao, X.; Xue, J.-F.; Zhang, X.-Q.; Kong, F.-L.; Chen, F.; Lal, R.; Zhang, H.-L. Stratification and Storage of Soil Organic Carbon and Nitrogen as Affected by Tillage Practices in the North China Plain. PLoS ONE 2015, 10, e0128873. [Google Scholar] [CrossRef]
- Mirzaei, M.; Anari, M.G.; Razavy-Toosi, E.; Asadi, H.; Moghiseh, E.; Saronjic, N.; Rodrigo-Comino, J. Preliminary Effects of Crop Residue Management on Soil Quality and Crop Production under Different Soil Management Regimes in Corn-Wheat Rotation Systems. Agronomy 2021, 11, 302. [Google Scholar] [CrossRef]
- Liu, N.; Li, Y.; Cong, P.; Wang, J.; Guo, W.; Pang, H.; Zhang, L. Depth of straw incorporation significantly alters crop yield, soil organic carbon and total nitrogen in the North China Plain. Soil Tillage Res. 2020, 205, 104772. [Google Scholar] [CrossRef]
- Wang, Z.; Hoffmann, T.; Six, J.; Kaplan, J.O.; Govers, G.; Doetterl, S.; Van Oost, K. Human-induced erosion has offset one-third of carbon emissions from land cover change. Nat. Clim. Change 2017, 7, 345–349. [Google Scholar] [CrossRef]
- Vilakazi, B.S.; Zengeni, R.; Mafongoya, P. Tillage and Urea Fertilizer Application Impacts on Soil C Fractions and Sequestration. Agronomy 2022, 12, 1725. [Google Scholar] [CrossRef]
- Xu, M.; Lou, Y.; Sun, X.; Wang, W.; Baniyamuddin, M.; Zhao, K. Soil organic carbon active fractions as early indicators for total carbon change under straw incorporation. Biol. Fertil. Soils 2011, 47, 745–752. [Google Scholar] [CrossRef]
- Ghosh, B.; Meena, V.; Alam, N.; Dogra, P.; Bhattacharyya, R.; Sharma, N.; Mishra, P. Impact of conservation practices on soil aggregation and the carbon management index after seven years of maize–wheat cropping system in the Indian Himalayas. Agric. Ecosyst. Environ. 2016, 216, 247–257. [Google Scholar] [CrossRef]
- Zhao, F.; Yang, G.; Han, X.; Feng, Y.; Ren, G. Stratification of Carbon Fractions and Carbon Management Index in Deep Soil Affected by the Grain-to-Green Program in China. PLoS ONE 2014, 9, e99657. [Google Scholar] [CrossRef]
- Lv, C.; Saba, T.; Wang, J.; Hui, W.; Kang, X.; Xie, Y.; Wang, K.; Wang, H.; Gong, W. Conversion effects of farmland to Zanthoxylum bungeanum plantations on soil organic carbon fractions in the arid valley of the upper reaches of the Yangtze river, China. Catena 2022, 217, 106523. [Google Scholar] [CrossRef]
- Li, J.; Wen, Y.; Li, X.; Li, Y.; Yang, X.; Lin, Z.; Song, Z.; Cooper, J.M.; Zhao, B. Soil labile organic carbon fractions and soil organic carbon stocks as affected by long-term organic and mineral fertilization regimes in the North China Plain. Soil Tillage Res. 2018, 175, 281–290. [Google Scholar] [CrossRef]
- Chatterjee, S.; Bandyopadhyay, K.; Pradhan, S.; Singh, R.; Datta, S. Effects of irrigation, crop residue mulch and nitrogen management in maize (Zea mays L.) on soil carbon pools in a sandy loam soil of Indo-gangetic plain region. Catena 2018, 165, 207–216. [Google Scholar] [CrossRef]
- Zhang, L.; Chen, X.; Xu, Y.; Jin, M.; Ye, X.; Gao, H.; Chu, W.; Mao, J.; Thompson, M.L. Soil labile organic carbon fractions and soil enzyme activities after 10 years of continuous fertilization and wheat residue incorporation. Sci. Rep. 2020, 10, 11318. [Google Scholar] [CrossRef]
- Kubar, K.A.; Huang, L.; Lu, J.; Li, X.; Xue, B.; Yin, Z. Long-term tillage and straw returning effects on organic C fractions and chemical composition of SOC in rice-rape cropping system. Arch. Agron. Soil Sci. 2018, 65, 125–137. [Google Scholar] [CrossRef]
- Wang, X.; Yang, H.; Liu, J.; Wu, J.; Chen, W.; Wu, J.; Zhu, L.; Bian, X. Effects of ditch-buried straw return on soil organic carbon and rice yields in a rice–wheat rotation system. Catena 2014, 127, 56–63. [Google Scholar] [CrossRef]
- Musilova, M.; Tranter, M.; Wadham, J.; Telling, J.; Tedstone, A.; Anesio, A.M. Microbially driven export of labile organic carbon from the Greenland ice sheet. Nat. Geosci. 2017, 10, 360–365. [Google Scholar] [CrossRef]
- Song, W.; Jiang, X.; Li, L.; Ren, L.; Tong, J. Increasing the width of disturbance of plough pan with bionic inspired subsoilers. Soil Tillage Res. 2022, 220, 105356. [Google Scholar] [CrossRef]
- Alcántara, V.; Don, A.; Well, R.; Nieder, R. Deep ploughing increases agricultural soil organic matter stocks. Glob. Change Biol. 2016, 22, 2939–2956. [Google Scholar] [CrossRef]
- Nottingham, A.T.; Turner, B.L.; Stott, A.W.; Tanner, E.V. Nitrogen and phosphorus constrain labile and stable carbon turnover in lowland tropical forest soils. Soil Biol. Biochem. 2015, 80, 26–33. [Google Scholar] [CrossRef]
- Wang, H.; Ren, T.; Müller, K.; Van Zwieten, L.; Wang, H.; Feng, H.; Xu, C.; Yun, F.; Ji, X.; Yin, Q.; et al. Soil type regulates carbon and nitrogen stoichiometry and mineralization following biochar or nitrogen addition. Sci. Total Environ. 2020, 753, 141645. [Google Scholar] [CrossRef]
- Ratnayake, R.; Kugendren, T.; Gnanavelrajah, N. Changes in soil carbon stocks under different agricultural management practices in North Sri Lanka. J. Natl. Sci. Found. Sri Lanka 2014, 42, 37. [Google Scholar] [CrossRef]
- Jin, Z.; Shah, T.; Zhang, L.; Liu, H.; Peng, S.; Nie, L. Effect of straw returning on soil organic carbon in rice–wheat rotation system: A review. Food Energy Secur. 2020, 9, e200. [Google Scholar] [CrossRef]
- Huang, T.; Yang, N.; Lu, C.; Qin, X.; Siddique, K.H. Soil organic carbon, total nitrogen, available nutrients, and yield under different straw returning methods. Soil Tillage Res. 2021, 214, 105171. [Google Scholar] [CrossRef]
- He, Y.; Zhang, F.; Yang, M.; Li, X.; Wang, Z. Insights from size fractions to interpret the erosion-driven variations in soil organic carbon on black soil sloping farmland, Northeast China. Agric. Ecosyst. Environ. 2023, 343, 108283. [Google Scholar] [CrossRef]
- Jakab, G.; Madarász, B.; Masoudi, M.; Karlik, M.; Király, C.; Zacháry, D.; Filep, T.; Dekemati, I.; Centeri, C.; Al-Graiti, T.; et al. Soil organic matter gain by reduced tillage intensity: Storage, pools, and chemical composition. Soil Tillage Res. 2023, 226, 105584. [Google Scholar] [CrossRef]
- Wang, D.; Zhu, Z.; Shahbaz, M.; Chen, L.; Liu, S.; Inubushi, K.; Wu, J.; Ge, T. Split N and P addition decreases straw mineralization and the priming effect of a paddy soil: A 100-day incubation experiment. Biol. Fertil. Soils 2019, 55, 701–712. [Google Scholar] [CrossRef]
- Feng, J.; Tang, M.; Zhu, B. Soil priming effect and its responses to nutrient addition along a tropical forest elevation gradient. Glob. Change Biol. 2021, 27, 2793–2806. [Google Scholar] [CrossRef] [PubMed]







| Soil Depth (cm) | Mode/Size | MBC | DOC | LOC | SOC |
|---|---|---|---|---|---|
| 0–10 | Tillage (T) | 0.883 *** | 0.849 *** | 0.220 | 0.916 *** |
| Fertilization (F) | 0.063 | 0.084 | 0.006 | 0.027 | |
| T × F | 0.074 | 0.199 | 0.034 | 0.071 | |
| 10–20 | Tillage (T) | 0.075 | 0.489 ** | 0.139 | 0.000 |
| Fertilization (F) | 0.000 | 0.068 | 0.058 | 0.142 | |
| T × F | 0.003 | 0.084 | 0.171 | 0.116 | |
| 20–30 | Tillage (T) | 0.194 | 0.432 * | 0.272 | 0.575 ** |
| Fertilization (F) | 0.000 | 0.041 | 0.062 | 0.048 | |
| T × F | 0.008 | 0.030 | 0.021 | 0.003 | |
| 30–40 | Tillage (T) | 0.040 | 0.130 | 0.014 | 0.187 |
| Fertilization (F) | 0.095 | 0.100 | 0.165 | 0.128 | |
| T × F | 0.144 | 0.036 | 0.094 | 0.041 |
| Mode/Size | MBC | DOC | LOC | SOC |
|---|---|---|---|---|
| Tillage (T) | 0.021 | 0.537 ** | 0.343 * | 0.195 |
| Fertilization (F) | 0.007 | 0.018 | 0.024 | 0.102 |
| T × F | 0.011 | 0.077 | 0.045 | 0.074 |
Disclaimer/Publisher’s Note: The statements, opinions and data contained in all publications are solely those of the individual author(s) and contributor(s) and not of MDPI and/or the editor(s). MDPI and/or the editor(s) disclaim responsibility for any injury to people or property resulting from any ideas, methods, instructions or products referred to in the content. |
© 2023 by the authors. Licensee MDPI, Basel, Switzerland. This article is an open access article distributed under the terms and conditions of the Creative Commons Attribution (CC BY) license (https://creativecommons.org/licenses/by/4.0/).
Share and Cite
Zhao, Z.; Geng, P.; Wang, X.; Li, X.; Cai, P.; Zhan, X.; Han, X. Improvement of Active Organic Carbon Distribution and Soil Quality with the Combination of Deep Tillage and No-Tillage Straw Returning Mode. Agronomy 2023, 13, 2398. https://doi.org/10.3390/agronomy13092398
Zhao Z, Geng P, Wang X, Li X, Cai P, Zhan X, Han X. Improvement of Active Organic Carbon Distribution and Soil Quality with the Combination of Deep Tillage and No-Tillage Straw Returning Mode. Agronomy. 2023; 13(9):2398. https://doi.org/10.3390/agronomy13092398
Chicago/Turabian StyleZhao, Zhihui, Peng Geng, Xiao Wang, Xiao Li, Peixuan Cai, Xiumei Zhan, and Xiaori Han. 2023. "Improvement of Active Organic Carbon Distribution and Soil Quality with the Combination of Deep Tillage and No-Tillage Straw Returning Mode" Agronomy 13, no. 9: 2398. https://doi.org/10.3390/agronomy13092398
APA StyleZhao, Z., Geng, P., Wang, X., Li, X., Cai, P., Zhan, X., & Han, X. (2023). Improvement of Active Organic Carbon Distribution and Soil Quality with the Combination of Deep Tillage and No-Tillage Straw Returning Mode. Agronomy, 13(9), 2398. https://doi.org/10.3390/agronomy13092398
