Abstract
The soil moisture content can vary the behavior of biochemical activity and its incidence on herbicides. The objective of this manuscript was to assess, under controlled laboratory conditions, whether a prolonged 75-day drought can affect the behavior of 4-chloro-2-methylphenoxyacetic acid (MCPA) herbicide and biochemical properties in three agricultural soils (Typic Xerofluvent, SA, Typic Haploxeralf, SB, and Vertic Chromoxert, SC). During the 75 experimental days, two irrigation levels were maintained: (1) watered soils during this experimental period, and (2) non-watered soils, where no water was supplied during the experimental period. The evolution of the herbicide and the biochemical properties were different depending on the soil moisture status. In the SA, the biochemical properties decreased until day 35 after initiating the experiment, whereas in the SB and SC, the biochemical parameters decreased until days 25 and 45, respectively. The application of herbicide to the non-watered soil increased the inhibition of biochemical properties. In non-watered SA, MCPA degradation occurred at day 45 after initiating the experiment, whereas in SB and SC, MCPA degradation occurred at days 35 and 60 after starting the incubation process, respectively. These results suggest that the soil persistence of MCPA under drought conditions increases, and consequently increases soil contamination.
1. Introduction
In the last decade, assessments by the Intergovernmental Panel on Climate Change (IPCC) have shown that due to the increase in the emission of greenhouse gases in the atmosphere generated by human activities, the Earth’s climate is changing significantly [1]. According to Linares et al. [2], the Mediterranean region is an area that is highly vulnerable to such changes, with an increase in periods of drought due to the combined effect of high temperatures and low rainfall [2,3]. This will have serious implications for terrestrial ecosystems, as it will reduce water content in soils, adversely affecting the environment and life in these ecosystems [2,4,5].
The behavior of pesticides in the soil depends on both abiotic factors (temperature, precipitation, soil physical and chemical properties) and biotic factors (soil microbial community structure, biochemical activity) [6,7,8]. Microbial degradation is the principal process affecting the dynamics of pesticide in the soil, including its persistence and its susceptibility to leaching [6]. Therefore, a decrease in the soil water content as a consequence of climate change can significantly affect the behavior of such chemicals. In this sense, a study carried out by Franco-Andreu et al. [6] on the behavior of oxyfluorfen [(C15H11ClF3NO4) or (2-chloro-1-(3-ethoxy-4-nitrophenoxy)-4-(trifluoromethyl) benzene] (diphenyl ether herbicide) and chlorpyrifos [(C9H11Cl3NO3 PS) or (O, O-diethyl-O-3,5,6-trichloro-2-pyridyl phosphorothioate)] (organophosphate insecticide) (at the doses recommended by the manufacturers of each product) in soil subjected to severe drought showed that a decrease in soil water content negatively affected biochemical activity and microbial biodiversity. This in turn increased the persistence of both pesticides in the soil and consequently increased the toxic effect of both xenobiotics on soil microorganisms. These negative effects were greater in the case of oxyfluorfen-contaminated soil than in chlorpyrifos-contaminated soil, suggesting that the chemical composition of the pesticide used exercised a notable influence on the behavior of soil subjected to severe drought conditions.
The 4-chloro-2-methylphenoxyacetic acid (MCPA), phenoxyacetic acid herbicide (C9H9ClO3), is widely used in farming worldwide for weed control (cereals, cotton olives, vines, sugar beet and oilseed rape) at a high dose of 2.5 kg ha−1 [9,10,11]. In Andalusia (Southern Spain) the use of MCPA is allowed in the control of dicotyledonous herbs in olive oil crops. In order to avoid a decrease in both the amount of olives harvested and the oil obtained from them Tejada [12], it is essential to use MCPA correctly. Therefore, studying the behavior of this highly important herbicide in olive crops under drought conditions in order to observe its degradation could be of great interest, since its behavior in soils subjected to severe drought conditions is unknown.
Soil biochemical properties such as and intra- and extracellular enzymatic activities (dehydrogenase, β-glucosidase, urease, phosphatase, arylsulfatase, etc.) are important indicators for monitoring changing soil processes because they are more sensitive to changes in management than physical and chemical soil properties [6,13]. Dehydrogenase activity is an intracellular enzyme related to oxidative phosphorylation processes which has been used as a measurement of overall microbial activity [14]. Urease, β-glucosidase, phosphatase and arylsulfatase enzymes are involved in the cycling of principal nutrients such as N, C, P and S [15]. Therefore, since such activities are commonly used in ecotoxicological tests to evaluate the behavior and influence of chemicals on soil systems, it may be useful to study them as early indicators of soil changes [6,16,17].
The aim of this work was to study, under controlled laboratory conditions, the behavior of MCPA in three different agricultural soils submitted to a severe 75-day drought and its effect on enzymatic activities, which will inform us about the impact of the herbicide under drought conditions on soil biology.
2. Materials and Methods
2.1. Soils and Herbicide Properties
Three agricultural semiarid soils (0–25 cm layer) from Córdoba (southwestern Spain) were collected from different agricultural areas with olive groves. These soils were classified as Typic Xerofluvent (SA), Typic Haploxeralf (SB) and; Vertic Chromoxert (SC) [18]. The physical and chemical properties of these soils are shown in Table 1, and the methodology used to determine these properties is described in Gómez et al. [19].
Table 1.
Characteristics of the experimental soils (mean ± standard deviation, n = 3).
The herbicide used in this experiment was MCPA ((4-chloro-2-methylphenoxy)-acetic acid). The commercial formulation Ayax (MCPA, amine salt 50% soluble concentrate, SL) was purchased from Tragusa, Tratamientos Guadalquivir, S.L. (Spain). Analytical grade MCPA (99.5% purity, 0.825 g L−1 water solubility at 20 °C) was purchased from Dr Ehrenstorfer GmbH (Augsburg, Germany).
2.2. Experimental Design
The experiment was performed under laboratory conditions in order to keep soil under severe drought conditions for 75 days without the risk of rain interrupting the experiment.
One kilogram of each dried and sieved (<2 mm) experimental soil was mixed with MCPA herbicide at 2.4 l ha−1 (recommended application rate for the control of dicotyledonous herbs in olive oil crops) in 5 L glass bottles. The mixture of the soil with the herbicide was done manually.
During the 75 experimental days, two irrigation levels were maintained:
(1) watered soils, which were watered during the experimental period to 60% of their water-holding capacity. The moisture content was controlled gravimetrically and moisture loss was replaced by distilled water as necessary
(2) non-watered soils, where water was added to the soils to bring it to 60% of its maximum water-holding capacity, but no water was supplied during the experimental period. Therefore, during the experimental period the moisture loss was not replaced.
Water-holding capacity was determined according to the method described by MAPA [20]. For this, the soil was saturated with water at atmospheric pressure and then subjected to a pressure of 0.34 kg cm−2 (1/3 atmosphere).
In watered conditions, the incubation treatments were:
- SA, Typic Xerofluvent soil non-polluted with MCPA
- SA+H, Typic Xerofluvent soil polluted with MCPA
- SB, Typic Haploxeralf soil non-polluted with MCPA
- SB+H, Typic Haploxeralf soil polluted with MCPA
- SC, Vertic Chromoxert soil non-polluted with MCPA
- SC+H, Vertic Chromoxert soil polluted with MCPA
In non-watered conditions, the incubation treatments were:
- SAD, Typic Xerofluvent soil non-polluted with MCPA
- SAD+H, Typic Xerofluvent soil polluted with MCPA
- SBD, Typic Haploxeralf soil non-polluted with MCPA
- SBD+H, Typic Haploxeralf soil polluted with MCPA
- SCD, Vertic Chromoxert soil non-polluted with MCPA
- SCD+H, Vertic Chromoxert soil polluted with MCPA
For each treatment, triplicate glass bottles were kept at 25 ± 1 °C.
2.3. Soil Analysis
On days 5, 15, 25, 35, 45, 60 and 75, gravimetric water content was determined by weighing soil samples before and after oven-drying at 105 °C for 48 h. Dehydrogenase, urease, β-glucosidase and alkaline phosphatase activities were determined using the methods described by García et al. [21], Kandeler and Gerber [22], Eivazi and Zakaria [23] and Tabatabai and Bremner [24].
The extraction and determination of MCPA in soil was also performed 3, 7, 15, 25, 35, 45, 60 and 75 days after the incubation was started. The extraction and determination of MCPA in soil was carried out following the methodology described by López-Piñero et al. [25]. For the MCPA extraction, 5 g of soil samples in triplicate was extracted with 10 mL of -a mixture 60:40 (v/v) methanol/diluted H3PO4 (pH 2) by shaking mechanically on an end-over-end shaker at 20 ± 2 °C for 24 h followed by centrifugation. MCPA concentration in the extracts was determined by high-performance liquid chromatography (HPLC) using a Nova-Pack C18 column (150 mm length × 3.9 mm i.d.), using a mobile phase of a mixture of 60:40 (v/v) methanol/diluted H3PO4 (pH 2). The flow rate was 1 mL min−1 and the injection volume of 25 µL. The UV detection was at 228 nm. External calibration curves with standard solutions between 0.1 and 10 mg L−1were used in the calculations.
2.4. Statistical Analysis
Statistical analysis was performed using the Statgraphics version XVII software package (Statpoint Technologies, Inc., Virginia, USA). For each experimental soil, two-way ANOVA was used for the statistical testing of the drought conditions on the herbicide evolution and biochemical parameters, followed by Tukey’s significant difference as a post hoc test, considering a significance level of p < 0.05 throughout the study.
3. Results
3.1. Watered Soils
After application of the MCPA herbicide to the different experimental soils, the dehydrogenase activity behaved differently depending on soil type (Table 2). In SA+H, dehydrogenase activity decreased until day 35 after initiating the incubation process (45.3% compared to the SA treatment). In SB+H, the dehydrogenase activity decreased until day 25, whereas in SC+H it decreased until day 45 (40.8% and 33.3% compared to the SB and SC treatments, respectively). From these days onwards, the dehydrogenase activity began to increase until the end of the experiment, where the soils with MCPA showed similar values to the soils without MCPA.
Table 2.
Evolution of dehydrogenase activity (mean ± standard error, n = 3) in watered and non-watered soils with MCPA during the experiment.
Soil urease activity was similar to that obtained for the dehydrogenase activity (Table 3). In SA+H, urease activity decreased until day 35 after initiating the incubation process (33.6% compared to the SA treatment). In SB+H, the urease activity decreased until day 25, whereas in SC+H it decreased until day 45 (46.9% and 40% compared to the SB and SC treatments, respectively). Again, and from the days indicated, urease activity began to increase, reaching values similar to the soil without herbicide at the end of the incubation period.
Table 3.
Evolution of urease activity (mean ± standard error, n = 3) in watered and non-watered soils with MCPA during the experiment.
In addition, when MCPA herbicide was applied to the watered soils, there was a decrease in β-glucosidase and alkaline phosphatase activities until days 25, 35 and 45 after initiating the incubation process for SB, SA and SC, respectively (Table 4 and Table 5). As above, inhibition of these enzymatic activities decreased at the end of the experimental period.
Table 4.
Evolution of β-glucosidase activity (mean ± standard error, n = 3) in watered and non-watered soils with MCPA during the experiment.
Table 5.
Evolution of alkaline phosphatase activity (mean ± standard error, n = 3) in watered and non-watered soils with MCPA during the experiment.
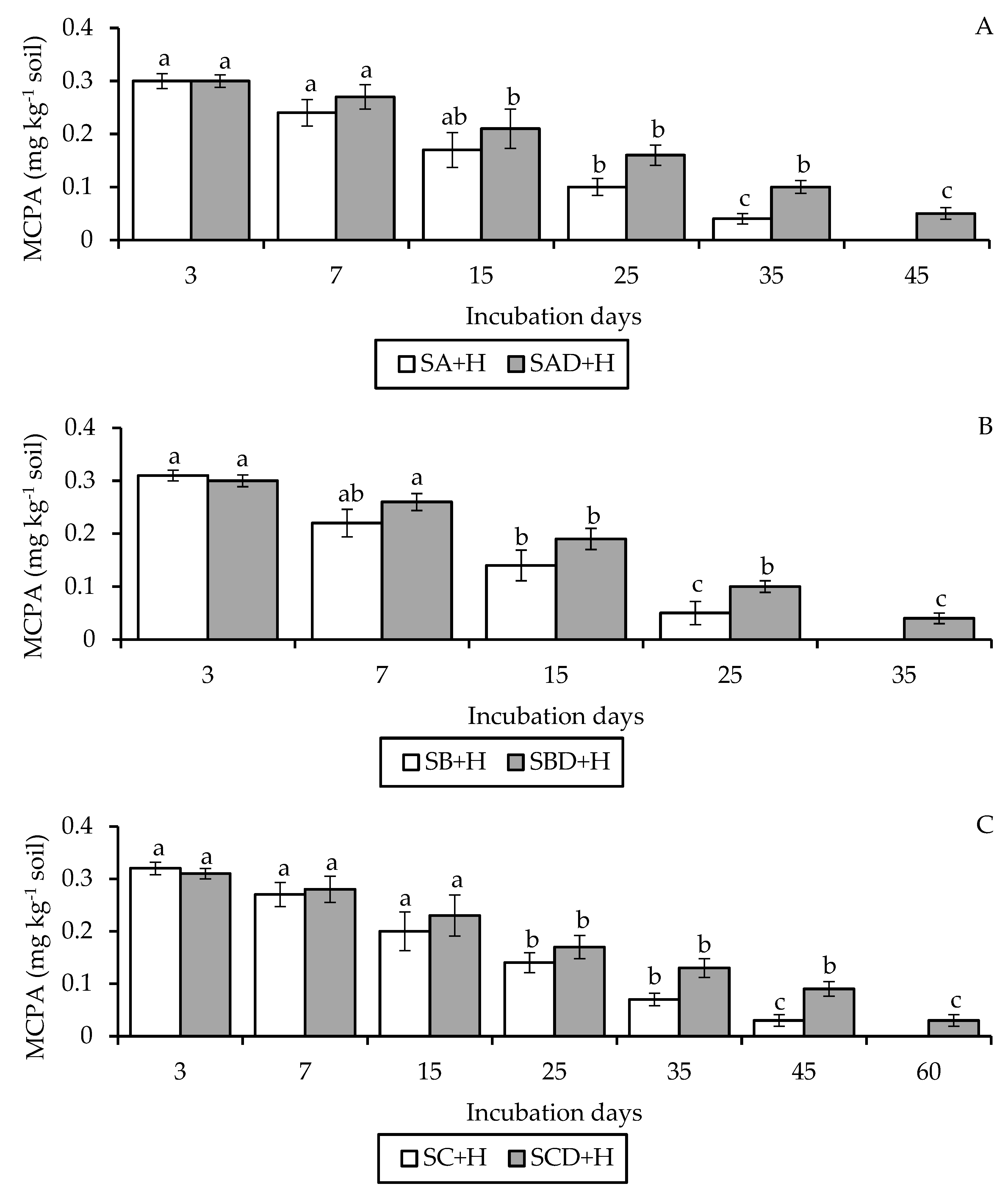
Figure 1 shows the evolution of MCPA for each experimental soil over the experimental period. For the three soils, MCPA herbicide concentration decreased progressively throughout the experiment. However, the degradation of this herbicide depended on the soil’s properties, with a higher MCPA degradation observed in SB+H treatment, followed by SA+H and SC+H treatments, respectively.
Figure 1.
Evolution of MCPA herbicide (mean ± standard error, n = 3) in watered and non-watered soils during the experiment. Columns followed by the same letter(s) are not significantly different according to the Tukey test (p > 0.05). (A) Typic Xerofluvent; (B) Typic Haploxeralf; (C) Vertic Chromoxert.
3.2. Non-Watered Soils
In non-watered soils, the moisture decreased during the experiment (Figure 2). However, this decrease in moisture depends on soil type. In this respect, moisture loss increases with decreasing soil organic matter and clay content.
Figure 2.
Changes of moisture (%) relative to the WHC (mean ± standard error, n = 3) concentration in non-watered soils with MCPA during the experimental period under drought conditions.
At the end of the experiment, the dehydrogenase activity decreased (p < 0.05), by 43.3%, in the SBD treatment compared with the SB treatment (Table 2). Likewise, this intracellular activity decreased significantly, by 31.6%, in the SAD treatment compared with SA treatment, and decreased by 24.1% in the SCD treatment compared with the SC treatment. At the end of the experiment, urease activity decreased (p < 0.05) 47% in the SBD treatment compared with the SB treatment, by 35.8% in the SAD treatment compared with SA treatment, and it decreased by 254% in the SCD treatment compared with SC treatment (Table 3). The evolution of β-glucosidase and alkaline phosphatase activities was similar to that of the dehydrogenase and urease activities (Table 4 and Table 5), with these enzyme activities observed to decreased during the incubation period as the moisture in the experimental soils decreased. As before, this decline also depended on the experimental soil’s physical and chemical characteristics, there being a greater decrease in these enzyme activities in soil B, followed by soil A and C, respectively.
Likewise, the evolution of the biochemical activities in MCPA-polluted soils also differed greatly between non-watered and watered soils (Table 2, Table 3, Table 4 and Table 5). These developments also depend on the physicochemical properties of experimental soils. In this regard, at the end of the experimental period, in the SAD+H treatment and compared with the SA treatment, dehydrogenase, urease, β-glucosidase and alkaline phosphatase activities had decreased 42.1%, 45.8%, 43.1% and 41.5%, respectively. Furthermore, at the end of the experiment in the SBD+H treatment and compared with SB treatment, dehydrogenase, urease, β-glucosidase, and alkaline phosphatase activities had decreased 47.5%, 56%, 49% and 51.9%, respectively; while in the SCD+H treatment, and compared with treatment SC, dehydrogenase, urease, β-glucosidase and alkaline phosphatase activities had decreased 34.5%, 31.2%, 33.3% and 34.9%, respectively.
The evolution of MCPA herbicide in non-watered soils was different to that in the watered soils (Figure 1). As before, the evolution of the herbicide depends on the physico-chemical characteristics of the soil. In this respect, in soil A, MCPA degradation occurred at day 45 after initiating the incubation process, whereas in soils B and C, MCPA degradation occurred at days 35 and 60 after starting the incubation process, respectively.
4. Discussion
4.1. Watered Soils
Our results suggest that applying MCPA originated a negative effect on the biochemical properties of the three experimental soils. These results are in agreement with those obtained by Tejada et al. [26], Wolinska and Stepniewska [27] and Łozowicka et al. [28], who observed a decrease in enzymatic activities in soil contaminated with MCPA. In addition, Järvan et al. [29] found a decrease in dehydrogenase activity and bacterial population in a soil polluted by MCPA. Schellenberger et al. [30] found a significant decrease in the population of cellulose-degrading bacteria in a soil polluted by MCPA.
Several authors have attempted to explain this decrease in the soil biochemical properties after the addition of a pesticide [6,16,28,31]. These authors observed decreases in biochemical properties and microbial biodiversity in soils contaminated with an oxyfluorfen herbicide or with chlorpyrifos and cypermethrin insecticides, suggesting that the inhibition of the biochemical properties of the soil is intimately related to the inhibition of microorganisms involved in the C, N, P and S cycle that are intolerant of, or susceptible to, the pollutant added to the soil as well as to the application dosage of said contaminant. In these cases, only the microorganisms adapted to the chemical compound are capable of progressively degrading this xenobiotic. By degrading these toxic compounds, and consequently lowering the concentration of pollutant in soil, the biochemical activity of the soil begins to increase until it reaches values similar to those that existed before the soil was contaminated.
However, the impact of the pesticide on soil microbial activity depends on several factors, such as soil physical and chemical properties, chemical formulation of the pesticide, dose, exposure time and interactions between all these factors. For this reason, in our experiment, the MCPA degradation differed greatly depending on the experimental soil, with a higher degradation of the herbicide in the soil observed with a lower clay and organic matter content.
Several studies have highlighted the important role of pH and organic matter content in MCPA soil sorption [32,33]. However, most of them emphasize organic matter as the main cause for MCPA adsorption in soils [34]. Possibly this is the reason why MCPA degradation was faster in the soil with lower organic matter content than in the soils with higher organic matter content. By increasing the organic matter content in soil and, therefore, the sorption of MCPA, the availability of the herbicide for degradation by microorganisms is lower. It has been suggested that herbicides located in the soil solution are much more bioaccessible to microorganisms than those adsorbed to colloids [35]. Tejada et al. [36] found that the chlorpyrifos sorption increased when the humic acids contents increased, possibly due to the larger number of carboxylic and phenolic groups. In our experiment, the soil with higher organic matter content also had a higher content in humic than fulvic acids. This fact may also be responsible for the higher sorption of MCPA in this soil, and consequently it may explain the differences found with regard to MCPA degradation in the different experimental soils.
On the other hand, one cannot ignore the stimulating role of organic matter on soil microorganisms, increasing their microbial activity. This is possibly the reason why the soil with the greatest organic matter content showed the highest biochemical properties. However, this stimulation is closely linked to the molecular size distribution of the different proteins that constitute the organic matter. In this sense, studies carried out by Gómez et al. [19] and Tejada et al. [37] found that the higher the content of low molecular proteins, the more marked the increase in soil microorganism stimulation, since these organic compounds are easily absorbed by such microorganisms. Consequently, their biochemical activity in the soil increases, and this in turn leads to an acceleration of the degradation of pesticides. In our experiment, the experimental soils presented organic matter that was constituted basically by high-molecular-weight proteins, which are almost unavailable to the microorganisms. This fact leads us to think that in our experimental soils, organic matter plays a more important role in the sorption of MCPA than in the stimulation of soil microorganisms in order to accelerate the degradation of the herbicide.
This variation in the sorption of MCPA in the soil, and consequently in the degradation of the herbicide by the soil microorganisms, is responsible for the highly variable half-life of the herbicide. There is abundant information about the half-life of MCPA in soil, giving a wide spectrum of values ranging from 1.5 to 60 days [26,34]. Therefore, this wide half-life variability of MCPA in soils is possibly due to the soil’s physical–chemical properties as well as to the greater or lesser levels of soil biochemical activity. On the other hand, it must be taken into account that pesticide persistence in the field is lower than in laboratory experiments, possibly due to pesticide leachate processes that occur in the field [12].
4.2. Non-Watered Soils
In non-watered soils, MCPA also had a negative effect on the biochemical activity of experimental soils. However, this toxic effect was more prolonged. These results are in agreement with those obtained by Franco-Andreu et al. [6], who found an increase in the time of the toxic effect of the oxyfluorfen and chlorpyrifos in a soil subjected to severe drought for 120 days. These results suggest that the intensity of the toxic effect of any pesticide on microorganisms may depend on the soil moisture. These results also suggest that, not only did the persistence of MCPA in soil depend on its physicochemical properties, but also on the moisture content of the experimental soils.
Franco-Andreu et al. [6] and Hueso et al. [38] suggest that water is an essential resource related to the development, growth and activity of soil microorganisms. Therefore, the prolongation of the toxic effect of MCPA on the soil biochemical activity is due to a decrease in the degradation of the herbicide. The limiting effect on the soil of the water content decreases the survival of the drought-resistant microorganisms and, consequently, slows down herbicide degradation. This effect differed, however, depending on the experimental soil. In the soil with a higher organic matter content, the water content was higher than in soils with a lower organic matter content. Yang et al. [39] emphasize the essential role of organic matter in the sorption of water and, consequently, in the soil moisture content. For this reason, the biochemical activity in the non-watered soils was also higher in soils with a higher organic matter content. Therefore, under drought conditions, the application of MCPA originated a higher inhibition of biochemical properties possibly due to the joint action of herbicide toxicity and soil drought conditions.
5. Conclusions
It can be concluded that the MCPA originated a negative effect on soil biochemical properties, possibly due to the inhibition of microbial growth in MCPA-polluted soils. However, this toxic effect depends on the physicochemical characteristics of the experimental soil, given that this toxic effect was observed to be higher in soils with a lower organic matter content.
During a prolonged 75-day drought, the toxic effect of MCPA was more prolonged due to a decrease in water content in the soil, an aspect that could affect the degradation of herbicide by soil microorganisms.
Therefore, these results suggest that in drought conditions, soil MCPA pollution increases over time.
Author Contributions
M.T.: Validation; Writtin.; M.d.T.: Formal analysis; Investigation; P.P.: Formal analysis; Investigation; I.G.: Formal analysis; Investigation; J.P.: Formal analysis; Investigation; C.B.: Formal analysis. All authors have read and agreed to the published version of the manuscript.
Funding
This research was funded by “Ministerio de Ciencia e Innovación (Spain), Plan Estatal 2021–2023”, grant number PID2021-124964OB-C21.
Data Availability Statement
Data are contained within the article.
Conflicts of Interest
The authors declare no conflict of interest.
References
- Solomon, S.; Manning, M.; Marquis, M.; Qin, D. Climate Change 2007—The Physical Science Basis: Working Group I Contribution to the Fourth Assessment Report of the IPCC; Cambridge University Press: Cambridge, UK, 2007; Volume 4. [Google Scholar]
- Linares, C.; Díaz, J.; Negev, M.; Martínez, G.S.; Debono, R.; Paz, S. Impacts of climate change on the public health of the Mediterranean Basin population—Current situation, projections, preparedness and adaptation. Environ. Res. 2020, 182, 109107. [Google Scholar] [CrossRef]
- Curiel Yuste, J.; Fernandez-Gonzalez, A.J.; Fernandez-Lopez, M.; Ogaya, R.; Peñuelas, J.; Sardans, J.; Lloret, F. Strong functional stability of soil microbial communities under semiarid Mediterranean conditions and subjected to long-term shifts in baseline precipitation. Soil Biol. Biochem. 2014, 69, 223–233. [Google Scholar] [CrossRef]
- Cammarano, D.; Ceccarelli, S.; Grando, S.; Romagosa, I.; Benbelkacem, A.; Akar, T.; Al-Yassin, A.; Pecchioni, N.; Francia, E.; Ronga, D. The impact of climate change on barley yield in the Mediterranean basin. Eur. J. Agron. 2019, 106, 1–11. [Google Scholar] [CrossRef]
- Dakhlaoui, H.; Seibert, J.; Hakala, K. Sensitivity of discharge projections to potential evapotranspiration estimation in Northern Tunisia. Reg. Environ. Chang. 2020, 20, 34. [Google Scholar] [CrossRef]
- Franco-Andreu, L.; Gómez, I.; Parrado, J.; García, C.; Hernández, T.; Tejada, M. Behavior of two pesticides in a soil subjected to severe drought. Effects on soil biology. Appl. Soil Ecol. 2016, 105, 17–24. [Google Scholar] [CrossRef]
- Wang, X.Q.; Liu, J.; Zhang, N.; Yang, H. Adsorption, mobility, biotic and abiotic metabolism and degradation of pesticide exianliumi in three types of farmland. Chemosphere 2020, 254, 126741. [Google Scholar] [CrossRef]
- Rasool, S.; Rasool, T.; Gani, K.M. A review of interactions of pesticides within various interfaces of intrinsic and organic residue amended soil environment. Chem. Eng. J. Adv. 2022, 11, 100301. [Google Scholar] [CrossRef]
- Cabrera, A.; Cox, L.; Spokas, K.A.; Celis, R.; Hermosín, M.C.; Cornejo, J.; Koskinen, W.C. Comparative sorption and leaching study of the herbicides fluometuron and 4-chloro-2-methylphenoxyacetic acid (MCPA) in a soil amended with biochars and other sorbents. J. Agric. Food Chem. 2011, 59, 12550–12560. [Google Scholar] [CrossRef]
- Essandoh, M.; Wolgemuth, D.; Pittman, C.U.; Mohan, D.; Mlsna, T. Phenoxy herbicide removal from aqueous solutions using fast pyrolysis switchgrass biochar. Chemosphere 2017, 174, 49–57. [Google Scholar] [CrossRef]
- Wu, D.; Ren, C.; Wu, C.; Li, Y.; Deng, X.; Li, Q. Mechanisms by which different polar fractions of dissolved organic matter affect sorption of the herbicide MCPA in ferralsol. J. Hazard. Mater. 2021, 416, 125774. [Google Scholar] [CrossRef]
- Tejada, M. Evolution of soil biological properties after addition of glyphosate, diflufenican and glyphosate-diflufenican herbicides. Chemosphere 2009, 76, 365–373. [Google Scholar] [CrossRef] [PubMed]
- Wołejko, E.; Jabłońska-Trypuć, A.; Wydro, U.; Butarewicz, A.; Łozowicka, B. Soil biological activity as an indicator of soil pollution with pesticides—A review. Appl. Soil Ecol. 2020, 147, 103356. [Google Scholar] [CrossRef]
- Kumar, G.; Lal, S.; Soni, S.K.; Maurya, S.K.; Shukla, P.K.; Chaudhary, P.; Bhattacherjee, A.K.; Garg, N. Mechanism and kinetics of chlorpyrifos co-metabolism by using environment restoring microbes isolated from rhizosphere of horticultural crops under subtropics. Front. Microbiol. 2022, 13, 891870. [Google Scholar] [CrossRef] [PubMed]
- Bayranvand, M.; Akbarinia, M.; Salehi Jouzani, G.; Gharechahi, J.; Baldrian, P. Distribution of soil extracellular enzymatic, microbial, and biological functions in the C and N-cycle pathways along a forest altitudinal gradient. Front. Microbiol. 2021, 12, 660603. [Google Scholar] [CrossRef]
- Tejada, M.; Gómez, I.; Paneque, P.; Toro, M.d.; García-Quintanilla, A.; Parrado, J. Use of biostimulants obtained from sewage sludge for the restoration of soils polluted by diuron: Effect on soil biochemical properties. Agronomy 2023, 13, 24. [Google Scholar] [CrossRef]
- Zhang, Y.; Hu, Y.; An, N.; Jiang, D.; Cao, B.; Jiang, Z.; Yan, Y.; Ming, C.; Meng, Q.M.; Han, W. Short-term response of soil enzyme activities and bacterial communities in black soil to a herbicide mixture: Atrazine and acetochlor. Appl. Soil Ecol. 2023, 181, 104652. [Google Scholar] [CrossRef]
- Soil Survey Staff. Keys to Soil Taxonomy, 4th ed.; SMSS Technical Monograph No. 6: Blacksburg, Virginia, 1990; p. 432. [Google Scholar]
- Gómez, I.; Rodríguez-Morgado, B.; Parrado, J.; García, C.; Hernández, T.; Tejada, M. Behavior of oxyfluorfen in soils amended with different sources of organic matter. Effects on soil biology. J. Hazard. Mater. 2014, 273, 207–214. [Google Scholar] [CrossRef]
- MAPA; Ministerio de Agricultura, Pesca y Alimentación. Métodos Oficiales de Análisis; Ministerio de Agricultura, Pesca y Alimentación: Madrid, Spain, 1994; Volume 3, p. 662. [Google Scholar]
- García, C.; Hernandez, T.; Costa, F. Potential use of dehydrogenase activity as an index of microbial activity in degraded soils. Commun. Soil. Sci. Plan. Anal. 1997, 28, 123–134. [Google Scholar] [CrossRef]
- Kandeler, E.; Gerber, G. Short-term assay of soil urease activity using colorimetric determination of ammonium. Biol. Fertil. Soils 1988, 6, 68–72. [Google Scholar] [CrossRef]
- Eivazi, F.; Zakaria, A. β-Glucosidase activity in soils amended with sewage sludge. Agric. Ecosyst. Environ. 1993, 43, 155–161. [Google Scholar] [CrossRef]
- Tabatabai, M.A.; Bremner, J.M. Use of p-nitrophenol phosphate in assay of soil phosphatase activity. Soil Biol. Biochem. 1969, 1, 301–307. [Google Scholar] [CrossRef]
- López-Piñero, A.; Peña, D.; Albarrán, A.; Sánchez-Llerena, J.; Becerra, D. Behavior of MCPA in four intensive cropping soils amended with fresh, composted, and aged olive mil waste. J. Contam. Hydrol. 2013, 152, 137–146. [Google Scholar] [CrossRef] [PubMed]
- Tejada, M.; García-Martínez, A.M.; Gómez, I.; Parrado, J. Application of MCPA herbicide on soils amended with biostimulants: Short-time effects on soil biological properties. Chemosphere 2010, 80, 1088–1094. [Google Scholar] [CrossRef]
- Wolinska, A.; Stepniewska, Z. Dehydrogenase activity in the soil environment. In Dehydrogenases; Canuto, R.A., Ed.; Intech: Rijeka, Croatia, 2012; Available online: http://www.ebook3000.com/ (accessed on 23 January 2023).
- Łozowicka, B.; Wołejko, E.; Kaczyński, P.; Konecki, R.; Iwaniuk, P.; Drągowski, W.; Łozowicki, J.; Tujtebajeva, G.; Wydro, U.; Jablońska-Trypuć, A. Effect of microorganism on behaviour of two commonly used herbicides in wheat/soil system. Appl. Soil Ecol. 2021, 162, 103879. [Google Scholar] [CrossRef]
- Järvan, M.; Edesi, L.; Adamson, A.; Võsa, T. Soil microbial communities and dehydrogenase activity depending on farming systems. Plant Soil Environ. 2014, 60, 459–463. [Google Scholar] [CrossRef]
- Schellenberger, S.; Drake, H.L.; Kolb, S. Impairment of cellulose- and cellobiose-degrading soil bacteria by two acidic herbicides. FEMS Microbiol. Lett. 2012, 327, 60–65. [Google Scholar] [CrossRef] [PubMed]
- Medo, J.; Maková, J.; Medová, J.; Lipkov, N.; Cinkocki, R.; Omelka, R.; Soňa Javoreková, S. Changes in soil microbial community and activity caused by application of dimethachlor and linuron. Sci. Rep. 2021, 11, 12786. [Google Scholar] [CrossRef]
- Alister, C.A.; Araya, M.A.; Kogan, M. Adsorption and desorption variability of four herbicides used in paddy rice productions. J. Environ. Sci. Health B 2011, 46, 62–68. [Google Scholar] [CrossRef]
- Paszko, T. Modeling of pH-dependent adsorption and leaching of MCPA in profiles of Polish mineral soils. Sci. Total Environ. 2014, 494, 229–240. [Google Scholar] [CrossRef]
- Hiller, E.; Tatarková, V.; Šimonovičová, A.; Bartal, M. Sorption, desorption, and degradation of (4-chloro-2-methylphenoxy) acetic acid in representative soils of the Danubian Lowland Slovakia. Chemosphere 2012, 87, 437–444. [Google Scholar] [CrossRef]
- Hiller, E.; Bartal, M.; Milička, J.; Čerňanský, S. Environmental fate of the herbicide MCPA in two soils as affected by the presence of wheat ash. Water Air Soil Pollut. 2009, 197, 395–402. [Google Scholar] [CrossRef]
- Tejada, M.; Gómez, I.; del Toro, M. Use of organic amendments as a bioremediation strategy to reduce the bioavailability of chlorpyrifos insecticide in soils. Effects on soil biology. Ecotoxicol. Environ. Saf. 2011, 74, 2075–2081. [Google Scholar] [CrossRef] [PubMed]
- Tejada, M.; Rodríguez-Morgado, B.; Gómez, I.; Parrado, J. Degradation of chlorpyrifos using different biostimulants/biofertilizers: Effects on soil biochemical properties and microbial community. Appl. Soil Ecol. 2014, 84, 158–165. [Google Scholar] [CrossRef]
- Hueso, S.; Hernández, T.; García, C. Resistance and resilience of the soil microbial biomass to severe drought in semiarid soils: The importance of organic amendments. Appl. Soil Ecol. 2011, 50, 27–36. [Google Scholar] [CrossRef]
- Yang, F.; Zhang, G.-L.; Yang, J.-L.; Li, D.-C.; Zhao, Y.-G.; Liu, F.; Yang, R.-M.; Yang, F. Organic matter controls of oil water retention in an alpine grassland and its significance for hydrological processes. J. Hydrol. 2014, 519, 3086–3093. [Google Scholar] [CrossRef]
Disclaimer/Publisher’s Note: The statements, opinions and data contained in all publications are solely those of the individual author(s) and contributor(s) and not of MDPI and/or the editor(s). MDPI and/or the editor(s) disclaim responsibility for any injury to people or property resulting from any ideas, methods, instructions or products referred to in the content. |
© 2023 by the authors. Licensee MDPI, Basel, Switzerland. This article is an open access article distributed under the terms and conditions of the Creative Commons Attribution (CC BY) license (https://creativecommons.org/licenses/by/4.0/).

