Evaluation and Source Analysis of Heavy Metal Pollution in Grassland Soils under Different Management Modes in Altay, Xinjiang
Abstract
:1. Introduction
2. Materials and Methods
2.1. Overview of the Study Area
2.2. Sample Collection and Processing
2.3. Evaluation Methodology
2.3.1. Nemerow Pollution and Geological Accumulation Index Methods
2.3.2. Absolute Principal Component Score–Multiple Linear Regression Model (APCS-MLR)
3. Results
3.1. Concentrations of Heavy Metal in Soil
3.2. Evaluation of Soil Heavy Metal Pollution
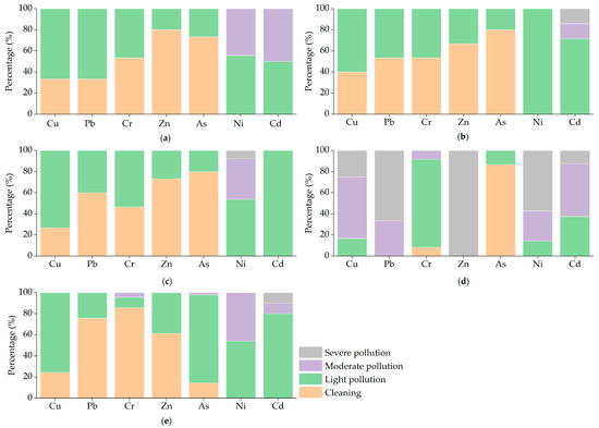
3.2.1. Nemerow Pollution Index Method
3.2.2. Geological Accumulation Index Method
3.3. Analysis of Soil Heavy Metal Pollution Sources
3.3.1. Factor Analysis
3.3.2. Analysis of Heavy Metal Source Contribution Based on the APCS-MLR Model for Grasslands
4. Discussion
5. Conclusions
Author Contributions
Funding
Data Availability Statement
Conflicts of Interest
References
- Chai, N.P.; Yi, X.; Xiao, J.; Liu, T.; Liu, Y.J.; Deng, L.; Jin, Z.D. Spatiotemporal Variations, Sources, Water Quality and Health Risk Assessment of Trace Elements in the Fen River. Sci. Total Environ. 2021, 757, 143882. [Google Scholar] [CrossRef] [PubMed]
- Kang, J.; Ding, X.G.; Ma, H.Y.; Dai, Z.M.; Li, X.C.; Huang, J.G. Characteristics and Risk of Forest Soil Heavy Metal Pollution in Western Guangdong Province, China. Forests 2022, 13, 884. [Google Scholar] [CrossRef]
- Dong, H.Z.; Gao, Z.J.; Liu, J.T.; Jiang, B. Study on the Accumulation of Heavy Metals in Different Soil-Crop Systems and Ecological Risk Assessment: A Case Study of Jiao River Basin. Agronomy 2023, 13, 2238. [Google Scholar] [CrossRef]
- Ni, X.; Zhao, G.M.; Ye, S.Y.; Li, G.X.; Yuan, H.M.; He, L.; Su, D.P.; Ding, X.G.; Xie, L.J.; Pei, S.F.; et al. Spatial Distribution and Sources of Heavy Metals in the Sediment and Soils of the Yancheng Coastal Ecosystem and Associated Ecological Risks. Environ. Sci. Pollut. Res. 2023, 30, 18843–18860. [Google Scholar] [CrossRef] [PubMed]
- Skubala, P.; Zaleski, T. Heavy Metal Sensitivity and Bioconcentration in Oribatid Mites (Acari, Oribatida) Gradient Study in Meadow Ecosystems. Sci. Total Environ. 2012, 414, 364–372. [Google Scholar] [CrossRef] [PubMed]
- Gao, Y.; Lu, T.; Zhang, Y.K.; Zhang, B.H.; Bi, S.Q.; Zhou, X.; Zhang, W.; Cao, H.B.; Han, Z.Y. Source Apportionment and Pollution Assessment of Soil Heavy Metal Pollution Using PMF and RF Model: A Case Study of a Typical Industrial Park in Northwest China. Huan Jing Ke Xue 2023, 44, 3488–3499. [Google Scholar] [CrossRef] [PubMed]
- Huo, M.Z.; Gao, B.B.; Qiao, D.Y.; Sainbuyan, B.; An, Y.; Huo, L.L. Source Apportionment of Heavy Metals in Farmland Soil Based on the APCS-MLR Model. J. Agro-Environ. Sci. 2021, 40, 978–986. [Google Scholar] [CrossRef]
- Zhang, H.Z.; Cui, W.G.; Huang, Y.M.; Li, Y.L.; Zhong, X.; Wang, L. Evaluation and Source Analysis of Heavy Metal Pollution of Farmland Soil around the Mining Area of Karst Region of Central Guizhou Province. Acta Sci. Circumstantiae 2022, 42, 412–421. [Google Scholar] [CrossRef]
- Wang, H.Z.; Cai, L.M.; Wang, Q.S.; Hu, G.C.; Chen, L.G. A Comprehensive Exploration of Risk Assessment and Source Quantification of Potentially Toxic Elements in Road Dust: A Case Study from a Large Cu Smelter in Central China. Catena 2021, 196, 104930. [Google Scholar] [CrossRef]
- Chen, R.H.; Chen, H.Y.; Song, L.T.; Yao, Z.P.; Meng, F.S.; Teng, Y.G. Characterization and Source Apportionment of Heavy Metals in the Sediments of Lake Tai (China) and Its Surrounding Soils. Sci. Total Environ. 2019, 694, 133819. [Google Scholar] [CrossRef]
- Ning, C.P.; Li, G.C.; Wang, Y.H.; Li, B.; Tian, L.; Wang, S.C. Evaluation and Source Apportionment of Heavy Metal Pollution in Xihe Watershed Farmland Soil. J. Agro-Environ. Sci. 2017, 36, 487–495. [Google Scholar] [CrossRef]
- Yadav, I.C.; Devi, N.L.; Singh, V.K.; Li, J.; Zhang, G. Spatial Distribution, Source Analysis, and Health Risk Assessment of Heavy Metals Contamination in House Dust and Surface Soil from Four Major Cities of Nepal. Chemosphere 2019, 218, 1100–1113. [Google Scholar] [CrossRef] [PubMed]
- Lv, J.S. Multivariate Receptor Models and Robust Geostatistics to Estimate Source Apportionment of Heavy Metals in Soils. Environ. Pollut. 2019, 244, 72–83. [Google Scholar] [CrossRef] [PubMed]
- Zhang, Y.Q.; Wang, S.T.; Gao, Z.J.; Zhang, H.R.; Zhu, Z.H.; Jiang, B.; Liu, J.T.; Dong, H.Z. Contamination Characteristics, Source Analysis and Health Risk Assessment of Heavy Metals in the Soil in Shi River Basin in China Based on High Density Sampling. Ecotoxicol. Environ. Saf. 2021, 227, 112926. [Google Scholar] [CrossRef]
- An, S.W.; Liu, N.T.; Li, X.M.; Zeng, S.F.; Wang, X.; Wang, D.Y. Understanding Heavy Metal Accumulation in Roadside Soils along Major Roads in the Tibet Plateau. Sci. Total Environ. 2022, 802, 149865. [Google Scholar] [CrossRef]
- Qi, R.; Xue, N.N.; Wang, S.Z.; Zhou, X.B.; Zhao, L.; Song, W.J.; Yang, Y.Y. Heavy Metal(loid)s Shape the Soil Bacterial Community and Functional Genes of Desert Grassland in a Gold Mining Area in the Semi-Arid Region. Environ. Res. 2022, 214, 113749. [Google Scholar] [CrossRef]
- Yang, Q.F.; Wang, S.L.; Zhao, C.C.; Nan, Z.R. Risk Assessment of Trace Elements Accumulation in Soil-Herbage Systems at Varied Elevation in Subalpine Grassland of Northern Tibet Plateau. Environ. Sci. Pollut. Res. 2022, 29, 27636–27650. [Google Scholar] [CrossRef]
- Wu, J.; Lu, J.; Li, L.M.; Min, X.Y.; Luo, Y.M. Pollution, Ecological-Health Risks, and Sources of Heavy Metals in Soil of the Northeastern Qinghai-Tibet Plateau. Chemosphere 2018, 201, 234–242. [Google Scholar] [CrossRef]
- Anaman, R.; Peng, C.; Jiang, Z.C.; Liu, X.; Zhou, Z.R.; Guo, Z.H.; Xiao, X.Y. Identifying Sources and Transport Routes of Heavy Metals in Soil with Different Land Uses around a Smelting Site by GIS Based PCA and PMF. Sci. Total Environ. 2022, 823, 153759. [Google Scholar] [CrossRef]
- Cheng, W.; Lei, S.G.; Bian, Z.F.; Zhao, Y.B.; Li, Y.C.; Gan, Y.D. Geographic Distribution of Heavy Metals and Identification of Their Sources in Soils Near Large, Open-Pit Coal Mines Using Positive Matrix Factorization. J. Hazard. Mater. 2020, 387, 121666. [Google Scholar] [CrossRef]
- Martin, A.P.; Turnbull, R.E.; Rissmann, C.W.; Rieger, P. Heavy Metal and Metalloid Concentrations in Soils Under Pasture of Southern New Zealand. Geoderma Reg. 2017, 11, 18–27. [Google Scholar] [CrossRef]
- Gao, Y.F.; Liu, H.L.; Liu, G.X. The Spatial Distribution and Accumulation Characteristics of Heavy Metals in Steppe Soils around Three Mining Areas in Xilinhot in Inner Mongolia, China. Environ. Sci. Pollut. Res. 2017, 24, 25416–25430. [Google Scholar] [CrossRef] [PubMed]
- Wang, Z.Q.; Hong, C.; Xing, Y.; Wang, K.; Li, Y.F.; Feng, L.H.; Ma, S.L. Spatial Distribution and Sources of Heavy Metals in Natural Pasture Soil around Copper-Molybdenum Mine in Northeast China. Ecotoxicol. Environ. Saf. 2018, 154, 329–336. [Google Scholar] [CrossRef] [PubMed]
- Xu, J.; Wu, Y.; Wang, S.L.; Wang, Y.F.; Dong, S.H.; Chen, Z.M.; He, L. Source Identification and Health Risk Assessment of Heavy Metals with Mineralogy: The Case of Soils from a Chinese Industrial and Mining City. Environ. Geochem. Health 2023, 45, 7255–7274. [Google Scholar] [CrossRef] [PubMed]
- Xu, Z.; Mi, W.B.; Mi, N.; Fan, X.G.; Zhou, Y.; Tian, Y. Characteristics and Sources of Heavy Metal Pollution in Desert Steppe Soil Related to Transportation and Industrial Activities. Environ. Sci. Pollut. Res. 2020, 27, 38835–38848. [Google Scholar] [CrossRef]
- Han, W.; Gao, G.H.; Geng, J.Y.; Li, Y.; Wang, Y.Y. Ecological and Health Risks Assessment and Spatial Distribution of Residual Heavy Metals in the Soil of an E-Waste Circular Economy Park in Tianjin, China. Chemosphere 2018, 197, 325–335. [Google Scholar] [CrossRef] [PubMed]
- Yang, Q.Q.; Li, Z.Y.; Lu, X.N.; Duan, Q.N.; Huang, L.; Bi, J. A Review of Soil Heavy Metal Pollution from Industrial and Agricultural Regions in China: Pollution and Risk Assessment. Sci. Total Environ. 2018, 642, 690–700. [Google Scholar] [CrossRef]
- Liu, W.; Yang, J.J.; Wang, J.; Wang, G.; Cao, Y.E. Contamination Assessment and Sources Analysis of Soil Heavy Metals in Opencast Mine of East Junggar Basin in Xinjiang. Huan Jing Ke Xue 2016, 37, 1938–1945. [Google Scholar] [CrossRef]
- Ma, J.J.; Yan, Y.; Chen, X.J.; Niu, Z.R.; Yu, R.L.; Hu, G.R. Incorporating Bioaccessibility and Source Apportionment into Human Health Risk Assessment of Heavy Metals in Urban Dust of Xiamen, China. Ecotoxicol. Environ. Saf. 2021, 228, 112985. [Google Scholar] [CrossRef]
- Liang, S.Y.; Cui, J.L.; Bi, X.Y.; Luo, X.S.; Li, X.D. Deciphering Source Contributions of Trace Metal Contamination in Urban Soil, Road Dust, and Foliar Dust of Guangzhou, Southern China. Sci. Total Environ. 2019, 695, 133596. [Google Scholar] [CrossRef]
- Duguer, W.W.; Shi, H.T.; Xing, H.; Lou, X.C.; Hu, H.L.; Bulong, B.T. Source Analysis and Spatial Distribution of Heavy Metals in Soil from Typical Open-Pit Coal Mines in the Gobi Desert, Xinjiang. Mod. Geol. 2023, 37, 790. [Google Scholar] [CrossRef]
- Yang, J.; Zhou, X.F.; Wang, X.F.; Gu, X.; Chen, Y.; Gao, L.M.; Chen, X.Q. Environmental Quality Evaluation and Quantitative Tracing Heavy Metals in Coal Mine Soils in Grassland Based on PCA/APCS. Acta Agrestia Sin. 2021, 29, 537–544. [Google Scholar] [CrossRef]
- Shi, W.C.; Gu, Z.G.; Feng, Y.; Wu, Y.N.; Wu, X.R.; Zhang, Z.S. Source Apportionment of Heavy Metals in Sediments with Application of APCS-MLR Model in Baoxiang River. Environ. Sci. Technol. 2020, 43, 51–59. [Google Scholar] [CrossRef]
- Shi, J.F.; Qian, W.T.; Zhou, Z.B.; Jin, Z.Z.; Xu, X.W. Influence of Acid Mine Drainage Leakage from Tailings Ponds on the Soil Quality of Desert Steppe in the Northwest Arid Region of China. Land 2023, 12, 467. [Google Scholar] [CrossRef]
- Yang, J.Z.; Sun, Y.L.; Wang, Z.L.; Gong, J.J.; Gao, J.W.; Tang, S.X.; Ma, S.M.; Duan, Z. Heavy Metal Pollution in Agricultural Soils of a Typical Volcanic Area: Risk Assessment and Source Appointment. Chemosphere 2022, 304, 135340. [Google Scholar] [CrossRef] [PubMed]
- Wang, Q.L.; Song, Y.T.; Wang, C.W.; Xu, R.T.; Peng, M.; Zhou, Y.L.; Han, W. Source Identification and Spatial Distribution of Soil Heavy Metals in Western Yunnan. China Environ. Sci. 2021, 41, 3693–3703. [Google Scholar] [CrossRef]
- Ma, J.; Liu, P.; Liu, J.Z.; Guo, C.H.; Zhang, X.; Wang, L.L. Pollution Evaluation and Quantitative Traceability Analysis of Heavy Metals in Farmland Soils around the Gangue Heap of a Coal Mine in Chongqing. Environ. Sci. 2022, 43, 5698–5709. [Google Scholar] [CrossRef]
- Du, S.H.; Meng, L.J.; Xu, W.Y.; Zhao, Q.Y.; Zhao, H.Y.; Ma, T.Y.; Wu, S.Y.; Zhang, W.J. Ecological Risks and Sensitivity Distri Bution of Soil Heavy Metals in Altay Prefecture, Xinjiang, Northwest China. J. Soils Sediments 2023, 23, 3396–3411. [Google Scholar] [CrossRef]
- Ma, J.; Shen, Z.J.; Zhang, P.P.; Liu, P.; Liu, J.C.; Sun, J.; Wang, L.L. Pollution Characteristics and Source Apportionment of Heavy Metals in Farmland Soils around the Gangue Heap of Coal Mine Based on APCS-MLR and PMF Receptor Model. Huan Jing Ke Xue 2023, 44, 2192–2203. [Google Scholar] [CrossRef]
- Zhang, D.; Zhou, M.Z.; Xiong, K.N.; Gu, B.Q.; Yang, H. Risk Assessment of Copper and Zinc in Soils and Crops around the Ni-Mo Mining Area of Songlin, Zunyi, China. Earth Environ. 2018, 46, 581–589. [Google Scholar] [CrossRef]
- Guan, Q.Y.; Wang, F.F.; Xu, C.Q.; Pan, N.H.; Lin, J.K.; Zhao, R.; Yang, Y.Y.; Luo, H.P. Source Apportionment of Heavy Metals in Agricultural Soil Based on PMF: A Case Study in Hexi Corridor, Northwest China. Chemosphere 2018, 193, 189–197. [Google Scholar] [CrossRef]
- Yang, Z.P.; Lu, W.X.; Long, Y.Q.; Bao, X.H.; Yang, Q.C. Assessment of Heavy Metals Contamination in Urban Topsoil from Changchun City, China. J. Geochem. Explor. 2011, 108, 27–38. [Google Scholar] [CrossRef]
- Yang, S.H.; Qu, Y.J.; Ma, J.; Liu, L.L.; Wu, H.W.; Liu, Q.Y.; Gong, Y.W.; Chen, Y.X.; Wu, Y.H. Comparison of the Concentrations, Sources, and Distributions of Heavy Metal(loid)s in Agricultural Soils of Two Provinces in the Yangtze River Delta, China. Environ. Pollut. 2020, 264, 114688. [Google Scholar] [CrossRef] [PubMed]
- Calvo, A.I.; Alves, C.; Castro, A.; Pont, V.; Vicente, A.M.; Fraile, R. Research on Aerosol Sources and Chemical Composition: Past, Current and Emerging Issues. Atmos. Res. 2013, 120, 1–28. [Google Scholar] [CrossRef]
- Men, C.; Liu, R.M.; Xu, L.B.; Wang, Q.R.; Guo, L.J.; Miao, Y.X.; Shen, Z.Y. Source-Specific Ecological Risk Analysis and Critical Source Identification of Heavy Metals in Road Dust in Beijing, China. J. Hazard. Mater. 2020, 388, 121763. [Google Scholar] [CrossRef] [PubMed]
- Zhang, Y.R.; Luo, S.; Chen, Y.; Cao, J.; Liu, B.; Liu, Y.Y. Characteristics of Soil Pollution and Source Analysis of typical Pollutants in the Petrochemical Site. Environ. Sci. 2023, 1–17. [Google Scholar] [CrossRef]
- Zhang, Y.; Zhao, X.; Zhang, S.H.; Qi, D.; Wang, B.; Chen, Y.; Lu, J.G. Remediation Potential of Three Dwarf Bamboos on Farmland Soils Contaminated with Mixed Heavy Metals. Huan Jing Ke Xue 2022, 43, 4262–4270. [Google Scholar] [CrossRef]
- Wang, Z.H.; Liu, X.Y.; Qin, H.Y. Bioconcentration and Translocation of Heavy Metals in the Soil-Plants System in Machangqing Copper Mine, Yunnan Province, China. J. Geochem. Explor. 2019, 200, 159–166. [Google Scholar] [CrossRef]
- Wei, M.; Chen, J.J.; Wang, X.W. Removal of Arsenic and Cadmium with Sequential Soil Washing Techniques Using Na2EDTA, Oxalic and Phosphoric Acid: Optimization Conditions, Removal Effectiveness and Ecological Risks. Chemosphere 2016, 156, 252–261. [Google Scholar] [CrossRef] [PubMed]
- Zhang, H.; Wang, Z.F.; Zhang, Y.L.; Hu, Z.J. The Effects of the Qinghai-Tibet Railway on Heavy Metals Enrichment in Soils. Sci. Total Environ. 2012, 439, 240–248. [Google Scholar] [CrossRef]
- Shi, J.; Du, P.; Luo, H.L.; Wu, H.; Zhang, Y.H.; Chen, J.; Wu, M.H.; Xu, G.; Gao, H.F. Soil Contamination with Cadmium and Potential Risk around Various Mines in China during 2000–2020. J. Environ. Manag. 2022, 310, 114509. [Google Scholar] [CrossRef]
- Fei, X.F.; Lou, Z.H.; Xiao, R.; Ren, Z.Q.; Lv, X.N. Contamination Assessment and Source Apportionment of Heavy Metals in Agricultural Soil through the Synthesis of PMF and GeogDetector Models. Sci. Total Environ. 2020, 747, 141293. [Google Scholar] [CrossRef]
- Liu, J.; Liu, Y.J.; Liu, Y.; Liu, Z.; Zhang, A.N. Quantitative Contributions of the Major Sources of Heavy Metals in Soils to Ecosystem and Human Health Risks: A Case Study of Yulin, China. Ecotoxicol. Environ. Saf. 2018, 164, 261–269. [Google Scholar] [CrossRef]
- Chai, L.; Wang, Y.H.; Wang, X.; Ma, L.; Cheng, Z.X.; Su, L.M.; Liu, M.X. Quantitative Source Apportionment of Heavy Metals in Cultivated Soil and Associated Model Uncertainty. Ecotoxicol. Environ. Saf. 2021, 215, 112150. [Google Scholar] [CrossRef]
- Ma, W.C.; Tai, L.Y.; Qiao, Z.; Zhong, L.; Wang, Z.; Fu, K.X.; Chen, G.Y. Contamination Source Apportionment and Health Risk Assessment of Heavy Metals in Soil around Municipal Solid Waste Incinerator: A Case Study in North China. Sci. Total Environ. 2018, 631–632, 348–357. [Google Scholar] [CrossRef]





| Nemerow Index | Geological Accumulation Index | |||||
|---|---|---|---|---|---|---|
| Pi | Pollution Level | PN | Pollution Level | Igeo | Grading | Pollution Level |
| Pi ≤ 1 | Cleaning | PN ≤ 0.7 | Cleaning | <0 | 0 | Non-polluting |
| 1 < Pi ≤ 2 | Light pollution | 0.7 < PN ≤ 1 | Alert Line | 0–1 | 1 | Light pollution |
| 2 < Pi ≤ 3 | Moderate pollution | 1 < PN ≤2 | Light pollution | 1–2 | 2 | Moderate pollution |
| Pi > 3 | Severe pollution | 2 < PN ≤ 3 | Moderate pollution | 2–3 | 3 | Moderate pollution |
| PN > 3 | Severe pollution | 3–4 | 4 | Heavy pollution | ||
| 4–5 | 5 | Heavy pollution | ||||
| >5 | 6 | Severe pollution | ||||
| Sampling Depth (cm) | Heavy Metal | Mean (mg·kg−1) | Xinjiang Background Value (mg·kg−1) | ||||
|---|---|---|---|---|---|---|---|
| No-Grazing Grassland | Seasonal Grassland | Abandoned Grassland | Natural Grassland | Artificial Grassland | |||
| 0~10 | Cu | 30.42 | 31.83 | 26.31 | 65.41 | 32.10 | 26.70 |
| Pb | 19.58 | 22.38 | 17.87 | 100.08 | 18.98 | 19.40 | |
| Cr | 47.08 | 55.86 | 43.23 | 64.29 | 51.90 | 49.30 | |
| Zn | 71.79 | 75.00 | 68.43 | 408.89 | 72.88 | 68.80 | |
| As | 8.39 | 7.17 | 9.79 | 13.59 | 13.64 | 11.20 | |
| Ni | 52.81 | 36.02 | 60.26 | 106.76 | 52.99 | 25.20 | |
| Cd | – | 0.20 | 0.23 | 0.33 | 0.21 | 0.12 | |
| 10~30 | Cu | 26.17 | 16.74 | 34.24 | 68.52 | 33.09 | 26.70 |
| Pb | 16.64 | 16.92 | 17.09 | 89.61 | 18.02 | 19.40 | |
| Cr | 46.15 | 50.23 | 54.01 | 76.51 | 38.19 | 49.30 | |
| Zn | 60.28 | 63.58 | 65.27 | 377.04 | 66.09 | 68.80 | |
| As | 12.65 | 7.45 | 10.98 | 15.80 | 16.53 | 11.20 | |
| Ni | 47.70 | – | 47.91 | 66.87 | 46.20 | 25.20 | |
| Cd | 0.17 | 0.29 | 0.19 | 0.21 | 0.21 | 0.12 | |
| 30~50 | Cu | 27.24 | 25.96 | 30.83 | 82.59 | 25.79 | 26.70 |
| Pb | 17.76 | 18.73 | 19.08 | 100.13 | 15.03 | 19.40 | |
| Cr | 41.71 | 43.72 | 47.14 | 87.11 | 21.43 | 49.30 | |
| Zn | 60.44 | 63.03 | 64.89 | 470.58 | 57.50 | 68.80 | |
| As | 10.13 | 7.97 | 9.48 | – | 17.08 | 11.20 | |
| Ni | 42.81 | 46.58 | 45.38 | 65.55 | 48.65 | 25.20 | |
| Cd | 0.26 | 0.21 | – | 0.20 | 0.20 | 0.12 | |
| Master Score | Eigenvalue | Contribution Rate | Cumulative Contribution Rate | Element | Factor 1 | Factor 2 | Common Factor Variance |
|---|---|---|---|---|---|---|---|
| F1 | 4.143 | 59.187 | 59.187 | Cu | 0.913 | 0.178 | 0.865 |
| F2 | 1.380 | 19.709 | 78.896 | Pb | 0.906 | −0.067 | 0.825 |
| F3 | 0.533 | 7.612 | 86.508 | Cr | 0.806 | 0.151 | 0.672 |
| F4 | 0.451 | 6.439 | 92.947 | Zn | 0.949 | −0.008 | 0.900 |
| F5 | 0.296 | 4.235 | 97.181 | As | −0.744 | 0.196 | 0.592 |
| F6 | 0.142 | 2.034 | 99.215 | Ni | 0.325 | 0.874 | 0.870 |
| F7 | 0.055 | 0.785 | 100.000 | Cd | 0.529 | −0.720 | 0.798 |
Disclaimer/Publisher’s Note: The statements, opinions and data contained in all publications are solely those of the individual author(s) and contributor(s) and not of MDPI and/or the editor(s). MDPI and/or the editor(s) disclaim responsibility for any injury to people or property resulting from any ideas, methods, instructions or products referred to in the content. |
© 2023 by the authors. Licensee MDPI, Basel, Switzerland. This article is an open access article distributed under the terms and conditions of the Creative Commons Attribution (CC BY) license (https://creativecommons.org/licenses/by/4.0/).
Share and Cite
Hu, Q.; Li, J.; Wang, Y.; Huang, P.; He, X. Evaluation and Source Analysis of Heavy Metal Pollution in Grassland Soils under Different Management Modes in Altay, Xinjiang. Agronomy 2023, 13, 2621. https://doi.org/10.3390/agronomy13102621
Hu Q, Li J, Wang Y, Huang P, He X. Evaluation and Source Analysis of Heavy Metal Pollution in Grassland Soils under Different Management Modes in Altay, Xinjiang. Agronomy. 2023; 13(10):2621. https://doi.org/10.3390/agronomy13102621
Chicago/Turabian StyleHu, Qirong, Jinbao Li, Yongzhi Wang, Pengcheng Huang, and Xuemin He. 2023. "Evaluation and Source Analysis of Heavy Metal Pollution in Grassland Soils under Different Management Modes in Altay, Xinjiang" Agronomy 13, no. 10: 2621. https://doi.org/10.3390/agronomy13102621
APA StyleHu, Q., Li, J., Wang, Y., Huang, P., & He, X. (2023). Evaluation and Source Analysis of Heavy Metal Pollution in Grassland Soils under Different Management Modes in Altay, Xinjiang. Agronomy, 13(10), 2621. https://doi.org/10.3390/agronomy13102621
