Energy Sorghum Removal of Soil Cadmium in Chinese Subtropical Farmland: Effects of Variety and Cropping System
Abstract
1. Introduction
2. Materials and Methods
2.1. Sites Description and Energy Sorghums
2.2. Screening Experiments
2.3. Ratoon Sorghum Cultivation
2.4. Sample Collection and Analysis
2.5. Statistical Analysis
3. Results
3.1. Basic Properties of the Soils
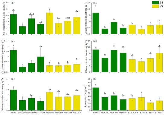
3.2. Variation in Soil Cd Removal by Energy Sorghum Species
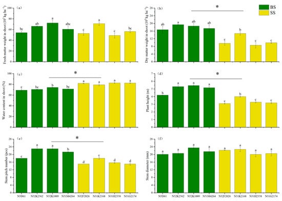
3.3. Agronomic Parameters Traits of Energy Sorghums
3.4. The Cd Accumulation and Distribution in Energy Sorghums
3.5. Regeneration Cropping System
4. Discussion
4.1. Biomass Sorghum Is Prior to Sweet Sorghum in Cd Removal
4.2. Key Factors of Cd Accumulation Controlled by Sorghum Varieties
4.3. Advantages of the Regeneration Cropping System
5. Conclusions
Supplementary Materials
Author Contributions
Funding
Data Availability Statement
Conflicts of Interest
References
- Li, B.; Zhu, Q.H.; Zhang, Q.H.; Zhu, H.H.; Huang, D.Y.; Su, S.M.; Wang, Y.N.; Zeng, X.B. Cadmium and arsenic availability in soil under submerged incubation: The influence of humic substances on iron speciation. Ecotoxicol. Environ. Saf. 2021, 225, 112773. [Google Scholar] [CrossRef] [PubMed]
- Xiao, M.Z.; Sun, R.; Du, Z.Y.; Yang, W.B.; Sun, Z.; Yuan, T.Q. A sustainable agricultural strategy integrating Cd-contaminated soils remediation and bioethanol production using sorghum cultivars. Ind. Crops Prod. 2021, 162, 113299. [Google Scholar] [CrossRef]
- Zhang, X.; Zhong, T.; Liu, L.; Ouyang, X. Impact of Soil Heavy Metal Pollution on Food Safety in China. PLoS ONE 2015, 10, e0135182. [Google Scholar] [CrossRef] [PubMed]
- Wang, S.; Li, B.; Zhu, H.H.; Shen, J.L.; Zhu, Q.H.; Huang, D.Y.; Xu, C.; Zhang, Q.; Fang, Z.B. Long-term effects of biochar on trace metals accumulation in rice grain: A 7-year field experiment. Agr. Ecosyst. Environ. 2021, 315, 107446. [Google Scholar] [CrossRef]
- Vamerali, T.; Bandiera, M.; Mosca, G. Field crops for phytoremediation of metal-contaminated land. A review. Environ. Chem. Lett. 2010, 8, 1–17. [Google Scholar] [CrossRef]
- Wei, S.H.; da Silva, J.A.T.; Zhou, Q.X. Agro-improving method of phytoextracting heavy metal contaminated soil. J. Hazard. Mater. 2008, 150, 662–668. [Google Scholar] [CrossRef]
- Liang, H.M.; Lin, T.H.; Chiou, J.M.; Yeh, K.C. Model evaluation of the phytoextraction potential of heavy metal hyperaccumulators and non-hyperaccumulators. Environ. Pollut. 2009, 157, 1945–1952. [Google Scholar] [CrossRef]
- Yuan, X.; Xiong, T.; Yao, S.; Liu, C.; Yin, Y.; Li, H.; Li, N. A real filed phytoremediation of multi-metals contaminated soils by selected hybrid sweet sorghum with high biomass and high accumulation ability. Chemosphere 2019, 237, 124536. [Google Scholar] [CrossRef]
- Feng, J.; Jia, W.; Lv, S.; Bao, H.; Miao, F.; Zhang, X.; Wang, J.; Li, J.; Li, D.; Zhu, C.; et al. Comparative transcriptome combined with morpho-physiological analyses revealed key factors for differential cadmium accumulation in two contrasting sweet sorghum genotypes. Plant Biotechnol. J. 2018, 16, 558–571. [Google Scholar] [CrossRef]
- Shi, G.; Cai, Q. Cadmium tolerance and accumulation in eight potential energy crops. Biotechnol. Adv. 2009, 27, 555–561. [Google Scholar] [CrossRef]
- Wang, S.; Huang, D.Y.; Zhu, Q.H.; Li, B.Z.; Xu, C.; Zhu, H.H.; Zhang, Q. Agronomic traits and ionomics influence on Cd accumulation in various sorghum (Sorghum bicolor (L.) Moench) genotypes. Ecotoxicol. Environ. Saf. 2021, 214, 112019. [Google Scholar] [CrossRef] [PubMed]
- Liu, Z.Q.; Li, H.L.; Zeng, X.J.; Lu, C.; Fu, J.Y.; Guo, L.J.; Kimani, W.M.; Yan, H.L.; He, Z.Y.; Hao, H.Q.; et al. Coupling phytoremediation of cadmium-contaminated soil with safe crop production based on a sorghum farming system. J. Clean. Prod. 2020, 275, 123002. [Google Scholar] [CrossRef]
- Jia, W.; Miao, F.; Lv, S.; Feng, J.; Zhou, S.; Zhang, X.; Wang, D.; Li, S.; Li, Y. Identification for the capability of Cd-tolerance, accumulation and translocation of 96 sorghum genotypes. Ecotoxicol. Environ. Saf. 2017, 145, 391–397. [Google Scholar] [CrossRef] [PubMed]
- Tian, Y.L.; Zhang, H.Y.; Guo, W.; Wei, X.F. Morphological Responses, Biomass Yield, and Bioenergy Potential of Sweet Sorghum Cultivated in Cadmium-Contaminated Soil for Biofuel. Int. J. Green Energy 2014, 12, 577–584. [Google Scholar] [CrossRef]
- Maw, M.J.W.; Houx, J.H.; Fritschi, F.B. Nitrogen Use Efficiency and Yield Response of High Biomass Sorghum in the Lower Midwest. Agron. J. 2017, 109, 115–121. [Google Scholar] [CrossRef]
- Olson, S.N.; Ritter, K.; Rooney, W.; Kemanian, A.; McCarl, B.A.; Zhang, Y.; Hall, S.; Packer, D.; Mullet, J. High biomass yield energy sorghum: Developing a genetic model for C4 grass bioenergy crops. Biofuel Bioprod. Bior. 2012, 6, 640–655. [Google Scholar] [CrossRef]
- Tsuboi, K.; Shehzad, T.; Yoneda, J.; Uraguchi, S.; Ito, Y.; Shinsei, L.; Satoh-Nagasawa, N. Genetic Analysis of Cadmium Accumulation in Shoots of Sorghum Landraces. Crop Sci. 2017, 57, 22–31. [Google Scholar] [CrossRef]
- Assefa, Y.; Staggenborg, S.A.; Prasad, V.P.V. Grain Sorghum Water Requirement and Responses to Drought Stress: A Review. Crop Manag. 2010, 9, 1–11. [Google Scholar] [CrossRef]
- Bekele, W.A.; Fiedler, K.; Shiringani, A.; Schnaubelt, D.; Windpassinger, S.; Uptmoor, R.; Friedt, W.; Snowdon, R.J. Unravelling the genetic complexity of sorghum seedling development under low-temperature conditions. Plant Cell Environ. 2014, 37, 707–723. [Google Scholar] [CrossRef]
- Zhao, J.; Pan, W.; Wu, J.; Yang, Y. Assessment of the impact of soil moisture on spring surface air temperature over the low-latitude highlands of China. Int. J. Climatol. 2020, 40, 6629–6645. [Google Scholar] [CrossRef]
- Fuad, A.; Tamado, T.; Jamal, A.; Habte, N.; Taye, T. Evaluation of Double Cropping System for Sorghum Production at Fedis, Eastern Ethiopia. J. Plant Sci. 2017, 5, 75–81. [Google Scholar]
- Paesal; Syuryawati; Suarni; Aqil, M. Sorghum cultivation of the ratoon system for increased yields in dry land. IOP Conf. Ser. Earth Environ. Sci. 2021, 911, 012035. [Google Scholar] [CrossRef]
- Sadafzadeh, E.; Javanmard, A.; Amani Machiani, M.; Sofo, A. Application of Bio-Fertilizers Improves Forage Quantity and Quality of Sorghum (Sorghum bicolor L.) Intercropped with Soybean (Glycine max L.). Plants 2023, 12, 2985. [Google Scholar] [CrossRef]
- Syuryawati, F.; Aqil, M. Sorghum plants with ratoon cultivation increase production and income. IOP Conf. Ser. Earth Environ. Sci. 2021, 911, 012077. [Google Scholar] [CrossRef]
- Li, B.; Duan, M.M.; Zeng, X.B.; Zhang, Q.; Xu, C.; Zhu, H.H.; Zhu, Q.H.; Huang, D.Y. Effects of composited organic mobilizing agents and their application periods on cadmium absorption of Sorghum bicolor L. in a Cd-contaminated soil. Chemosphere 2021, 263, 128136. [Google Scholar] [CrossRef] [PubMed]
- Lu, R.K. Physic-Chemistry Analysis of Soil; China Agricultural Scientific and Technological Press: Beijing, China, 1999; pp. 115–149. (In Chinese) [Google Scholar]
- GB 15618-2018; Soil Environmental Quality Risk Control Standard for Soil Contamination of Agricultural Land. MEEPRC: Beijing, China, 2018. Available online: https://www.mee.gov.cn/ywgz/fgbz/bz/bzwb/trhj/201807/t20180703_446029.shtml (accessed on 26 August 2023).
- Wang, H.; Li, J.; Liu, X.; Gu, L.; Zhu, B.; Wang, H.; Du, X. The SbWRKY54–SbHKT2b transcriptional cascade confers cadmium stress tolerance in sorghum. Environ. Exp. Bot. 2023, 214, 105478. [Google Scholar] [CrossRef]
- Murphy, R.L.; Klein, R.R.; Morishige, D.T.; Brady, J.A.; Rooney, W.L.; Miller, F.R.; Dugas, D.V.; Klein, P.E.; Mullet, J.E. Coincident light and clock regulation of pseudoresponse regulator protein 37 (PRR37) controls photoperiodic flowering in sorghum. Proc. Natl. Acad. Sci. USA 2011, 108, 16469–16474. [Google Scholar] [CrossRef]
- Diallo, B.; Li, M.; Tang, C.; Ameen, A.; Zhang, W.; Xie, G.H. Biomass yield, chemical composition and theoretical ethanol yield for different genotypes of energy sorghum cultivated on marginal land in China. Ind. Crop. Prod. 2019, 137, 221–230. [Google Scholar] [CrossRef]
- Sher, A.; Barbanti, L.; Ansar, M.; Manaf, A.; Kaleem, S. Late harvest associated with P and S fertilization enhances yield and quality of forage sorghum (Sorghum bicolor (L.) Moench): Grown grown as a rainfed crop in Pakistan. Afr. J. Agri Res. 2011, 6, 6232–6239. [Google Scholar] [CrossRef]
- Barbanti, L.; Sher, A.; Di Girolamo, G.; Cirillo, E.; Ansar, M. Growth and physiological response of two biomass sorghum (Sorghum bicolor (L.) Moench) genotypes bred for different environments, to contrasting levels of soil moisture. Ital. J. Agron. 2015, 10, 208–214. [Google Scholar] [CrossRef]
- Song, Y.; Jin, L.; Wang, X. Cadmium absorption and transportation pathways in plants. Int. J. Phytoremediation 2017, 19, 133–141. [Google Scholar] [CrossRef] [PubMed]
- Soudek, P.; Petrova, S.; Vankova, R.; Song, J.; Vanek, T. Accumulation of heavy metals using Sorghum sp. Chemosphere 2014, 104, 15–24. [Google Scholar] [CrossRef] [PubMed]
- Huang, H.; Yu, N.; Wang, L.; Gupta, D.K.; He, Z.; Wang, K.; Zhu, Z.; Yan, X.; Li, T.; Yang, X.E. The phytoremediation potential of bioenergy crop Ricinus communis for DDTs and cadmium co-contaminated soil. Bioresour. Technol. 2011, 102, 11034–11038. [Google Scholar] [CrossRef] [PubMed]
- Ercoli, L.; Mariotti, M.; Masoni, A.; Arduini, I. Growth responses of sorghum plants to chilling temperature and duration of exposure. Eur. J. Agron. 2004, 21, 93–103. [Google Scholar] [CrossRef]
- Habyarimana, E.; Bonardi, P.; Laureti, D.; Di Bari, V.; Cosentino, S.; Lorenzoni, C. Multilocational evaluation of biomass sorghum hybrids under two stand densities and variable water supply in Italy. Ind. Crops Prod. 2004, 20, 3–9. [Google Scholar] [CrossRef]
- Zhan, M.J.; Xia, L.; Zhan, L.; Wang, Y. Recognition of Changes in Air and Soil Temperatures at a Station Typical of China’s Subtropical Monsoon Region (1961–2018). Adv. Meteorol. 2019, 2019, 927045. [Google Scholar] [CrossRef]
- Rocateli, A.C.; Raper, R.L.; Balkcom, K.S.; Arriaga, F.J.; Bransby, D.I. Biomass sorghum production and components under different irrigation/tillage systems for the southeastern US. Ind. Crops Prod. 2012, 36, 589–598. [Google Scholar] [CrossRef]
- Nematpour, A.; Eshghizadeh, H.R.; Zahedi, M.; Ghorbani, G.R. Millet forage yield and silage quality as affected by water and nitrogen application at different sowing dates. Grass Forage Sci. 2020, 75, 169–180. [Google Scholar] [CrossRef]
- Mirahki, I.; Ardakani, M.R.; Golzardi, F.; Paknejad, F.; Mahrokh, A. Biomass production, water use efficiency and nutritional value parameters of sorghum (Sorghum bicolor L.) genotypes as affected by seed hydro-priming and transplanting. Acta Biol. Szeged. 2021, 65, 171–184. [Google Scholar] [CrossRef]
- Mirahki, I.; Ardakani, M.R.; Golzardi, F.; Paknejad, F.; Mahrokh, A.; Faraji, S. Yield, water use efficiency and silage feeding value of sorghum cultivars as affected by planting date and planting method. Gesunde Pflanz. 2023, 1–11. [Google Scholar] [CrossRef]
- Han, K.J.; Alison, M.W.; Pitman, W.D.; Day, D.F.; Kim, M.; Madsen, L. Planting Date and Harvest Maturity Impact on Biofuel Feedstock Productivity and Quality of Sweet Sorghum Grown under Temperate Louisiana Conditions. Agron. J. 2012, 104, 1618–1624. [Google Scholar] [CrossRef]
- Zhou, Y.; Yan, X.Y.; Gong, S.L.; Li, C.W.; Zhu, R.; Zhu, B.; Cao, P. Changes in paddy cropping system enhanced economic profit and ecological sustainability in central China. J. Integr. Agr. 2022, 21, 566–577. [Google Scholar] [CrossRef]
- Srinivasa Rao, P.; Rathore, A.; Reddy, B.V.S. Interrelationship Among Biomass Related Traits and Their Role in Sweet Sorghum Cultivar Productivity in Main and Ratoon Crops. Sugar Tech. 2013, 15, 278–284. [Google Scholar] [CrossRef][Green Version]
- Zhou, Y.; Huang, J.; Li, Z.; Wu, Y.; Zhang, J.; Zhang, Y. Yield and Quality in Main and Ratoon Crops of Grain Sorghum Under Different Nitrogen Rates and Planting Densities. Front. Plant Sci. 2022, 12, 778663. [Google Scholar] [CrossRef] [PubMed]
- Ardiyanti, S.E.; Sopandie, D.; Wirnas, D. Ratoon productivity of sorghum breeding lines (Sorghum bicolor (L.) Moench). IOP Conf. Ser. Earth Environ. Sci. 2019, 399, 012030. [Google Scholar] [CrossRef]







| County | pH | SOM (g kg−1) | CEC cmol+ kg−1 | Total Cd (mg kg−1) | Available Cd (mg kg−1) | Total N (g kg−1) | Available N (mg kg−1) |
|---|---|---|---|---|---|---|---|
| Changsha | 5.6 | 18.72 | 6.37 | 1.22 | 0.60 | 2.12 | 178 |
| Liling | 6.5 | 36.4 | 15.9 | 0.39 | 0.11 | 1.88 | 162 |
Disclaimer/Publisher’s Note: The statements, opinions and data contained in all publications are solely those of the individual author(s) and contributor(s) and not of MDPI and/or the editor(s). MDPI and/or the editor(s) disclaim responsibility for any injury to people or property resulting from any ideas, methods, instructions or products referred to in the content. |
© 2023 by the authors. Licensee MDPI, Basel, Switzerland. This article is an open access article distributed under the terms and conditions of the Creative Commons Attribution (CC BY) license (https://creativecommons.org/licenses/by/4.0/).
Share and Cite
Wang, S.; Li, B.; Zhu, H.; Liao, W.; Wu, C.; Zhang, Q.; Tang, K.; Cui, H. Energy Sorghum Removal of Soil Cadmium in Chinese Subtropical Farmland: Effects of Variety and Cropping System. Agronomy 2023, 13, 2487. https://doi.org/10.3390/agronomy13102487
Wang S, Li B, Zhu H, Liao W, Wu C, Zhang Q, Tang K, Cui H. Energy Sorghum Removal of Soil Cadmium in Chinese Subtropical Farmland: Effects of Variety and Cropping System. Agronomy. 2023; 13(10):2487. https://doi.org/10.3390/agronomy13102487
Chicago/Turabian StyleWang, Shuai, Bo Li, Hanhua Zhu, Wenjuan Liao, Cong Wu, Quan Zhang, Kaizhao Tang, and Haojie Cui. 2023. "Energy Sorghum Removal of Soil Cadmium in Chinese Subtropical Farmland: Effects of Variety and Cropping System" Agronomy 13, no. 10: 2487. https://doi.org/10.3390/agronomy13102487
APA StyleWang, S., Li, B., Zhu, H., Liao, W., Wu, C., Zhang, Q., Tang, K., & Cui, H. (2023). Energy Sorghum Removal of Soil Cadmium in Chinese Subtropical Farmland: Effects of Variety and Cropping System. Agronomy, 13(10), 2487. https://doi.org/10.3390/agronomy13102487
