Response of Water Radiation Utilization of Summer Maize to Planting Density and Genotypes in the North China Plain
Abstract
1. Introduction
2. Materials and Methods
2.1. Experimental Station
2.2. Experimental Design
2.3. Measurements
2.3.1. Leaf Area Index
2.3.2. Photosynthetically Active Radiation
2.3.3. Chlorophyll Content Index
2.3.4. Photosynthetic Parameters
2.3.5. Dry-Matter Accumulation
2.3.6. Radiation-Use Efficiency
2.3.7. Grain Yield and Yield Components
2.4. Statistical Analysis
3. Results
3.1. Leaf Area Index
3.2. Photosynthetically Active Radiation
3.3. Chlorophyll Content Index
3.4. Photosynthetic Parameters
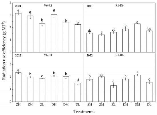
3.5. Dry-Matter Accumulation and Radiation-Use Efficiency
3.6. Grain Yield and Yield Components
4. Discussion
5. Conclusions
Author Contributions
Funding
Data Availability Statement
Conflicts of Interest
References
- Goncharova, N.A.; Merzlyakova, N.V. Food shortages and hunger as a global problem. Food Sci. Technol. 2022, 42, e70621. [Google Scholar] [CrossRef]
- Chen, Z.Y.; Huang, W.; Ma, L.J.; Xu, H.; Cheng, Y.H. Application and development of big data in sustainable utilization of soil and land resources. IEEE Access 2020, 8, 152751–152759. [Google Scholar] [CrossRef]
- Erenstein, O.; Jaleta, M.; Sonder, K.; Mottaleb, K.; Prasanna, B.M. Global maize production, consumption and trade: Trends and R&D implications. Food Secur. 2022, 14, 1295–1319. [Google Scholar]
- Tan, D.C.; Fan, Y.L.; Liu, J.M.; Zhao, J.T.; Ma, Y.Z.; Li, Q.Q. Winter wheat grain yield and quality response to straw mulching and planting pattern. Agric. Res. 2019, 8, 548–552. [Google Scholar] [CrossRef]
- Kang, S.Z.; Hao, X.M.; Du, T.S.; Tong, L.; Sun, X.L.; Lu, H.N.; Li, X.L.; Huo, Z.L.; Li, S.E.; Ding, R.S. Improving agricultural water productivity to ensure food security in China under changing environment: From research to practice. Agric. Water Manag. 2018, 179, 5–17. [Google Scholar] [CrossRef]
- Du, T.S.; Kang, S.Z.; Zhang, J.H.; Davies, W.J. Deficit irrigation and sustainable water-resource strategies in agriculture for China’s food security. J. Exp. Bot. 2015, 66, 2253–2269. [Google Scholar] [CrossRef]
- Xue, J.; Xie, R.Z.; Zhang, W.F.; Wang, K.R.; Hou, P.; Ming, B.; Gou, L.; Li, S.K. Research progress on reduced lodging of high-yield and -density maize. J. Integr. Agric. 2017, 16, 2717–2725. [Google Scholar] [CrossRef]
- Li, G.H.; Cheng, Q.; Li, L.; Lu, D.L.; Lu, W.P. N, P and K use efficiency and maize yield responses to fertilization modes and densities. J. Integr. Agric. 2021, 20, 78–86. [Google Scholar] [CrossRef]
- Zhao, C.H.; Ji, S.W.; Ge, C.; Su, Y.J.; Shi, Z.X.; Cui, Z.H.; Zhang, A.; Wang, Z.Y.; Ruan, Y.Y.; Zhang, L.J.; et al. Transcriptional analyses of maize leaves in response to high-density planting. Agron. J. 2022, 114, 1385–1400. [Google Scholar] [CrossRef]
- Ma, X.Y.; He, Q.J.; Zhou, G.S. Sequence of changes in maize responding to soil water deficit and related critical thresholds. Front. Plant Sci. 2018, 9, 511. [Google Scholar] [CrossRef]
- Gu, X.B.; Cai, H.J.; Fang, H.; Chen, P.P.; Li, Y.P.; Li, Y.N. Soil hydro-thermal characteristics, maize yield and water use efficiency as affected by different biodegradable film mulching patterns in a rain-fed semi-arid area of China. Agric. Water Manag. 2021, 245, 106560. [Google Scholar] [CrossRef]
- Qasemipour, E.; Abbasi, A. Assessment of agricultural water resources sustainability in arid regions using virtual water concept: Case of South Khorasan Province, Iran. Water 2019, 11, 3. [Google Scholar] [CrossRef]
- Kummu, M.; Fader, M.; Gerten, D.; Guillaume, J.H.A.; Jalava, M.; Jagermeyr, J.; Pfister, S.; Porkka, M.; Siebert, S.; Varis, O. Bringing it all together: Linking measures to secure nations’ food supply. Curr. Opin. Environ. Sustain. 2017, 29, 98–117. [Google Scholar] [CrossRef]
- Magalhaes, M.D.; Martuscello, J.A.; da Fonseca, D.M.; de Oliveira, I.M.; de Freitas, F.P.; Faria, D.J.G.; de Oliveira, R.A.; Ribeiro, J.I. 2012. Morphogenesis and structural characteristics and production of guinea grass irrigated under different plants density and nitrogen doses. Rev. Bras. Zootecn. 2012, 40, 2308–2317. [Google Scholar]
- Lal, M.K.; Sharma, N.; Adavi, S.B.; Sharma, E.; Altaf, M.A.; Tiwari, R.K.; Kumar, R.; Kumar, A.; Dey, A.; Paul, V. From source to sink: Mechanistic insight of photoassimilates synthesis and partitioning under high temperature and elevated [CO2]. Plant Mol.Biol. 2022, 110, 305–324. [Google Scholar] [CrossRef]
- Jiao, F.L.; Hong, S.Z.; Liu, C.Y.; Ma, Y.Z.; Zhang, M.M.; Li, Q.Q. Wide-precision planting pattern under different tillage methods affects photosynthesis and yield of winter wheat. Arch. Agron. Soil Sci. 2021, 68, 1352–1368. [Google Scholar] [CrossRef]
- Hafeez, A.; Ali, S.; Ma, X.L.; Tung, S.A.; Shah, A.N.; Ahmad, S.; Chattha, M.S.; Souliyanonh, B.; Zhang, Z.; Yang, G.Z. Photosynthetic characteristics of boll subtending leaves are substantially influenced by applied K to N ratio under the new planting model for cotton in the Yangtze River Valley. Field Crop. Res. 2019, 237, 43–52. [Google Scholar] [CrossRef]
- Huang, M.; Shan, S.L.; Zhou, X.F.; Chen, J.N.; Cao, F.B.; Jiang, L.G.; Zou, Y.B. Leaf photosynthetic performance related to higher radiation use efficiency and grain yield in hybrid rice. Field Crop. Res. 2016, 193, 87–93. [Google Scholar] [CrossRef]
- Zhao, W.S.; Sun, Y.L.; Kjelgren, R.; Liu, X.P. Response of stomatal density and bound gas exchange in leaves of maize to soil water deficit. Acta Physiol. Plant. 2015, 37, 1704. [Google Scholar] [CrossRef]
- Uddin, S.; Parvin, S.; Low, M.; Fitzgerald, G.J.; Tausz-Posch, S.; Armstrong, R.; Tausz, M. Water use dynamics of dryland canola (Brassica napus L.) grown on contrasting soils under elevated CO2. Plant Soil 2019, 438, 205–222. [Google Scholar] [CrossRef]
- Ren, B.; Zhang, J.; Dong, S.; Liu, P.; Zhao, B. Effects of duration of waterlogging at different growth stages on grain growth of summer maize (Zea mays L.) under field conditions. J. Agron. Crop Sci. 2016, 202, 564–575. [Google Scholar] [CrossRef]
- Gao, J.; Shi, J.G.; Dong, S.T.; Liu, P.; Zhao, B.; Zhang, J.W. Grain development and endogenous hormones in summer maize (Zea mays L.) submitted to different light conditions. Int. J. Biometeorol. 2018, 62, 2131–2138. [Google Scholar] [CrossRef] [PubMed]
- Yang, Y.S.; Liu, G.Z.; Guo, X.X.; Liu, W.M.; Xue, J.; Ming, B.; Xie, R.Z.; Wang, K.R.; Hou, P.; Li, S.K. Quantitative Relationship Between Solar Radiation and Grain Filling Parameters of Maize. Front. Plant Sci. 2022, 13, 906060. [Google Scholar] [CrossRef] [PubMed]
- Wang, J.; Shi, K.; Lu, W.P.; Lu, D.L. Effects of post-silking shading stress on enzymatic activities and phytohormone contents during grain development in spring maize. J. Plant Growth Regul. 2020, 40, 1060–1073. [Google Scholar] [CrossRef]
- Bellasio, C.; Griffiths, H. Acclimation of C-4 metabolism to low light in mature maize leaves could limit energetic losses during progressive shading in a crop canopy. J. Exp. Bot. 2014, 65, 3725–3736. [Google Scholar] [CrossRef]
- Li, L.H.; Zhang, Y.P.; You, G.Y.; Yao, Y.G.; Tan, Z.H.; Song, Q.H.; Luo, Y.Y. Spatiotemporal distribution pattern of photosynthetically active radiation in subtropical evergreen broadleaved forest in Ailaoshan Mountains of Southwest China. Chin. J. Ecol. 2011, 30, 2394–2399. [Google Scholar]
- Wang, Q.R.; Chen, H.X.; Han, Y.C.; Xing, F.F.; Wang, Z.B.; Feng, L.; Wang, G.P.; Yang, B.F.; Lei, Y.P.; Xiong, S.W.; et al. Effect of spatial-temporal light competition on cotton yield and yield distribution. Agronomy 2021, 11, 2346. [Google Scholar] [CrossRef]
- Asilevi, P.; Quansah, E.; Dogbey, F. Satellite-based estimates of photosynthetically active radiation for tropical ecosystems in Ghana-West Africa. Trop. Ecol. 2022, 63, 615–625. [Google Scholar]
- Zhao, D.D.; Shen, J.Y.; Lang, K.; Liu, Q.R.; Li, Q.Q. Effects of irrigation and wide-precision planting on water use, radiation interception, and grain yield of winter wheat in the North China Plain. Agric. Water Manag. 2013, 118, 87–92. [Google Scholar]
- Monteith, J.L.; Moss, C.J. Climate and the efficiency of crop production in Britain. Philos. Trans. R. Soc. B Biol. Sci. 1977, 281, 277–294. [Google Scholar]
- Perez, C.M.; Ayala, C.R.; Ruiz, A.M.; Bustamante, W.O.; Islas, J.D.R.; Hernandez, R.A.; Ordaz, A.L.; Ramirez, F.N. Leaf area and its impact in yield and quality of greenhouse tomato (Solanum lycopersicum L.). Rev. Fac. Cienc. Agrar. Univ. Nac. Cuyo. 2022, 54, 57–69. [Google Scholar]
- Whitfield, D.M.; Smith, C.J. Effects of irrigation and nitrogen on growth, light interception and efficiency of light conversion in wheat. Field Crop. Res. 1989, 20, 279–295. [Google Scholar] [CrossRef]
- Liu, W.M.; Hou, P.; Liu, G.Z.; Yang, Y.S.; Guo, X.X.; Ming, B.; Xie, R.Z.; Wang, K.R.; Liu, Y.E.; Li, S.K. Contribution of total dry matter and harvest index to maize grain yield-A multisource data analysis. Food Energy Secur. 2020, 9, e256. [Google Scholar] [CrossRef]
- Zhou, H.L.; Zhou, G.S.; Zhou, L.; Lv, X.M.; Ji, Y.H.; Zhou, M.Z. The interrelationship between water use efficiency and radiation use efficiency under progressive soil drying in maize. Front. Plant Sci. 2022, 12, 794409. [Google Scholar] [CrossRef]
- Drewry, D.T.; Kumar, P.; Long, S.P. Simultaneous improvement in productivity, water use, and albedo through crop structural modification. Glob. Change Biol. 2014, 20, 1955–1967. [Google Scholar] [CrossRef]
- Leakey, A.D.B.; Ferguson, J.N.; Pignon, C.P.; Wu, A.; Jin, Z.N.; Hammer, G.L.; Lobell, D.B. Water use efficiency as a constraint and target for improving the resilience and productivity of C-3 and C-4 crops. Annu. Rev. Plant Biol. 2019, 70, 781–808. [Google Scholar] [CrossRef]
- Gao, X.Y.; Li, C.; Cai, Y.; Ye, L.; Xiao, L.D.; Zhou, G.M.; Zhou, Y.F. Influence of scale effect of canopy projection on understory microclimate in three subtropical urban broad-leaved forests. Remote Sens. 2021, 13, 3786. [Google Scholar] [CrossRef]
- Kim, D.S.; Marshall, E.J.P.; Brain, P.; Casseley, J.C. Effects of crop canopy structure on herbicide deposition and performance. Weed Res. 2011, 51, 310–320. [Google Scholar] [CrossRef]
- Li, J.; Xie, R.Z.; Wang, K.R.; Hou, P.; Ming, B.; Zhang, G.Q.; Liu, G.Z.; Wu, M.; Yang, Z.S.; Li, S.K. Response of canopy structure, light interception and grain yield to plant density in maize. J. Agric. Sci. 2018, 156, 785–794. [Google Scholar] [CrossRef]
- Liang, Q.; Shi, X.J.; Li, N.N.; Shi, F.; Tian, Y.; Zhang, H.X.; Hao, X.Z.; Luo, H.H. Fertilizer reduction combined with organic liquid fertilizer improved canopy structure and function and increased cotton yield. Agronomy 2022, 12, 1759. [Google Scholar] [CrossRef]
- Bailey, B.N.; Fu, K.M. The probability distribution of absorbed direct, diffuse, and scattered radiation in plant canopies with varying structure. Agric. For. Meteorol. 2022, 322, 109009. [Google Scholar] [CrossRef]
- Yu, N.N.; Ren, B.Z.; Zhao, B.; Liu, P.; Zhang, J.W. Optimized agronomic management practices narrow the yield gap of summer maize through regulating canopy light interception and nitrogen distribution. Eur. J. Agron. 2022, 137, 126520. [Google Scholar] [CrossRef]
- Shi, D.Y.; Li, Y.H.; Zhang, J.W.; Liu, P.; Zhao, B.; Dong, S.T. Increased plant density and reduced N rate lead to more grain yield and higher resource utilization in summer maize. J. Integr. Agric. 2016, 15, 2515–2528. [Google Scholar] [CrossRef]
- Chen, Z.J.; Sun, S.J.; Zhu, Z.C.; Jiang, H.; Zhang, X.D. Assessing the effects of plant density and plastic film mulch on maize evaporation and transpiration using dual crop coefficient approach. Agric. Water Manag. 2019, 225, 105765. [Google Scholar] [CrossRef]
- Liu, T.N.; Gu, L.M.; Dong, L.M.; Zhang, J.W.; Liu, P.; Zhao, B. Optimum leaf removal increases canopy apparent photosynthesis, C–13–photosynthate distribution and grain yield of maize crops grown at high density. Field Crop. Res. 2015, 170, 32–39. [Google Scholar] [CrossRef]
- Xu, W.J.; Liu, C.W.; Wang, K.R.; Xie, R.Z.; Ming, B.; Wang, Y.H.; Zhang, G.Q.; Liu, G.Z.; Zhao, R.L.; Fan, P.P.; et al. Adjusting maize plant density to different climatic conditions across a large longitudinal distance in China. Field Crop. Res. 2017, 212, 126–134. [Google Scholar] [CrossRef]
- Kiniry, J.R.; Bean, B.; Xie, Y.; Chen, P.Y. Maize yield potential: Critical processes and simulation modeling in a high-yielding environment. Agric. Syst. 2004, 82, 45–56. [Google Scholar] [CrossRef]
- Shi, D.Y.; Huang, Q.W.; Liu, Z.J.; Liu, T.; Su, Z.E.; Guo, S.B.; Bai, F.; Sun, S.; Lin, X.M.; Li, T.; et al. Radiation use efficiency and biomass production of maize under optimal growth conditions in Northeast China. Sci. Total Environ. 2022, 836, 155574. [Google Scholar] [CrossRef] [PubMed]
- Liu, J.M.; Fan, Y.L.; Ma, Y.Z.; Li, Q.Q. Response of photosynthetic active radiation interception, dry matter accumulation, and grain yield to tillage in two winter wheat genotypes. Arch. Agron. Soil Sci. 2020, 66, 1103–1114. [Google Scholar] [CrossRef]
- Sun, R.; Peng, C.; Cong, Y.X. Dynamic characteristics of leaf area index and their effects on yield in different density spring-maize. J. Maize Sci. 2008, 16, 61–65. [Google Scholar]
- Fan, Y.L.; Liu, J.M.; Zhao, J.T.; Ma, Y.Z.; Li, Q.Q. Effects of delayed irrigation during the jointing stage on the photosynthetic characteristics and yield of winter wheat under different planting patterns. Agric. Water Manag. 2019, 221, 371–376. [Google Scholar] [CrossRef]
- Ma, Y.Z.; Zhang, H.; Xue, Y.F.; Gao, Y.B.; Qian, X.; Dai, H.C.; Liu, K.C.; Li, Q.Q.; Li, Z.X. Effect of sulfur fertilizer on summer maize grain yield and soil water utilization under different irrigation patterns from anthesis to maturity. Agric. Water Manag. 2021, 250, 106828. [Google Scholar] [CrossRef]
- Xue, J.; Guo, L.; Shi, Z.G.; Zhao, Y.S.; Zhang, W.F. Effect of leaf removal on photosynthetically active radiation distribution in maize canopy and stalk strength. J. Integr. Agric. 2017, 16, 85–96. [Google Scholar] [CrossRef]
- Gou, L.; Xue, J.; Qi, B.Q.; Ma, B.Y.; Zhang, W.F. Morphological variation of maize cultivars in response to elevated plant densities. Agron. J. 2017, 109, 1443–1453. [Google Scholar] [CrossRef]
- Xue, J.; Zhao, Y.S.; Gou, L.; Shi, Z.G.; Yao, M.N.; Zhang, W.F. How high plant density of maize affects basal internode development and strength formation. Crop. Sci. 2016, 56, 3295–3306. [Google Scholar] [CrossRef]
- Liu, T.N.; Wang, Z.L.; Cai, T. Canopy apparent photosynthetic characteristics and yield of two spike-type wheat cultivars in response to row spacing under high plant density. PLoS One 2016, 11, e0148582. [Google Scholar] [CrossRef]
- Bai, Y.X.; Wang, Z.R.; Zhong, G. Analysis on characters of three ear leaves of parents of high combining ability and hybrids of corn and correlative research of leaf area. J. Maize Sci. 1999, 7, 24–26. [Google Scholar]
- Chen, Y.H.; Yu, S.L.; Yu, Z.W. Relationship between amount or distribution of PAR interception and grain output of wheat communities. Acta Agron. Sin. 2003, 29, 730–734. [Google Scholar]
- Hortensteiner, S.; Krautler, B. Chlorophyll breakdown in higher plants. Biochim. Biophys. Acta-Bioenerg 2011, 1807, 977–988. [Google Scholar] [CrossRef]
- Shanmugam, S.; Xu, J.T.; Boyer, C. Utilizing the electron transfer mechanism of chlorophyll a under light for controlled radical polymerization. Chem. Sci. 2015, 6, 1341–1349. [Google Scholar] [CrossRef]
- He, J.N.; Shi, Y.; Zhao, J.Y.; Yu, Z.W. Strip rotary tillage with subsoiling increases winter wheat yield by alleviating leaf senescence and increasing grain filling. Crop. J. 2019, 8, 327–340. [Google Scholar] [CrossRef]
- Li, H.J.; Kuang, N.K.; Gou, Q.S.; Ma, Y.Z.; Li, Q.Q. Effects of different film mulches on photosynthetic characteristics and yield of summer maize (Zea mays L.) in the North China Plain. Arch. Agron. Soil Sci. 2020, 67, 179–190. [Google Scholar] [CrossRef]
- Shao, H.; Shi, D.F.; Shi, W.J.; Ban, X.B.; Chen, Y.C.; Ren, W.; Chen, F.J.; Mi, G.H. Genotypic difference in the plasticity of root system architecture of field-grown maize in response to plant density. Plant Soil 2019, 439, 201–217. [Google Scholar] [CrossRef]
- Xu, J.; Guo, Z.Y.; Li, Z.M.; Li, F.J.; Xue, X.K.; Wu, X.R.; Zhang, X.M.; Li, H.; Zhang, X.D.; Han, Q.F. Stable oxygen isotope analysis of the water uptake mechanism via the roots in spring maize under the ridge-furrow rainwater harvesting system in a semi-arid region. Agric. Water Manag. 2021, 252, 106879. [Google Scholar] [CrossRef]
- Chen, S.; Mao, X.M.; Shang, S.H. Response and contribution of shallow groundwater to soil water/salt budget and crop growth in layered soils. Agric. Water Manag. 2022, 266, 107574. [Google Scholar] [CrossRef]
- Hayat, F.; Ahmed, M.A.; Zarebanadkouki, M.; Javaux, M.; Cai, G.C.; Carminati, A. Transpiration reduction in maize (Zea mays L) in response to soil drying. Front. Plant Sci. 2020, 10, 1695. [Google Scholar] [CrossRef]
- Xu, J.; He, Z.K.; Feng, Q.Q.; Zhang, Y.Y.; Li, X.S.; Xu, J.J.; Lin, X.; Han, H.F.; Ning, T.Y.; Li, Z.J. Effect of tillage method on photosynthetic characteristics and annual yield formation of winter wheat-summer maize cropping system. Plant Nutr. Fertil. Sci. 2017, 23, 10–109. [Google Scholar]
- Jiao, F.L.; Hong, S.Z.; Zhang, Q.F.; Li, M.; Shi, R.L.; Ma, Y.Z.; Li, Q.Q. Subsoiling before winter wheat cultivation increases photosynthetic characteristics and leaf water-use efficiency of summer maize in a double-cropping system. Arch. Agron. Soil Sci. 2022, 269, 107685. [Google Scholar] [CrossRef]
- Jin, X.X.; Zuo, Q.; Ma, W.W.; Li, S.; Shi, J.C.; Tao, Y.Y.; Zhang, Y.A.; Liu, Y.; Liu, X.F.; Liu, S.; et al. Water consumption and water-saving characteristics of a ground cover rice production system. J. Hydrol. 2016, 540, 220–231. [Google Scholar] [CrossRef]
- Honnaiah, P.A.; Sridhara, S.; Gopakkali, P.; Ramesh, N.; Mahmoud, E.A.; Abdelmohsen, S.A.M.; Alkallas, F.H.; El-Ansary, D.O.; Elansary, H.O. Influence of sowing windows and genotypes on growth, radiation interception, conversion efficiency and yield of guar. Saudi J. Biol. Sci. 2021, 28, 3453–3460. [Google Scholar] [CrossRef]
- Chavez, J.C.; Ganjegunte, G.K.; Jeong, J.; Rajan, N.; Zapata, S.D.; Osias, R.A.; Enciso, J. Radiation use efficiency and agronomic performance of biomass sorghum under different sowing dates. Agronomy 2022, 16, 1252. [Google Scholar] [CrossRef]
- Feng, Y.; Cui, X.; Shan, H.; Shi, Z.S.; Li, F.H.; Wang, H.W.; Zhu, M.; Zhong, X.M. Effects of solar radiation on photosynthetic physiology of barren stalk differentiation in maize. Plant Sci. 2021, 312, 111046. [Google Scholar] [CrossRef] [PubMed]
- Sandhu, S.; Dhillon, B.S. Breeding plant type for adaptation to high plant density in tropical maize-A step towards productivity enhancement. Plant Breed. 2021, 140, 509–518. [Google Scholar] [CrossRef]
- Fang, Y.; Xu, B.C.; Turner, N.C.; Li, F.M. Grain yield, dry matter accumulation and remobilization, and root respiration in winter wheat as affected by seeding rate and root pruning. Eur. J. Agron. 2010, 33, 257–266. [Google Scholar] [CrossRef]
- Liu, Y.; Liao, Y.C.; Liu, W.Z. High nitrogen application rate and planting density reduce wheat grain yield by reducing filling rate of inferior grain in middle spikelets. Crop. J. 2021, 9, 412–426. [Google Scholar] [CrossRef]
- Qiao, J.F.; Zhang, P.P.; Shao, Y.H.; Liu, J.B.; Li, C.; Zhang, M.W.; Huang, L. Effect of Different Planting Densities and Varieties on Dry Matter Production and Yield Formation of Summer Maize. Crops 2022, 06, 186–192. [Google Scholar]
- Zhao, Y.; Huang, Y.F.; Li, S.; Chu, X.; Ye, Y.L. Improving the growth, lodging and yield of different density-resistance maize by optimising planting density and nitrogen fertilization. Plant Soil Environ. 2020, 66, 453–460. [Google Scholar] [CrossRef]
- Wang, P.; Wang, Z.K.; Sun, X.C.; Mu, X.H.; Chen, H.; Chen, F.J.; Yuan, L.X.; Mi, G.H. Interaction effect of nitrogen form and planting density on plant growth and nutrient uptake in maize seedlings. J. Integr. Agric. 2019, 18, 1120–1129. [Google Scholar] [CrossRef]
- Testa, G.; Reyner, A.; Blandino, M. Maize grain yield enhancement through high plant density cultivation with different inter-row and intra-row spacings. Eur. J. Agron. 2015, 72, 28–37. [Google Scholar] [CrossRef]







| Treatments | Interception Ratio | Penetration Ratio | Reflection Ratio | |||
|---|---|---|---|---|---|---|
| (%) | (%) | (%) | ||||
| 2021 | 2022 | 2021 | 2022 | 2021 | 2022 | |
| Genotypes | ||||||
| Z | 89.02 a | 92.65 a | 7.82 a | 5.67 a | 3.16 a | 1.68 a |
| D | 88.69 a | 90.63 b | 7.88 a | 7.58 a | 3.43 a | 1.79 a |
| p-value | 0.854 | 0.046 | 0.964 | 0.072 | 0.602 | 0.520 |
| Densities | ||||||
| H | 92.74 a | 93.25 a | 4.35 c | 4.91 b | 2.91 b | 1.84 a |
| M | 88.89 b | 92.28 a | 8.62 b | 6.02 b | 2.49 b | 1.70 b |
| L | 84.93 c | 89.38 b | 10.58 a | 8.96 a | 4.48 a | 1.67 c |
| p-value | 0.000 | 0.001 | 0.000 | 0.001 | 0.000 | 0.684 |
| Treatments | ||||||
| ZH | 92.33 a | 94.58 a | 4.69 c | 3.61 d | 2.98 b | 1.81 a |
| ZM | 88.96 b | 92.94 ab | 8.97 b | 5.46 cd | 2.08 b | 1.60 a |
| ZL | 85.77 bc | 90.43 c | 9.79 ab | 7.94 ab | 4.44 a | 1.63 a |
| DH | 93.15 a | 91.92 bc | 4.01 c | 6.20 bc | 2.85 b | 1.88 a |
| DM | 88.82 b | 91.63 bc | 8.27 b | 6.57 bc | 2.91 b | 1.80 a |
| DL | 84.10 c | 88.32 d | 11.37 a | 9.98 a | 4.53 a | 1.70 a |
| p-value | 0.000 | 0.000 | 0.000 | 0.001 | 0.001 | 0.947 |
| Interaction (p-value) | ||||||
| Y × G | 0.087 | 0.033 | 0.642 | |||
| Y × P | 0.007 | 0.130 | 0.000 | |||
| G × P | 0.568 | 0.294 | 0.375 | |||
| Y × G ×P | 0.409 | 0.388 | 0.575 | |||
| Treatments | Spikes Numbers | Rows Number per Spike | Kernel Numbers per Row | 1000-Kernel Weight | Grain Yield | |||||
|---|---|---|---|---|---|---|---|---|---|---|
| (Spikes m−2) | (Rows Spike−1) | (Kernels Row−1) | (g) | (t ha−1) | ||||||
| 2021 | 2022 | 2021 | 2022 | 2021 | 2022 | 2021 | 2022 | 2021 | 2022 | |
| Genotypes | ||||||||||
| Z | 26.67 a | 26.33 a | 14.80 b | 14.38 b | 38.58 a | 36.36 a | 280.47 a | 309.82 a | 9.78 a | 10.16 a |
| D | 26.78 a | 26.56 a | 15.78 a | 15.61 a | 36.45 a | 34.62 a | 293.60 a | 314.70 a | 10.08 a | 10.15 a |
| p-value | 0.969 | 0.933 | 0.003 | 0.000 | 0.160 | 0.252 | 0.131 | 0.682 | 0.630 | 0.984 |
| Densities | ||||||||||
| H | 33.17 a | 32.17 a | 15.10 a | 15.00 a | 34.46 c | 31.95 c | 267.06 b | 281.42 c | 9.95 b | 10.06 b |
| M | 27.33 b | 27.50 b | 15.17 a | 14.73 a | 37.73 b | 35.82 b | 295.99 a | 322.02 b | 11.10 a | 11.52 a |
| L | 19.67 c | 19.67 c | 15.60 a | 15.25 a | 40.43 a | 38.71 a | 298.06 a | 333.33 a | 8.75 c | 8.89 c |
| p-value | 0.000 | 0.000 | 0.506 | 0.569 | 0.001 | 0.000 | 0.001 | 0.000 | 0.002 | 0.000 |
| Treatments | ||||||||||
| ZH | 32.67 a | 32.00 a | 15.13 bc | 14.40 c | 36.50 b | 32.73 cd | 261.78 d | 286.70 d | 10.48 ab | 10.66 b |
| ZM | 27.67 b | 27.00 b | 14.73 c | 14.33 c | 38.70 ab | 37.00 b | 297.46 b | 316.59 c | 11.02 a | 11.11 ab |
| ZL | 19.67 c | 20.00 c | 14.53 c | 14.40 c | 40.55 a | 39.37 a | 282.17 c | 276.14 e | 7.84 c | 8.72 c |
| DH | 33.67 a | 32.33 a | 15.07 bc | 15.60 ab | 32.42 c | 31.18 d | 272.34 c | 326.17 b | 9.43 b | 9.46 c |
| DM | 27.00 b | 28.00 b | 16.47 a | 15.13 bc | 36.75 b | 34.63 c | 294.51 b | 327.45 b | 11.17 a | 11.94 a |
| DL | 19.67 c | 19.33 c | 15.80 ab | 16.10 a | 40.21 a | 38.05 ab | 313.96 a | 340.50 a | 9.65 b | 9.05 c |
| p-value | 0.000 | 0.000 | 0.002 | 0.003 | 0.001 | 0.000 | 0.000 | 0.000 | 0.001 | 0.000 |
| Interaction (p-value) | ||||||||||
| Y × G | 0.894 | 0.417 | 0.694 | 0.032 | 0.436 | |||||
| Y × P | 0.469 | 0.045 | 0.764 | 0.000 | 0.778 | |||||
| G × P | 0.618 | 0.059 | 0.244 | 0.000 | 0.001 | |||||
| Y × G × P | 0.423 | 0.025 | 0.292 | 0.001 | 0.113 | |||||
Disclaimer/Publisher’s Note: The statements, opinions and data contained in all publications are solely those of the individual author(s) and contributor(s) and not of MDPI and/or the editor(s). MDPI and/or the editor(s) disclaim responsibility for any injury to people or property resulting from any ideas, methods, instructions or products referred to in the content. |
© 2022 by the authors. Licensee MDPI, Basel, Switzerland. This article is an open access article distributed under the terms and conditions of the Creative Commons Attribution (CC BY) license (https://creativecommons.org/licenses/by/4.0/).
Share and Cite
Liu, Z.; Wei, S.; Li, M.; Zhang, Q.; Zong, R.; Li, Q. Response of Water Radiation Utilization of Summer Maize to Planting Density and Genotypes in the North China Plain. Agronomy 2023, 13, 68. https://doi.org/10.3390/agronomy13010068
Liu Z, Wei S, Li M, Zhang Q, Zong R, Li Q. Response of Water Radiation Utilization of Summer Maize to Planting Density and Genotypes in the North China Plain. Agronomy. 2023; 13(1):68. https://doi.org/10.3390/agronomy13010068
Chicago/Turabian StyleLiu, Zhendong, Shiyu Wei, Ming Li, Qingfen Zhang, Rui Zong, and Quanqi Li. 2023. "Response of Water Radiation Utilization of Summer Maize to Planting Density and Genotypes in the North China Plain" Agronomy 13, no. 1: 68. https://doi.org/10.3390/agronomy13010068
APA StyleLiu, Z., Wei, S., Li, M., Zhang, Q., Zong, R., & Li, Q. (2023). Response of Water Radiation Utilization of Summer Maize to Planting Density and Genotypes in the North China Plain. Agronomy, 13(1), 68. https://doi.org/10.3390/agronomy13010068
