Effects of Tillage and N Applications on the Cassava Rhizosphere Fungal Communities
Abstract
1. Introduction
2. Materials and Methods
2.1. Experiment Site
2.2. Experimental Design
2.3. Sampling
2.4. Determination of Soil Physicochemical Properties and Enzyme Activity
2.5. MiSeq High-Throughput Sequencing
2.6. Statistical and Bioinformatics Analysis
3. Results
3.1. Tillage and Nitrogen Application Influenced Particle Composition and Chemical Properties of Cassava Rhizosphere Soil
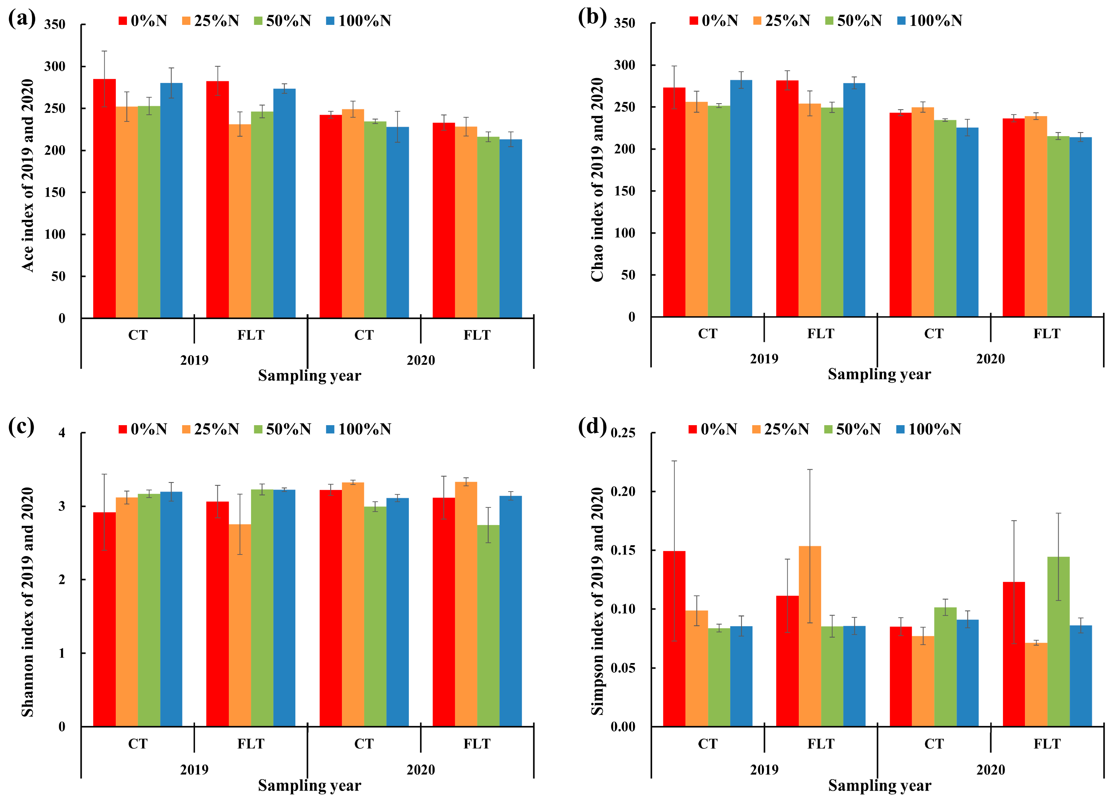
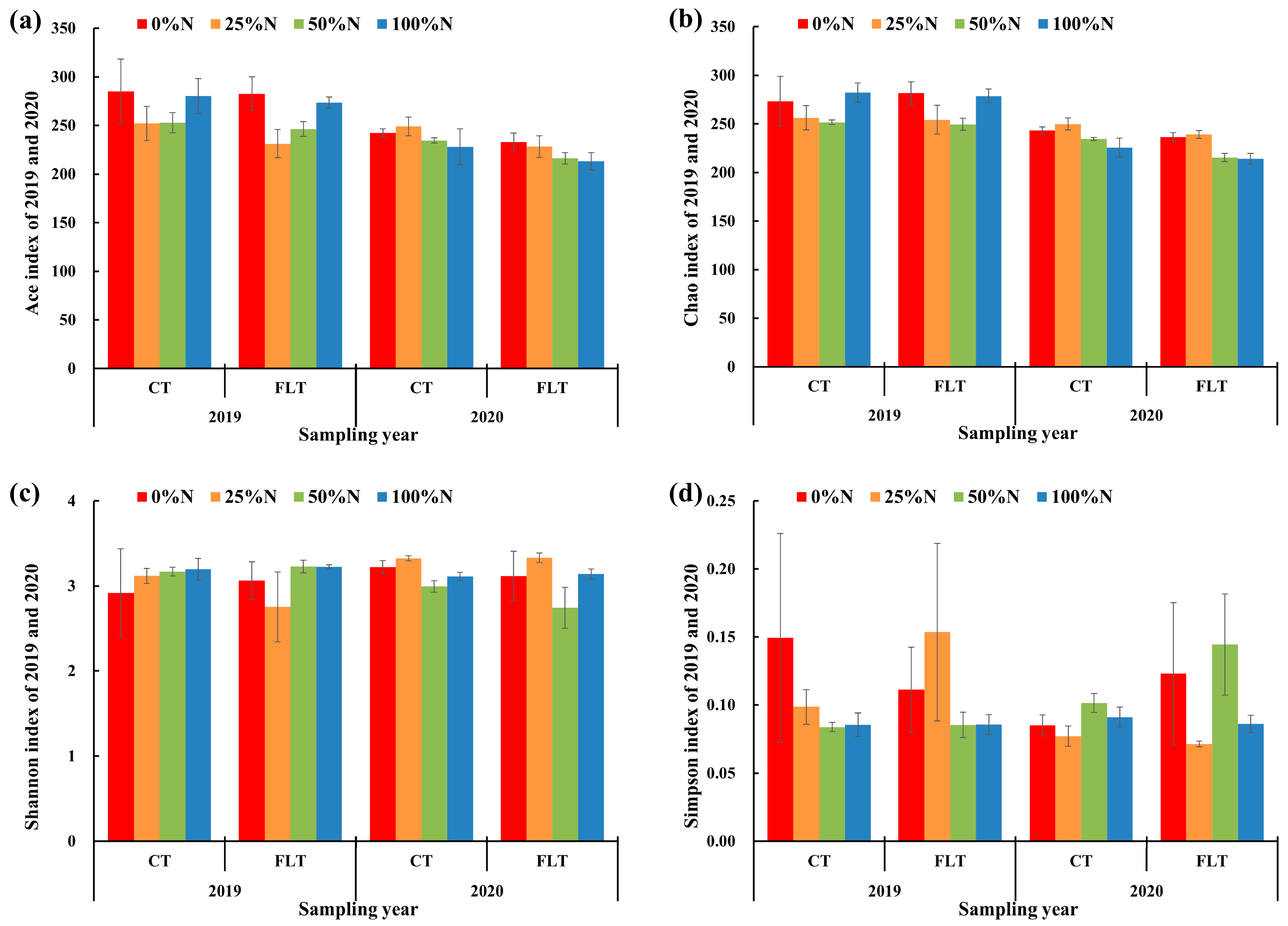
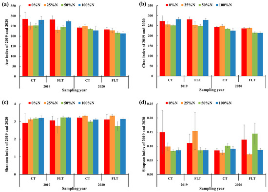
3.2. Alpha Diversity of Cassava Rhizosphere Soil Fungi
3.3. Fungal Community Structure and Composition in Cassava Rhizosphere Soil
3.4. Beta Diversity Analysis of Cassava Rhizosphere Soil Fungi
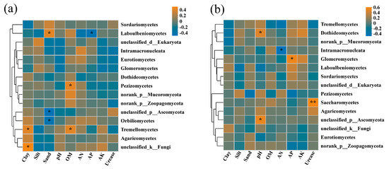
3.5. Association Analysis of Soil Fungi Community and Environmental Factors in Cassava Rhizosphere
4. Discussion
4.1. Effects of Tillage Method and Nitrogen Application Rate on Rhizosphere Soil Particle Composition
4.2. Effects of Tillage and Nitrogen Application Rate on Soil Fungal Diversity
4.3. Dominant Rhizosphere Fungi of Cassava under Different Tillage Methods and N Application Rates
5. Conclusions
Supplementary Materials
Author Contributions
Funding
Data Availability Statement
Acknowledgments
Conflicts of Interest
Abbreviations
| FLT | Fenlong tillage |
| CT | conventional tillage |
| OM | organic matter |
| AN | available nitrogen |
| AP | available phosphorus |
| AK | available potassium |
| PCoA | principal coordinate analysis |
| NMDS | non-metric multidimensional scaling |
| RDA | analysis of redundancy |
| PCA | principal component analysis |
References
- Wang, Z.; Li, T.; Li, Y.; Zhao, D.; Han, J.; Liu, Y.; Liao, Y. Relationship between the microbial community and catabolic diversity in response to conservation tillage. Soil Tillage Res. 2020, 196, 104431. [Google Scholar] [CrossRef]
- González-Figueroa, S.S.; Covarrubias-Prieto, J.; Aguirre-Mancilla, C.L.; Raya-Pérez, J.C.; Gámez-Vázquez, A.J.; Grageda-Cabrera, O.A. Time-course of soil microbial communities in different tillage and crop rotation systems. Chil. J. Agric. Res. 2020, 80, 650–660. [Google Scholar] [CrossRef]
- Kobierski, M.; Lemanowicz, J.; Wojewódzki, P.; Kondratowicz-Maciejewska, K. The Effect of Organic and Conventional Farming Systems with Different Tillage on Soil Properties and Enzymatic Activity. Agronomy 2020, 10, 1809. [Google Scholar] [CrossRef]
- Li, Y.; Wang, Z.; Li, T.; Zhao, D.; Han, J.; Liao, Y. Wheat rhizosphere fungal community is affected by tillage and plant growth. Agric. Ecosyst. Environ. 2021, 317, 107475. [Google Scholar] [CrossRef]
- Allah, W. Improving maize productivity through tillage and nitrogen management. Afr. J. Biotechnol. 2011, 10, 19025–19034. [Google Scholar] [CrossRef]
- Shahzad, M.; Farooq, M.; Jabran, K.; Yasir, T.A.; Hussain, M. Influence of Various Tillage Practices on Soil Physical Properties and Wheat Performance in Different Wheat-Based Cropping Systems. Int. J. Agric. Biol. 2016, 18, 821–829. [Google Scholar] [CrossRef]
- Zhang, W.F.; Yang, S.Q.; Jin, Y.H.; Liu, P.; Lou, S. The effects of straw mulching combined with nitrogen applications on the root distributions and nitrogen utilization efficiency of summer maize. Sci. Rep. 2020, 10, 21082. [Google Scholar] [CrossRef]
- Cui, N.; Cai, M.; Zhang, X.; Abdelhafez, A.A.; Zhou, L.; Sun, H.; Chen, G.; Zou, G.; Zhou, S. Runoff loss of nitrogen and phosphorus from a rice paddy field in the east of China: Effects of long-term chemical N fertilizer and organic manure applications. Glob. Ecol. Conserv. 2020, 22, e01011. [Google Scholar] [CrossRef]
- Sanaullah, M.; Usman, M.; Wakeel, A.; Cheema, S.A.; Ashraf, I.; Farooq, M. Terrestrial ecosystem functioning affected by agricultural management systems: A review. Soil Tillage Res. 2020, 196, 104464. [Google Scholar] [CrossRef]
- Brussaard, L.; de Ruiter, P.C.; Brown, G.G. Soil biodiversity for agricultural sustainability. Agric. Ecosyst. Environ. 2007, 121, 233–244. [Google Scholar] [CrossRef]
- Sun, B.; Zhang, L.; Yang, L.; Zhang, F.; Norse, D.; Zhu, Z. Agricultural non-point source pollution in China: Causes and mitigation measures. Ambio 2012, 41, 370–379. [Google Scholar] [CrossRef]
- Qu, Z.-m.; Qi, X.-c.; Wang, J.; Chen, Q.; Li, C.-l. Effects of nitrogen application rate and topdressing times on yield and quality of Chinese cabbage and soil nitrogen dynamics. Env. Pollut. Bioavail. 2018, 31, 1–8. [Google Scholar] [CrossRef]
- Joergensen, R.; Wichern, F. Quantitative assessment of the fungal contribution to microbial tissue in soil. Soil Biol. Biochem. 2008, 40, 2977–2991. [Google Scholar] [CrossRef]
- Wood, J.R.; Dickie, I.A.; Moeller, H.V.; Peltzer, D.A.; Bonner, K.I.; Rattray, G.; Wilmshurst, J.M.; Gibson, D. Novel interactions between non-native mammals and fungi facilitate establishment of invasive pines. J. Ecol. 2015, 103, 121–129. [Google Scholar] [CrossRef]
- Frac, M.; Hannula, S.E.; Belka, M.; Jedryczka, M. Fungal Biodiversity and Their Role in Soil Health. Front. Microbiol. 2018, 9, 707. [Google Scholar] [CrossRef]
- Bani, A.; Pioli, S.; Ventura, M.; Panzacchi, P.; Borruso, L.; Tognetti, R.; Tonon, G.; Brusetti, L. The role of microbial community in the decomposition of leaf litter and deadwood. Appl. Soil Ecol. 2018, 126, 75–84. [Google Scholar] [CrossRef]
- Li, X.; Qu, Z.; Zhang, Y.; Ge, Y.; Sun, H. Soil Fungal Community and Potential Function in Different Forest Ecosystems. Diversity 2022, 14, 520. [Google Scholar] [CrossRef]
- Wang, Z.; Chen, Q.; Liu, L.; Wen, X.; Liao, Y. Responses of soil fungi to 5-year conservation tillage treatments in the drylands of northern China. Appl. Soil Ecol. 2016, 101, 132–140. [Google Scholar] [CrossRef]
- Schmidt, R.; Mitchell, J.; Scow, K. Cover cropping and no-till increase diversity and symbiotroph: Saprotroph ratios of soil fungal communities. Soil Biol. Biochem. 2019, 129, 99–109. [Google Scholar] [CrossRef]
- Wang, Z.; Li, T.; Wen, X.; Liu, Y.; Han, J.; Liao, Y.; DeBruyn, J.M. Fungal Communities in Rhizosphere Soil under Conservation Tillage Shift in Response to Plant Growth. Front. Microbiol. 2017, 8, 1301. [Google Scholar] [CrossRef]
- Li, Y.; Song, D.; Liang, S.; Dang, P.; Qin, X.; Liao, Y.; Siddique, K.H.M. Effect of no-tillage on soil bacterial and fungal community diversity: A meta-analysis. Soil Tillage Res. 2020, 204, 104721. [Google Scholar] [CrossRef]
- Galazka, A.; Grzadziel, J. Fungal Genetics and Functional Diversity of Microbial Communities in the Soil under Long-Term Monoculture of Maize Using Different Cultivation Techniques. Front. Microbiol. 2018, 9, 76. [Google Scholar] [CrossRef] [PubMed]
- Paungfoo-Lonhienne, C.; Yeoh, Y.K.; Kasinadhuni, N.R.; Lonhienne, T.G.; Robinson, N.; Hugenholtz, P.; Ragan, M.A.; Schmidt, S. Nitrogen fertilizer dose alters fungal communities in sugarcane soil and rhizosphere. Sci. Rep. 2015, 5, 8678. [Google Scholar] [CrossRef]
- Zhou, J.; Jiang, X.; Zhou, B.; Zhao, B.; Ma, M.; Guan, D.; Li, J.; Chen, S.; Cao, F.; Shen, D.; et al. Thirty four years of nitrogen fertilization decreases fungal diversity and alters fungal community composition in black soil in northeast China. Soil Biol. Biochem. 2016, 95, 135–143. [Google Scholar] [CrossRef]
- Li, Y.N.; Wang, T.Y.; Wang, C.Y.; Li, M.S.; Wang, Y.; Liu, S.X. Responses of Soil Rhizosphere Fungi to N Application Levels in Different Types of Soil. Appl. Ecol. Environ. Res. 2021, 19, 1645–1659. [Google Scholar] [CrossRef]
- Zhai, L.; Xu, P.; Zhang, Z.; Wei, B.; Jia, X.; Zhang, L. Improvements in Grain Yield and Nitrogen Use Efficiency of Summer Maize by Optimizing Tillage Practice and Nitrogen Application Rate. Agron. J. 2019, 111, 666–676. [Google Scholar] [CrossRef]
- Zhai, L.; Xu, P.; Zhang, Z.; Li, S.; Xie, R.; Zhai, L.; Wei, B. Effects of deep vertical rotary tillage on dry matter accumulation and grain yield of summer maize in the Huang-Huai-Hai Plain of China. Soil Tillage Res. 2017, 170, 167–174. [Google Scholar] [CrossRef]
- Li, X.; Wei, B.; Xu, X.; Zhou, J. Effect of Deep Vertical Rotary Tillage on Soil Properties and Sugarcane Biomass in Rainfed Dry-Land Regions of Southern China. Sustainability 2020, 12, 10199. [Google Scholar] [CrossRef]
- Bai, Z.; Liu, H.; Wang, T.; Gong, P.; Li, H.; Li, L.; Xue, B.; Cao, M.; Feng, J.; Xu, Y. Effect of Smashing Ridge Tillage Depth on Soil Water, Salinity, and Yield in Saline Cotton Fields in South Xinjiang, China. Water 2021, 13, 3592. [Google Scholar] [CrossRef]
- Nie, S.; Egrinya, E.A.; Huang, S.; Zhang, S.; Zhang, Q.; Zhang, Y.; Wei, B. Smash-ridging tillage increases wheat yield and yield components in the Huai-He valley, China. J. Food Agric. Environ. 2013, 11, 453–455. [Google Scholar]
- Zhang, J.; Li, F.; Liao, P.; Khan, A.; Hussain, I.; Iqbal, A.; Ali, I.; Wei, B.; Jiang, L. Smash ridge tillage strongly influence soil functionality, physiology and rice yield. Saudi J. Biol. Sci. 2021, 28, 1297–1307. [Google Scholar] [CrossRef] [PubMed]
- Duan, M.; Long, Y.; Fan, H.; Ma, L.; Han, S.; Li, S.; Wei, B.; Wang, L. Fenlong-Ridging Promotes Microbial Activity in Sugarcane: A Soil and Root Metabarcoding Survey. Agriculture 2022, 12, 244. [Google Scholar] [CrossRef]
- Liu, H.; Pan, F.-j.; Han, X.-z.; Song, F.-b.; Zhang, Z.-m.; Yan, J.; Xu, Y.-l. A comprehensive analysis of the response of the fungal community structure to long-term continuous cropping in three typical upland crops. J. Integr. Agric. 2020, 19, 866–880. [Google Scholar] [CrossRef]
- Yu, X.; Keitel, C.; Zhang, Y.; Wangeci, A.N.; Dijkstra, F.A. Global meta-analysis of nitrogen fertilizer use efficiency in rice, wheat and maize. Agric. Ecosyst. Environ. 2022, 338, 108089. [Google Scholar] [CrossRef]
- Zhang, B.; He, H.; Ding, X.; Zhang, X.; Zhang, X.; Yang, X.; Filley, T.R. Soil microbial community dynamics over a maize (Zea mays L.) growing season under conventional-and no-tillage practices in a rainfed agroecosystem. Soil Tillage Res. 2012, 124, 153–160. [Google Scholar] [CrossRef]
- Tan, G.; Liu, Y.; Peng, S.; Yin, H.; Meng, D.; Tao, J.; Gu, Y.; Li, J.; Yang, S.; Xiao, N.; et al. Soil potentials to resist continuous cropping obstacle: Three field cases. Environ. Res. 2021, 200, 111319. [Google Scholar] [CrossRef] [PubMed]
- Qin, S.; Yeboah, S.; Cao, L.; Zhang, J.; Shi, S.; Liu, Y. Breaking continuous potato cropping with legumes improves soil microbial communities, enzyme activities and tuber yield. PLoS ONE 2017, 12, e0175934. [Google Scholar] [CrossRef]
- She, S.; Niu, J.; Zhang, C.; Xiao, Y.; Chen, W.; Dai, L.; Liu, X.; Yin, H. Significant relationship between soil bacterial community structure and incidence of bacterial wilt disease under continuous cropping system. Arch. Microbiol. 2016, 199, 267–275. [Google Scholar] [CrossRef]
- Shen, Z.; Li, Y.; Zhou, J.; Lao, C.; Zhou, L.; Wei, B.; Huang, J.; Wei, Y. Effect of fertiliser reduction on cassava yield and quality under Fenlong tillage. Soil Fertil. Sci. China 2022, 2, 99–105. [Google Scholar] [CrossRef]
- Wang, M.; Pendall, E.; Fang, C.M.; Li, B.; Nie, M. A global perspective on agroecosystem nitrogen cycles after returning crop residue. Agric. Ecosyst. Environ. 2018, 266, 49–54. [Google Scholar] [CrossRef]
- Bao, S. Soil and Agricultural Chemistry Analysis, 3rd ed.; China Agriculture Press: Beijing, China, 2000. [Google Scholar]
- Qin, S.-H.; Cao, L.; Zhang, J.-L.; Wang, D.; Wang, D. Soil nutrient availability and microbial properties of a potato field under ridge-furrow and plastic mulch. Arid Land Res. Manag. 2016, 30, 181–192. [Google Scholar] [CrossRef]
- Borneman, J.; Hartin, R. PCR primers that amplify fungal rRNA genes from environmental samples. Appl. Environ. Microbiol. 2000, 66, 4356–4360. [Google Scholar] [CrossRef] [PubMed]
- Hinsinger, P.; Bengough, A.G.; Vetterlein, D.; Young, I.M. Rhizosphere: Biophysics, biogeochemistry and ecological relevance. Plant Soil 2009, 321, 117–152. [Google Scholar] [CrossRef]
- Lambers, H.; Mougel, C.; Jaillard, B.; Hinsinger, P. Plant-microbe-soil interactions in the rhizosphere: An evolutionary perspective. Plant Soil 2009, 321, 83–115. [Google Scholar] [CrossRef]
- Hwang, S.I.; Powers, S.E. Using particle-size distribution models to estimate soil hydraulic properties. Soil Sci. Soc. Am. J. 2003, 67, 1103–1112. [Google Scholar] [CrossRef]
- Wang, D.; Fu, B.; Zhao, W.; Hu, H.; Wang, Y. Multifractal characteristics of soil particle size distribution under different land-use types on the Loess Plateau, China. Catena 2008, 72, 29–36. [Google Scholar] [CrossRef]
- Ruan, R.; Zhang, Z.; Tu, R.; Wang, Y.; Xiong, P.; Li, W.; Chen, H. Variable responses of soil pore structure to organic and inorganic fertilization in a Vertisol. Int. Agrophys. 2021, 35, 221–225. [Google Scholar] [CrossRef]
- Jiang, Y.; Liang, Y.; Li, C.; Wang, F.; Sui, Y.; Suvannang, N.; Zhou, J.; Sun, B. Crop rotations alter bacterial and fungal diversity in paddy soils across East Asia. Soil Biol. Biochem. 2016, 95, 250–261. [Google Scholar] [CrossRef]
- Griffiths, B.S.; Philippot, L. Insights into the resistance and resilience of the soil microbial community. FEMS Microbiol. Rev. 2013, 37, 112–129. [Google Scholar] [CrossRef]
- Zhang, K.; Adams, J.M.; Shi, Y.; Yang, T.; Sun, R.; He, D.; Ni, Y.; Chu, H. Environment and geographic distance differ in relative importance for determining fungal community of rhizosphere and bulk soil. Environ. Microbiol. 2017, 19, 3649–3659. [Google Scholar] [CrossRef]
- Li, T.; Li, Y.; Wang, S.; Wang, Z.; Liu, Y.; Wen, X.; Mo, F.; Han, J.; Liao, Y. Assessing synergistic effects of crop rotation pattern, tillage practice, and rhizosphere effect on soil bacterial community structure and assembly in China’s Loess Plateau farmlands. Appl. Soil Ecol. 2022, 174, 104411. [Google Scholar] [CrossRef]
- Hazard, C.; Gosling, P.; van der Gast, C.J.; Mitchell, D.T.; Doohan, F.M.; Bending, G.D. The role of local environment and geographical distance in determining community composition of arbuscular mycorrhizal fungi at the landscape scale. ISME J. 2013, 7, 498–508. [Google Scholar] [CrossRef] [PubMed]
- Zhang, Y.; Dai, S.; Huang, X.; Zhao, Y.; Zhao, J.; Cheng, Y.; Cai, Z.; Zhang, J. pH-induced changes in fungal abundance and composition affects soil heterotrophic nitrification after 30 days of artificial pH manipulation. Geoderma 2020, 366, 114255. [Google Scholar] [CrossRef]
- Zhao, X.; Tian, P.; Liu, S.; Sun, Z.; Zeng, Z.; Wang, Q. Cunninghamia lanceolata and understory ferns had positive rhizosphere effects on the temperature sensitivity of soil microbial respiration in a subtropical forest. Geoderma 2022, 408, 115593. [Google Scholar] [CrossRef]
- Freedman, Z.B.; Romanowicz, K.J.; Upchurch, R.A.; Zak, D.R. Differential responses of total and active soil microbial communities to long-term experimental N deposition. Soil Biol. Biochem. 2015, 90, 275–282. [Google Scholar] [CrossRef]
- Thanni, B.; Merckx, R.; De Bauw, P.; Boeraeve, M.; Peeters, G.; Hauser, S.; Honnay, O. Spatial variability and environmental drivers of cassava-arbuscular mycorrhiza fungi (AMF) associations across Southern Nigeria. Mycorrhiza 2022, 32, 1–13. [Google Scholar] [CrossRef] [PubMed]
- Carretero, C.L.; Cantos, M.; García, J.L.; Azcón, R.; Troncoso, A. Growth Responses of Micropropagated Cassava Clones as Affected by Glomus Intraradices Colonization. J. Plant Nutr. 2009, 32, 261–273. [Google Scholar] [CrossRef]
- Sieverding, E.; Toro, S.T. Effect of mixing VAM inoculum with fertilizers on cassava nutrition and VAM fungal association. Agric. Ecosyst. Environ. 1990, 29, 397–401. [Google Scholar] [CrossRef]
- De Bauw, P.; Birindwa, D.; Merckx, R.; Boeraeve, M.; Munyahali, W.; Peeters, G.; Bolaji, T.; Honnay, O. Improved genotypes and fertilizers, not fallow duration, increase cassava yields without compromising arbuscular mycorrhizal fungus richness or diversity. Mycorrhiza 2021, 31, 483–496. [Google Scholar] [CrossRef]
- Cai, J.; Zhang, J.; Ding, Y.; Yu, S.; Lin, H.; Yuan, Z.; Li, K.; Ou, W.; Chen, S. Different Fertilizers Applied Alter Fungal Community Structure in Rhizospheric Soil of Cassava (Manihot esculenta Crantz) and Increase Crop Yield. Front. Microbiol. 2021, 12, 663781. [Google Scholar] [CrossRef]
- Anderson, I.C.; Campbell, C.D.; Prosser, J.I. Potential bias of fungal 18S rDNA and internal transcribed spacer polymerase chain reaction primers for estimating fungal biodiversity in soil. Environ. Microbiol. 2003, 5, 36–47. [Google Scholar] [CrossRef]
- Barbara, D.J.; Clewes, E. Plant pathogenic Verticillium species: How many of them are there? Mol. Plant Pathol. 2003, 4, 297–305. [Google Scholar] [CrossRef] [PubMed]
- Daly, A.B.; Jilling, A.; Bowles, T.M.; Buchkowski, R.W.; Frey, S.D.; Kallenbach, C.M.; Keiluweit, M.; Mooshammer, M.; Schimel, J.P.; Grandy, A.S. A holistic framework integrating plant-microbe-mineral regulation of soil bioavailable nitrogen. Biogeochemistry 2021, 154, 211–229. [Google Scholar] [CrossRef] [PubMed]
- Huang, R.; Zhang, Z.; Xiao, X.; Zhang, N.; Wang, X.; Yang, Z.; Xu, K.; Liang, Y. Structural changes of soil organic matter and the linkage to rhizosphere bacterial communities with biochar amendment in manure fertilized soils. Sci. Total Environ. 2019, 692, 333–343. [Google Scholar] [CrossRef] [PubMed]
- Yan, M.; Pan, G.; Lavallee, J.M.; Conant, R.T. Rethinking sources of nitrogen to cereal crops. Glob. Chang. Biol. 2020, 26, 191–199. [Google Scholar] [CrossRef]
- Yang, W.; Qin, F.; Liu, Y.; Han, X.; Zhou, Z.; Wei, M.; Shen, Z.; Wei, B. Effects of Fenlong Tillage and Reducing Nitrogen Treatment on Soil Greenhouse Gas Emissions and Soil Enzyme Activities in Cassava Field. J. South. Agric. 2021, 52, pp. 2426–2437. Available online: https://kns.cnki.net/kcms/detail/45.1381.S.20210510.1322.002.html (accessed on 10 May 2021).







| Year | Treatment | Clay (%) | Silt (%) | Sand (%) | |
|---|---|---|---|---|---|
| Tillage Method | N Application Rate | <0.002 mm | 0.002–0.05 mm | 0.05–2.0 mm | |
| 2019 | Conventional tillage (CT) | 0% N | 18.38 ± 0.21 e | 57.96 ± 0.29 b | 23.65 ± 0.50 a |
| 25% N | 16.26 ± 0.14 f | 59.86 ± 0.58 b | 23.88 ± 0.72 a | ||
| 50% N | 17.37 ± 0.09 ef | 65.65 ± 0.56 a | 16.98 ± 0.65 c | ||
| 100% N | 22.64 ± 1.02 bc | 58.76 ± 1.87 b | 18.60 ± 0.86 bc | ||
| Mean | 18.67 | 60.56 | 20.78 | ||
| Fenlong tillage (FLT) | 0% N | 19.38 ± 0.93 de | 58.38 ± 1.48 b | 22.23 ± 0.77 ab | |
| 25% N | 20.76 ± 2.40 cd | 56.45 ± 0.31 bc | 22.79 ± 2.12 a | ||
| 50% N | 23.22 ± 0.38 b | 58.07 ± 2.66 b | 18.72 ± 2.30 bc | ||
| 100% N | 29.20 ± 1.45 a | 52.98 ± 4.79 c | 17.82 ± 4.74 c | ||
| Mean | 23.14 | 56.47 | 20.39 | ||
| 2020 | CT | 0% N | 31.35 ± 2.47 a | 46.50 ± 1.16 d | 22.15 ± 2.45 a |
| 25% N | 26.90 ± 0.26 b | 58.71 ± 1.62 ab | 14.39 ± 1.71 bc | ||
| 50% N | 31.96 ± 0.87 a | 51.05 ± 6.67 cd | 16.99 ± 6.19 abc | ||
| 100% N | 19.54 ± 0.27 d | 61.02 ± 0.48 ab | 19.43 ± 0.73 bc | ||
| Mean | 27.44 | 54.32 | 18.24 | ||
| FLT | 0% N | 26.64 ± 0.33 b | 56.48 ± 1.63 bc | 16.88 ± 1.61 abc | |
| 25% N | 23.46 ± 0.39 c | 63.52 ± 3.76 a | 13.02 ± 3.38 c | ||
| 50% N | 27.54 ± 0.21 b | 56.02 ± 1.72 bc | 16.44 ± 1.53 abc | ||
| 100% N | 24.53 ± 0.19 c | 58.88 ± 4.15 ab | 16.60 ± 4.34 abc | ||
| Mean | 25.54 | 58.08 | 15.74 | ||
| Paired t-test of 2019 (CT vs. FLT) | T-value | −5.678 | 3.357 | 0.454 | |
| df | 11 | 11 | 11 | ||
| p | *** | * | ns | ||
| Paired t-test of 2020 (CT vs. FLT) | T-value | 1.508 | −2.448 | 1.907 | |
| df | 11 | 11 | 11 | ||
| p | ns | * | ns | ||
| Paired t-test of CT (2019 vs. 2020) | T-value | −4.111 | 2.701 | 1.655 | |
| df | 11 | 11 | 11 | ||
| p | ** | * | ns | ||
| Paired t-test of FLT (2019 vs. 2020) | T-value | −1.735 | −1.248 | 3.000 | |
| df | 11 | 11 | 11 | ||
| p | ns | ns | * | ||
| Year | Factor | Richness Estimators | Diversity Indices | |||
|---|---|---|---|---|---|---|
| Ace | Chao | Shannon | Simpson | |||
| 2019 | Tillage (T) | MS | 497.1 ns | 0.241 ns | 0.007 ns | 0 ns |
| Nitrogen (N) | MS | 2519.5 ns | 1393.4 ns | 0.119 ns | 0.004 ns | |
| T × N | MS | 99.2 ns | 46.6 ns | 0.077 ns | 0.002 ns | |
| 2020 | T | MS | 1485.1 * | 857.5 ns | 0.039 ns | 0.002 ns |
| N | MS | 482.7 ns | 832.7 ns | 0.219 * | 0.003 ns | |
| T × N | MS | 37.8 ns | 39.2 ns | 0.025 ns | 0.001 ns | |
| Paired t-test of 2019 (CT vs. FLT) | T-value | 1.099 | −0.023 | 0.189 | −0.173 | |
| df | 11 | 11 | 11 | 11 | ||
| p | ns | ns | ns | ns | ||
| Paired t-test of 2020 (CT vs. FLT) | T-value | 2.878 | 2.478 | 0.994 | −1.218 | |
| df | 11 | 11 | 11 | 11 | ||
| p | * | * | ns | ns | ||
Disclaimer/Publisher’s Note: The statements, opinions and data contained in all publications are solely those of the individual author(s) and contributor(s) and not of MDPI and/or the editor(s). MDPI and/or the editor(s) disclaim responsibility for any injury to people or property resulting from any ideas, methods, instructions or products referred to in the content. |
© 2023 by the authors. Licensee MDPI, Basel, Switzerland. This article is an open access article distributed under the terms and conditions of the Creative Commons Attribution (CC BY) license (https://creativecommons.org/licenses/by/4.0/).
Share and Cite
Li, L.; Shen, Z.; Qin, F.; Yang, W.; Zhou, J.; Yang, T.; Han, X.; Wang, Z.; Wei, M. Effects of Tillage and N Applications on the Cassava Rhizosphere Fungal Communities. Agronomy 2023, 13, 237. https://doi.org/10.3390/agronomy13010237
Li L, Shen Z, Qin F, Yang W, Zhou J, Yang T, Han X, Wang Z, Wei M. Effects of Tillage and N Applications on the Cassava Rhizosphere Fungal Communities. Agronomy. 2023; 13(1):237. https://doi.org/10.3390/agronomy13010237
Chicago/Turabian StyleLi, Liangwu, Zhangyou Shen, Fengyan Qin, Weixian Yang, Jia Zhou, Taiyi Yang, Xiao Han, Ziting Wang, and Maogui Wei. 2023. "Effects of Tillage and N Applications on the Cassava Rhizosphere Fungal Communities" Agronomy 13, no. 1: 237. https://doi.org/10.3390/agronomy13010237
APA StyleLi, L., Shen, Z., Qin, F., Yang, W., Zhou, J., Yang, T., Han, X., Wang, Z., & Wei, M. (2023). Effects of Tillage and N Applications on the Cassava Rhizosphere Fungal Communities. Agronomy, 13(1), 237. https://doi.org/10.3390/agronomy13010237

