Next Article in Journal
Post-Soviet Transformations in Russian Rural Areas: The Role of Institutions
Previous Article in Journal
Resource Use and Environmental Impacts of Seed and Vegetative Globe Artichoke Production in Mediterranean Environments: A Cradle-to-Farm Gate Analysis
 
 
Font Type:
Arial Georgia Verdana
Font Size:
Aa Aa Aa
Line Spacing:
Column Width:
Background:
Article

Seasonal Dynamics of CO2 Fluxes in Two Central-Russian Agroecosystems with Contrasting Ecological and Agronomic Conditions

by
Joulia Meshalkina
1,2,
Alexis Yaroslavtsev
2,*,
Ivan Vasenev
2 and
Riccardo Valentini
2,3
1
Soil Science Faculty, Moscow Lomonosov State University, Leninskye Gory 1/12, 119991 Moscow, Russia
2
Ecology Department, Russian State Agrarian University-Moscow Timiryazev Agricultural Academy, Timiryazevskaya St. 49, 127550 Moscow, Russia
3
Department for Innovation in Biological, Agro-Food and Forest Systems, University of Tuscia, Via S.M. in Gradi n.4, 01100 Viterbo, Italy
*
Author to whom correspondence should be addressed.
Agronomy 2022, 12(7), 1606; https://doi.org/10.3390/agronomy12071606
Submission received: 24 March 2022 / Revised: 7 June 2022 / Accepted: 26 June 2022 / Published: 3 July 2022
(This article belongs to the Special Issue The Application of Eddy Covariance in Farming Systems)

Abstract

An eddy covariance (EC) GHG study was conducted at two comparable agroecosystems in the Central region of European Russia. The study was conducted in 2013 at the RTSAU Experimental Field with Umbric Albeluvisols (Moscow) and a private farm field with Chernozems in the Pristen area (Kursk region). Both studies involved barley crops, but the fields differed in climate, soil and technological conditions. Diurnal values of net ecosystem exchange (NEE) were two times higher in Kursk than in Moscow. The higher gross primary production (GPP) in Kursk was characterized by better climate and soil conditions and, partially, by the low intensity practices of semi-organic farming. GPP dynamics of the two agroecosystems were significantly different only during the first 50 days of vegetation; however, NEE seasonal differences persisted throughout the growing period, with the trends changing until the end of barley ripening. General trends for ecosystem respiration and GPP were determined by the crop phase. NEE seasonal dynamics showed that the Chernozem agroecosystem was characterized by an almost 2-fold increase in the range of CO2 fluxes, largely determined by hydrologic regime features. Since yield in Kursk was 50% lower than that in Moscow, it may be concluded that the use of modern fertilizing and crop protection systems converts a larger portion of GPP into yield mass.

1. Introduction

Currently, the entire agri-food system, from farm to fork, is responsible for about 37% of the overall human global greenhouse gases emissions [1]. These estimates include farm production, food processing, indirect emissions from deforestation and food waste. However, the single farm production component still counts for about 16–27% of the total emissions. Recently, a growing interest was shown in carbon sequestration by land, particularly in relation to the forthcoming challenges imposed by the need to reach carbon neutrality by about the middle of the century [2,3]. Soils are the most important component of the biosphere and provide food security for mankind. They also provide regulatory ecosystem services, including the sequestration of atmospheric carbon, thereby contributing to climate regulation at the global and regional levels. Over the past two centuries, global losses of organic carbon in soils were estimated at 8%, as a result of land conversion and inefficient land-use practices alone. Intensive tillage for crop production leads to an increase in the amount of carbon dioxide released into the atmosphere, which exacerbates the greenhouse effect and global warming. Carbon dioxide emissions in more than 123 million hectares of agricultural land in Russia emit 290 million tons per year due to plowing. Russian arable land lost about 2.6 GtC (20%) from its top 0.3 m layer and 3.6 GtC (16%) from its 0–1 m layer [4]. In general, there is significant potential to improve agronomic practices to decrease greenhouse gas emissions from crops and to improve cropland management to sequester additional soil carbon [5]. This can be achieved by implementing practices of conservation agriculture. These are based on the following practices: no till to minimize the impact on soils, constant covering of soil with crop residues and cover crops, as well as extensive use of biological methods, namely humic substances, entomophages, bees, bacterial and fungal products, etc. Such practices can be implemented on all types of soils, in all climatic conditions, regardless of the size of farms and agricultural practices [4]. At the same time, climate variability can determine a source of carbon emissions to the atmosphere and undermine the carbon sequestration potential of agricultural soil [6]. Even though the soil cover of the Russian Federation plays an important role in the global carbon cycle, the main components of the carbon cycle are still poorly investigated and require modern assessment for individual zones and regions of the Russian Federation [4].
Central Russia is the most important region of Russia’s grain production. According to the Ministry of Agriculture in the Russian Federation, the Central Federal District accounts for 16.7% of total sown areas under grains and leguminous plants of Russia and 26% of the gross yield. Barley is second in importance after the wheat crop, which accounts for 19.7% of gross agricultural production [7]. According to existing climate predictions [1] over the next 50 years, the temperature increase in Central Russia will be in the range of 1–1.5 degrees in the case of an optimistic forecast (RCP 2.0) and 2–3 degrees in the case of a pessimistic forecast (RCP 8.5). Rainfall will increase by 10–25 mm per year, according to the two RCP scenarios, respectively. Thus, Central Russia even in case of a pessimistic forecast, will remain in a favorable zone (medium and good) for cereal cultivation and new intensive cultivated land will become available [8]. Thus, it is important to obtain more information on cropping systems in relation to climatic conditions, particularly since the European part of Central Russia shows a pronounced climate gradient from North to South becoming progressively drier and hotter. The static chamber method is the most common method in Russia for CO2 flux assessment, so only soil respiration is measured directly, while NEE is assessed by NPP direct estimation [9]. Current developments in the eddy covariance methodology for investigating carbon fluxes at the ecosystem level make it possible, today, to understand the overall carbon budget and its separate components, namely photosynthesis and respiration, in relation to seasonal climate and crop phenology [10]. Most eddy covariance studies in Russia focused on forest ecosystems and Central Russia is still one of the less GHG-investigated European areas [11], especially in the case of agroecosystem monitoring. Thus, the most complete study of the terrestrial carbon budget of Russia is based, among other things, on 14 eddy covariance stations, none of which represent active agroecosystems, and Central Russia being represented by a tower located in the spruce forest near Tver (about 100 km north of Moscow) [12]. In this study, we set up a pair of EC flux towers to measure net ecosystem exchange (NEE) at two representative agroecosystems of Central Russia belonging to different climate and soil zones, and technological conditions, but both with the same barley crop.
The objective of this study was to analyze the carbon balance determinants and their diurnal and seasonal variations in two barley fields located within two contrasting agroclimatic zones in Central Russia, in the Moscow and Kursk regions, which span a latitudinal gradient of about 600 km from North to South. At the same time, we wanted to analyze the interplay of climate conditions and agronomic practices, since the two sites also represent different Russian agronomic models: a highly intensive and environmental impact system in Moscow, and a lower input and more sustainable one in Kursk—often referred to in Russia as “semiorganic farming”. Our investigation attempted to elucidate the trade-offs between favorable climatic conditions in low intensity cultivation (Kursk) and the less favorable climate with better crop technologies (Moscow), in the light of sustainable production.

2. Materials and Methods

The research was carried out in 2013 on two sites in the Moscow region and in the Kursk region of Russia. The first site (the Moscow site) was situated at the Precision Farming Experimental Field of the Russian Timiryazev State Agricultural University (RTSAU: 55°50′14″ N, 37°33′56″ E), situated in Moscow, Russia. This area belongs to the climate zone of south taiga. The experimental site has a temperate and continental climate with distinctive seasons. The mean annual temperature is 3.8 °C, with minimum and maximum mean temperatures of −6 °C in January and 18.5 °C in July, respectively. The growing season shows an average daily temperature greater than 5 °C and typically lasts for 175 days. The average annual precipitation is 550–650 mm: two-thirds of the precipitation is in the form of rain and one third is in the form of snow. Nearly 40% of the precipitation falls during the cold period between November and March, and the other 60% falls during April to October. The soil type is Umbric Albeluvisols (arable sod-podzolic soils under Russian soil classification), and the topsoil texture is mainly sandy loam. Arable sod-podzolic soils have around 1% SOC, 5.4 pH (KCl) and NPK medium-enhanced contents. The natural vegetation in this area consists of mixed forests of the temperate climate.
The second site (the Kursk site) was located on a farmer’s agricultural field near the urban settlement of Pristen (51°8′44″ N, 36°30′22″ E), located in the Kursk region of Russia. The Kursk site is situated in south of the Moscow site at a distance of about 600 km. The area belongs to the climate zone of forest-steppe. The second experimental also site has a temperate and continental climate with distinctive seasons. The mean annual temperature is much higher (4.6 °C), with minimum and maximum mean temperatures of −6 °C in January and 20.5 °C in July, respectively. The growing season lasts for 196 days: from 7 April to 22 October. The average annual precipitation is approximately the same: 550–600 mm. The distribution of precipitations is about the same as in the Moscow region, but long dry periods are common in the summer. The soil type is Chernozems Luvic (arable leached deep chernozems on loess-like loam under Russian soil classification), and the topsoil texture is mainly clay loam. Chernozems are very fertile soils: in this region they have 3.6–3.8% SOC, 5.5–6.0 pH (H2O) and NPK high-enhanced contents. The natural vegetation in this area consists of forb meadow-steppe associations and deciduous forests in the beams. The total field areas at the Moscow and Kursk sites were 1.55 and 80.84 ha, respectively.
The two barley crop fields are characterized by different climate conditions, but they also represent differences in agronomic practices. The Moscow field was used for barley planting (Hordeum vulgare L., breed Mihailovsky). Sowing was in early May 2013 and harvest was on 14 August. The field was treated with a 0.4 kg/ha herbicide mix (florasulam and 2,4-D as the ethylhexyl ester) on 25 May. The yield was estimated on 8 study plots (50 m × 25 m) evenly distributed over the field, which were harvested by combine harvester. Grain yield varied from 3.67 to 4.48 tons per ha, and was, on average, 4.08 tons per ha. This high yield reflects the fact that the field in the Moscow region was cultivated using intensive technology with fertilizers and herbicides. The Kursk field was also used for barley planting (Hordeum vulgare L., breeding line Xanadu). Sowing was on 25 April and harvest was between 14 and 19 August. The Kursk field is cultivated by a small farmer, whose target is profit, so he is interested in maximum yield at minimum cost. At the Kursk field, no herbicides were used in 2013, therefore, weeds accounted for about 50% of the projected cover of the field, which led to a significant reduction in yield. Yield in the entire Kursk field was collected by combine harvester. For the area around the station, a 300 m × 300 m square with the station at the center (Figure 1, B–blue square), the yield was estimated separately from the rest of the field, and the average yield was 2.85 tons per ha. Both breeding lines belong to the mid-ripening malting barley variety. The dates of plant development stage changes were observed in both fields. During our study, the canopy height was 0.00–0.40 m for both sites. The height of crop residues was about 7 cm and similar for both sites. Thus, the two fields not only differ in climate conditions, but they also represent two typical agronomic models of Russia, highly intensive in Moscow and lower input, less intensive, semi-organic in Kursk.
Agroecosystem CO2 fluxes were measured using the eddy covariance (EC) system. The eddy covariance technique is a statistical method to measure and calculate vertical turbulent fluxes of greenhouses gases within atmospheric boundary layers [13]. The 3D wind, gas concentration and other variables are decomposed into mean and fluctuating components. The covariance between the fluctuating components of the vertical wind gas concentration is proportional to the measured flux. The EC method can improve our understanding of C budgets and their relationship with climate and biological variables, since it can provide continuous, long-term flux information integrated at the ecosystem scale [13,14,15].
Eddy covariance and microclimate measurements were conducted at the Moscow research site during the spring and growing season, and continued until the end of the year (March–December). Dates of measurements in Kursk were different. All measurements started on 13 May. Eddy covariance data continued until 11 November, and microclimate measurements stopped on 18 September. The terrain at the two sites is flat with a sufficient fetch to meet the basic assumption for the proper application of the EC technique [16].
EC measurements in fetch-limited conditions can be achieved by shortening the measurement height [16], so that the sampled area can be tuned to the area of interest; an anemometer and gas analyzer were, therefore, installed just above the edge of the roughness layer, at a height 1.4 m. The maximal height of the crops was 0.4 m, so the top edge of the roughness layer had to be lower than 1.2 m. The EC system included a three-axis sonic anemometer (CSAT-3, Campbell Scientific Inc., Logan, UT, USA) and enclosed path infrared gas analyzer (IRGA, LI-7200, Li-COR Inc., Lincoln, NE, USA). The flux data were recorded at 20 Hz by a data logger (CR1000, Campbell Scientific Inc., Logan, UT, USA) at 30 min intervals. Meteorological parameters were measured simultaneously with the same array of sensors, including net radiation (NR01, Hukseflux Thermal Sensors B.V., Delft, The Netherlands), air temperature and relative humidity (HC2S3, Campbell Scientific, Inc., Logan, UT, USA) and heat flux at the depths of 8 cm (HFP01, Hukseflux Thermal Sensors B.V., Delft, The Netherlands). Soil temperature and water content were measured at 3 depths (5, 20 and 50 cm) with a multi-parameter sensor (CS650, Campbell Scientific Inc., Logan, UT, USA). Photosynthetic photon flux density (PPFD) (LI-190SB, Li-Cor Inc., Lincoln, NE, USA) and precipitation (TE525 MM tipping bucket gauge, Texas Electronics, TX, USA) were also measured during the study. All meteorological data were measured every 10 s and then averaged half-hourly. The eddy covariance direct measurements are the net carbon dioxide fluxes, as the balance between photosynthesis and ecosystem respiration, here defined as Net Ecosystem Exchange, NEE.
Raw data were processed using the eddy covariance processing software EddyPro, version 6.2 [17] to determine NEE with an averaged half-hourly period. Data processing followed standard methods and included coordinate rotation with tilt corrections, linear detrending, despiking, time lag corrections, correction of low-pass filtering effects with Moncrieff [18] and Webb–Pearman–Leuning (WPL) [19] correction. Snow melting and canopy growth as affecting surface roughness were included in the model according to the EddyPro standards. Footprint distances (1D footprints) were estimated according to the “simple footprint parameterization” [20] on a half-hourly basis. For the Moscow station, half-hour flux measurements with footprints crossing the border of the field were filtered out. Since for the Kursk field, yield was assessed for the area around the station—a 300 m × 300 m square—with the station at the center, any footprints not fitting in this area were filtered out. Quality-control tests for fluxes (1 to 9 flags) were performed according to Foken [21]. Subsequently, quality filtering was applied to the half-hour flux data according to the following rejection criteria: (1) incomplete half-hour measurements; (2) NEE with quality flag values of 8 or 9; (3) data with the cumulative 70% flux footprint originating outside the footprint borders of the Moscow or Kursk fields, respectively (Figure 1, blue lines); (4) excessive spikes of NEE exceeding 3σ for the half-hour of monthly averaged data. Negative nighttime CO2 fluxes were also removed from the datasets. After post-processing and quality filtering, 48.0% of the CO2 flux data for the tower in Moscow and 53.0% for the tower in Kursk were suitable for analysis. The gaps in PPFD values were filled by linear regression based on the values of the air temperature (R2 = 0.45). The gap-filling of the eddy covariance and meteorological data was performed through methods proposed by the Eddy covariance gap-filling and flux-partitioning tool of the Department of Biogeochemical Integration at the Max Planck Institute for Biogeochemistry–REddyProc [22]. The methods used were similar to Falge et al. [23] but consider both the co-variation of fluxes with meteorological variables and the temporal autocorrelation of the fluxes [24].
A paired samples t-test was used to test the significant differences in diurnal variations of NEE between the tower in Moscow and the tower in Kursk. In all tests, a significance level of 0.05 was used. Quality filtering, flux gap filling and statistical analysis were performed using R language [25].

3. Results

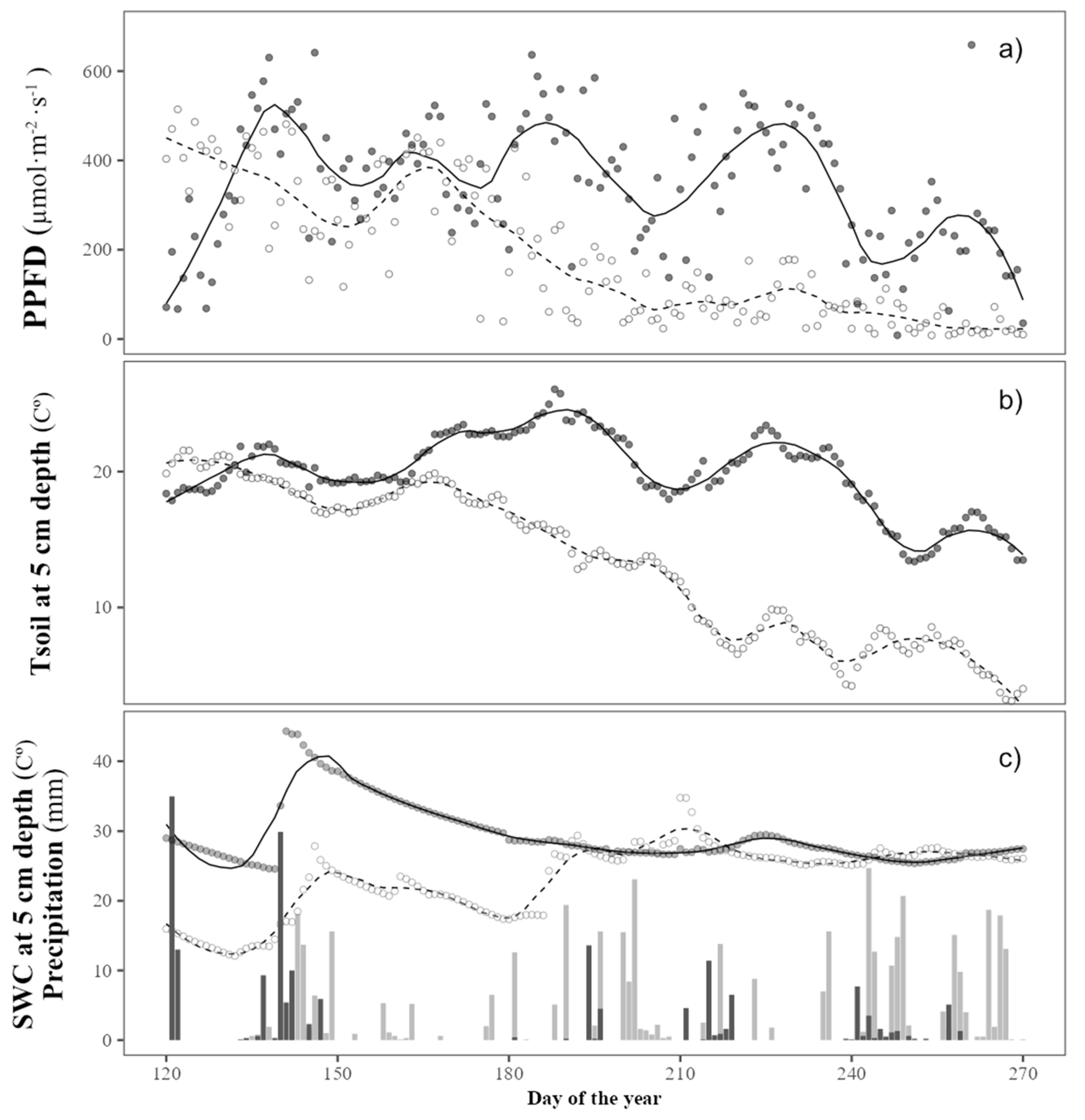
Meteorological and environmental conditions were quite different for the two eddy covariance stations located in the two different climate zones. Since the Kursk field is 600 km south of the Moscow field, higher daily PPFD values were observed for the Kursk field. Summertime modal PPFD values were 600 µmol m−2 s−1 and 400 µmol m−2 s−1 for the Kursk and Moscow fields, respectively (Figure 2a). Nevertheless, daily and seasonal temporal PPFD patterns were similar for both fields. Daily PPFD reached its maximum three times: at the end of May, at the end of June and at the middle of August. There was a sharp decline after the first maximum for a week in mid-June that is typical for the European part of Russia. The average 7-day PPFD started to decrease gradually after the end of August. Minimal average monthly PPFD was registered at both sites during November–December (18 µmol m−2 s−1) and maximal ones were detected in June (414 µmol m−2 s−1) at the Moscow site, and in July (659 µmol m−2 s−1) at the Kursk site. The difference in mean soil temperature at a 5 cm depth was significant for both fields (Figure 2b). The average monthly soil temperature at a 5 cm depth was higher than 15 °C from May to August at the Moscow site, and from April to August at the Kursk site. Monthly precipitation (mm) is presented in Figure 2c. The total precipitation during the growing season was about 200 mm at the Moscow site and about 120 mm at the Kursk site; it is approximately one-third and one-fifth of the total precipitation per year, respectively. The amount and dynamics of precipitation and corresponding soil water content at the studied plots differed distinctly. During the first part of the growing season soil water content (SWC) at the Kursk field was higher, due to the better moisture-retention capacity of chernozem (Figure 2c). The peak of SWC detected at the Kursk field was associated with heavy rain in mid-May. For the Moscow field, the highest SWC was detected at the end of vegetation season in response to repeated rain events.
The NEE diurnal patterns clearly showed significant inter-seasonal and inter-site differences (Figure 3). Diurnal patterns of NEE were considerably higher in amplitude for the Kursk site, which reached the highest NEE peak in May and June. For the Moscow field, NEE values were about zero during March, when the soil was covered with snow. Snowmelt in mid-April did not change the NEE diurnal dynamic much. CO2 fluxes increased after crop emergence in May. The Kursk site showed similar uptake values and dynamics in both May and June. In May, the higher diurnal differences between sites were driven by different crop development stages: in Moscow the phonological phase was from seedling to tillering, while it was milky-wax ripeness in the Kursk field. Maximum CO2 uptake was observed in June, with average values about −15 µmol CO2 m−2 s−1 and −7.5 µmol CO2 m−2 s−1 for the Kursk and Moscow fields, respectively. The NEE moved from a positive value (release) to a negative value (uptake), and CO2 uptake increased from 7:00 h gradually, until peak values were achieved between 11:00 and 14:00 h. CO2 uptake then declined through the afternoon and turned to a release of CO2 after 19:00 h. The duration of positive and negative values changed clearly across different months, because of their differences in photoperiod (the time between sunrise and sunset). Average NEE was negative in June and July for both fields. Low uptake in August can be clearly explained by harvesting. There was no significant uptake or diurnal dynamics of CO2 in autumn and winter. Mean values of CO2 release during this period were about 1 µmol CO2 m−2 s−1 for the Moscow field and about 2.5 µmol CO2 m−2 s−1 for the Kursk field. Significant differences in diurnal variations of NEE between the two eddy covariance stations were found in May, June, July and September. Significant differences in August were observed only for daytime.
During the growing season, daily NEE, Reco (ecosystem respiration) and GPP showed distinct seasonal patterns at both fields (Figure 4), which indicates their responses to the combined effects of climate and zonal field locations. During early May, the daily GPP and Reco values for the Moscow crop site were low; and the daily NEE values at the site were about 1 g C CO2 m−2 d−1 (released CO2 to the atmosphere) (Figure 4). From the middle of May, the NEE started to grow to the value of 2 g C CO2 m−2 d−1. The increase driver was Reco, while GPP was still about zero. The dynamics of all three variables were quite different for the Kursk field because the development of barley, in this case, began earlier: at the beginning of May, the barley was already at the milky-wax ripeness phase, so the daily NEE, Reco and GPP show higher values. With biomass development and temperature increase, the GPP and Reco at these two sites increased gradually and reached their peak values in mid-June for the Moscow field, and in early June for the Kursk field. Simultaneously, the NEE decrease continued until the same dates when it reached its negative peak: −4.0 g C CO2 m−2 d−1 and −6.2 g C CO2 m−2 d−1 for the Moscow and Kursk fields, respectively. The NEE peaks coincided with high PPFD and still high, but decreasing, SWC (Figure 2) for both agroecosystems. The NEE, at the Moscow site, retained approximately the same values until the end of June and started to grow in the beginning of July, reaching its maximal summer values at the beginning of August and then slowly decreasing until the end of the year. At the Kursk site, the NEE started to grow immediately after it had reached its negative peak at the beginning of July; it crossed the zero point at the end of June, after which point only the CO2 release to atmosphere was observed. The NEE showed several positive peaks coinciding with periods of relative warming during the second part of the summer and the beginning of the autumn. The differences in moving average values were significant. The 7-day running average of daily NEE showed the transition from CO2 adsorption to CO2 release to the atmosphere on 30 June for the tower at Kursk and 26 July for the tower in Moscow. From the end of July to the beginning of September, the field in Moscow is characterized by much lower values of daily NEE compared with the Kursk field.
Although the difference in climate zone GPP dynamics was quite similar for both sites, after reaching peak values in mid-June (12 g C CO2 m−2 d−1 for the Kursk field and 7.5 g C CO2 m−2 d−1 for Moscow), the GPP decreased to 1 g C CO2 m−2 d−1 in the middle of August (the time of harvest) for both sites. The GPP pattern showed several local minima on the gradually declining curve, different in amplitude, but coinciding in locations, for both sites. The first minimum was related to the cold snap in mid-June and the second may be explained by the low SWC values due to low precipitation during the period before the second decade of July (Figure 2). Values of daily GPP different from zero during August and the beginning of September may be explained by the photosynthetic activity of stubble in the fields in Moscow and in Kursk, and some weeds remaining after harvesting in the field in Kursk.
The daily Reco values for the Kursk site were constantly above 2.5, and above 3 g C CO2 m−2 d−1 for the Moscow site. However, the daily Reco patterns were similar and matched in dynamic temporal changes. It seems that the depressions are associated with the decreases in SWC and the Reco peaks correspond well with periods of rain.
During September, October and November, values of GPP, Reco and NEE for fields were falling, with the decrease in solar radiation and temperature. Each of these two agroecosystems showed a net CO2 release.
During the growing season, the number of net uptake days for the Kursk and Moscow fields was 85 and 67 days, respectively. The GPP and Reco for the growing season were consistently higher at the Kursk site than at the Moscow site: the cumulative GPPs were 613 g C CO2 m−2 and 334 g C CO2 m−2 (for Kursk and Moscow, respectively) and cumulative Recos were 525 g C CO2 m−2 and 248 g C CO2 m−2 (for Kursk and Moscow, respectively). On the other hand, cumulative NEE were similar (−89 g C CO2 m−2 and −86 g C CO2 m−2, respectively, see Table 1.
GPP, which is directly linked to photosynthesis, is an indicator of biomass production. We have put daily GPP curves together in one plot and have shifted them in order to synchronize the time of planting as the zero time (Figure 5).
Although the difference in climate zone GPP dynamics was quite similar for both sites, after reaching the peak values in mid-June (12 g C m−2 d−1 for the Kursk field and 7.5 g C CO2 m−2 d−1 for Moscow), the GPP decreased to 1 g C m−2 d−1 at the time of harvest for the two sites. This can be explained by the fact that, in mid-June, the barley in Moscow and Kursk was at the stage of grain ripening and the CO2 uptake activity decreased. Thus, the main GPP dynamic driver was the different crop development stage: the Kursk barley was sown earlier and had a longer growing period than the Moscow barley. Furthermore, higher GPP values were also due to better climate and soil parameters in Kursk: higher PPFD, temperature and soil moisture.
Linear mixed modeling was performed to predict GPP dynamics in relation to daily soil temperature at a 5 cm depth, daily photosynthetic available radiation, daily mean soil water content at a 5 cm depth and stages of barley development (see Table 2). Multiple R2 for the models was 0.87 for the Kursk field and 0.88 for the Moscow field. ANOVA shows that the influence of crop stage is much greater than the influence of other parameters, and in Moscow this effect is two times stronger than in Kursk. The GPP in Kursk was strongly influenced by soil water content, due to a long dry period.

4. Discussion

The cumulative NEE, GPP and Reco values calculated throughout the vegetative season (118 and 129 days for Kursk and Moscow, respectively) show that the Kursk field has the higher GPP compared with the Moscow field (613 and 334 g CO2 m−2, respectively) and a higher Reco compared with Moscow (525 and 248 g CO2 m−2, respectively). The differences in GPP and Reco are explained by the more favorable conditions at the Kursk site, due to its mild climate and more available energy radiation. Both GPP and Reco, being higher in Kursk, balance out in terms of carbon sequestration, yielding a similar value (−86 and −89 g C CO2 m−2, respectively, for the vegetative season). Despite similar carbon sequestration values, the grain yields of the two sites differ significantly: the Kursk site yield is 2.85 t ha−1, while that of the Moscow site is 4.08 t ha−1. Our reported yield in Moscow is slightly above the average yield for this crop in the region [26]. This could be explained by the technological conditions applied, since the site in Moscow belongs to the university experimental station. On the other hand, according to Semikin et al. [27], the barley crop yield on experimental farms in the Kursk region, with a good technology protocol, should range from 7.2 to 3.5 t dry matter in relation to climate variability. Thus, the reported yield in our experiment of 2.85 t ha−1 is significantly lower than the average for the region, even in unfavorable climate conditions. This result can be explained by the lack of weed control treatments on the Kursk region field. The biomass of weeds ranged from 40 to 60% of the total, contributing to a larger extent to greater GPP, Reco and low yield differences. Weed photosynthetic and respiration enhancement occurs at the expense of lower carbon efficiency on the development of grain yields.
The slope of GPP versus PPFD is somewhat different between the two sites, showing a higher light-use efficiency in Moscow (0.86) than in Kursk (0.67). Also, this result could explain the better response of the Moscow yield, particularly at the onset of the growing season when light is more limiting.
Thus, the investigated fields not only differ in climate conditions, but they also represent two typical agronomic models of Russia, the highly intensive model in Moscow and a lower input, less intensive, semi-organic model in Kursk. In southern taiga zone, represented by the field in Moscow, only the intensive form of farming is economically profitable; it is not possible to find other forms of farming at present because the land is simply abandoned. In the Chernozem zone there may be different forms of farming, but the semi-organic form is more common there.
This study with two eddy covariance stations situated within two contrasting climate zones of Central Russia, on the same barley crop, showed significant differences in the behavior of the carbon balance components. In our previous investigation of the Moscow site, its carbon balance was compared to adjacent fields with vetch and oat mix being grown [28]. The maximum NEE difference between the Moscow and Kursk fields reached 2.2 g C CO2 m−2 d−1, while for two neighboring sites in Moscow, the maximum difference was only 0.3 g C CO2 m−2 d−1. Considering the differences in Reco and GPP between Moscow and Kursk, the observed differences for the two neighboring Moscow fields with different crops, are negligible. Thus, differences in the behavior of the carbon balance components for the two towers in Moscow and Kursk were determined to a large extent by their location in different natural zones.

5. Conclusions

This study with two eddy covariance stations situated within two contrasting climate zones of Central Russia, on the same barley crop, showed significant differences in the behavior of the carbon balance components. Climate conditions favor photosynthesis (and respiration) at the southernmost site in Kursk in comparison with Moscow. The enhanced carbon dynamics of the Kursk barley, however, does not reflect in better yields for Kursk compared with Moscow. The Kursk site performances were rather lower due to a highly inefficient weed-control practice. This difference is also noteworthy because, despite the two sites showing similar carbon sequestration during the vegetative season, the difference in yield for the Moscow site shows the importance of good technology and agronomic practices in achieving sustainable production. In the light of the potential expansion of crop areas, as suggested by climate scenarios, in the northern and eastern regions of the Russian Federation [8], despite favorable climate effects, more attention should be placed on technological and precision-framing practices to obtain both increased yields and, at the same time, sustainable production. It is also interesting to notice that despite great differences in yield and GPP, NEE is rather similar between the two sites, which points to a moderate carbon sequestration. Unfortunately, we could not entirely close the year balance to consolidate this result, but this finding suggests that a good agronomic technology could both respond to increase the yield, while simultaneously contributing to environmental sustainability targets. The current studies are the first steps to better quantify the role of Russian agriculture in the balancing of greenhouse gases. A more detailed analysis on the Life Cycle Assessment of barley production will be finalized based on the current results and considering total greenhouse gas emissions of such production, as the subject of a following paper.

Author Contributions

Conceptualization, R.V. and I.V.; methodology, J.M.; software, A.Y.; validation, A.Y. and R.V.; formal analysis, J.M. and R.V.; investigation, A.Y.; resources, I.V.; data curation, A.Y.; writing—original draft preparation, J.M.; writing—review and editing, R.V.; visualization, A.Y.; supervision, I.V.; project administration, I.V.; funding acquisition, I.V. All authors have read and agreed to the published version of the manuscript.

Funding

This research was funded by the Ministry of Science and Higher Education of the Russian Federation in accordance with agreement No. 075-15-2020-905, dated 16 November 2020, on providing a grant in the form of subsidies from the Federal budget of Russian Federation. The grant was provided for state support for the establishing and development of a World-Class Research Center “Agrotechnology for the Future”.

Institutional Review Board Statement

Not applicable.

Informed Consent Statement

Not applicable.

Data Availability Statement

Not applicable.

Conflicts of Interest

The authors declare no conflict of interest.

References

  1. Shukla, P.R.; Skeg, J.; Buendia, E.C.; Masson-Delmotte, V.; Pörtner, H.O.; Roberts, D.C.; Zhai, P.; Slade, R.; Connors, S.; Van Diemen, S.; et al. Climate Change and Land: An IPCC Special Report on Climate Change, Desertification, Land Degradation, Sustainable Land Management, Food Security, and Greenhouse Gas Fluxes in Terrestrial Ecosystems; IPCC: Geneva, Switzerland, 2019. [Google Scholar]
  2. Chen, J.M. Carbon neutrality: Toward a sustainable future. Innovation 2021, 2, 100127. [Google Scholar] [CrossRef] [PubMed]
  3. Wu, X.; Tian, Z.; Guo, J. A review of the theoretical research and practical progress of carbon neutrality. Sustain. Oper. Comput. 2022, 3, 54–66. [Google Scholar] [CrossRef]
  4. Belyaev, V.I.; Varlagin, A.V.; Dridiger, V.K.; Kurganova, I.N.; Orlova, L.V.; Orlov, S.V.; Popov, A.I.; Romanovskaya, A.A.; Toigildin, A.L.; Trots, N.M.; et al. The global climate agenda. Soil conservation resource-saving (carbon) agriculture as a standard of international and national strategies for soil conservation and agricultural carbon markets. Int. Agric. J. 2022, 1, 421–441. [Google Scholar] [CrossRef]
  5. Smith, P. Carbon sequestration in croplands: The potential in Europe and the global context. Eur. J. Agron. 2004, 20, 229–236. [Google Scholar] [CrossRef]
  6. Liu, L.; Basso, B. Impacts of climate variability and adaptation strategies on crop yields and soil organic carbon in the US Midwest. PLoS ONE 2020, 15, e0225433. [Google Scholar] [CrossRef]
  7. Gatagova, O.A.; Arkhipov, A.G.; Pimenov, P.A.; Vandysheva, N.M.; Dolgova, E.E.; Eroshcheva, M.E.; Bodnariuk, I.E.; Baibulov, A.A.; Rogachev, N.A.; Tumanova, T.A.; et al. Report on the State and Use of Agricultural Land Russian Federation in 2018; FGBNU Rosinformagroteh: Moscow, Russia, 2020; p. 340. Available online: https://mcx.gov.ru/upload/iblock/a57/a57827a15fe53dd852e66eb3bd2fc733.pdf (accessed on 2 July 2022). (In Russian)
  8. Di Paola, A.; Caporaso, L.; Di Paola, F.; Bombelli, A.; Vasenev, I.; Nesterova, O.V.; Castaldi, S.; Valentini, R. The expansion of wheat thermal suitability of Russia in response to climate change. Land Use Policy 2018, 78, 70–77. [Google Scholar] [CrossRef]
  9. Kurganova, I.N.; Telesnina, V.M.; Lopes de Gerenyu, V.O.; Lichko, V.I.; Karavanova, E.I. The Dynamics of Carbon Pools and Biological Activity of Retic Albic Podzols in Southern Taiga during the Postagrogenic Evolution. Eurasian Soil Sci. 2021, 54, 337–351. [Google Scholar] [CrossRef]
  10. Balzarolo, M.; Vicca, S.; Nguy-Robertson, A.L.; Bonal, D.; Elbers, J.A.; Fu, Y.H.; Grünwald, T.; Horemans, J.A.; Papale, D.; Peñuelas, J.; et al. Matching the phenology of Net Ecosystem Exchange and vegetation indices estimated with MODIS and FLUXNET in-situ observations. Remote Sens. Environ. 2016, 174, 290–300. [Google Scholar] [CrossRef]
  11. Dolman, A.J.; Shvidenko, A.; Schepaschenko, D.; Ciais, P.; Tchebakova, N.; Chen, T.; van der Molen, M.K.; Belelli Marchesini, L.; Maximov, T.C.; Maksyutov, S.; et al. An estimate of the terrestrial carbon budget of Russia using inventory-based, eddy covariance and inversion methods. Biogeosciences 2012, 9, 5323–5340. [Google Scholar] [CrossRef]
  12. Chu, H.; Baldocchi, D.D.; John, R.; Wolf, S.; Reichstein, M. Fluxes all of the time? A primer on the temporal representativeness of FLUXNET. J. Geophys. Res. Biogeosciences 2017, 122, 289–307. [Google Scholar] [CrossRef]
  13. Baldocchi, D.D. Assessing the eddy covariance technique for evaluating carbon dioxide exchange rates of ecosystems: Past, present and future. Global Change Biol. 2003, 9, 479–492. [Google Scholar] [CrossRef]
  14. Aubinet, M.; Vesala, T.; Papale, D. (Eds.) Eddy Covariance: A Practical Guide to Measurement and Data Analysis; Springer Science & Business Media: Berlin/Heidelberg, Germany, 2012; p. 438. [Google Scholar]
  15. Burba, G. Eddy Covariance Method for Scientific, Industrial, Agricultural and Regulatory Applications: A Field Book on Measuring Ecosystem Gas Exchange and Areal Emission Rates; LI-COR Biosciences: Lincoln, NE, USA, 2013; p. 331. [Google Scholar]
  16. Nicolini, G.; Fratini, G.; Avilov, V.; Kurbatova, J.A.; Vasenev, I.; Valentini, R. Performance of eddy-covariance measurements in fetch-limited applications. Theor. Appl. Climatol. 2017, 127, 829–840. [Google Scholar] [CrossRef]
  17. Fratini, G.; Mauder, M. Towards a consistent eddy-covariance processing: An intercomparison of EddyPro and TK3. Atmos. Meas. Tech. 2014, 7, 2273–2281. [Google Scholar] [CrossRef]
  18. Moncrieff, J.B.; Massheder, J.M.; De Bruin, H.; Elbers, J.; Friborg, T.; Heusinkveld, B.; Kabat, P.; Scott, S.; Soegaard, H.; Verhoef, A. A system to measure surface fluxes of energy, momentum and carbon dioxide. J. Hydrol. 1997, 188–189, 589–611. [Google Scholar] [CrossRef]
  19. Webb, E.K.; Pearman, G.I.; Leuning, R. Correction of flux measurements for density effects due to heat and water vapor transport. Quart. J. R. Meteorol. Soc. 1980, 106, 85–100. [Google Scholar] [CrossRef]
  20. Kljun, N.; Calanca, P.; Rotach, M.W.; Schmid, H.P. A Simple Parameterisation for Flux Footprint Predictions. Bound.-Layer Meteorol. 2004, 112, 503–523. [Google Scholar] [CrossRef]
  21. Foken, T. Angewandte Meteorologie, Mikrometeorologische Methoden; Springer: Berlin/Heidelberg, Germany, 2003; p. 289. [Google Scholar]
  22. Wutzler, T.; Lucas-Moffat, A.; Migliavacca, M.; Knauer, J.; Sickel, K.; Šigut, L.; Menzer, O.; Reichstein, M. Basic and extensible post-processing of eddy covariance flux data with ReddyProc. Biogeosciences 2018, 15, 5015–5030. [Google Scholar] [CrossRef]
  23. Falge, E.; Baldocchi, D.; Olson, R.; Anthoni, P.; Aubinet, M.; Bernhofer, C.; Burba, G.; Ceulemans, R.; Clement, R.; Dolman, H.; et al. Gap filling strategies for defensible annual sums of net ecosystem exchange. Agric. For. Meteorol. 2001, 107, 43–69. [Google Scholar] [CrossRef]
  24. Reichstein, M.; Falge, E.; Baldocchi, D.; Papale, D.; Aubinet, M.; Berbigier, P.; Bernhofer, C.; Buchmann, N.; Gilmanov, T.; Granier, A.; et al. On the separation of net ecosystem exchange into assimilation and ecosystem respiration: Review and improved algorithm. Glob. Change Biol. 2005, 11, 1424–1439. [Google Scholar] [CrossRef]
  25. R Core Team. R: A Language and Environment for Statistical Computing; R Foundation for Statistical Computing: Vienna, Austria, 2020; Available online: https://www.R-project.org (accessed on 2 July 2022).
  26. Zhelezova, S.V.; Samsonova, V.P. Spatial variability of soil electrical resistivity and barley yield map in a field trial at the Scientific Center of Precision Agriculture. Bull. Altai State Agrar. Univ. 2014, 6, 79–83. (In Russian) [Google Scholar]
  27. Semykin, V.A.; Pigorev, I.Y.; Petrenko, N.N.; Ageeva, A.A. Optimum norm of seeding of multi-row barley as the basis of its productivity in the Kursk region. Vestn. Kursk. State Agric. Acad. 2013, 5, 53–57. (In Russian) [Google Scholar]
  28. Meshalkina, J.; Yaroslavtsev, A.; Mazirov, I.; Samardzic, M.; Valentini, R.; Vasenev, I. Central Russia agroecosystem monitoring with CO2 fluxes analysis by eddy covariance method. Eurasian J. Soil Sci. 2015, 4, 211–219. Available online: http://ejss.fesss.org/10.18393/ejss.2015.3.211-219/pdf (accessed on 2 July 2022). [CrossRef][Green Version]
Figure 1. The layout of two EC stations: (A) station located in Moscow region and (B) station located in Kursk region. Field positions of stations represented by red pins. Studied field areas are highlighted with the dashed white lines, areas of footprint filtering highlighted with blue lines.
Figure 1. The layout of two EC stations: (A) station located in Moscow region and (B) station located in Kursk region. Field positions of stations represented by red pins. Studied field areas are highlighted with the dashed white lines, areas of footprint filtering highlighted with blue lines.
Agronomy 12 01606 g001
Figure 2. Seasonal variations of (a) daily mean photosynthetic photon flux density, µmol·m−2·s−1 (PPFD), (b) daily soil temperature at 5 cm depth C° (Tsoil), (c) daily precipitation sum (mm) and daily mean volumetric soil water content (SWC) at 5 cm depth, during the growing season and the end of the year (from the end of April to the mid of September) at the eddy covariate station at Moscow (dark dots, solid lines and black bars) and station at Kursk (empty dots, dashed lines and grey bars).
Figure 2. Seasonal variations of (a) daily mean photosynthetic photon flux density, µmol·m−2·s−1 (PPFD), (b) daily soil temperature at 5 cm depth C° (Tsoil), (c) daily precipitation sum (mm) and daily mean volumetric soil water content (SWC) at 5 cm depth, during the growing season and the end of the year (from the end of April to the mid of September) at the eddy covariate station at Moscow (dark dots, solid lines and black bars) and station at Kursk (empty dots, dashed lines and grey bars).
Agronomy 12 01606 g002
Figure 3. Diurnal patterns of monthly averaged net ecosystem CO2 exchange (NEE) at the eddy covariate station in Moscow (triangles) and station in Kursk (empty dots) during the growing season and end of year, 2013. Black bars denote 95% confidence intervals of the hour averages.
Figure 3. Diurnal patterns of monthly averaged net ecosystem CO2 exchange (NEE) at the eddy covariate station in Moscow (triangles) and station in Kursk (empty dots) during the growing season and end of year, 2013. Black bars denote 95% confidence intervals of the hour averages.
Agronomy 12 01606 g003
Figure 4. Seasonal variation in daily NEE, Reco and GPP in growing season and the end of 2013 at the EC stations in Moscow (small crosses) and in Kursk (empty dots). Lines represent 7-day running mean values for station in Moscow (dotted line) and for station in Kursk (solid line).
Figure 4. Seasonal variation in daily NEE, Reco and GPP in growing season and the end of 2013 at the EC stations in Moscow (small crosses) and in Kursk (empty dots). Lines represent 7-day running mean values for station in Moscow (dotted line) and for station in Kursk (solid line).
Agronomy 12 01606 g004
Figure 5. GPP in growing season shifted at the seeds time (0–point) for EC stations in Moscow (small crosses) and Kursk (empty dots). Lines represent 7-day running mean values for station in Moscow (the dotted line) and for station in Kursk (solid line). Vertical lines show the conventional boundaries of the stages of crop development: a—seeds, b—germination, c—sprouting, d—tillering, e—leaf tube formation, f—milky ripeness, g—wax ripeness, h—complete ripeness and hharvest.
Figure 5. GPP in growing season shifted at the seeds time (0–point) for EC stations in Moscow (small crosses) and Kursk (empty dots). Lines represent 7-day running mean values for station in Moscow (the dotted line) and for station in Kursk (solid line). Vertical lines show the conventional boundaries of the stages of crop development: a—seeds, b—germination, c—sprouting, d—tillering, e—leaf tube formation, f—milky ripeness, g—wax ripeness, h—complete ripeness and hharvest.
Agronomy 12 01606 g005
Table 1. Cumulative values of carbon balance of the two study sites.
Table 1. Cumulative values of carbon balance of the two study sites.
SiteNEE Cumulated
(g C CO2 m−2)
Reco Cumulated
(g C CO2 m−2)
GPP Cumulated
(g C CO2 m−2)
Light Use Efficiency
(g C CO2 m−2/µmol ph m−2)
Moscow−862483340.86
Kursk−895256130.67
Table 2. ANOVA of the linear mixed models predicting GPP dynamics in relation to five parameters: Tsoil, Tair, PAR, SWC and phase of barley development for EC station in Moscow and station in Kursk.
Table 2. ANOVA of the linear mixed models predicting GPP dynamics in relation to five parameters: Tsoil, Tair, PAR, SWC and phase of barley development for EC station in Moscow and station in Kursk.
Degrees of FreedomSum of Squares% TotalMean SquaresF ValueSignificance
Kursk
Tsoil162,6031.7%62,60315.489***1
Tair1191,1955.1%191,19547.305***
PPFD1255,2456.9%255,24563.153***
SWC11,305,36435.1%1,305,364322.973***
Phase81,430,05038.5%178,75644.228***
Residuals117472,88112.7%4042
Total 3,717,338100.0%
Moscow
Tsoil110,0371.0%10,0377.4275**
Tair174360.7%74365.5025*
PPFD153640.5%53643.9698*
SWC1134,79413.1%134,79499.7504***
Phase8748,85972.9%93,60769.2715***
Residuals89120,26711.7%1351
Total 1,026,757100.0%
1 Significance codes: ***—p < 0.001, **—p < 0.01, *—p > 0.05.
Publisher’s Note: MDPI stays neutral with regard to jurisdictional claims in published maps and institutional affiliations.

Share and Cite

MDPI and ACS Style

Meshalkina, J.; Yaroslavtsev, A.; Vasenev, I.; Valentini, R. Seasonal Dynamics of CO2 Fluxes in Two Central-Russian Agroecosystems with Contrasting Ecological and Agronomic Conditions. Agronomy 2022, 12, 1606. https://doi.org/10.3390/agronomy12071606

AMA Style

Meshalkina J, Yaroslavtsev A, Vasenev I, Valentini R. Seasonal Dynamics of CO2 Fluxes in Two Central-Russian Agroecosystems with Contrasting Ecological and Agronomic Conditions. Agronomy. 2022; 12(7):1606. https://doi.org/10.3390/agronomy12071606

Chicago/Turabian Style

Meshalkina, Joulia, Alexis Yaroslavtsev, Ivan Vasenev, and Riccardo Valentini. 2022. "Seasonal Dynamics of CO2 Fluxes in Two Central-Russian Agroecosystems with Contrasting Ecological and Agronomic Conditions" Agronomy 12, no. 7: 1606. https://doi.org/10.3390/agronomy12071606

APA Style

Meshalkina, J., Yaroslavtsev, A., Vasenev, I., & Valentini, R. (2022). Seasonal Dynamics of CO2 Fluxes in Two Central-Russian Agroecosystems with Contrasting Ecological and Agronomic Conditions. Agronomy, 12(7), 1606. https://doi.org/10.3390/agronomy12071606

Note that from the first issue of 2016, this journal uses article numbers instead of page numbers. See further details here.

Article Metrics

Back to TopTop