The Role of Salicylic Acid in Mitigating the Adverse Effects of Chilling Stress on “Seddik” Mango Transplants
Abstract
1. Introduction
2. Materials and Methods
2.1. Greenhouse, Chilling Chamber Preparation, and Plant Materials
2.2. Exogenous Salicylic Acid Treatments and Chilling Stress Induction
2.3. Measurements
2.3.1. Defoliation
2.3.2. Chilling Injury Index
2.3.3. Chlorophyll Content
2.3.4. Chlorophyll Stability Index (CSI)
2.3.5. Electrolyte Leakage (EL) and Membrane Stability Index (MSI)
2.3.6. Total Sugar Content
2.3.7. Total Phenolic Content
2.3.8. Proline Content
2.3.9. DPPH Free Radical Scavenging Assay
2.3.10. Extraction and Determination of Antioxidant Enzymes Activity
- Superoxide Dismutase (SOD) Activity
- Catalase (CAT) Activity
- Peroxidase (POX) Activity
- Polyphenol Oxidase (PPO) Activity
2.4. Statistical Analysis
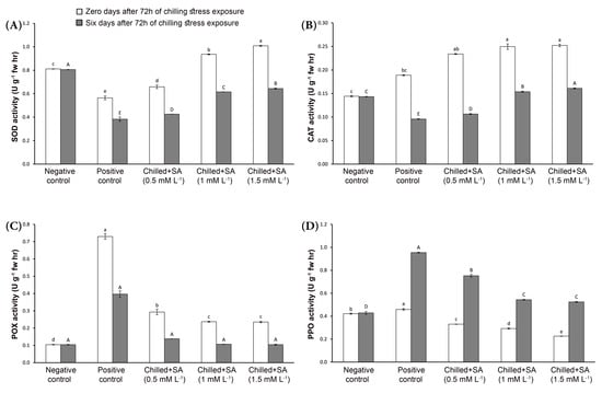
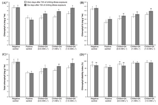
3. Results and Discussion
4. Conclusions
Author Contributions
Funding
Institutional Review Board Statement
Informed Consent Statement
Data Availability Statement
Acknowledgments
Conflicts of Interest
References
- Allen, D.J.; Ort, D.R. Impacts of chilling temperatures on photosynthesis in warm-climate plants. Trends Plant Sci. 2001, 6, 36–42. [Google Scholar] [CrossRef]
- Saleem, M.; Fariduddin, Q.; Janda, T. Multifaceted role of salicylic acid in combating cold stress in plants: A review. J. Plant Growth Regul. 2021, 40, 464–485. [Google Scholar] [CrossRef]
- Cheng, F.; Lu, J.; Gao, M.; Shi, K.; Kong, Q.; Huang, Y.; Bie, Z. Redox signaling and CBF-responsive pathway are involved in salicylic acid-improved photosynthesis and growth under chilling stress in watermelon. Front. Plant. Sci. 2016, 7, 1519. [Google Scholar] [CrossRef] [PubMed]
- Ding, P.; Ding, Y. Stories of salicylic acid: A plant defense hormone. Trends Plant. Sci. 2020, 25, 549–565. [Google Scholar] [CrossRef] [PubMed]
- Poór, P. Effects of salicylic acid on the metabolism of mitochondrial reactive oxygen species in plants. Biomolecules 2020, 10, 341. [Google Scholar] [CrossRef] [PubMed]
- Mishra, A.K.; Baek, K.H. Salicylic acid biosynthesis and metabolism: A divergent pathway for plants and bacteria. Biomolecules 2021, 11, 705. [Google Scholar] [CrossRef] [PubMed]
- Hadian-Deljou, M.; Esna-Ashari, M.; Sarikhani, H. Effect of pre-and post-harvest salicylic acid treatments on quality and antioxidant properties of ‘Red Delicious’ apples during cold storage. Adv. Hortic. Sci. 2017, 31, 31–38. [Google Scholar] [CrossRef]
- Ezzat, A.; Ammar, A.; Szabó, Z.; Holb, I. Salicylic acid treatment saves quality and enhances antioxidant properties of apricot fruit. Hortic. Sci. 2017, 44, 73–81. [Google Scholar] [CrossRef]
- Chen, L.; Zhao, X.; Wu, J.E.; He, Y.; Yang, H. Metabolic analysis of salicylic acid-induced chilling tolerance of banana using NMR. Food Res. Int. 2020, 128, 108796. [Google Scholar] [CrossRef]
- Supapvanich, S.; Polpakdee, R.; Wongsuwan, P. Chilling injury alleviation and quality maintenance of lemon basil by preharvest salicylic acid treatment. Emir. J. Food Agric. 2015, 27, 801–807. [Google Scholar] [CrossRef]
- Killadi, B.; Lenka, J.; Chaurasia, R.; Shukla, D.K. Effect of salicylic acid and acylated salicylic acid on the shelf-life of guava (Psidium guajava L.) fruit during storage. Int. J. Chem. Stud. 2019, 7, 1848–1852. [Google Scholar]
- Zhang, Y.; Chen, K.; Zhang, S.; Ferguson, I. The role of salicylic acid in postharvest ripening of kiwifruit. Postharvest Biol. Technol. 2003, 28, 67–74. [Google Scholar] [CrossRef]
- Cai, C.; Li, X.; Chen, K. Acetylsalicylic acid alleviates chilling injury of postharvest loquat (Eriobotrya japonica Lindl.) fruit. Eur. Food Res. Technol. 2006, 223, 533–539. [Google Scholar] [CrossRef]
- Reddy, S.V.R.; Sharma, R.R.; Srivastava, M.; Kaur, C. Effect of pre-harvest application of Salicylic acid on the postharvest behavior of ’Amrapali’ mango fruits during storage. Indian J. Hortic. 2016, 73, 405–409. [Google Scholar] [CrossRef]
- Yang, Z.; Cao, S.; Zheng, Y.; Jiang, Y. Combined salicyclic acid and ultrasound treatments for reducing the chilling injury on peach fruit. J. Agric. Food Chem. 2012, 60, 1209–1212. [Google Scholar] [CrossRef]
- Al-Qurashi, A.D.; Awad, M.A. Postharvest salicylic acid treatment reduces chilling injury of ‘Taify’ cactus pear fruit during cold storage. J. Food Agric. Environ. 2012, 10, 120–124. [Google Scholar]
- Davarynejad, G.H.; Zarei, M.; Nasrabadi, M.E.; Ardakani, E. Effects of salicylic acid and putrescine on storability, quality attributes and antioxidant activity of plum cv. ‘Santa Rosa’. J. Food Sci. Technol. 2015, 52, 2053–2062. [Google Scholar] [CrossRef]
- Sayyari, M.; Babalar, M.; Kalantari, S.; Serrano, M.; Valero, D. Effect of salicylic acid treatment on reducing chilling injury in stored pomegranates. Postharvest Biol. Technol. 2009, 53, 152–154. [Google Scholar] [CrossRef]
- Güneş, N.T.; Yildiz, M.; Variş, B.; Horzum, Ö. Postharvest salicylic acid treatment influences some quality attributes in air-stored pomegranate fruit. J. Agric. Sci. 2020, 26, 499–506. [Google Scholar] [CrossRef]
- Wang, C.Y. Modification of chilling susceptibility in seed¬lings of cucumber and zucchini squash by the bio regulator paclobutrazol (PP333). Sci. Hortic. 1985, 26, 293–298. [Google Scholar] [CrossRef]
- Lichtenthaler, H.K.; Wellburn, A.R. Determinations of total carotenoids and chlorophylls a and b of leaf extracts in different solvents. Biochem. Soc. Trans. 1983, 11, 591–592. [Google Scholar] [CrossRef]
- Thakur, A. Use of easy and less expensive methodology to rapidly screen fruit crops for drought tolerance. Acta Hortic. 2004, 662, 231–235. [Google Scholar] [CrossRef]
- Guo, Z.; Huang, M.; Lu, S.; Yaqing, Z.; Zhong, Q. Differential response to paraquat induced oxidative stress in two rice cultivars on antioxidants and chlorophyll a fluorescence. Acta Physiol. Plant 2007, 29, 39–46. [Google Scholar] [CrossRef]
- Dubois, M.; Gilles, K.A.; Hamilton, J.K.; Rebers, P.T.; Smith, F. Colorometric method for determination of sugars and related substances. Analyt. Chem. 1956, 28, 350–356. [Google Scholar] [CrossRef]
- Singleton, V.L.; Rossi, J.A. Colorimetry of total phenolics with phosphomolybdic-phosphotungstic acid reagents. Am. J. Enol. Vitic. 1965, 16, 144–158. [Google Scholar]
- Bates, L.S.; Waldren, R.P.; Teare, I.D. Rapid determination of free proline for water-stress studies. Plant Soil 1973, 39, 205–207. [Google Scholar] [CrossRef]
- Blois, M.S. Antioxidant determinations by the use of a stable free radical. Nature 1958, 181, 1199–1200. [Google Scholar] [CrossRef]
- Rahman, M.M.; Islam, M.B.; Biswas, M.; Alam, A.K. In vitro antioxidant and free radical scavenging activity of different parts of Tabebuia pallida growing in Bangladesh. BMC Res. Notes 2015, 8, 621. [Google Scholar] [CrossRef]
- Mukherjee, S.P.; Choudhuri, M.A. Implication of water stress-induced changes in the level of endogenous ascorbic acid and hydrogen peroxide in Vigna seedlings. Physiol. Plant 1983, 58, 166–170. [Google Scholar] [CrossRef]
- Marklund, S.; Marklund, G. Involvement of the superoxide anion radical in the autoxidation of pyrogallol and a convenient assay for superoxide dismutase. Eur. J. Biochem. 1974, 47, 469–474. [Google Scholar] [CrossRef]
- Kong, F.X.; Hu, W.; Chao, S.Y.; Sang, W.L.; Wang, L.S. Physiological responses of the lichen Xanthoparmelia mexicana to oxidative stress of SO2. Environ. Exp. Bot. 1999, 42, 201–209. [Google Scholar] [CrossRef]
- Chen, Y.; Cao, X.X.D.; Lu, Y.; Wang, X.R. Effect of rare earth metal ions and their EDTA complex on antioxidant enzymes of fish liver. Bull. Environ. Contam. Toxicol. 2000, 65, 357–365. [Google Scholar] [CrossRef] [PubMed]
- Pütter, J. Peroxidases. In Methods of Enzymatic Analysis, 2nd ed.; Bergmeyer, H.U., Ed.; Verlag Chemie Weinheim, Academic Press: New York, NY, USA, 1974; Volume 2, pp. 685–690. [Google Scholar] [CrossRef]
- Kar, M.; Mishra, D. Catalase, peroxidase and polyphenol oxidase activities during rice leaf senescence. Plant Physiol. 1976, 57, 315–319. [Google Scholar] [CrossRef] [PubMed]
- R Core Team. R: A Language and Environment for Statistical Computing; R Foundation for Statistical Computing: Vienna, Austria, 2021. Available online: https://www.R-project.org/ (accessed on 29 January 2022).
- Duncan, D.B. Multiple range and multiple F tests. Biometrics 1955, 11, 1–42. [Google Scholar] [CrossRef]
- Lukatkin, A.S.; Brazaityte, A.; Bobinas, C.; Duchovskis, P. Chilling injury in chilling-sensitive plants: A review. Agriculture 2012, 99, 111–124. [Google Scholar]
- Chang, Y.C.; Lin, T.C. Temperature effects on fruit development and quality performance of nagami kumquat (Fortunella margarita [Lour.] Swingle). Hort. J. 2020, 89, 351–358. [Google Scholar] [CrossRef]
- Kang, G.; Wang, C.; Sun, G.; Wang, Z. Salicylic acid changes activities of H2O2-metabolizing enzymes and increases the chilling tolerance of banana seedlings. Environ. Exp. Bot. 2003, 50, 9–15. [Google Scholar] [CrossRef]
- Reddy, M.P. Changes in pigment composition. Hill reaction activity and saccharides metabolism in bajra (Penisetum typhoides) leaves under NaCl salinity. Photosynthetica 1986, 20, 50–55. [Google Scholar]
- Wise, R.R.; Naylor, A.W. Chilling-enhanced photooxidation: Evidence for the role of singlet oxygen and superoxide in the breakdown of pigments and endogenous antioxidants. Plant Physiol. 1987, 83, 278–282. [Google Scholar] [CrossRef]
- Schapendonk, A.H.C.M.; Dolstra, O.; Van Kooten, O. The use of chlorophyll fluorescence as a screening method for cold tolerance in maize. Photosynth. Res. 1989, 20, 235–247. [Google Scholar] [CrossRef]
- Kingston-Smith, A.H.; Foyer, C.H. Bundle sheath proteins are more sensitive to oxidative damage than those of the mesophyll in maize leaves exposed to paraquat or low temperatures. J. Exp. Bot. 2000, 51, 123–130. [Google Scholar] [CrossRef] [PubMed]
- Durner, E.F. Principles of Horticultural Physiology; CABI Publishing: Oxford, UK, 2013; p. 391. [Google Scholar]
- Wongsheree, T.; Ketsa, S.; van Doorn, W.G. The relationship between chilling injury and membrane damage in lemon basil (Ocimum × citriodourum) leaves. Postharvest Biol. Technol. 2009, 51, 91–96. [Google Scholar] [CrossRef]
- Gadallah, F.M.; El-Yazal, S.; Abdel-Samad, G.A. Physiological changes in leaves of some mango cultivars as response to exposure to low temperature degrees. Hortic. Int. J. 2019, 3, 266–273. [Google Scholar] [CrossRef]
- McKay, H.M. Electrolyte leakage from fine roots of conifer seedlings: A rapid index of plant vitality following cold storage. Can. J. For. Res. 1992, 22, 1371–1377. [Google Scholar] [CrossRef]
- Guinn, G. Chilling injury in cotton seedlings: Changes in permeability of cotyledons. Crop. Sci. 1971, 11, 101–102. [Google Scholar] [CrossRef]
- Chinnusamy, V.; Zhu, J.; Zhu, J.K. Cold stress regulation of gene expression in plants. Trends Plant Sci. 2007, 12, 444–451. [Google Scholar] [CrossRef]
- El-Moniem, E.A.A.; Ismail, O.M.; Shaban, A.E.A. Changes in leaves component of some mango cultivars in relation to exposure to low temperature degrees. World J. Agric. Res. 2010, 6, 212–217. [Google Scholar]
- Gadallah, F.M.; El-Yazal, M.A.S.; Abdel-Samad, G.A.; Sayed, A.A. Leakage compositional changes accompanying to exposure of some mango cultivars to low temperature under field conditions. Int. J. Curr. Microbiol. App. Sci. 2020, 9, 1448–1463. [Google Scholar] [CrossRef]
- Sayed, A.A.; Gadallah, F.M.; El-Yazal, M.A.S.; Abdel-Samad, G.A. Impact of exposure to low temperature degrees in field conditions on leaf pigments and chlorophyll fluorescence in leaves of mango trees. JHPR 2020, 10, 30–45. [Google Scholar] [CrossRef]
- Popova, L.P.; Maslenkova, L.T.; Ivanova, A.; Stoinova, Z. Role of salicylic acid in alleviating heavy metal stress. In Environmental Adaptations and Stress Tolerance of Plants in the Era of Climate Change; Ahmad, P., Prasad, M., Eds.; Springer: New York, NY, USA, 2012; pp. 447–466. [Google Scholar] [CrossRef]
- Rhodes, D.; Nadolska-Orczyk, A.; Rich, P.J. Salinity, osmolytes and compatible solutes. In Salinity: Environment-Plants-Molecules; Läuchli, A., Lüttge, U., Eds.; Springer: Dordrecht, The Netherlands, 2002; pp. 181–204. [Google Scholar] [CrossRef]
- Ruelland, E.; Zachowski, A. How plants sense temperature. Environ. Exp. Bot. 2010, 69, 225–232. [Google Scholar] [CrossRef]
- Kamal, A.; Kumar, V.; Muthukumar, M.; Bajpai, A. Morphological indicators of salinity stress and their relation with osmolyte associated redox regulation in mango cultivars. J. Plant Biochem. Biotechnol. 2021, 30, 918–929. [Google Scholar] [CrossRef]
- Rivero, R.M.; Ruiz, J.M.; Garcıa, P.C.; Lopez-Lefebre, L.R.; Sánchez, E.; Romero, L. Resistance to cold and heat stress: Accumulation of phenolic compounds in tomato and watermelon plants. Plant Sci. 2001, 160, 315–321. [Google Scholar] [CrossRef]
- Han, J.; Tian, S.P.; Meng, X.H.; Ding, Z.S. Response of physiologic metabolism and cell structures in mango fruit to exogenous methyl salicylate under low temperature stress. Physiol. Plant 2006, 128, 125–133. [Google Scholar] [CrossRef]
- Soliman, M.H.; Alayafi, A.A.; El Kelish, A.A.; Abu-Elsaoud, A.M. Acetylsalicylic acid enhance tolerance of Phaseolus vulgaris L. to chilling stress, improving photosynthesis, antioxidants and expression of cold stress responsive genes. Bot. Stud. 2018, 59, 1–17. [Google Scholar] [CrossRef]
- Gusta, L.V.; Wisniewski, M. Understanding plant cold hardiness: An opinion. Physiol. Plant 2013, 147, 4–14. [Google Scholar] [CrossRef]
- Luo, Y.L.; Su, Z.L.; Bi, T.J.; Cui, X.L.; Lan, Q.Y. Salicylic acid improves chilling tolerance by affecting antioxidant enzymes and osmoregulators in sacha inchi (Plukenetia volubilis). Rev. Bras. Bot. 2014, 37, 357–363. [Google Scholar] [CrossRef]
- Zhu, B.; Su, J.; Chang, M.; Verma, D.P.S.; Fan, Y.L.; Wu, R. Overexpression of a Δ1-pyrroline-5-carboxylate synthetase gene and analysis of tolerance to water-and salt stress in transgenic rice. Plant Sci. 1998, 139, 41–48. [Google Scholar] [CrossRef]
- Forlani, G.; Trovato, M.; Funck, D.; Signorelli, S. Regulation of Proline Accumulation and Its Molecular and Physiological Functions in Stress Defence. In Osmoprotectant-Mediated Abiotic Stress Tolerance in Plants; Hossain, M., Kumar, V., Burritt, D., Fujita, M., Mäkelä, P., Eds.; Springer: Cham, Switzerland, 2019; pp. 73–97. [Google Scholar] [CrossRef]
- Sayyari, M.; Ghanbari, F.; Fatahi, S.; Bavandpour, F. Chilling tolerance improving of watermelon seedling by salicylic acid seed and foliar application. Not. Sci. Biol. 2013, 5, 67–73. [Google Scholar] [CrossRef][Green Version]
- Bastam, N.; Baninasab, B.; Ghobadi, C. Improving salt tolerance by exogenous application of salicylic acid in seedlings of pistachio. Plant. Growth Regul. 2013, 69, 275–284. [Google Scholar] [CrossRef]
- Khademi, O.; Ashtari, M.; Razavi, F. Effects of salicylic acid and ultrasound treatments on chilling injury control and quality preservation in banana fruit during cold storage. Sci. Hortic. 2019, 249, 334–339. [Google Scholar] [CrossRef]
- Junmatong, C.; Faiyue, B.; Rotarayanont, S.; Uthaibutra, J.; Boonyakiat, D.; Saengnil, K. Cold storage in salicylic acid increases enzymatic and non-enzymatic antioxidants of Nam Dok Mai No. 4 mango fruit. Sci. Asia 2015, 41, 12–21. [Google Scholar] [CrossRef]
- Awad, M.A.; Al-Qurashi, A.D. Postharvest salicylic acid and melatonin dipping delay ripening and improve quality of ‘Sensation’ Mangoes. Philipp. Agric. Sci. 2021, 104, 34–44. [Google Scholar]
- Siboza, X.I.; Bertling, I. The effects of methyl jasmonate and salicylic acid on suppressing the production of reactive oxygen species and increasing chilling tolerance in ‘Eureka’lemon [Citrus limon (L.) Burm. F.]. J. Hortic. Sci. Biotechnol. 2013, 88, 269–276. [Google Scholar] [CrossRef]
- Chen, J.Y.; He, L.H.; Jiang, Y.M.; Kuang, J.F.; Lu, C.B.; Joyce, D.C.; Macnish, A.; He, Y.X.; Lu, W.J. Expression of PAL and HSPs in fresh-cut banana fruit. Environ. Exp. Bot. 2009, 66, 31–37. [Google Scholar] [CrossRef]
- Dokhanieh, A.Y.; Aghdam, M.S.; Fard, J.R.; Hassanpour, H. Postharvest salicylic acid treatment enhances antioxidant potential of cornelian cherry fruit. Sci. Hortic. 2013, 154, 31–36. [Google Scholar] [CrossRef]
- Kumari, P.; Barman, K.; Patel, V.B.; Siddiqui, M.W.; Kole, B. Reducing postharvest pericarp browning and preserving health promoting compounds of litchi fruit by combination treatment of salicylic acid and chitosan. Sci. Hortic. 2015, 197, 555–563. [Google Scholar] [CrossRef]
- Supapvanich, S.; Mitsang, P.; Youryon, P.; Techavuthiporn, C.; Boonyaritthongchai, P.; Tepsorn, R. Postharvest quality maintenance and bioactive compounds enhancement in ‘Taaptimjaan’ wax apple during short-term storage by salicylic acid immersion. Hortic. Environ. Biotechnol. 2018, 59, 373–381. [Google Scholar] [CrossRef]
- Mutlu, S.; Karadağoğlu, Ö.; Atici, Ö.; Nalbantoğlu, B. Protective role of salicylic acid applied before cold stress on antioxidative system and protein patterns in barley apoplast. Biol. Plant 2013, 57, 507–513. [Google Scholar] [CrossRef]
- Mo, Y.; Gong, D.; Liang, G.; Han, R.; Xie, J.; Li, W. Enhanced preservation effects of sugar apple fruits by salicylic acid treatment during postharvest storage. J. Sci. Food Agric. 2008, 88, 2693–2699. [Google Scholar] [CrossRef]
- Mutlu, S.; Atıcı, Ö.; Nalbantoğlu, B.; Mete, E. Exogenous salicylic acid alleviates cold damage by regulating antioxidative system in two barley (Hordeum vulgare L.) cultivars. Front. Life Sci. 2016, 9, 99–109. [Google Scholar] [CrossRef]
- Ignatenko, A.; Talanova, V.; Repkina, N.; Titov, A. Exogenous salicylic acid treatment induces cold tolerance in wheat through promotion of antioxidant enzyme activity and proline accumulation. Acta Physiol. Plant 2019, 41, 1–10. [Google Scholar] [CrossRef]







Publisher’s Note: MDPI stays neutral with regard to jurisdictional claims in published maps and institutional affiliations. |
© 2022 by the authors. Licensee MDPI, Basel, Switzerland. This article is an open access article distributed under the terms and conditions of the Creative Commons Attribution (CC BY) license (https://creativecommons.org/licenses/by/4.0/).
Share and Cite
Hmmam, I.; Ali, A.E.M.; Saleh, S.M.; Khedr, N.; Abdellatif, A. The Role of Salicylic Acid in Mitigating the Adverse Effects of Chilling Stress on “Seddik” Mango Transplants. Agronomy 2022, 12, 1369. https://doi.org/10.3390/agronomy12061369
Hmmam I, Ali AEM, Saleh SM, Khedr N, Abdellatif A. The Role of Salicylic Acid in Mitigating the Adverse Effects of Chilling Stress on “Seddik” Mango Transplants. Agronomy. 2022; 12(6):1369. https://doi.org/10.3390/agronomy12061369
Chicago/Turabian StyleHmmam, Ibrahim, Amr E. M. Ali, Samir M. Saleh, Nagwa Khedr, and Abdou Abdellatif. 2022. "The Role of Salicylic Acid in Mitigating the Adverse Effects of Chilling Stress on “Seddik” Mango Transplants" Agronomy 12, no. 6: 1369. https://doi.org/10.3390/agronomy12061369
APA StyleHmmam, I., Ali, A. E. M., Saleh, S. M., Khedr, N., & Abdellatif, A. (2022). The Role of Salicylic Acid in Mitigating the Adverse Effects of Chilling Stress on “Seddik” Mango Transplants. Agronomy, 12(6), 1369. https://doi.org/10.3390/agronomy12061369

