Impact of Soil Characteristics and Weed Management Practices on Glyphosate and AMPA Persistence in Field Crops Soils from the St. Lawrence Lowlands (Quebec, Canada)
Abstract
:1. Introduction
2. Material and Methods
2.1. Study Sites and Soil Sampling
2.2. Exchangeable Cations Analyses
2.3. Glyphosate and AMPA Content Measurements
2.4. Statistical Analyses
3. Results
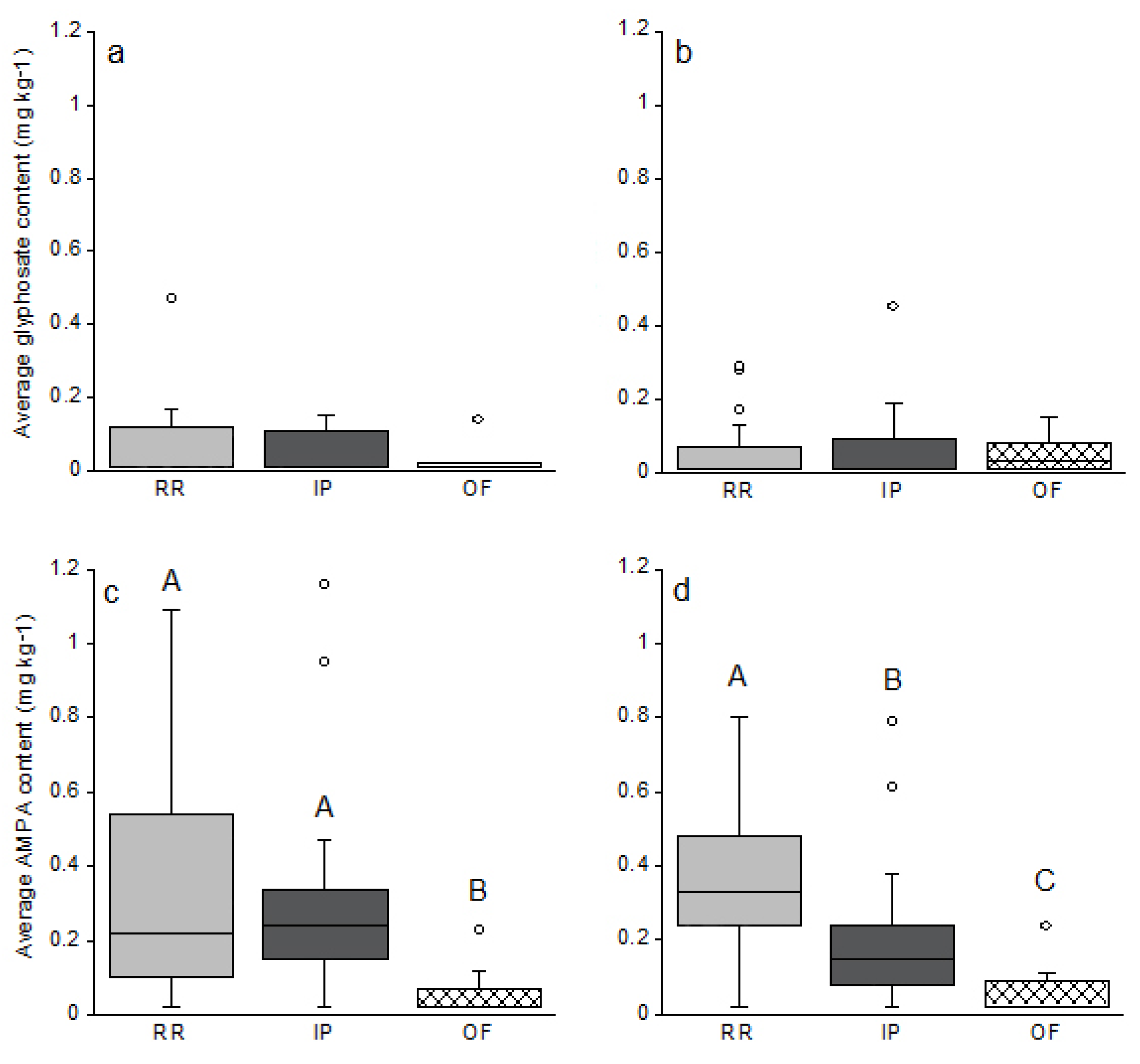
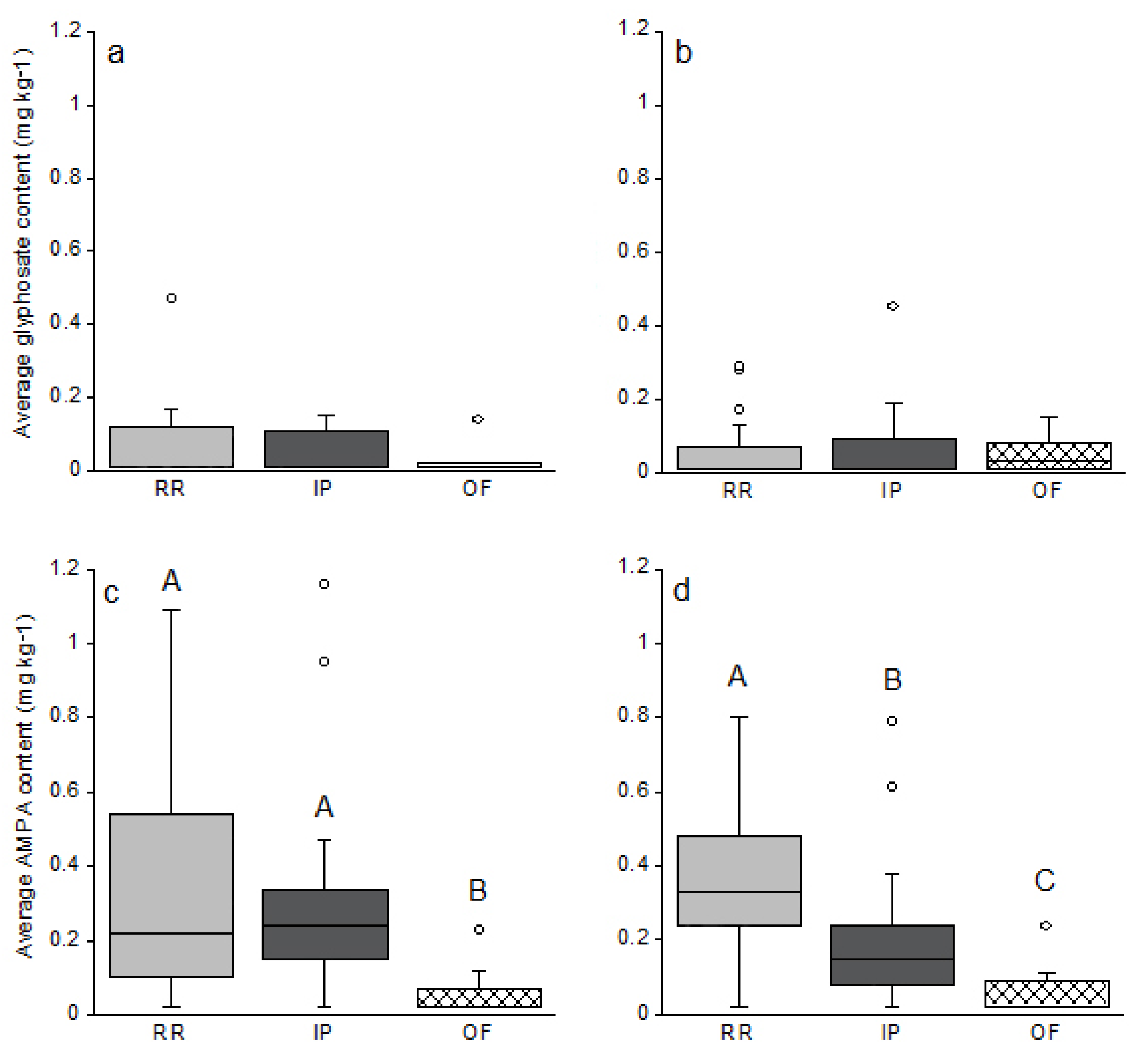
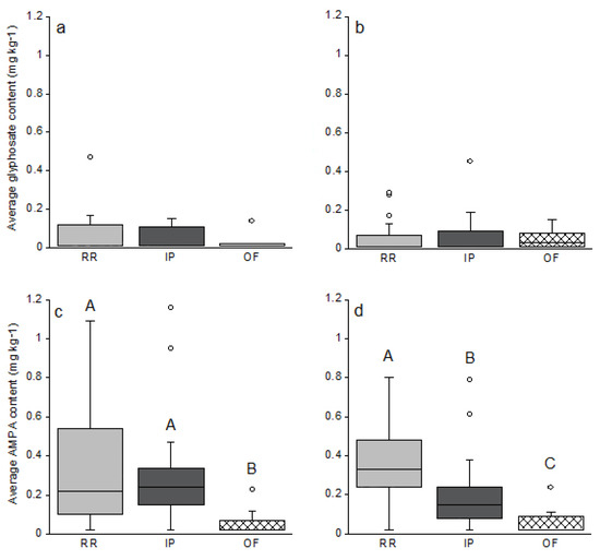
3.1. Glyphosate and AMPA Content in Surface Soils
3.2. Impact of the Number of GBH Applications
3.3. Impact of Tillage
3.4. Impact of Soil Texture and Composition
4. Discussion
4.1. Persistence and Accumulation of Glyphosate and AMPA in Soil
4.2. Impact of Soil Texture on Glyphosate and AMPA Dynamics
4.3. Glyphosate and AMPA Diffusion Potential in the Environment
5. Conclusions
Author Contributions
Funding
Informed Consent Statement
Data Availability Statement
Conflicts of Interest
References
- Duke, S.; Powles, S.; Sammons, D. Glyphosate—How it Became a Once in a Hundred Year Herbicide and Its Future. Outlooks Pest Manag. 2018, 29, 247–251. [Google Scholar] [CrossRef]
- Duke, S.O. Perspectives on transgenic, herbicide-resistant crops in the United States almost 20 years after introduction. Pest Manag. Sci. 2015, 71, 652–657. [Google Scholar] [CrossRef] [PubMed]
- Hategekimana, B.; Trant, M. Adoption and Diffusion of New Technology in Agriculture: Genetically Modified Corn and Soybeans. Can. J. Agric. Econ.-Rev. Can. D Agroecon. 2002, 50, 357–371. [Google Scholar] [CrossRef]
- Heap, I.; Duke, S.O. Overview of glyphosate-resistant weeds worldwide. Pest Manag. Sci. 2018, 74, 1040–1049. [Google Scholar] [CrossRef] [PubMed]
- Benbrook, C.M. Trends in glyphosate herbicide use in the United States and globally. Environ. Sci. Eur. 2016, 28, 3. [Google Scholar] [CrossRef] [PubMed] [Green Version]
- Hove-Jensen, B.; Zechel, D.; Jochimsen, B. Utilization of Glyphosate as Phosphate Source: Biochemistry and Genetics of Bacterial Carbon-Phosphorus Lyase. Microbiol. Mol. Biol. Rev. MMBR 2014, 78, 176–197. [Google Scholar] [CrossRef] [PubMed] [Green Version]
- Borggaard, O.; Gimsing, A. Fate of Glyphosate in Soil and the Possibility of Leaching to Ground and Surface Waters: A Review. Pest Manag. Sci. 2008, 64, 441–456. [Google Scholar] [CrossRef]
- Simonsen, L.; Fomsgaard, I.; Svensmark, B.; Spliid, N. Fate and availability of glyphosate and AMPA in agricultural soil. J. Environ. Sci. Health Part B 2008, 43, 365–375. [Google Scholar] [CrossRef]
- Sviridov, A.; Shushkova, T.; Ermakova, I.; Ivanova, E.; Epiktetov, D.; Leont’evskii, A. Microbial Degradation of Glyphosate Herbicides (Review). Appl. Biochem. Microbiol. 2015, 51, 183–190. [Google Scholar] [CrossRef]
- Travaglia, C.; Masciarelli, O.; Fortuna, J.; Marchetti, G.; Cardozo, P.; Lucero, M.; Zorza, E.; Luna, V.; Reinoso, H. Towards sustainable maize production: Glyphosate detoxification by Azospirillum sp. and Pseudomonas sp. Crop Prot. 2015, 77, 102–109. [Google Scholar] [CrossRef]
- Cheah, U.-B.; Kirkwood, R.C.; Lum, K.-Y. Degradation of Four Commonly Used Pesticides in Malaysian Agricultural Soils. J. Agric. Food Chem. 1998, 46, 1217–1223. [Google Scholar] [CrossRef]
- Mamy, L.; Barriuso, E.; Gabrielle, B. Environmental fate of herbicides trifluralin, metazachlor, metamitron and sulcotrione compared to that of glyphosate, a substitute broad spectrum herbicide for different glyphosate-resistant crops. Pest Manag. Sci. 2005, 61, 905–916. [Google Scholar] [CrossRef] [PubMed]
- Al-Rajab, A.J.; Schiavon, M. Degradation of 14C-glyphosate and aminomethylphosphonic acid (AMPA) in three agricultural soils. J. Environ. Sci. 2010, 22, 1374–1380. [Google Scholar] [CrossRef]
- Yang, X.; Wang, F.; Bento, C.P.M.; Meng, L.; van Dam, R.; Mol, H.; Liu, G.; Ritsema, C.J.; Geissen, V. Decay characteristics and erosion-related transport of glyphosate in Chinese loess soil under field conditions. Sci. Total Environ. 2015, 530–531, 87–95. [Google Scholar] [CrossRef]
- Shushkova, T.; Ermakova, I.; Leontievsky, A. Glyphosate bioavailability in soil. Biodegradation 2010, 21, 403–410. [Google Scholar] [CrossRef]
- Bergström, L.; Börjesson, E.; Stenström, J. Laboratory and Lysimeter Studies of Glyphosate and Aminomethylphosphonic Acid in a Sand and a Clay Soil. J. Environ. Qual. 2011, 40, 98–108. [Google Scholar] [CrossRef] [Green Version]
- Singh, B.; Singh, K. Microbial degradation of herbicides. Crit. Rev. Microbiol. 2014, 42, 245–261. [Google Scholar] [CrossRef]
- Eberbach, P. Applying non-steady-state compartmental analysis to investigate the simultaneous degradation of soluble and sorbed glyphosate (N-(phosphonomethyl)glycine) in four soils. Pestic. Sci. 1998, 52, 229–240. [Google Scholar] [CrossRef]
- Scribner, E.A.; Battaglin, W.A.; Gilliom, R.J.; Meyer, M.T. Concentrations of Glyphosate, Its Degradation Product, Aminomethylphosphonic Acid, and Glufosinate in Ground- and Surface-Water, Rainfall, and Soil Samples Collected in the United States, 2001–2006; U.S. Geological Survey Scientific Investigations Report 2007–5122; 111p. Available online: https://pubs.usgs.gov/sir/2007/5122/pdf/SIR2007-5122.pdf (accessed on 23 March 2022).
- Laitinen, P.; Rämö, S.; Nikunen, U.; Jauhiainen, L.; Siimes, K.; Turtola, E. Glyphosate and phosphorus leaching and residues in boreal sandy soil. Plant Soil 2009, 323, 267–283. [Google Scholar] [CrossRef]
- Primost, J.; Aparicio, V.; Costa, J.; Carriquiriborde, P. Glyphosate and AMPA, “pseudo-persistent” pollutants under real-world agricultural management practices in the Mesopotamic Pampas agroecosystem, Argentina. Environ. Pollut. 2017, 229, 771–779. [Google Scholar] [CrossRef] [PubMed]
- Al-Rajab, A.J.; Amellal, S.; Schiavon, M. Sorption and leaching of 14 C-glyphosate in agricultural soils. Agron. Sustain. Dev. 2008, 28, 419–428. [Google Scholar] [CrossRef] [Green Version]
- Albers, C.N.; Banta, G.T.; Hansen, P.E.; Jacobsen, O.S. The influence of organic matter on sorption and fate of glyphosate in soil —Comparing different soils and humic substances. Environ. Pollut. 2009, 157, 2865–2870. [Google Scholar] [CrossRef] [PubMed]
- Rampazzo, N.; Rampazzo Todorovic, G.; Mentler, A.; Blum, W. Adsorption of glyphosate and aminomethylphosphonic acid in soils. Int. Agrophys. 2013, 27, 203–209. [Google Scholar] [CrossRef]
- Gjettermann, B.; Styczen, M.; Bender Koch, C.; Hansen, S.; Petersen, C. Evaluation of Sampling Strategies for Pesticides in a Macroporous Sandy Loam Soil. Soil Sediment Contam. Int. J. 2011, 20, 986–994. [Google Scholar] [CrossRef]
- Glass, R.L. Adsorption of glyphosate by soils and clay minerals. J. Agric. Food Chem. 1987, 35, 497–500. [Google Scholar] [CrossRef]
- Eker, S.; Ozturk, L.; Yazici, A.; Erenoglu, B.; Romheld, V.; Cakmak, I. Foliar-Applied Glyphosate Substantially Reduced Uptake and Transport of Iron and Manganese in Sunflower (Helianthus annuus L.) Plants. J. Agric. Food Chem. 2006, 54, 10019–10025. [Google Scholar] [CrossRef] [Green Version]
- Aparicio, V.C.; De Gerónimo, E.; Marino, D.; Primost, J.; Carriquiriborde, P.; Costa, J.L. Environmental fate of glyphosate and aminomethylphosphonic acid in surface waters and soil of agricultural basins. Chemosphere 2013, 93, 1866–1873. [Google Scholar] [CrossRef]
- Silva, V.; Montanarella, L.; Jones, A.; Fernández-Ugalde, O.; Mol, H.; Ritsema, C.; Geissen, V. Distribution of glyphosate and aminomethylphosphonic acid (AMPA) in Agricultural topsoils of the European Union. Sci. Total Environ. 2017, 621, 1352–1359. [Google Scholar] [CrossRef]
- Karanasios, E.; Karasali, H.; Marousopoulou, A.; Akrivou, A.; Markellou, E. Monitoring of glyphosate and AMPA in soil samples from two olive cultivation areas in Greece: Aspects related to spray operators activities. Environ. Monit. Assess. 2018, 190, 361. [Google Scholar] [CrossRef]
- Feng, J.C.; Thompson, D.G.; Reynolds, P.E. Fate of glyphosate in a Canadian forest watershed. 1. Aquatic residues and off-target deposit assessment. J. Agric. Food Chem. 1990, 38, 1110–1118. [Google Scholar] [CrossRef]
- Roy, D.N.; Konar, S.K.; Banerjee, S.; Charles, D.A.; Thompson, D.G.; Prasad, R. Persistence, movement, and degradation of glyphosate in selected Canadian boreal forest soils. J. Agric. Food Chem. 1989, 37, 437–440. [Google Scholar] [CrossRef]
- Glozier, N.E.; Struger, J.; Cessna, A.J.; Gledhill, M.; Rondeau, M.; Ernst, W.R.; Sekela, M.A.; Cagampan, S.J.; Sverko, E.; Murphy, C.; et al. Occurrence of glyphosate and acidic herbicides in select urban rivers and streams in Canada, 2007. Environ. Sci. Pollut. Res. 2012, 19, 821–834. [Google Scholar] [CrossRef] [PubMed]
- Battaglin, W.A.; Meyer, M.T.; Kuivila, K.M.; Dietze, J.E. Glyphosate and Its Degradation Product AMPA Occur Frequently and Widely in U.S. Soils, Surface Water, Groundwater, and Precipitation. JAWRA J. Am. Water Resour. Assoc. 2014, 50, 275–290. [Google Scholar] [CrossRef]
- Lucotte, M.; D’anglejan, B. A comparison of several methods for the determination of iron hydroxides and associated orthophosphates in estuarine particulate matter. Chem. Geol. 1985, 48, 257–264. [Google Scholar] [CrossRef]
- Alferness, P.L.; Iwata, Y. Determination of Glyphosate and (Aminomethyl)phosphonic Acid in Soil, Plant and Animal Matrixes, and Water by Capillary Gas Chromatography with Mass-Selective Detection. J. Agric. Food Chem. 1994, 42, 2751–2759. [Google Scholar] [CrossRef]
- Deyrup, C.L.; Chang, S.M.; Weintraub, R.A.; Moye, H.A. Simultaneous esterification and acylation of pesticides for analysis by gas chromatography. 1. Derivatization of glyphosate and (aminomethyl) phosphonic acid with fluorinated alcohols-perfluorinated anhydrides. J. Agric. Food Chem. 1985, 33, 944–947. [Google Scholar] [CrossRef]
- Mocak, J.; Bond, A.; Mitchell, S.; Scollary, G. A statistical overview of standard (IUPAC and ACS) and new procedures for determining the limits of detection and quantification: Application to voltammetric and stripping techniques (technical report). Pure Appl. Chem. 1997, 69, 297–328. [Google Scholar] [CrossRef]
- Ibáñez, M.; Pozo, O.; Sancho, J.; López, F.; Hernandez, F. Residue determination of glyphosate, glufosinate and aminomethylphosphonic acid in water and soil samples by liquid chromatography coupled to electrospray tandem mass spectrometry. J. Chromatogr. A 2005, 1081, 145–155. [Google Scholar] [CrossRef]
- Gunarathna, S.; Gunawardana, B.; Jayaweera, M.; Manatunge, J.; Zoysa, E.K. Glyphosate and AMPA of agricultural soil, surface water, groundwater and sediments in areas prevalent with chronic kidney disease of unknown etiology, Sri Lanka. J. Environ. Sci. Health Part B 2018, 53, 729–737. [Google Scholar] [CrossRef]
- Helander, M.; Saloniemi, I.; Saikkonen, K. Glyphosate in northern ecosystems. Trends Plant Sci. 2012, 17, 569–574. [Google Scholar] [CrossRef] [PubMed]
- Bento, C.P.M.; Yang, X.; Gort, G.; Xue, S.; van Dam, R.; Zomer, P.; Mol, H.G.J.; Ritsema, C.J.; Geissen, V. Persistence of glyphosate and aminomethylphosphonic acid in loess soil under different combinations of temperature, soil moisture and light/darkness. Sci. Total Environ. 2016, 572, 301–311. [Google Scholar] [CrossRef] [PubMed]
- Kjær, J.; Olsen, P.; Ullum, M.; Grant, R. Leaching of Glyphosate and Amino-Methylphosphonic Acid from Danish Agricultural Field Sites. J. Environ. Qual. 2005, 34, 608–620. [Google Scholar] [CrossRef] [PubMed]
- Banks, M.L.; Kennedy, A.C.; Kremer, R.J.; Eivazi, F. Soil microbial community response to surfactants and herbicides in two soils. Appl. Soil Ecol. 2014, 74, 12–20. [Google Scholar] [CrossRef]
- Sidoli, P.; Baran, N.; Angulo-Jaramillo, R. Glyphosate and AMPA adsorption in soils: Laboratory experiments and pedotransfer rules. Environ. Sci. Pollut. Res. 2016, 23, 5733–5742. [Google Scholar] [CrossRef]
- Cassigneul, A.; Benoit, P.; Bergheaud, V.; Dumeny, V.; Etiévant, V.; Goubard, Y.; Maylin, A.; Justes, E.; Alletto, L. Fate of glyphosate and degradates in cover crop residues and underlying soil: A laboratory study. Sci. Total Environ. 2016, 545–546, 582–590. [Google Scholar] [CrossRef]
- Okada, E.; Costa, J.L.; Bedmar, F. Adsorption and mobility of glyphosate in different soils under no-till and conventional tillage. Geoderma 2016, 263, 78–85. [Google Scholar] [CrossRef]
- Andréa, M.M.D.; Peres, T.B.; Luchini, L.C.; Bazarin, S.; Papini, S.; Matallo, M.B.; Savoy, V.L.T. Influence of repeated applications of glyphosate on its persistence and soil bioactivity. Pesqui. Agropecu. Bras. 2003, 38, 1329–1335. [Google Scholar] [CrossRef] [Green Version]
- Fomsgaard, I.S.; Spliid, N.H.H.; Felding, G. Leaching of Pesticides Through Normal-Tillage and Low-Tillage Soil—A Lysimeter Study. II. Glyphosate. J. Environ. Sci. Health Part B 2003, 38, 19–35. [Google Scholar] [CrossRef]
- Soracco, C.G.; Villarreal, R.; Lozano, L.A.; Vittori, S.; Melani, E.M.; Marino, D.J.G. Glyphosate dynamics in a soil under conventional and no-till systems during a soybean growing season. Geoderma 2018, 323, 13–21. [Google Scholar] [CrossRef]
- Peruzzo, P.J.; Porta, A.A.; Ronco, A.E. Levels of glyphosate in surface waters, sediments and soils associated with direct sowing soybean cultivation in north pampasic region of Argentina. Environ. Pollut. 2008, 156, 61–66. [Google Scholar] [CrossRef] [PubMed]
- Gjettermann, B.; Petersen, C.T.; Hansen, S.; Bender Koch, C.; Styczen, M. Kinetics of Glyphosate Desorption from Mobilized Soil Particles. Soil Sci. Soc. Am. J. 2010, 75, 434. [Google Scholar] [CrossRef]
- Lipiec, J.; Kus, J.; Nosalewicz, A.; Turski, M. Tillage system effects on stability and sorptivity of soil aggregates. Int. Agrophys. 2006, 20, 189–193. [Google Scholar]
- Sheals, J.; Sjöberg, S.; Persson, P. Adsorption of Glyphosate on Goethite: Molecular Characterization of Surface Complexes. Environ. Sci. Technol. 2002, 36, 3090–3095. [Google Scholar] [CrossRef]
- Barja, B.; Dos Santos Afonso, M. Aminomethylphosphonic Acid and Glyphosate Adsorption onto Goethite: A Comparative Study. Environ. Sci. Technol. 2005, 39, 585–592. [Google Scholar] [CrossRef] [PubMed]
- Gimsing, A.; Borggaard, O. Competitive adsorption and desorption of glyphosate on clay silicates and oxides. Clay Miner. 2002, 37, 509–515. [Google Scholar] [CrossRef]
- Maqueda, C.; Undabeytia, T.; Villaverde, J.; Morillo, E. Behaviour of glyphosate in a reservoir and the surrounding agricultural soils. Sci. Total Environ. 2017, 593–594, 787–795. [Google Scholar] [CrossRef] [Green Version]
- Báez, M.E.; Espinoza, J.; Silva, R.; Fuentes, E. Sorption-desorption behavior of pesticides and their degradation products in volcanic and nonvolcanic soils: Interpretation of interactions through two-way principal component analysis. Environ. Sci. Pollut. Res. 2015, 22, 8576–8585. [Google Scholar] [CrossRef]
- Gros, P.; Ahmed, A.; Kühn, O.; Leinweber, P. Glyphosate binding in soil as revealed by sorption experiments and quantum-chemical modeling. Sci. Total Environ. 2017, 586, 527–535. [Google Scholar] [CrossRef]
- Paradelo, M.; Norgaard, T.; Moldrup, P.; Ferré, T.P.A.; Kumari, K.G.I.D.; Arthur, E.; de Jonge, L.W. Prediction of the glyphosate sorption coefficient across two loamy agricultural fields. Geoderma 2015, 259–260, 224–232. [Google Scholar] [CrossRef]
- Dollinger, J.; Dagès, C.; Voltz, M. Glyphosate sorption to soils and sediments predicted by pedotransfer functions. Environ. Chem. Lett. 2015, 13, 293–307. [Google Scholar] [CrossRef]
- Tsui, M.; Chu, L.M. Environmental fate and non-target impact of glyphosate-based herbicide (Roundup®) in a subtropical wetland. Chemosphere 2008, 71, 439–446. [Google Scholar] [CrossRef] [PubMed]
- Nguyen, N.K.; Dörfler, U.; Welzl, G.; Munch, J.C.; Schroll, R.; Suhadolc, M. Large variation in glyphosate mineralization in 21 different agricultural soils explained by soil properties. Sci. Total Environ. 2018, 627, 544–552. [Google Scholar] [CrossRef] [PubMed]
- Caetano, M.; Ramalho, T.; Botrel, D.; Cunha, E.; Mello, W. Understanding the inactivation process of organophosphorus herbicides: A DFT study of glyphosate metallic complexes with Zn2+, Ca2+, Mg2+, Cu2+, Co3+, Fe3+, Cr3+, and Al3+. Int. J. Quantum Chem. 2012, 112, 2752–2762. [Google Scholar] [CrossRef]
- Jonge, H.; de Jonge, L. Influence of pH and solution composition on the sorption of Glyphosate and Proch-loraz to a sandy loam soil. Chemosphere 1999, 39, 753–763. [Google Scholar] [CrossRef]
- Lupi, L.; Miglioranza, K.S.B.; Aparicio, V.C.; Marino, D.; Bedmar, F.; Wunderlin, D.A. Occurrence of glyphosate and AMPA in an agricultural watershed from the southeastern region of Argentina. Sci. Total Environ. 2015, 536, 687–694. [Google Scholar] [CrossRef] [PubMed]
- Bento, C.; Goossens, D.; Rezaei, M.; Riksen, M.; Mol, H.; Ritsema, C.; Geissen, V. Glyphosate and AMPA distribution in wind-eroded sediment derived from loess soil. Environ. Pollut. 2017, 220, 1079–1089. [Google Scholar] [CrossRef]
- Farenhorst, A.; Andronak, L.; McQueen, R. Bulk Deposition of Pesticides in a Canadian City: Part 1. Glyphosate and Other Agricultural Pesticides. Water Air Soil Pollut. 2015, 226, 47. [Google Scholar] [CrossRef] [Green Version]
- Lamprea, K.; Ruban, V. Pollutant concentrations and fluxes in both stormwater and wastewater at the outlet of two urban watersheds in Nantes (France). Urban Water J. 2011, 8, 219–231. [Google Scholar] [CrossRef]
- Chang, F.-C.; Simcik, M.; Capel, P. Occurrence and Fate of the Herbicide Glyphosate and Its Degradate Aminomethylphosphonic Acid in the Atmosphere. Environ. Toxicol. Chem. SETAC 2011, 30, 548–555. [Google Scholar] [CrossRef]
- Lupi, L.; Bedmar, F.; Puricelli, M.; Marino, D.; Aparicio, V.C.; Wunderlin, D.; Miglioranza, K.S.B. Glyphosate runoff and its occurrence in rainwater and subsurface soil in the nearby area of agricultural fields in Argentina. Chemosphere 2019, 225, 906–914. [Google Scholar] [CrossRef]
- Carles, L.; Gardon, H.; Joseph, L.; Sanchís, J.; Farré, M.; Artigas, J. Meta-analysis of glyphosate contamination in surface waters and dissipation by biofilms. Environ. Int. 2019, 124, 284–293. [Google Scholar] [CrossRef] [PubMed]
- Rampazzo Todorovic, G.; Rampazzo, N.; Mentler, A.; Blum, W.; Eder, A.; Strauss, P. Influence of soil tillage and erosion on the dispersion of glyphosate and aminomethylphosphonic acid in agricultural soils. Int. Agrophys. 2014, 28, 93–100. [Google Scholar] [CrossRef] [Green Version]
- Imfeld, G.; Lefrancq, M.; Maillard, E.; Payraudeau, S. Transport and attenuation of dissolved glyphosate and AMPA in a stormwater wetland. Chemosphere 2013, 90, 1333–1339. [Google Scholar] [CrossRef] [PubMed]
- Landry, D.; Dousset, S.; Fournier, J.-C.; Andreux, F. Leaching of glyphosate and AMPA under two soil management practices in Burgundy vineyards (Vosne-Romanée, 21-France). Environ. Pollut. 2005, 138, 191–200. [Google Scholar] [CrossRef] [PubMed]
- Norgaard, T.; Moldrup, P.; Ferré, T.; Olsen, P.; Rosenbom, A.; de Jonge, L. Leaching of Glyphosate and Aminomethylphosphonic Acid from an Agricultural Field over a Twelve-Year Period. Vadose Zone J. 2014, 13, 1–18. [Google Scholar] [CrossRef]





| Number of GBH Applications | Soil Preparation | |
|---|---|---|
| Tillage (T) | Direct Sowing (DS) | |
| 0 | 11 | 1 |
| 1 | 8 | 11 |
| 2 | 1 | 6 |
| Type of Soil a | Texture % of Dry Weight a | Study Region b | ||||||
|---|---|---|---|---|---|---|---|---|
| Sand | Silt | Clay | 1 | 2 | 3 | 4 | 5 | |
| Clay soils | ||||||||
| Clay (CT) | 0–40 | 0–40 | 45–100 | 7 | 3 | - | - | |
| Silty clay (SICT) | 0–20 | 40–60 | 40–60 | 3 | - | - | - | - |
| Sandy clay (SCT) | 45–65 | 0–20 | 35–55 | - | 1 | 1 | - | - |
| Loamy soils | ||||||||
| Clay Loam (CLT) | 20–45 | 15–52 | 27–40 | 2 | 1 | - | 1 | - |
| Loamy silty clay (LSCT) | 0–20 | 40–73 | 27–40 | 1 | 1 | - | - | - |
| Loam (LT) | 23–42 | 28–50 | 7–27 | 6 | 4 | 2 | 1 | 2 |
| Very fine sandy loam (VFSLT) | 0–20 | 88–100 | 0–12 | 1 | - | - | - | - |
| Sandy soils | ||||||||
| Sandy Loam (SLT) | 50–70 | 0–50 | 0–20 | 4 | - | - | 2 | - |
| Sand (ST) | 86–100 | 0–14 | 0–10 | 1 | - | - | 1 | - |
| Crop | n | Glyphosate mg·kg−1 | AMPA mg·kg−1 | ||||||
|---|---|---|---|---|---|---|---|---|---|
| Average | Min | Max | % Detection | Average | Min | Max | % Detection | ||
| RR | 42 | 0.07 ± 0.10 | 0.01 | 0.47 | 45 | 0.30 ± 0.23 | 0.02 | 1.09 | 82 |
| IP | 32 | 0.06 ± 0.09 | 0.01 | 0.45 | 34 | 0.26 ± 0.27 | 0.02 | 1.16 | 78 |
| OF | 16 | 0.04 ± 0.05 | 0.01 | 0.15 | 44 | 0.06 ± 0.08 | 0.02 | 0.24 | 31 |
| Variables | Axis 1 | Axis 2 | Axis 3 | Axis 4 | Axis 5 |
|---|---|---|---|---|---|
| Contribution | 23.8 | 18.7 | 15.28 | 12.3 | 10.31 |
| Glyphosate | 19.5 * | 0.7 | 12.9 | 0.1 | 0.1 |
| AMPA | 7.9 | 13.9 * | 13.7 | 4.8 | 0.4 |
| K+ | 18.3 * | 4.8 | 8.5 | 17.9 | 0.1 |
| Cu2+ a | 1.1 | 22.6 * | 11.1 | 8.0 | 10.5 |
| Mn2/3+ a | 1.7 | 7.9 | 12.0 | 24.7 | 22.6 |
| Fe2/3+ a | 15.2 * | 0.8 | 20.6 | 0.4 | 5.4 |
| Mg2+ a | 22.0 * | 8.4 | 0.08 | 0.01 | 0.9 |
| Al3+ a | 0.02 | 20.1 * | 1.2 | 17.5 | 27.7 |
| Ca2+ a | 14.0 * | 2.9 | 10.4 | 11.8 | 8.3 |
| P exchangeable | 0.2 | 17.8 * | 9.5 | 14.9 | 23.9 |
Publisher’s Note: MDPI stays neutral with regard to jurisdictional claims in published maps and institutional affiliations. |
© 2022 by the authors. Licensee MDPI, Basel, Switzerland. This article is an open access article distributed under the terms and conditions of the Creative Commons Attribution (CC BY) license (https://creativecommons.org/licenses/by/4.0/).
Share and Cite
Maccario, S.; Lucotte, M.; Moingt, M.; Samson-Brais, É.; Smedbol, É.; Labrecque, M. Impact of Soil Characteristics and Weed Management Practices on Glyphosate and AMPA Persistence in Field Crops Soils from the St. Lawrence Lowlands (Quebec, Canada). Agronomy 2022, 12, 992. https://doi.org/10.3390/agronomy12050992
Maccario S, Lucotte M, Moingt M, Samson-Brais É, Smedbol É, Labrecque M. Impact of Soil Characteristics and Weed Management Practices on Glyphosate and AMPA Persistence in Field Crops Soils from the St. Lawrence Lowlands (Quebec, Canada). Agronomy. 2022; 12(5):992. https://doi.org/10.3390/agronomy12050992
Chicago/Turabian StyleMaccario, Sophie, Marc Lucotte, Matthieu Moingt, Émile Samson-Brais, Élise Smedbol, and Michel Labrecque. 2022. "Impact of Soil Characteristics and Weed Management Practices on Glyphosate and AMPA Persistence in Field Crops Soils from the St. Lawrence Lowlands (Quebec, Canada)" Agronomy 12, no. 5: 992. https://doi.org/10.3390/agronomy12050992
APA StyleMaccario, S., Lucotte, M., Moingt, M., Samson-Brais, É., Smedbol, É., & Labrecque, M. (2022). Impact of Soil Characteristics and Weed Management Practices on Glyphosate and AMPA Persistence in Field Crops Soils from the St. Lawrence Lowlands (Quebec, Canada). Agronomy, 12(5), 992. https://doi.org/10.3390/agronomy12050992

