Abstract
Intensive agriculture has resulted in various environmental impacts that affect ecosystems. In some cases, the application of conventional fertilizers has deteriorated water quality, which includes the marine environment. For this reason, institutions have designed various strategies based on the principles of the circular economy and the bioeconomy. Both of these dynamics aim to reduce excessive fertilization and to inhibit the negative externalities it generates. In our work, a field trial is presented in which a 100% reduction in conventional inorganic fertilizers has been evaluated through a production methodology based on fertilization with reused plant debris in combination with other organic compounds. Based on one tomato crop, the profitability of this production technique has been analyzed in comparison with other conventional vegetable production techniques. The productivity and economic yield of the alternative crop was similar to that of the conventional crop, with a 37.2% decrease in water consumption. The reuse of biomass reduced production costs by 4.8%, while the addition of other organic amendments increased them by up to 22%. The results of our trial show that farms are more sustainable and more profitable from a circular point of view when using these strategies.
1. Introduction
In the last sixty years, the socio-economic structure of the province of Almeria (Spain) has undergone a metamorphosis due to the development of high-yield agriculture based on the greenhouse production of eight fruit and vegetable species (tomato, bell pepper, watermelon, zucchini, cucumber, watermelon, melon, eggplant, and green bean) [1]. The production model is at a stage of productive maturity [2]. The value at origin of the merchandise was estimated at EUR 2.3 million in the 2020/2021 campaign [3]. However, the economic benefit for farmers in Almeria has diminished in recent years, even to the point of economic losses in some of the crop rotations traditionally used [2]. Production costs have increased while the price at origin of fruits and vegetables has remained constant. In addition, there has been competition with developing countries that produce their goods at lower costs mainly because they spend less on labor [2,4].
From an environmental point of view, the Almeria model employs a production methodology that uses less energy than other similar agricultural systems. The most widespread production structure is the unheated “Raspa y Amagado” greenhouse [5,6,7]. In addition, various agro-ecological techniques are generally used during the production of fruit and vegetable products (e.g., integrated production, biological control, bio-disinfection, etc.) [3,8]. However, Almeria’s natural landscape has also suffered from different environmental impacts due to agricultural production, leading to a loss of biodiversity, soil erosion, overexploitation of aquifers, and the accumulation of agricultural waste in the natural environment, among others [9,10,11].
At the end of the 20th century, the dumping of agricultural waste in the natural environment of Almeria provoked a health crisis. The ecosystems were polluted with crop residues mixed with the polypropylene ropes used in plant trellising. The situation led to an intervention by public institutions to correct the problems generated. As a result, various actions have been carried out to rid the countryside of Almeria of agricultural residues [11,12,13].
Recently, the European Union has developed different strategies and regulations that try to improve sustainability in the production model. They are based on the principles of the bioeconomy and circular economy [14,15,16]. The aim is to obtain economic growth that is decoupled from natural resource consumption and net greenhouse gas emissions by 2050 [16]. This calls for profound change in the production structure of the European Union through the use of new and environmentally friendly production methods since more than half of the world’s GDP depends on nature and its biodiversity [14,17]. Furthermore, these production methodologies must be designed in such a way as to allow for the reuse, reduction, and recycling of the inputs used [15]. Two documents mainly concern agriculture—the farm-to-fork strategy and the biodiversity strategy. Regarding the agricultural process, there is a need to reduce the following: nutrient losses by 50% (mainly nitrogen and phosphorus), the application of fertilizers by 20%, and the use of phytosanitary products by 50%. There is also a call to increase the area under organic certification by 25% [18]. In terms of waste, there is a need to reuse the secondary elements (by-products) obtained in the production processes [19]. For this reason, the identification of alternative production methods that provide producers with the tools they need to meet these objectives is of great interest.
In Almeria, around 1.8 million tons of vegetable waste is generated annually. Most of this material is managed by an external manager who converts the material into compost at a cost assumed by the farmers [12]. However, this management system does not offer a complete solution for the needs of the agricultural sector in Almeria, and this has led to the dumping of agricultural biomass into the natural areas of the territory [11]. The main reason for this is the seasonal production of more than 80% of plant debris in only three months (February, May, and June), which makes it difficult to maintain stable inputs for the transformation processes of the vegetal element [12,20]. In addition, in some agricultural districts, the low number of farms does not justify the investment to build management plants, which increases transport costs and makes it more difficult to manage the agricultural biomass [12]. Some of the alternatives evaluated have not been able to mitigate the problems generated (i.e., energy production, animal feed, etc.), mainly due to the low caloric content of plant debris compared to other by-products or the seasonal production [20].
There are several opportunities to apply the principles of the bioeconomy and circular economy in the Almeria model [11,21,22], which has been identified as one of the collective changes to be made in the production system [10]. The reuse of plant debris can help to reduce the quantity of inorganic fertilizer applied to crops, mainly when their incorporation is carried out through the biosolarization technique [23,24,25] to decrease production costs [11]. However, the self-management of plant residue is not a technique that is widespread in greenhouse agriculture in Almeria [5].
The biosolarization technique is a bio-disinfection methodology that combines soil solarization and biofumigation [26,27]. It has been traditionally used as an alternative to chemical soil disinfectants because of its effectiveness in pathogen control [28,29,30,31,32,33,34]. In addition, benefits to soil fertility have also been observed during its use due to the improvement of physical (infiltration rate) [23,35] and chemical (organic matter content, total nitrogen, available potassium, available phosphorus, etc.) properties [23,34,36,37,38]. This has resulted in significant increases in the production of horticultural crops grown in soils free of previous edaphic diseases [36]. Some of the organic amendments that have been traditionally used are plants of the Brassica genus. Specifically, they have been used both as a kind of green manure [39] or in the form of transformed compounds presented as dehydrated pellets [30,40]. They have been attributed an ability to limit the development of soil pathogens and, thus, the capacity to infest plants through the synergistic effect produced between the ascensus of soil temperature [26] and compounds obtained from the decomposition of organic amendments such as glucosinolates [39]. However, other organic amendments, such as plant debris or manure, have shown a similar effect in terms of disease control [29,30,31]. In addition, the fertilizing effect of organic amendments has rarely been tested in previous research, as crops have been managed under commercial practices and inorganic fertilizers have been added. The use of by-products (i.e., agricultural biomass) in biodisinfection techniques can reduce external dependence on inputs and promote their management through a circular approach [24].
The sustainability objectives set by the European Union proposed a paradigm shift in its production structure, which affects crop fertilization. Therefore, the problem is more serious when dealing with intensive agriculture that uses a high amount of inorganic fertilizers. Previous research has proposed plant debris or manure with solarization in soils free of edaphic pathologies as an alternative to the fertilizer reduction proposed by the European Union [23,41]. However, the existing information is not abundant when these organic amendments are combined with Brassica carinata pellets in disease-free soils in long production cycles. Moreover, they are not accompanied by economic balance. Thus, the objectives of this research were the following:
- -
- To evaluate the fertilizing effect of various organic amendments (Brassica carinata pellets and/or tomato plant debris) on final production and quality with a 100% reduction in inorganic fertilization versus conventional cultivation and no fertilization in tomato production cycles of at least seven and a half months, the vigor of seedlings grown under controlled conditions, the application of irrigation water, and the economic benefit.
- -
- To study the economic impact of the reuse of plant debris on the economic benefit of the five main rotation alternatives used in greenhouse agriculture in the province of Almeria.
2. Materials and Methods
2.1. Location, Greenhouse, Irrigation System, and Soil
The experiment was carried out over three consecutive years (2015–2016, 2016–2017, and 2017–2018) at the experimental farm “Catedrático Eduardo Fernández” of the UAL-ANECOOP Foundation, located in the municipality of Almeria (Spain). The greenhouse used was the “Raspa y Amagado” type, a typical production structure of the Almeria model [7] with an area of 1784 m2 and a northwest–southwest orientation. The crop rows were double and had a similar orientation. The heights of the ridge and lateral bands were 4.70 and 3.40 m, respectively. The greenhouse irrigation system consisted of two independent sectors, which allowed for the supply of different water and inorganic fertilizers to each sector. The emitters provided a nominal flow rate of 3 L·h−1. The greenhouse soil was a mixture of gully soil and sand. The soil texture was sandy loam, and its physicochemical composition is shown in Table 1.
Table 1.
Physical and chemical composition of greenhouse soil.
2.2. Production Cycles and Crop Management
The tomato production cycles began with the transplanting of the seedlings during the first week of September in each year of the trial and lasted 215, 212, and 217 days after transplanting (DAT), respectively, while extending until April of the following year. In each year of the experiment, tomato (Solanum lycopersicum Mill.) cultivar “Pitenza F1” (Enza Zaden, Enkhuizen, The Netherlands) seedlings that had been grown in the seedbed for approximately 35 days were used. The initial planting density was 2 plants/m2. The tomato crop received the cultural management suggested by Camacho-Ferre [42]. Tomato plants were guided through polypropylene ropes (raffia) without using staking clips. On-demand irrigation was applied to each sector of the greenhouse based on readings taken from two IRROMETER Model R tensiometers (Irrometer, Riverside, CA, USA). Pests and diseases were controlled according to Integrated Production (IP) regulations.
2.3. Experimental Design
A single-factorial experimental design with four experimental plots for each treatment (n = 4) was used in this trial. The treatments used in the investigation depended on the main source of nutrition applied (i.e., organic, inorganic, or non-fertilization). Thus, the treatments that received inorganic nutrition were located in a different sector of the greenhouse from those that were fertilized only with organic amendments or those that were not fertilized to avoid cross-contamination between experimental plots. The experimental design used was the one previously published by Castillo-Díaz et al. [23], with the addition of four more treatments for each year of the trial. During the first two years, exclusive fertilization with 3.5 kg·m−2 tomato plant debris and inorganic fertilization were combined with Brasssica carinata pellets (BioFence®) at doses of 0.5 y 1.0 kg·m−2. The dose recommended by the manufacturer (0.3 kg·m−2) was increased based on the results obtained in two previous investigations [24,36]. In the third year of the trial, the addition of Brasssica carinata pellets in both the organic and inorganic fertilization was eliminated and replaced by various doses of tomato plant debris. The treatments used during the three years of the trial are shown in Table 2.
Table 2.
Treatments applied to the greenhouse tomato crop during the research (September–April cycles).
2.4. Disinfection Process
In each of the three years of the trial, physical soil disinfection (solarization) or biosolarization (solarization + organic amendments) procedures were applied before transplanting the tomato seedlings. The procedure began with the elimination of the trellising raffia from the previous tomato plant crops. Subsequently, the plant debris was deposited on the central concrete aisle of the greenhouse. Afterward, the drip branches were collected and the tomato plant debris was shredded using a hammer mill. The shredded material was spread on the soil surface of the experimental plots using the element in the doses tested (Table 2). The tomato plant debris was then mixed into the upper soil profile (at a depth of 20–30 cm) using a rotovator. During the first years of the trial, furrows were opened in treatments IFB1, IFB2, PDB1, and PDB2, and the tested doses of Brassica carinata pellets were added. The furrows were then closed after the addition of the material. The experimental plots of the Test and IF treatments did not receive any additional tomato plant debris or Brassica carinata pellets during the three years of investigation.
After the incorporation of the organic amendments, the drip lines were reinstalled and the floor of the entire greenhouse was covered with a transparent polyethylene cover with a thickness of 50 µm (except for the central concrete aisle). The contour of the plastic cover was sealed while employing a groove (20 cm base and 30 cm height), and the polyethylene sheets were joined together using staples and it was attached to the different posts of the greenhouse with adhesive tape. Finally, irrigation was applied until the soil reached the saturation point (56 L·m−2·year−1). The duration of the disinfection treatments was three months each year, and they were carried out between June and September.
The experimental plots for all treatments used during the three years of research had an area of 40 m2 (80 tomato plants per repetition), except for the Test treatment, which was assigned half the area and number of plants.
2.5. Crop Production
The crop yield was evaluated during the 14, 15, and 18 harvests carried out in the three crop cycles, respectively. Operations started from 92 DAT of the first crop, and from 99 DAT on the second and third crops. The criterion for commercial maturity was dictated by the marketing entity during the three crop cycles. The variables calculated were the cumulative production per unit area and the fruit mass. For this purpose, the products obtained from each experimental plot were quantified independently. In addition, 25 tomato fruits were randomly selected from each repetition and their masses were determined. The measurements were made with a scale (Mettler Toledo®, Columbus, OH, USA) with a sensitivity of 0.01 g.
2.6. Crop Quality
The tomato fruit quality was assessed five times during each production cycle, and the measurements ranged from 106 to 217 DAT. On the days of analysis, 10 tomato fruits per replicate were selected. A total of 200 fruits were analyzed for each treatment and year. Four parameters were analyzed—the equatorial diameter of the fruits by means of a digital caliper with a sensitivity of 0.01 mm (Mitutoyo; Kanagawa, Japan); the average firmness of the fruit pulp using a hardness tester with a sensitivity of 0.001 kg·cm−2 (Penefel DFT14, Agrosta, Compainville, France) found from three points located on the equatorial diameter of the fruit and equidistant from each other; the total soluble solid content in the fruit pulp with a refractometer with a sensitivity of 0.1 °brix, and the pH in the fruit pulp with a pH meter with a sensitivity of 0.01 pH units (pH-25, Crison, Barcelona, Spain).
2.7. Evaluation of Seedling Growth in a Controlled Environment Chamber
- Sampling and soil samples
Six different samplings were carried out during the research. The first was taken prior to the soil disinfection procedure (solarization or biosolarization) performed before the first crop. The remaining samples were taken at a rate of two per year, one immediately after soil disinfection (first week of September) and another after the end of cultivation (second week of April).
Soil samples were collected from three equidistant points located at an average distance between the two crop rows of each experimental unit. The masses of the samples were approximately 10 kg. After collection, they were homogenized and stored in a transparent polyethylene bag at 8 °C until analysis. The soil samples from the end of the third crop could not be analyzed due to a preservation problem.
- 2.
- Definition and plant material
The research included trials carried out with the horticultural seedlings of cucumbers (Cucumis sativus cv. Marketmore 76; Ramiro Arnedo S.A, Calahorra, Spain) and tomatoes (Solanum lycopersicum L. cv. Río Grande; Ramiro Arnedo S.A., Calahorra, Spain) grown in a controlled environment to observe the effect of the treatments applied on several variables regarding plant vigor. In other studies, this methodology has been proven to be more sensitive in expressing the fertility associated with soil samples [23,43,44,45,46].
- 3.
- Description of the experiments
The experiments were performed in a controlled environment with a photoperiod of 14 h of daylight per day and a temperature of 21–25 °C. The lamps used were low-pressure mercury vapor lamps with a luminous flux of 12,000 lm. The horticultural species (cucumber and tomato) were planted in pots with a volume of 200 cm3. A substrate formed by soil and vermiculite at a 2:1 v/v ratio was poured into the pots, which included one seed each (experimental unit). Five replicates were carried out for each plant species and soil sample (20 pots per treatment and vegetable species). The seeds were disinfected with a 20% solution of sodium hypochlorite (40 g·L−1) for 15 min and rinsed with water from the municipal water supply. The trials lasted 30 days. During this time, on-demand irrigation was applied and no fertilizer was used. The experiment was conducted twice for each soil sample collected.
- 4.
- Analyzed variables and measurement process
Five plant vigor variables were measured for each cucumber and tomato seedling, as they were the most representative parameters in previous studies. The variables were the number of leaves, seedling height, aerial dry mass, root dry mass, and leaf area. After having carefully removed the dirt adhered to the horticultural seedlings with water from the municipal water supply, they were divided into two portions—the aerial part and the subway part—before being placed on filter paper. A dehydration protocol was then applied for 48 h at 72 °C with a J.P-Selecta Dry-Big 2003720 (Barcelona, Spain) until the mass of the seedlings acquired a constant value. The aerial and root masses were measured with a Metter Toledo PB 303-S balance (Columbus, OH, USA) with a sensitivity of 0.001 g. The numbers of leaves and heights were quantified visually at the beginning of the dehydration treatment, also using a tape measure with a sensitivity of 0.1 cm. The leaf area was determined with the free software ImageJ 1.48 (NIH Imagen, Bethesda, Maryland) after scanning the leaves and leaflets of the seedlings with an Epson Perfection 1240 optical reader (Epson, Suwa, Japan).
2.8. Irrigation Water
In the third year of the trial, an estimation of the water applied to each irrigation sector (i.e., IF block and PD block) was made. The measure was obtained from the frequency, irrigation time, and flow rate applied to each irrigation sector.
2.9. Economic Analysis
Two economic analyses were carried out, which were based on the principle of maximizing the benefit to the farmers. According to the experimental results of this study, a proposal was made to reduce costs by cutting down on various agricultural inputs (i.e., water, fertilizers, chemical disinfectants, and sanding management). The profit before tax (NPbt) was used as a determinant parameter. The variable was calculated using the following mathematical expression:
NPbt = TNR − TC,
NPbt—profit before tax; TNR—total annual revenues; TC—total cost.
2.9.1. Analysis 1
The annual pre-tax economic benefit obtained by the 11 treatments applied in the experimental greenhouse was studied (Table 2). The technical characteristics of the greenhouse used and the production methodology are those shown in Section 2.1 and Section 2.2, respectively.
2.9.2. Analysis 2
The pre-tax economic benefit of the five horticultural alternatives suggested by Honoré et al. [2] was evaluated. However, the study period was extended to five consecutive years spanning February 2016 to January 2021 (Table 3). The species used in the different alternatives are those commonly used in greenhouse agriculture in Almeria (four cucurbits, three solanaceous, and one legume) [1,8]. The first four alternatives employ a production methodology based on short crop cycles (i.e., two cycles per year—autumn to winter cycle + spring to summer cycle).
Table 3.
Crop alternatives economically evaluated in the 2016–2021 period.
- Production methodologies evaluated in Analysis 2
The estimated duration of the vegetative development phase and productive period for each season was 310 DAT. A total of 55 days were considered for the other pre-and post-cultivation tasks. The five horticultural alternatives were subjected to three production methodologies, as follows:
- Methodology 1: The conventional production protocol performed in the greenhouse horticultural field of Almeria as described by Honoré et al. [2].
- Methodology 2: An alternative production model. A proposal for the self-management of plant debris obtained during the production process. A reduction in the water (37.2%), land preparation, external management of plant debris (100%), and chemical soil disinfectants (100%) is contemplated. However, traditional inorganic cover crop fertilization is maintained.
In this methodology, a single addition of all the plant debris obtained during the entire campaign is applied in the summer months before the beginning of the following campaign. The amount of vegetable debris added was 5 kg·m−2 of fresh matter. A biosolarization protocol was applied after their incorporation. For the short-cycle horticultural alternatives, the vegetable debris obtained from the autumn–winter cycle are stored at the farm under a thermal blanket.
- Methodology 3: Production Methodology 2 is carried out contemplating a total reduction in inorganic fertilizers during 215 of the 310 days of the vegetative growth phase and the production period.
2.9.3. Income and Expense Structure
The income and expense structure used in this work was based on the one proposed by Honoré et al. [2], which followed the guide used by the experimental farm “Catedrático Eduardo Fernández” of the UAL-ANECOOP Foundation and the one suggested by Toresano and Ca-macho-Ferre [47] for Agroseguros, S.A.-Spain. The latter corresponded to unpublished data obtained as a result of Service Provision PS20120000000000184 of the Research Results Office (OTRI) of the University of Almeria. The values provided have been updated annually under the general national index ECOICOP (European Classification of Individual Consumption by Purpose).
- Cost
Regarding the variable operating costs, it was estimated that the price of soil preparation is similar for all the types of crops studied. Land preparation was adjusted to the duration of the production cycles (short or long cycles). In addition, the costs of conventional soil disinfection were incorporated, as they were not included in the “land preparation” item [2]. Biennial solarization disinfection and quadrennial chemical disinfection were estimated for Analysis 2. As for Analysis 1, the item of land preparation was not considered since the greenhouse does not have a sanding system, and the disinfection expenditure was adjusted to the specific one obtained in the greenhouse. Seed and seedbed expenses were obtained by the annual cost for each plant species. The expenses for water, fertilizers, phytosanitary products, labor, tutors, auxiliary insects, and crop residue management were included under the heading “Growing and development until 1st inflorescence.” “Flowering periods until 1st harvesting season” and “From the 1st harvesting season until the end of the cultivation” were included under the same heading (“Inputs and labor”), and the concepts water, fertilizers, and crop residue management were eliminated and incorporated as independent items. Water and fertilizer expenses for each species and season were obtained from the Price and Market Observatory of the Junta de Andalucia [48]. The water and fertilizer expenses for each species and season were obtained from the Price and Market Observatory of the Junta de Andalucia [48]. The cost of plant residue management was obtained from the one reported by Torres-Nieto [49] (removal from the greenhouse + transport to the plant + management at the plant). In addition, a specific item was added (“Incorporation of plant debris”) that includes the costs of the raffia removal, pre-treatment, shredding, incorporation into veneers, and, if it is necessary to conserve the shredded material, a thermal blanket. The prices of the thermal blanket, Brassica carinata pellets (BioFence®), and chemical disinfectant were obtained after consultation with centers supplying inputs to farms. The expenses for the cover and structure include the expenditure on accessory inputs for the greenhouse cover and auxiliary production structures.
As for fixed costs, depreciation and amortization were calculated for all the production methods used in each analysis. In addition, all the expenses for energy, insurance, and financial services were included.
- 2.
- Income
The income was obtained from the product between production and the price at origin of the fruit and vegetable species. In Analysis 1, the income was calculated from the cumulative production per unit area of each experimental plot and the average price of a tomato offered by the Observatory of Prices and Markets of the Junta de Andalucia in the harvest periods of the 2015/2016, 2016/2017, and 2017/2018 campaigns (i.e., between the months of December and April) [48]. In Analysis 2, it was obtained from the production per unit of the annual average area and the annual average price of each plant species. The annual average in the Almeria model was reported by the Government of Andalucia [2,48].
2.10. Statistical Treatment
A statistical treatment consisting of an analysis of variance (one-way ANOVA) was performed to study the general effect of the treatments applied to the soil (i.e., Test, IF, IFB1, IFB2; PD, PDB1, PDB2, IFPD, IFPD1, PD1, and PD2) on the different parameters evaluated (production, quality, plant vigor in a controlled environment chamber, and Economic Analysis 1). In addition, an independent statistical treatment that separately confronted the treatments included in the inorganic (IF, IFB1, IFB2, IFPD, IFPD1) and organic (PD, PDB1, PDB2, PD1, and PD2) blocks for each year of research was carried out. This analysis was performed to observe the influence of Brassica carinata pellets (BioFence®) and tomato plant debris, using the IF and PD treatments as controls, respectively.
Beforehand, the assumptions of normality and homoscedasticity were verified with the Shapiro–Wilk and Bartlett tests, respectively. Subsequently, a multiple range test was performed using Tukey’s honestly significant difference post hoc test (Tukey’s HDS) at a confidence level of 95%. In the case of not meeting the requirements of the analysis of variance (one-way ANOVA), the nonparametric Kruskal–Wallis test was used. Statistical analyses were performed with STATGRAPHIC CENTURION XVIII statistical software (Manugistic Incorporate, Rockville, Maryland) for Windows.
3. Results and Discussion
This study was intended to provide a broader view of the effects on final commercial production and its quality using fresh tomato plant debris from the previous crop with or without Brassica carinata pellets incorporated through the biosolarization technique as a sole source of fertilization versus a conventional crop and no fertilization, as well as the vigor of seedlings grown under controlled conditions to monitor soil fertility, and an economic profitability analysis. Previous research has reported that fresh tomato plant debris can maintain a similar yield to that of the conventional crop in cycles of approximately 215 DAT [23]. The addition of Brassica carinata to fresh plant debris has been successful in maintaining yields similar to fresh plant debris in tomato production cycles with a duration of less than 170 DAT [24,50]. However, information is limited when it comes to long-duration cycles. Additionally, it is complemented with an economic analysis of five crop alternatives traditionally used in the Almeria model to observe the impact of some of the agricultural policies proposed by the European Union based on the bioeconomy and the circular economy, as well as the possible benefits that producers could obtain from their application. [11].
3.1. Crop Production
Commercial production varied significantly according to the treatments applied at the end of each year of study, as shown in Figure 1. The experimental plots that were not fertilized showed lower production than the rest of the treatments (IF, IFB1, IFB2, PD, PDB1, PDB2, IFPD, IFPD1, PD1, and PD2) during the three years of the trial. In turn, an expected behavior was observed—a progressive reduction in their final commercial production throughout the three years of research. The productive trend was different from that obtained by Ruiz-Olmos et al. [51] in a bell pepper crop between its treatment without fertilizer and mixed organic fertilization with papaya plant debris and coconut fiber incorporated through the biosolarization technique; however, it was analogous to that reported by Bilalis et al. [52] in a tomato crop intended for industry between the fertilized treatments (with organic or inorganic fertilizer) and that with only water added. In addition, the authors observed a decrease in the final yield of the treatment without fertilization during their experiment.
Figure 1.
Cumulative tomato production in the three years of study (September–April cycles) as a function of crop nutrition: (a) Crop 1; (b): Crop 2; (c): Crop 3. Values (mean ± standard deviation). Different letters indicate significant differences (p ≤ 0.05, Tukey’s HDS test). No fertilization (test); inorganic fertilization (IF); inorganic fertilization + 0.5 kg·m−2 of Brassica carinata pellets (IFB1); inorganic fertilization + 1.0 kg·m−2 of Brassica carinata pellets (IFB2); 3.5 kg·m−2 of tomato plant debris (PD); 3.5 kg·m−2 of tomato plant debris + 0.5 kg·m−2 of Brassica carinata pellets (PDB1); 3.5 kg·m−2 of tomato plant debris + 1.0 kg·m−2 of Brassica carinata pellets (PDB2); inorganic fertilization + 3.5 kg·m−2 of tomato plant debris (IFPD); inorganic fertilization + 5 kg·m−2 of tomato plant debris (IFPD1); 5 kg·m−2 of tomato plant debris (PD1); 6.5 kg·m−2 of tomato plant debris (PD2). * Source: own elaboration based on Castillo-Díaz et al. [23].
In general, treatments that received inorganic fertilization throughout the growing season (with or without Brassica carinata pellets or tomato plant debris) achieved similar final yields to treatments that were fertilized only with organic amendments (i.e., tomato plant debris with or without Brassica carinata pellets). However, when a dose of 1.0 kg·m−2 of Brassica carinata pellets was added to the inorganic mulch fertigation (IFB2), the final yield increased during the first two crop cycles compared to PD (Figure 1). It is worth mentioning the occurrence of an epidemic of Botrytis cinerea, which was impossible to control during the second growing cycle given the environmental conditions conducive to its appearance. The distribution of the disease was similar among all treatments (Kruskal–Wallis p-value: 0.1970) and caused an average mortality of 39.1 ± 18.7 %. The epidemic could have influenced the comparison of the final yield of the IF, IFB1, and PD treatments. Different authors have reported a similar result when comparing the final production of a tomato crop fertilized with inorganic fertilization versus exclusive nutrition with different organic amendments (compost, bone meal, blood or hoofs, chicken, sheep or turkey manure, and plant debris) [52,53,54,55]. In addition, in greenhouse agriculture in Almeria, nutrition with fresh sheep manure incorporated by the biosolarization technique has been proposed as a viable alternative to the reduction in organic fertilizers authorized by the organic production regulation of the European Union in winter tomato crop cycles. However, some research conducted in the same region has reported a significant decrease in the total yield of three cycles of long-term bell pepper crops fertilized with bell pepper plant debris, vegetable compost, and a small amount of inorganic fertilizer compared to conventional cultivation. The authors did not use the biosolarization technique [25]. In soils free of telluric diseases, the biosolarization technique has been described as a methodology capable of improving the chemical quality of soil, and with it, the productivity of the crop despite the application of inorganic cover crop fertilizers [36,37,38]. Therefore, the application of the biodisinfection protocol could have influenced the expression of our results. In addition, fresh plant debris can be associated with various pests and diseases, a common situation in a commercial production cycle. The biosolarization technique can help to reduce the inoculum present in the plant material [24,29].
Therefore, the results suggest that the use of plant by-products (fresh tomato plant debris) with biosolarization can be a viable alternative to the fertilizer reduction proposed by the European Union from a production point of view. The application of circular economy principles in terms of agricultural biomass management is an interesting opportunity for producers to increase the sustainability of their farms [11]. In addition to offering alternatives for the production of fruit and vegetables under European organic certification, which prohibits the use of inorganic fertilizers [56]. The European Union wants to increase its organic area to 25% of agricultural land by 2030 [18]. Therefore, the identification of circular production methods that can be used in organic production, such as the one presented here, is of great importance. However, the theoretical nutrient imbalance caused by the non-incorporation of the harvested fruits into the soil could lead to a loss of productivity in the long term [57], although this was not observed in our trial after repeating the production technique for three consecutive years and after being carried out in the same greenhouse for two years before the start of our trial [24]. This could be solved by adding manure to the plant debris. Specifically, the producers of the Almeria model carry out an application of animal by-products (fresh manure) every three or four years during the summer prior to transplanting crops, a process known as “broadcasting the manure” [8]. The work could be used to even out the nutrient balance if there is a long-term loss of yield. On the other hand, it would also be possible to add some type of organic or mineral fertilizer through the irrigation system at times when crops may suffer from biotic or abiotic stress. The measures proposed by the European Union intend to give priority to production methods that are harvested under organic certification. It is, therefore, more tempting to use organic or mineral fertilizers or other by-products that can be applied with plant debris, such as manure, than it is to add inorganic fertilizers while trying to comply with this certification to meet the sustainability goals set by the European Union [18,56]. However, a reduced input of inorganic fertilizers could also be made in crop production models where their use is allowed. In our trial, no inorganic, organic, or mineral fertilizers were applied to the Test, PD, PDB1, PDB2, PD1, or PD2 treatments by the irrigation system at any time during the experiment.
The results suggest that the combined addition of Brassica carinata pellets to the inorganic mulch fertilizer or the fresh tomato plant debris did not have a significant effect on the final commercial production of the IF and PD blocks (Table 4). However, due to the experimental design used in this research, it is not possible to provide a complete answer to the nutritive effect of the pelleted organic amendment by itself since there were not two treatments with 0.5 y 1.0 kg·m−2 of Brassica carinata pellets that were not fertilized with any other fertilizer. Thus, several authors have analyzed the effect of doses starting from 0.2 a 1.5 kg·m−2 of Brassica carinata pellets (with biosolarization) on the productive yield of different crops grown and have obtained a slight or significant increase in production compared to untreated or methyl bromide disinfected plots. However, some studies report the existence of soil-borne diseases caused by various pathogenic organisms where the material seems to partially limit the expression of the theoretical potential inoculum present in the soil [30,31,33,58] or the picture of the disease produced by the pathogenic organisms [30,31,33,40]. Therefore, the resulting increase in crop yields could be due to the reduction in production losses caused by telluric diseases. On the other hand, the material has been tested in combination with or in comparison to other organic amendments. Some of the organic materials have achieved a similar or superior effect to the single Brassica carinata pellet supply (e.g., fresh chicken manure, sugar beet vinasse, dried olive pomace, or fresh sheep manure) [30,31,33] (Table 5). Moreover, when the material was tested in pathogen-free soil with biosolarization, it also failed to achieve a significant increase in yield compared to treatment with inorganic mulch fertilization [24,36] or other organic amendments of plant origin [24]. In the third year of the trial, the various doses of plant debris applied to the IF and PD blocks also failed to achieve a significant increase in the final commercial production (Table 4). The trend obtained during the three years of testing is contrary to that reported by Mauromicale et al. [37,38]. The authors achieved a significant increase in the production of various tomato crops managed under commercial greenhouse practices by applying biosolarization in soils free of pathogenic organisms.
Table 4.
Influence of Brassica carinata pellets (Crops 1 and 2) and tomato plant debris (Crop 3) on final commercial production in the IF and PD blocks.
Table 5.
Effect of Brassica carinata pellets with biosolarization on the yield of several crops affected by soil pathologies.
3.2. Crop Quality
The mass and equatorial diameter of tomato fruits did not show significant differences starting in the second year of the study between the treatments that were fertilized with or without the addition of inorganic cover crop fertilization (IF, IFB1, IFB2, PD, PDB1, PDB2, IFPD, IFPD1, PD1, and PD2), but did with respect to non-fertilization (Test). The Test treatment showed a trend similar to that observed in the final commercial production, that is, a progressive decrease in fruit mass and equatorial diameter during the experiment (Table 6). Thus, the addition of organic amendments to the IF block or their increased dosage in the PD block did not have a significant influence on fruit mass or equatorial diameter (Table 7). Bialis et al. [52] showed a partially similar trend in their tomato production cycles, finding differences in fruit mass between plots fertilized with inorganic fertilizer and unfertilized plots, but no differences in equatorial diameter. Mauromicale et al. [37,38] reported an increase in fruit mass in plots where solarization was combined with organic amendments versus those only solarized, although these authors incorporated inorganic fertilization into all their treatments.
Table 6.
Tomato fruit yield and quality parameters in the three years of study (September–April cycles) as a function of crop nutrition. Values (mean ± standard deviation).
Table 7.
Influence of Brassica carinata pellets (Crops 1 and 2) and tomato plant debris (Crop 3) on tomato fruit quality parameters in the IF and PD blocks.
The firmness, soluble solids, and fruit pulp pH showed variable trends during the trial. Although significant differences were observed during the first year of the trial for soluble solids and the fruit pulp pH, they were minimal (Table 6). A similar situation occurred in the independent comparison between blocks (Table 7). The results obtained are comparable to those reported by different studies that have analyzed the organoleptic quality of tomato fruits through exclusive fertilization with organic fertilizers versus conventional cultivation [53,55]. On the other hand, some studies have also reported an increase in the quality of the tomato crop harvest as a consequence of applying organic amendments [52], even when applied with biosolarization [38], a tendency that was not observed in our research.
3.3. Evaluation of Seedling Growth in a Controlled Environment Chamber
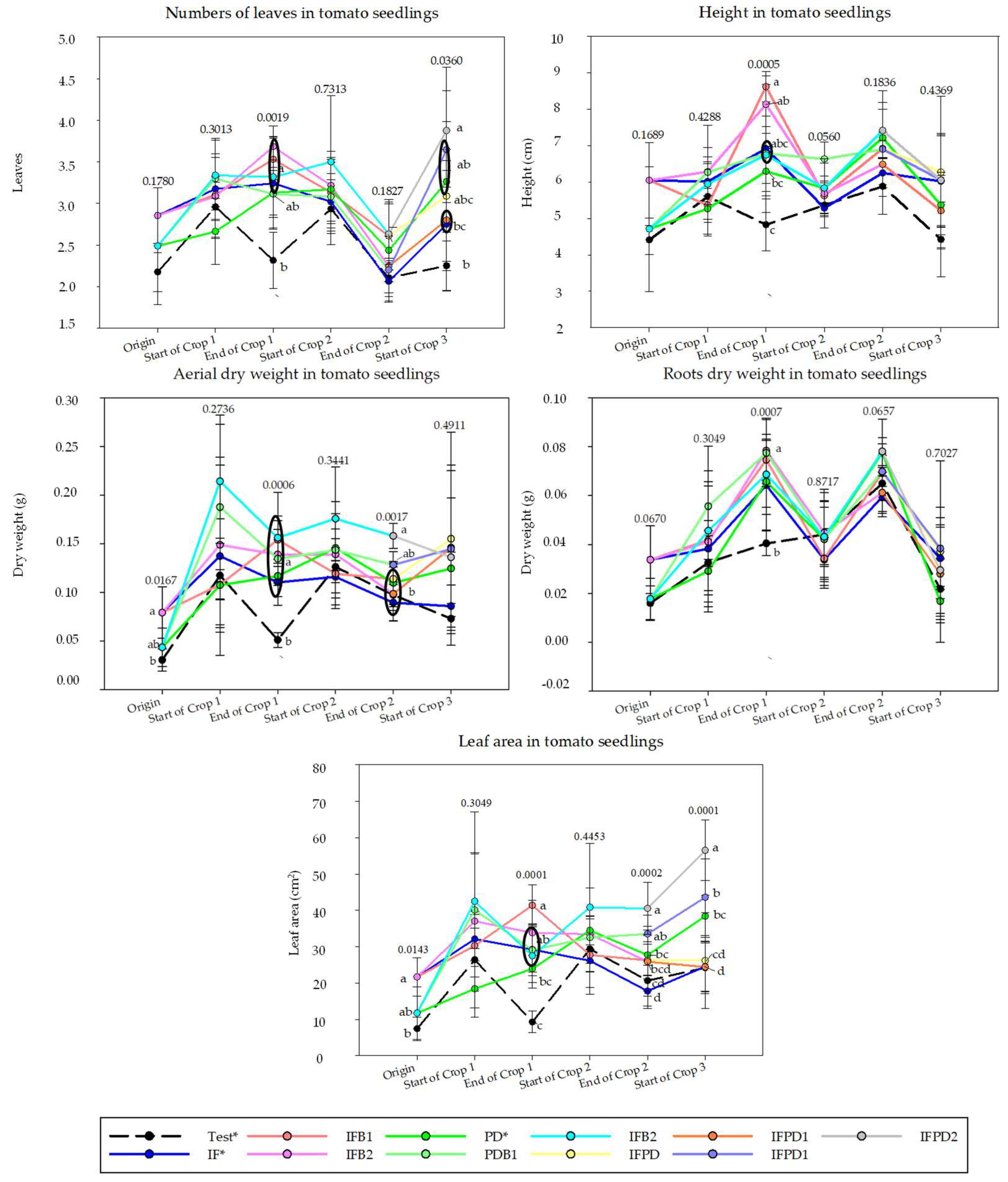
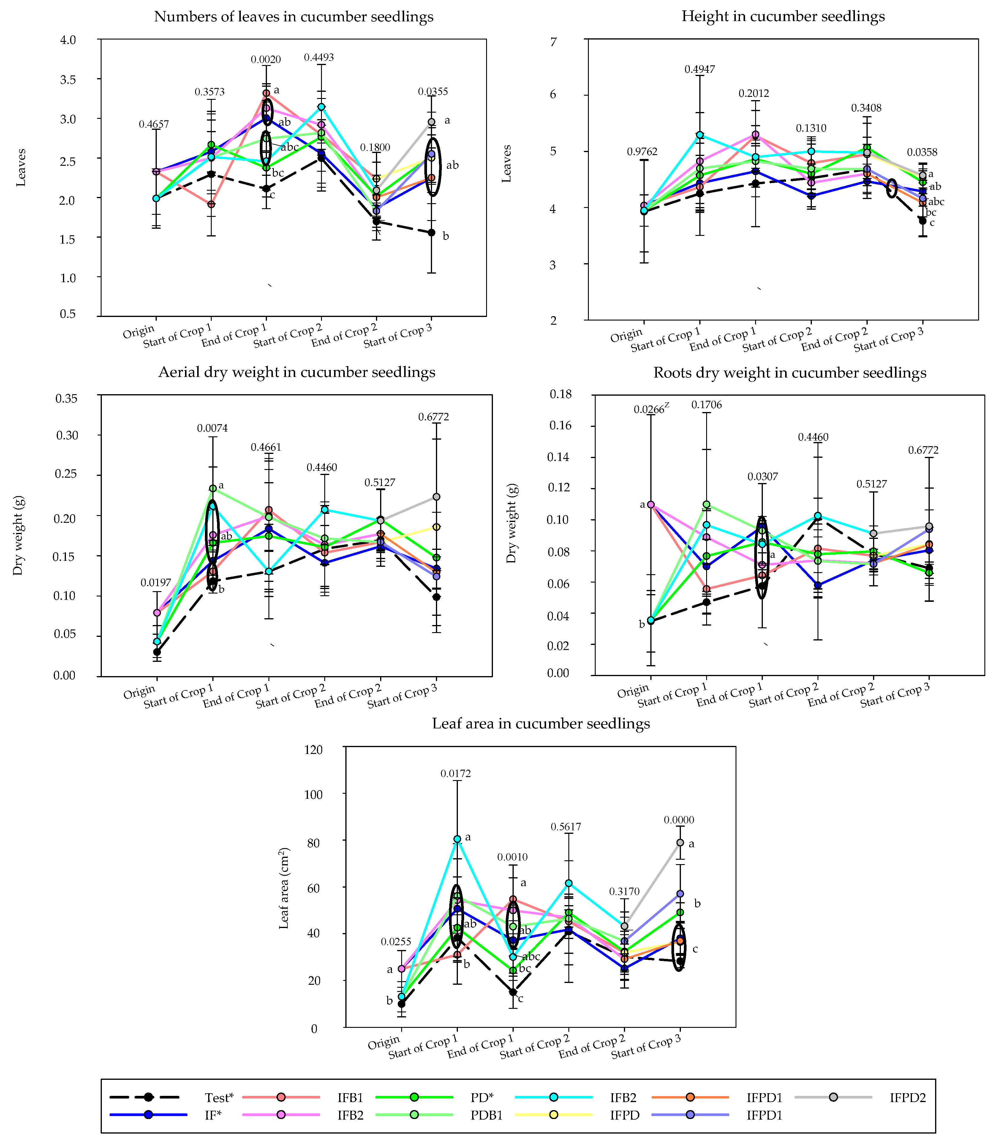
The vigor tests carried out in the controlled environment chamber allowed for the observance of a possible improvement in soil quality in the experimental plots where organic amendments were added, which was observed with more clarity in the leaf area of the vegetable seedlings (Figure 2 and Figure 3). The results suggest that the addition of the highest dose of organic amendments during each year of the trial (PDB2 and PD2) caused a superior enhancement of vigor parameters (i.e., number of leaves, height, aerial dry mass, root dry mass, and leaf area) of both plant species (i.e., cucumber and tomato seedlings). At the end of the trial, the leaf area of the treatments where only fresh tomato plant debris was applied (PD, PD1, and PD2) was superior to all treatments that received inorganic mulch fertilization (IF, IFPD, and IFPD1) in both plant species. Only IFPD was able to match PD in the leaf area of tomato seedlings. The production of fruits and vegetables under the principles of the circular economy, through the reuse of agricultural biomass, seems to have benefits on soil fertility, offering a source of internal and low-cost organic amendment to apply in the soil of the agricultural plots of the producers.
Figure 2.
Number of leaves, height, aerial dry weight, root dry weight, and leaf area of cucumber seedlings grown in a controlled environment chamber. Values (mean ± standard deviation). Different letters indicate significant differences (p ≤ 0.05, Tukey’s HDS test; z: ). No fertilization (test); inorganic fertilization (IF); inorganic fertilization + 0.5 kg·m−2 of Brassica carinata pellets (IFB1); inorganic fertilization + 1.0 kg·m−2 of Brassica carinata pellets (IFB2); 3.5 kg·m−2 of tomato plant debris (PD); 3.5 kg·m−2 of tomato plant debris + 0.5 kg·m−2 of Brassica carinata pellets (PDB1); 3.5 kg·m−2 of tomato plant debris + 1.0 kg·m−2 of Brassica carinata pellets (PDB2); inorganic fertilization + 3.5 kg·m−2 of tomato plant debris (IFPD); inorganic fertilization + 5 kg·m−2 of tomato plant debris (IFPD1); 5 kg·m−2 of tomato plant debris (PD1); 6.5 kg·m−2 of tomato plant debris (PD2). * Source: own elaboration based on Castillo-Díaz et al. [23].
Figure 3.
Number of leaves, height, aerial dry weight, root dry weight, and leaf area of tomato seedlings grown in a controlled environment chamber. Values (mean ± standard deviation). Different letters indicate significant differences (p ≤ 0.05, Tukey’s HDS test). No fertilization (test); inorganic fertilization (IF); inorganic fertilization + 0.5 kg·m−2 of Brassica carinata pellets (IFB1); inorganic fertilization + 1.0 kg·m−2 of Brassica carinata pellets (IFB2); 3.5 kg·m−2 of tomato plant debris (PD); 3.5 kg·m−2 of tomato plant debris + 0.5 kg·m−2 of Brassica carinata pellets (PDB1); 3.5 kg·m−2 of tomato plant debris + 1.0 kg·m−2 of Brassica carinata pellets (PDB2); inorganic fertilization + 3.5 kg·m−2 of tomato plant debris (IFPD); inorganic fertilization + 5 kg·m−2 of tomato plant debris (IFPD1); 5 kg·m−2 of tomato plant debris (PD1); 6.5 kg·m−2 of tomato plant debris (PD2). *Source: own elaboration based on Castillo-Díaz et al. [23].
The treatment without fertilization (Test) obtained a leaf area similar to the treatments with inorganic mulch fertilization (IF, IFPD, and IFPD1) at the end of the experiment in both plant species. The leaf areas of cucumber and tomato seedlings reflected a greater sensitivity to the effect of soil disinfection techniques. The parameter increased in the samples taken after the end of the solarization or biosolarization protocol, including the treatment without fertilization. After the end of cultivation, the variable decreased. This behavior could reflect a depletion of soil nutrients, mainly potassium available for the crop [23]. On the other hand, Marín-Guirao et al. [44] reported an increase in vigor parameters (No. of leaves, height, aerial dry mass, root dry mass, and leaf area) of cucumber and tomato seedlings after applying biosolarization in a greenhouse where a commercial cucumber crop was grown, a performance partially similar to that observed in our research. This increase in vigor has also been reported after the addition of organic amendments to almond crops versus conventional management in the provinces of Almeria and Granada [45,46].
The addition of various doses of organic amendments (i.e., fresh tomato plant debris with or without Brassica carinata pellets) had an influence on the aerial dry mass and the leaf area of cucumber and tomato seedlings in the PD block (Table 8). This behavior was not obtained in the IF block. However, in the last year of the trial, a treatment with 6.5 kg·m−2 of fresh tomato plant debris was not incorporated into the inorganic fertilization. This fact could have influenced the expression of the results. However, adding various doses of organic amendments had a greater effect on the soil quality of the experimental plots in the PD block than that obtained in the IF block (Figure 2 and Figure 3 and Table 8). This difference could be due to the type and dose of the organic amendment mostly used in both blocks (Figure 2 and Figure 3 and Table 8). In the IF block, Brassica carinata pellets were used repeatedly, while in the PD block, it was tomato plant debris. Núñez-Zofio et al. [34] and Serrano-Pérez et al. [59] reported that Brassica carinata pellets (with biosolarization) showed a limited capacity to improve the chemical quality of the soil. The organic amendment could not improve any of the chemical properties of the soil versus a treatment without the addition of any organic amendment and without applying solarization. On the other hand, Castillo-Díaz et al. [23] stated that tomato plant debris had the potential to improve some of the chemical properties of the soil, such as assimilable potassium or total nitrogen, compared to inorganic fertilization.
Table 8.
Influence of Brassica carinata pellets (Crops 1 and 2) and tomato plant debris (Crop 3) on leaf number, height, aerial dry weight, root dry weight, and leaf area in cucumber and tomato seedlings grown in a controlled environment chamber in IF and PD blocks.
3.4. Irrigation Water
In the third tomato crop cycle, irrigation was reduced by 37.2% in the PD block compared to the IF block (Figure 4). The addition of organic amendments to the soil through the biosolarization technique has been described as a methodology capable of modifying the infiltration rate of a soil [23,35], which has implications on the frequency and water allocation applied to the crop. Specifically, the results suggest how the improvement in soil hydraulic conductivity (Kh) reported by Castillo-Díaz et al. [23] could be extended to all experimental plots that repeatedly received fresh tomato plant debris during the three years of investigation; this shows the advantages of using a production model based on the circular economy.
Figure 4.
Irrigation water applied in the IF and PD blocks during the third cycle of tomato cultivation. Inorganic fertilization (IF); inorganic fertilization + 3.5 kg·m−2 of tomato plant debris (IFPD); inorganic fertilization + 5 kg·m−2 of tomato plant debris (IFPD1); 3.5 kg·m−2 of tomato plant debris (PD); 5 kg·m−2 of tomato plant debris (PD1); 6.5 kg·m−2 of tomato plant debris (PD2).
3.5. Economic Analysis
3.5.1. Analysis 1
Table A1 (see Appendix A) shows the cost structure of the treatments used during the research (Test, IF, IFB1, IFB2, PD, PDB1, PDB2, IFPD, IFPD1, PD1, and PD2). It can be observed that non-fertilization (Test) and exclusive fertilization based on the reuse of fresh tomato plant debris produced in the greenhouse (PD, PD1, and PD2) resulted in a decrease in production costs of up to 4.8% compared to conventional inorganic fertilization (IF). Precisely, this benefit was achieved by the reduced need for agricultural inputs and services. In some cases, the reduction involved inputs such as inorganic fertilizers or irrigation water, whose excessive consumption can deteriorate the sustainability of ecosystems [9,18,60]. Duque-Acevedo et al. [11] reported that the utilization of plant biomass in tomato cycles of eleven months could cause a decrease in the cost account of approximately 0.5 %. The authors contemplated a lower reduction in inorganic fertilizers and irrigation water than the one obtained in our work. Mixed fertilization based on fresh tomato plant debris and inorganic fertilizer increased production costs by 0.2% while adding Brassica carinata pellets showed an increase of up to 22% due to the price of the organic amendment and the dose added into the soil.
On the other hand, the cost of incorporating plant debris into the soil for reuse was lower than reported by Torres-Nieto et al. [49] due to the decreased labor required to separate the trellising raffia from the tomato plants. That was due to not using trellising clips, and also because the greenhouse soil was not the typical one of the Almeria model, so the tomato plant debris could be incorporated on the surface. In this sense, the use of sandblasted soil to produce fruit and vegetables in greenhouse agriculture in Almeria is habitual, mainly because it prevents salts from rising from the deep soil profiles [8]. Therefore, the cost of incorporating plant debris into the soil could increase from that reported in this trial since the expense of other tasks related to the opening of the sand and its leveling would have to be charged. However, other alternatives can reduce this expense, such as introducing the plant material through layers placed on the crop line (triangular trenches of approximately 0.3 m in height and 0.4 m in base) [8,49]. Moreover, the use of this methodology could have other benefits. Plant debris is produced to a limited extent on the culture surface [12]. Therefore, using banding would increase the doses of plant debris incorporated into the soil due to a concentration of the plant by-product in space, which would also coincide with the soil profile explorable by plant roots.
Figure 5 shows the annual pre-tax profit of the treatments applied during the research (Test, IF, IFB1, IFB2, PD, PDB1, PDB2, IFPD, IFPD1, PD1, and PD2). The losses in some of the treatments because of the low price received by the producers at origin (crop 1) and the low productivity of some of the treatments (Test) can be noticed. Thus, the addition of Brassica carinata pellets significantly reduced the profit of the experimental plots that received the material. Exclusive fertilization through the reuse of 3.5 kg·m−2 of fresh tomato plant debris obtained a similar annual benefit to inorganic cover crop fertilization (IF). However, the PD treatment achieved a lower average annual value than IF. This could negatively influence the cumulative benefit of the alternative production system. In the third year of the trial, despite no significant differences between treatments being observed, the exclusive fertilization based on reusing 5.0 kg·m−2 f fresh tomato plant debris achieved the highest annual benefit. Therefore, the results illustrate how the self-management of plant debris incorporated through the biosolarization technique can be postulated as a profitable and sustainable alternative to the reduction in fertilizers proposed by the European Union [18], and the framework of the bioeconomy and the circular economy. However, the use of external high-value organic amendments can cause a disturbance in the profitability of the agricultural model as a result of the reduction in the profit margin experienced by farmers and the stability of prices at the source in recent years [2].
Figure 5.
Pre-tax economic benefit in the three years of study in September–April tomato cycles as a function of crop nutrition: (a) Crop 1; (b): Crop 2; (c): Crop 3. Values (mean ± standard deviation). Different letters indicate significant differences (p ≤ 0.05, Tukey’s HDS test). No fertilization (test); inorganic fertilization (IF); inorganic fertilization + 0.5 kg·m−2 of Brassica carinata pellets (IFB1); inorganic fertilization + 1.0 kg·m−2 of Brassica carinata pellets (IFB2); 3.5 kg·m−2 of tomato plant debris (PD); 3.5 kg·m−2 of tomato plant debris + 0.5 kg·m−2 of Brassica carinata pellets (PDB1); 3.5 kg·m−2 of tomato plant debris + 1.0 kg·m−2 of Brassica carinata pellets (PDB2); inorganic fertilization + 3.5 kg·m−2 of tomato plant debris (IFPD); inorganic fertilization + 5 kg·m−2 of tomato plant debris (IFPD1); 5 kg·m−2 of tomato plant debris (PD1); 6.5 kg·m−2 of tomato plant debris (PD2). Source: own elaboration based on Torresano and Camacho-Ferre [47], Honore et al. [2], Junta de Andalucia [48], Torres-Nieto [49], and specialized agricultural supply centers.
Therefore, the use of plant by-products (i.e., tomato plant debris) through the biosolarization technique seemed to achieve different benefits over the different means of production used to obtain the product in industrial agriculture, such as the one carried out in the greenhouses in the province of Almeria. In our case, the results suggest not only similar productivity after the fertilization of a commercial tomato crop from a green manure to the agricultural biomass generated by the previous crop, but also higher soil fertility, a further reduction in crop water consumption and similar economic performance to the conventional crop, while plant biomass management seemed to be improved in the production model. In this way, production under the principles of the circular economy (i.e., reduce, reuse, and recycle) shows different benefits for agricultural production systems. These align with the objectives set by the European Union in terms of agriculture and also offer alternatives so that producers under European organic certification can have a battery of farming techniques with which to meet the challenges of sustainability without lowering their economic profit, even though the prices at the source that farmers receive have remained stable over the last decade.
3.5.2. Analysis 2
The cost structure of the five horticultural alternatives evaluated according to the experimental results obtained in this work is shown in Table 9. The application of a circular production model, through the reuse of fresh plant debris using the biosolarization technique, would reduce production costs by 3.3% regardless of whether or not the inorganic fertilization of the mulch is reduced. The reduction results from the “variable costs” due to the substitution of some traditional inputs via by-products and agroecological techniques. Production Methodology 2 experiences decreases of 100% in the cost of external management of crop residues, 100% in the cost of chemical soil disinfectants, and 37.2% in water. Methodology 3 also offers a 100% reduction in inorganic fertilization in the autumn–winter crop and a 38.7% reduction in the spring–summer crop (see Appendix A, Table A2).
Table 9.
Reduction in production costs compared to the conventional production method in the Almeria model.
However, despite the reduction in production costs experienced through Methodologies 1 and 2, four of the five horticultural alternatives presented economic losses in the 2016–2021 interval. Only the fifth crop alternative, which mainly used tomato monoculture, obtained benefits (Figure 6). The reuse of vegetable waste can slightly increase profitability, but it cannot fully correct the losses suffered in the first four alternatives due to the stability of prices at origin and the increase in production costs [2].
Figure 6.
Comparison of the economic performance of the five horticultural alternatives evaluated from February 2016 to January 2021. Methodology 1: conventional; Methodology 2: self-management of plant debris and reduction in water, soil management, and chemical soil disinfectants; Methodology 3: Methodology 2 + reduction of inorganic fertilization; TNR: total income; TC: total costs; NP: economic benefit. Source: own elaboration based on Torresano and Camacho-Ferre [47], Honore et al. [2], Junta de Andalucia [48], Torres-Nieto [49], and specialized agricultural supply centers.
The situation described prompted us to reflect on the continuity of the Almeria model in terms of economic profitability. Two elements have a significant influence on this situation. One of them is the disbursement of labor, which may represent from 21.19% to 86.44% of the annual campaign expenses depending on the type of crop used [2,47]. Valera et al. [8] reported that the owner of the farm is part of the labor force. For this reason, in periods of low profitability or economic losses, he/she refuses all or part of the remuneration that corresponds to him/her as the owner and resorts, if necessary, to reducing the number of employees or substituting them with family labor that receives lower economic remuneration.
On the other hand, the various depreciation costs of the different production structures (greenhouse and auxiliary structures), which account for most of the fixed costs of the farm, also play a role. Thus, on farms with a low debt ratio, the outlay on this item, and thus, the economic losses, could be reduced [2]. Therefore, the utilization of agricultural by-products, such as the reuse of plant debris from the previous crop, can contribute to reducing crop losses [11] in synergy with these items (amortization of production structures and labor) [2].
The introduction of new crops has been recommended to diversify and increase the range of products offered in the Almeria model. The current range is composed of eight horticultural products classified as commodities. Honore et al. [2] proposed the cultivation of papaya as a viable alternative to the traditional fruit and vegetable crops used in greenhouse agriculture in Almeria, obtaining a high economic benefit.
4. Conclusions
The results of this research suggest that exclusive fertilization based on organic amendments with biosolarization can be postulated as an alternative to reducing fertilizers as proposed by the European Union, maintaining similar productivity and economic crop yields versus conventional crops fertilized with inorganic fertilizers in production cycles up to 217 DAT. However, the use of a circular production model, through the reuse of plant debris, shows a greater advantage. Reusing vegetal by-products can help producers to solve the problems linked to the external management of the material, as well as reduce production costs for Almeria farmers by up to 4.8%. This, in turn, can help to mitigate the low economic return that producers register given the stability of the prices at origin of fruits and vegetables. The addition of organic amendments of high economic value can alter the profitability of the agricultural system by increasing production costs by up to 22% and having a similar effect on tomato crop production as agricultural biomass when combined with agricultural biomass or inorganic fertilization. Therefore, the practice of reusing plant debris should be more widely implemented in agricultural systems to increase the sustainability of agricultural models with a method that falls under the principles of the circular economy. This can lead to benefits, such as improved soil fertility, that can translate into reductions in water consumption, which, in our trial, was 37.2%. Future research should analyze the effect of other types of plant biomass (i.e., other horticultural species, plant waste from parks or gardens, or pruning waste from fruit species) as a sole source of fertilizer for commercial crops with longer crop production cycles to increase the knowledge of this method of production and provide producers with a range of techniques with which they can increase the sustainability of their farms.
Author Contributions
Conceptualization, F.J.C.-D., L.J.B.-U., F.C.-F. and J.C.T.M.; data curation, F.J.C.-D., L.J.B.-U., F.C.-F. and J.C.T.M.; formal analysis, F.J.C.-D., L.J.B.-U., F.C.-F. and J.C.T.M.; investigation, F.J.C.-D., L.J.B.-U., F.C.-F. and J.C.T.M.; methodology, F.J.C.-D., L.J.B.-U., F.C.-F. and J.C.T.M.; project administration, F.J.C.-D., L.J.B.-U., F.C.-F. and J.C.T.M.; Resources, F.J.C.-D., L.J.B.-U., F.C.-F. and J.C.T.M.; software, F.J.C.-D. and L.J.B.-U.; supervision, L.J.B.-U., F.C.-F. and J.C.T.M.; validation, F.J.C.-D., L.J.B.-U., F.C.-F. and J.C.T.M.; visualization, F.J.C.-D., L.J.B.-U., F.C.-F. and J.C.T.M.; writing—original draft, F.J.C.-D., L.J.B.-U., F.C.-F. and J.C.T.M.; writing—review and editing, F.J.C.-D., L.J.B.-U., F.C.-F. and J.C.T.M. All authors have read and agreed to the published version of the manuscript.
Funding
The present research has not received any funding.
Institutional Review Board Statement
Not applicable.
Informed Consent Statement
Not applicable.
Data Availability Statement
Not applicable.
Acknowledgments
The authors wish to thank the dedication of the members of the AGR-200 Research Group of the University of Almeria, especially César Antonio Ruiz Olmos, and the UAL-ANECOOP Experimental Farm.
Conflicts of Interest
The authors declare no conflict of interest.
Appendix A
Table A1.
Cost structure per hectare of the treatments used during the research in the three tomato crop cycles.
Table A1.
Cost structure per hectare of the treatments used during the research in the three tomato crop cycles.
| Crop 1 | Crop 2 | Crop 3 | ||||||||||||||||||||
|---|---|---|---|---|---|---|---|---|---|---|---|---|---|---|---|---|---|---|---|---|---|---|
| Test | IF | IFB1 | IFB2 | PD | PDB1 | PDB2 | Test | IF | IFB1 | IFB2 | PD | PDB1 | PDB2 | Test | IF | IFPD | IFPD2 | PD | PD1 | PD2 | ||
| Variable Cost (€/ha) | Technical assessment | 153 1 | 152 1 | 155 1 | ||||||||||||||||||
| Soil preparation | 0 1 | 0 1 | 0 1 | |||||||||||||||||||
| Removal of plant debris | 998 | 998 | 998 | 998 | 0 | 0 | 0 | 990 | 990 | 990 | 990 | 0 | 0 | 0 | 1005 | 1005 | 0 | 0 | 0 | 0 | 0 | |
| PD incorporation | 0 | 0 | 0 | 0 | 1171 | 1171 | 1171 | 0 | 0 | 0 | 0 | 1161 | 1161 | 1161 | 0 | 0 | 1179 | 1179 | 1179 | 1179 | 1179 | |
| Solarization | 1714 1 | 1700 1 | 1725 1 | |||||||||||||||||||
| Water for solarization | 225 | 225 | 225 | 225 | 141 | 141 | 141 | 223 | 223 | 223 | 223 | 140 | 140 | 140 | 226 | 226 | 226 | 226 | 142 | 142 | 142 | |
| Chemical disinfectant | 0 1 | 0 1 | 0 1 | |||||||||||||||||||
| Brassica carinata pellets | 0 | 0 | 7569 | 15,139 | 0 | 7569 | 15,139 | 0 | 0 | 7509 | 15,018 | 0 | 7509 | 15,018 | 0 1 | |||||||
| Banding | 0 | 0 | 525 | 525 | 0 | 525 | 525 | 0 | 0 | 521 | 521 | 0 | 521 | 521 | 0 1 | |||||||
| Covering and structure | 2356 1 | 2337 1 | 2372 1 | |||||||||||||||||||
| Seeds and seedling production | 5683 1 | 5638 1 | 5722 1 | |||||||||||||||||||
| Labor, inputs, etc. | 34,390 1 | 34,115 1 | 34,627 | |||||||||||||||||||
| Water | 2957 | 2957 | 2957 | 2957 | 1857 | 1857 | 1857 | 2933 | 2933 | 2933 | 2933 | 1842 | 1842 | 1842 | 2977 | 2977 | 2977 | 2977 | 1870 | 1870 | 1870 | |
| Fertilizers | 0 | 2480 | 2480 | 2480 | 0 | 0 | 0 | 0 | 2460 | 2460 | 2460 | 0 | 0 | 0 | 0 | 2497 | 2497 | 2497 | 0 | 0 | 0 | |
| Fixed Costs (€/ha) | Soil maintenance | 2044 1 | 2028 1 | 2075 1 | ||||||||||||||||||
| Covering and structure | 4092 1 | 4060 1 | 4153 1 | |||||||||||||||||||
| Energy and fixed supplies | 1617 1 | 1604 1 | 1641 1 | |||||||||||||||||||
| IMF | 3558 1 | 3530 1 | 3611 1 | |||||||||||||||||||
| Equipment and irrigation system | 10,183 1 | 10,101 1 | 10,334 1 | |||||||||||||||||||
| Total cost | 69,970 | 72,451 | 80,545 | 88,114 | 68,960 | 77,054 | 84,624 | 69,411 | 71,871 | 79,901 | 87,409 | 68,408 | 76,438 | 83,947 | 70,622 | 73,120 | 73,294 | 73,294 | 69,605 | 69,605 | 69,605 | |
| Variation with IF (%) | −3.4 | 0.0 | 11.2 | 21.6 | −4.8 | 6.4 | 16.8 | −3.4 | 0.0 | 11.2 | 21.6 | −4.8 | 6.4 | 16.8 | −3.4 | 0.0 | 0.2 | 0.2 | −4.8 | −4.8 | −4.8 | |
1 Common cost for all treatments and cultivation. IMF: insurance, management, and financial services. No fertilization (test); inorganic fertilization (IF); inorganic fertilization + 0.5 kg·m−2 of Brassica carinata pellets (IFB1); inorganic fertilization + 1.0 kg·m−2 of Brassica carinata pellets (IFB2); 3.5 kg·m−2 of tomato plant debris (PD); 3.5 kg·m−2 of tomato plant debris + 0.5 kg·m−2 of Brassica carinata pellets (PDB1); 3.5 kg·m−2 of tomato plant debris + 1.0 kg·m−2 of Brassica carinata pellets (PDB2); inorganic fertilization + 3.5 kg·m−2 of tomato plant debris (IFPD); inorganic fertilization + 5 kg·m−2 of tomato plant debris (IFPD1); 5 kg·m−2 of tomato plant debris (PD1); 6.5 kg·m−2 of tomato plant debris (PD2). Source: own elaboration based on Torresano and Camacho-Ferre [47], Honore et al. [2], Junta de Andalucia [48], Torres-Nieto [49], and specialized agricultural supply centers.
Table A2.
Comparison of the cost structure of five horticultural alternatives under three production methodologies from February 2016 to June 2021.
Table A2.
Comparison of the cost structure of five horticultural alternatives under three production methodologies from February 2016 to June 2021.
| Alternative 1 | Alternative 2 | Alternative 3 | Alternative 4 | Alternative 5 | ||||||||||||
|---|---|---|---|---|---|---|---|---|---|---|---|---|---|---|---|---|
| M1 | M2 | M3 | M1 | M2 | M3 | M1 | M2 | M3 | M1 | M2 | M3 | M1 | M2 | M3 | ||
| Variable Cost (€/ha) | Total variable cost | 398,957 | 388,173 | 371,107 | 393,216 | 383,165 | 370,519 | 392,649 | 382,683 | 370,380 | 386,826 | 376,636 | 366,121 | 383,050 | 375,905 | 362,073 |
| Technical assessment | 1563 | 1563 | 1563 | 1563 | 1563 | 1563 | 1563 | 1563 | 1563 | 1563 | 1563 | 1563 | 1563 | 1563 | 1563 | |
| Soil preparation | 39,429 | 28,830 | 28,830 | 39,429 | 28,830 | 28,830 | 39,429 | 28,830 | 28,830 | 39,429 | 28,830 | 28,830 | 27,556 | 20,149 | 20,149 | |
| Removal of plant debris | 10,167 | 0 | 0 | 10,167 | 0 | 0 | 10,167 | 0 | 0 | 10,167 | 0 | 0 | 7124 | 0 | 0 | |
| PD incorporation | 0 | 9446 | 9446 | 0 | 9446 | 9446 | 0 | 9446 | 9446 | 0 | 9446 | 9446 | 0 | 7058 | 7058 | |
| Solarization | 4365 | 8730 | 8730 | 4365 | 8730 | 8730 | 4365 | 8730 | 8730 | 4365 | 8730 | 8730 | 4372 | 8730 | 8730 | |
| Water for solarization | 582 | 719 | 719 | 582 | 719 | 719 | 582 | 719 | 719 | 582 | 719 | 719 | 582 | 719 | 719 | |
| Chemical disinfectant | 514 | 0 | 0 | 514 | 0 | 0 | 514 | 0 | 0 | 514 | 0 | 0 | 514 | 0 | 0 | |
| Covering and structure | 24,004 | 24,004 | 24,004 | 24,004 | 24,004 | 24,004 | 24,004 | 24,004 | 24,004 | 24,004 | 24,004 | 24,004 | 24,004 | 24,004 | 24,004 | |
| Seeds and seedling production | 40,146 | 40,146 | 40,146 | 46,458 | 46,458 | 46,458 | 53,523 | 53,523 | 53,523 | 43,882 | 43,882 | 43,882 | 32,308 | 32,308 | 32,308 | |
| Labor and inputs | 246,736 | 246,736 | 246,736 | 240,963 | 240,963 | 240,963 | 234,534 | 234,534 | 234,534 | 236,291 | 236,291 | 238,967 | 255,389 | 255,389 | 255,389 | |
| Water | 9279 | 5827 | 5827 | 7309 | 4590 | 4590 | 7079 | 4446 | 4446 | 7684 | 4826 | 4826 | 9843 | 6182 | 6182 | |
| Fertilizers | 22,171 | 22,171 | 5105 | 17,861 | 17,861 | 5215 | 16,887 | 16,887 | 10,350 | 15,669 | 15,669 | 5154 | 19,744 | 19,804 | 5971 | |
| Fixed Costs (€/ha) | Total fixed costs | 99,397 | 99,397 | 99,397 | 99,397 | 99,397 | 99,397 | 99,397 | 99,397 | 99,397 | 99,397 | 99,397 | 99,397 | 108,230 | 109,214 | 109,214 |
| Soil maintenance | 10,415 | 10,415 | 10,415 | 10,415 | 10,415 | 10,415 | 10,415 | 10,415 | 10,415 | 10,415 | 10,415 | 10,415 | 10,514 | 10,514 | 10,514 | |
| Covering and structure | 20,847 | 20,847 | 20,847 | 20,847 | 20,847 | 20,847 | 20,847 | 20,847 | 20,847 | 20,847 | 20,847 | 20,847 | 21,048 | 21,048 | 21,048 | |
| Energy and fixed supplies | 8234 | 8234 | 8234 | 8234 | 8234 | 8234 | 8234 | 8234 | 8234 | 8234 | 8234 | 8234 | 8311 | 8311 | 8311 | |
| IMF | 18,130 | 18,130 | 18,130 | 18,130 | 18,130 | 18,130 | 18,130 | 18,130 | 18,130 | 18,130 | 18,130 | 18,130 | 18,303 | 18,303 | 18,303 | |
| Equipment and irrigation system | 41,772 | 41,772 | 41,772 | 41,772 | 41,772 | 41,772 | 41,772 | 41,772 | 41,772 | 41,772 | 41,772 | 41,772 | 50,053 | 51,037 | 51,037 | |
IMF: insurance, management, and financial services. Methodology 1: conventional; Methodology 2: self-management of plant debris and reduction of water, soil management, and chemical soil disinfectants; Methodology 3: Methodology 2 + reduction of inorganic fertilization; TNR: total income; TC: total costs; NP: economic benefit. Source: own elaboration based on Torresano and Camacho-Ferre [47], Honore et al. [2], Junta de Andalucia [48], Torres-Nieto [49], and specialized agricultural supply centers.
References
- Camacho-Ferre, F. Técnicas de Producción de Cultivos Protegidos (Tomo I); Cajamar-Caja Rural: Almería, Spain, 2004; pp. 1–389. ISBN 84-95531-16-X. [Google Scholar]
- Honoré, M.N.; Belmonte-Ureña, L.J.; Navarro-Velasco, A.; Camacho-Ferre, F. Profit Analysis of Papaya Crops under Greenhouses as an Alternative to Traditional Intensive Horticulture in Southeast Spain. Int. J. Environ. Res. Public Health 2019, 16, 2908. [Google Scholar] [CrossRef] [PubMed] [Green Version]
- Cajamar. Análisis de la Campaña Hortofrutícola de Almería; Cajamar-Caja Rural: Almería, Spain, 2021; pp. 1–100. [Google Scholar]
- Toboso-Chavero, S.; Madrid-López, C.; Villalba, G.; Gabarrell Durany, X.; Hückstädt, A.B.; Finkbeiner, M.; Lehmann, A. Environmental and social life cycle assessment of growing media for urban rooftop farming. Int. J. Life Cycle Assess. 2021, 26, 2085–2102. [Google Scholar] [CrossRef]
- de Andalucía, J. Caracterización de los Invernaderos de Andalucía; Pesca y Desarrollo Sostenible: Sevilla, Spain, 2015; pp. 1–113. [Google Scholar]
- Vanthoor, B.H.E.; Stigter, J.D.; Van Henten, E.J.; Stanghellini, C.; de Visser, P.H.B.; Hemming, S. A methodology for model-based greenhouse design: Part 5, greenhouse design optimisation for southern-Spanish and Dutch conditions. Biosyst. Eng. 2012, 111, 350–368. [Google Scholar] [CrossRef]
- Valera-Martínez, D.L.; Belmonte-Ureña, L.J.; Molina Aiz, F.D.; Camacho-Ferre, F. The greenhouses of Almería, Spain: Technological analysis and profitability. Acta Hortic. 2017, 1170, 219–226. [Google Scholar] [CrossRef]
- Valera-Martínez, D.L.; Belmonte-Ureña, L.J.; Molina Aiz, F.D.; López Martínez, A. Los Invernaderos de Almería. Análisis de su Tecnología y Rentabilidad; Cajamar Caja Rural: Almería, Spain, 2014; pp. 1–504. ISBN 978-84-95531-61-2. [Google Scholar]
- Caparrós-Martínez, J.; Rueda-López, N.; Milán-García, J.; de Pablo Valenciano, J. Public policies for sustainability and water security: The case of Almeria (Spain). Glob. Ecol. Conserv. 2020, 23, e01037. [Google Scholar] [CrossRef]
- Castro, A.J.; López-Rodríguez, M.D.; Giagnocavo, C.; Giménez, M.; Céspedes, L.; La Calle, A.; Gallardo, M.; Pumares, P.; Cabello, J.; Rodríguez, E.; et al. Six Collective Challenges for Sustainability of Almerí a Greenhouse Horticulture. Int. J. Environ. Res. Public Health 2019, 16, 4097. [Google Scholar] [CrossRef] [Green Version]
- Duque-Acevedo, M.; Belmonte-Ureña, L.J.; Plaza-Úbeda, J.A.; Camacho-Ferre, F. The Management of Agricultural Waste Biomass in the Framework of Circular Economy and Bioeconomy: An Opportunity for Greenhouse Agriculture in Southeast Spain. Agronomy 2020, 10, 489. [Google Scholar] [CrossRef] [Green Version]
- de Andalucía, J. Líneas de Actuación en Materia de Gestión de Restos Vegetales en la Horticultura de Andalucía; Pesca y Desarrollo Sostenible: Sevilla, Spain, 2016; pp. 1–45. [Google Scholar]
- Camacho-Ferre, F. Estudio Técnico de Plan de Higiene Rural. Término Municipal de Níjar. 1; Universidad de Almería Monsul Ingeniería y Níjar Natura: Almería, Spain, 2000; pp. 1–570. [Google Scholar]
- European Comission. A Sustainable Bioeconomy for Europe: Strengthening the Connection Between Economy, Society and the Environment; Office of the European Union: Brussels, Belgium, 2018; pp. 1–14. [Google Scholar]
- European Comission. The European Green Deal; Office of the European Union: Brussels, Belgium, 2019; pp. 1–28. [Google Scholar]
- European Comission. A New Circular Economy Action Plan. In For a Cleaner and More Competitive Europe; Office of the European Union: Brussels, Belgium, 2020; pp. 1–19. [Google Scholar]
- European Comission. EU Biodiversity Strategy for 2030. Bringing Nature Back Into Our Lives; Office of the European Union: Brussels, Belgium, 2020; pp. 1–23. [Google Scholar]
- European Comission. A Farm to Fork Strategy for a Fair, Healthy and Environmentally-Friendly Food System; Office of the European Union: Brussels, Belgium, 2020; pp. 1–23. [Google Scholar]
- European Union. Directive (EU) 2018/851 of the European Parliament and of the Council of 30 May 2018 amending Directive 2008/98/EC on Waste. Off. J. Eur. Union L Ser. 2018, 150, 109–140. [Google Scholar]
- Camacho-Ferre, F. Diferentes Alternativas Para la Gestión del Residuo Biomasa Procedente de Cultivos de Invernadero. In Innovaciones Tecnológicas en Cultivos de Invernadero; Fernández-Rodríguez, E.J., Ed.; Ediciones Agrotécnicas: Madrid, Spain, 2004; pp. 211–238. ISBN 94-87480-52-7. [Google Scholar]
- Egea, F.J.; Torrente, R.G.; Aguilar, A. An efficient agro-industrial complex in Almería (Spain): Towards an integrated and sustainable bioeconomy model. N. Biotechnol. 2017, 40, 103–112. [Google Scholar] [CrossRef]
- Belmonte-Ureña, L.J.; Plaza-Úbeda, J.A.; Vazquez-Brust, D.; Yakovleva, N. Circular economy, degrowth and green growth as pathways for research on sustainable development goals: A global analysis and future agenda. Ecol. Econ. 2021, 185, 107050. [Google Scholar] [CrossRef]
- Castillo Díaz, F.J.; Marín-Guirao, J.I.; Belmonte-Ureña, L.J.; Tello-marquina, J.C. Effect of Repeated Plant Debris Reutilization as Organic Amendment on Greenhouse Soil Fertility. Int. J. Environ. Res. Public Health 2021, 18, 11544. [Google Scholar] [CrossRef] [PubMed]
- Castillo-Díaz, F.J.; Ruiz-Olmos, C.A.; Gómez-Tenorio, M.Á.; Tello-Marquina, J.C. Efecto de la biosolarización sobre la producción de tomate cultivado bajo invernadero en Almería. Parte I: Evaluación de diferentes restos vegetales. Agríc. Vergel 2021, 432, 103–112. [Google Scholar]
- Salinas, J.; Meca, D.; del Moral, F. Short-term effects of changing soil management practices on soil quality indicators and crop yields in greenhouses. Agronomy 2020, 10, 582. [Google Scholar] [CrossRef]
- Katan, J.; Greenberger, A.; Alon, H.; Grinstein, A. Solar Heating by Polyethylene Mulching for the Control of Diseases caused by Soil-Borne Pathogens. Phytopathology 1976, 66, 683–688. [Google Scholar] [CrossRef]
- Kirkegaard, J.A.; Gardner, J.; Desmarcherlier, J.M.; Angus, J.F. Biofumigation Using Brassica Species to Control Pest and Diseases in Horticulture and Agriculture. In Proceedings of the 9th Australian Research Assembly on Brassicas, Waga Wagga, Australia, 5–7 October 1993; Wrather, N., Mailes, R.J., Eds.; pp. 77–82. [Google Scholar]
- Guerrero, M.M.; Lacasa, C.M.; Martínez, V.; Martínez-Lluch, M.C.; Larregla, S.; Lacasa, A. Soil biosolarization for Verticillium dahliae and Rhizoctonia solani control in artichoke crops in southeastern Spain. Span. J. Agric. Res. 2019, 17, 1–11. [Google Scholar] [CrossRef] [Green Version]
- Gómez-Tenorio, M.A.; Lupión-Rodríguez, B.; Boix-Ruiz, A.; Ruiz-Olmos, C.; Marín-Guirao, J.I.; Tello-Marquina, J.C.; Camacho-Ferre, F.; De Cara-García, M. Meloidogyne-infested tomato crop residues are a suitable material for biodisinfestation to manage Meloidogyne sp. in greenhouses in Almería (south-east Spain). Acta Hortic. 2018, 1207, 217–221. [Google Scholar] [CrossRef]
- Chamorro, M.; Miranda, L.; Domínguez, P.; Medina, J.J.; Soria, C.; Romero, F.; Santos, B.D.L. Evaluation of biosolarization for the control of charcoal rot disease (Macrophomina phaseolina) in strawberry. Crop. Prot. 2015, 67, 279–286. [Google Scholar] [CrossRef]
- Miranda, L.; Domínguez, P.; Soria, C.; Zea, T.; Talavera, M.; Velasco, L.; Romero, F.; Santos, B.D.L.; Newton, A.I. Soil Biosolarization for Strawberry Cultivation. Acta Hortic. 2012, 926, 407–413. [Google Scholar] [CrossRef]
- Medina, J.J.; Miranda, L.; Soria, C.; Palencia, P. Non-Chemical Alternatives to Methyl Bromide for Strawberry: Biosolarization as Case-Study in Huelva (Spain). Acta Hortic. 2009, 842, 961–964. [Google Scholar] [CrossRef]
- Guerrero, M.M.; Ros, C.; Lacasa, C.M.; Martínez, V.; Lacasab, A.; Fernández, P.; Núñez-Zofío, M.; Larreglac, S.; Martíneza, M.A.; Díez-Rojo, M.A.; et al. Effect of biosolarization using pellets of brassica carinata on soil-borne pathogens in protected pepper crops. Acta Hortic. 2010, 883, 337–344. [Google Scholar] [CrossRef]
- Núñez-Zofio, M.; Larregla, S.; Garbisu, C. Repeated biodisinfection controls the incidence of Phytophthora root and crown rot of pepper while improving soil quality. Span. J. Agric. Res. 2012, 10, 794–805. [Google Scholar] [CrossRef]
- Fernández, P.; Lacasa, A.; Guirao, P.; Larregla, S. Effects of Biosolarization with fresh sheep manure on soil physical properties of pepper greenhouses in Campo de Cartagena. In Proceedings of the 6th Workshop on Agri-Food Research, 8th-9th May 2017; Artés-Hernández, F., Cos, J.E., Fernández-Hernández, J.A., Calatrava, J.A., Aguayo, E., Alarcón, J.J., Guitiérrez-Cortines, M.E., Eds.; Cartagena; Región de Murcia, Spain, 2018; pp. 97–100. ISBN 9788416325641. [Google Scholar]
- Marín-Guirao, J.I.; Tello-Marquina, J.C.; Díaz, M.; Boix, A.; Ruiz-Olmos, C.A.; Camacho-Ferre, F. Effect of greenhouse soil bio-disinfection on soil nitrate content and tomato fruit yield and quality. Soil Res. 2016, 54, 200–206. [Google Scholar] [CrossRef]
- Mauromicale, G.; Lo Monaco, A.; Longo, A.M.G. Improved efficiency of soil solarization for growth and yield of greenhouse tomatoes. Agron. Sustain. Dev. 2010, 30, 753–761. [Google Scholar] [CrossRef]
- Mauromicale, G.; Longo, A.M.G.; Lo Monaco, A. The effect of organic supplementation of solarized soil on the quality of tomato fruit. Sci. Hortic. 2011, 129, 189–196. [Google Scholar] [CrossRef]
- Kirkegaard, J.A.; Sarwar, M. Biofumigation potential of brassicas: I. Variation in glucosinolate profiles of diverse field-grown brassicas. Plant Soil 1998, 201, 71–89. [Google Scholar] [CrossRef]
- Guerrero-Díaz, M.M.; Lacasa-Martínez, C.M.; Hernández-Piñera, C.M.; Martínez-Alarcón, V.; Lacasa, A. Evaluation of repeated biodisinfestation using Brassica carinata pellets to control Meloidogyne incognita in protected pepper crops. Span. J. Agric. Res. 2013, 11, 485–493. [Google Scholar] [CrossRef] [Green Version]
- Marín-Guirao, J.I.; Martínez-Expósito, E.; Gervasi-Navarrete, N.; de García-García, M. Fertiliser reduction in a Mediterranean organic greenhouse tomato crop. In Proceedings of the Crop production with Reduced Pesticide and Fertiliser Inputs without Compromising Yield and Quality, 13–14 October 2021; Foyer, C., Ed.; Association of Applied Biologists: Warwickshire, UK, 2021. [Google Scholar]
- Camacho-Ferre, F. Técnicas de Producción de Cultivos Protegidos (Tomo II); Cajamar: Almería, Spain, 2004; pp. 1–389. ISBN 84-95531-17-X. [Google Scholar]
- Marín-Guirao, J.I.; de Cara-García, M.; Crisol-Martínez, E.; Gómez-Tenorio, M.A.; García-Raya, P.; Tello-Marquina, J.C. Association of plant development to organic matter and fungal presence in Association of plant development to organic matter and fungal presence in soils of horticultural crops. Ann. Appl. Biol. 2019, 1, 1–10. [Google Scholar] [CrossRef]
- Marín-Guirao, J.I.; Tello-Marquina, J.C. Microbiota edáfica y fatiga de suelo en invernaderos de la provincia de Granada. In I Jornadas de Transferencia Hortofrutícola de Ciambital; Camacho-Ferre, F., Valera-Martínez, D.L., Belmonte-Ureña, L., Herrero-Sánchez, C., Reca-Cardeña, J., Marín-Membrive, P., del Pino-Gracia, A., Casa-Fernández, M., Eds.; Universidad de Almería y CIAMBITA: Almería, Spain, 2017; pp. 17–36. ISBN 978-84-16389-98-8. [Google Scholar]
- Gómez-Tenorio, M.A.; Magdaleno-González, J.; Castillo-Díaz, F.J.; Tello-Marquina, J.C. Influence of sheep manure on soil microbiota and the vigor of cucumber seedlings in soils cultivated with almond trees. Mod. Environ. Sci. Eng. 2021, 7, 491–497. [Google Scholar]
- Gómez-Tenorio, M.A.; Magdaleno-González, J.; Tello-Marquina, J.C. Evaluación e Implementación de Técnicas Regenerativas para la Mejora de la Fertilidad en el Cultivo del Almendro en las Provincias de Almería y Granada; Portal TecnoAgrícola: Madrid, Spain, 2021; pp. 1–132. ISBN 978-84-17596-98-9. [Google Scholar]
- Torresano, F.; Camacho-Ferre, F. Valoración de las Diferentes Labores Culturales en los Cultivos de Tomate, Pimiento, Calabacín, Pepino, Sandía, Melón, Judía Y Berenjena; Agrupación Española de Entidades Aseguradoras de los Seguros Agrarios Combinados (Agroseguros); University of Almería: Almería, Spain, 2012. [Google Scholar]
- de Andalucía, J. Observatorio de Precios y Mercados. Hortícolas Protegidos. Available online: https://www.juntadeandalucia.es/agriculturaypesca/observatorio/servlet/FrontController?action=Static&subsector=20&url=subsector.jsp (accessed on 15 November 2021).
- Torres-Nieto, J. Uso Agronómico de Restos de Cosecha en los Invernaderos Enarenados de la Cuenca Mediterranea; Cajamar-Caja Rural: Almería, Spain, 2016; pp. 1–88. [Google Scholar]
- García-Raya, P.; Ruiz-Olmos, C.; Marín-Guirao, J.I.; Asensio-Grima, C.; Tello-Marquina, J.C.; de Cara-García, M. Greenhouse Soil Biosolarization with Tomato Plant Debris as a Unique Fertilizer for Tomato Crops Greenhouse Soil Biosolarization with Tomato Plant Debris as a Unique Fertilizer for Tomato Crops. Int. J. Environ. Res. Public Health 2019, 16, 279. [Google Scholar] [CrossRef] [Green Version]
- Ruiz-Olmos, C.A.; Gómez-Tenorio, M.Á.; Camacho-ferre, F.; Belmonte-Ureña, L.J.; Tello-Marquina, J.C. Control de nematodos del género Meloidogyne en un suelo de invernadero cultivado con papaya utilizando la técnica de biosolarización de suelos. Terralia 2018, 116, 53–62. [Google Scholar]
- Bilalis, D.; Krokida, M.; Roussis, I.; Papastylianou, P.; Travlos, I.; Cheimona, N.; Dede, A. Effects of organic and inorganic fertilization on yield and quality of processing tomato (Lycopersicon esculentum Mill.). Folia Hortic. 2018, 30, 321–332. [Google Scholar] [CrossRef] [Green Version]
- Pieper, J.R.; Barrett, D.M. Effects of organic and conventional production systems on quality and nutritional parameters of processing tomatoes. J. Sci. Food Agric. 2009, 89, 177–194. [Google Scholar] [CrossRef]
- Scandinavica, A.A.; Soil, S.B.; Guajardo-Ríos, O.; Lozano-Cavazos, C.J.; Valdez-, L.A.; Benavides-Mendoza, A.; Ibarra-jiménez, L.; Alberto, J.; Aguilar-gonzález, C.N.; Lozano-cavazos, C.J.; et al. Animal-based organic nutrition can substitute inorganic fertigation in soilless-grown grape tomato. Acta Agric. Scand. Sect. B Soil Plant Sci. 2018, 68, 77–85. [Google Scholar] [CrossRef]
- Polat, E.; Demir, H.; Erler, F. Yield and quality criteria in organically and conventionally grown tomatoes in Turkey e convencional na Turquia. Sci. Agric. 2010, 67, 424–429. [Google Scholar] [CrossRef]
- European Union. Regulation (EU) 2018/848 of the European Parliament and of the Council of 30 May 2018 on organic production and labelling of organic products and repealing Council Regulation (EC) No 834/2007. Off. J. Eur. Union L Ser. 2018, 150, 1–92. [Google Scholar]
- Gonzálvez, V.; Pomares, F. La Fertilización y el Balance de Nutrientes en Sistemas Agroecológicos; Sociedad Española de Agricultura Ecológica: Catarroja, Spain, 2008; pp. 1–24. [Google Scholar]
- de la Lastra, E.; Marín-Guirao, J.I.; López-Moreno, F.J.; Soriano, T.; de Cara-García, M.; Capote, N. Potential inoculum sources of Fusarium species involved in asparagus decline syndrome and evaluation of soil disinfestation methods by qPCR protocols. Pest. Manag. Sci. 2021, 77, 4749–4757. [Google Scholar] [CrossRef]
- Serrano-Pérez, P.; De Santiago, A.; Rodríguez-Molina, M.d.C. Biofumigation With Pellets of Defatted Seed Meal of Brassica carinata: Factors Affecting Performance Against Phytophthora nicotianae in Pepper Crops. Front. Sustain. Food Syst. 2021, 5, 1–12. [Google Scholar] [CrossRef]
- Wu, N.; Liu, S.; Zhang, G.; Zhang, H. Science of the Total Environment Anthropogenic impacts on nutrient variability in the lower Yellow River. Sci. Total Environ. 2021, 755, 142488. [Google Scholar] [CrossRef]
Publisher’s Note: MDPI stays neutral with regard to jurisdictional claims in published maps and institutional affiliations. |
© 2022 by the authors. Licensee MDPI, Basel, Switzerland. This article is an open access article distributed under the terms and conditions of the Creative Commons Attribution (CC BY) license (https://creativecommons.org/licenses/by/4.0/).