Next Article in Journal
Genetic Variation and Stability Analysis of an Artificially Synthesized Allohexaploid Brassica for Breeding Innovations
Next Article in Special Issue
Evaluation of the Effectiveness of Loose and Compressed Wood Chip Mulch in Field-Grown Blueberries—A Preliminary Study
Previous Article in Journal
Evaluating Growth, Biomass and Cannabinoid Profiles of Floral Hemp Varieties under Different Planting Dates in Organic Soils of Florida
Previous Article in Special Issue
Weed Management by In Situ Cover Crops and Anaerobic Soil Disinfestation in Plasticulture
 
 
Font Type:
Arial Georgia Verdana
Font Size:
Aa Aa Aa
Line Spacing:
Column Width:
Background:
Article

Weed Community in Soybean Responses to Agricultural Management Systems

1
Department of Plant Medicine, Faculty of Agrobiotechnical Sciences in Osijek, J.J. Strossmayer University in Osijek, 31000 Osijek, Croatia
2
Department of Bioeconomy and Rural Development, Faculty of Agrobiotechnical Sciences in Osijek, J.J. Strossmayer University in Osijek, 31000 Osijek, Croatia
3
Polytechnic in Pozega, 34000 Pozega, Croatia
4
Biotechnical Department, University of Slavonski Brod, 35000 Slavonski Brod, Croatia
*
Author to whom correspondence should be addressed.
Agronomy 2022, 12(11), 2846; https://doi.org/10.3390/agronomy12112846
Submission received: 27 September 2022 / Revised: 8 November 2022 / Accepted: 9 November 2022 / Published: 14 November 2022

Abstract

Weed infestation is a major cause of the poor yield of soybeans (Glycine max (L.) Merr.); therefore, proper weed management represents one of the most important and expensive steps in soybean production. Field experiments were established in northeastern parts of Croatia, in the Vukovar-Syrmia county from 2014 to 2016, arranged in a split-plot design with four replications. Two different studies were conducted: the first study was to determine the weed interference, weed biomass accumulation, yield, and yield components of soybeans growing in three different rows spacing (25, 50, and 70 cm), and the second study aimed to simulate a risk analysis by building models of probabilities for generating profit as a result of weed control. The weed community in soybean during the study period comprised 34 dicot and grass species of a varied perennation. Compositional differences in the weed community tended to be affected most by the year (humid–arid environment), followed by row spacing. There were no differences in the weed biomass accumulation with a reduction in row spacing from 70 to 50 and 25 cm. The dominant weed species Amaranthus retroflexus, Ambrosia artemisiifolia, Chenopodium album, Datura stramonium, Setaria viridis, and Sorghum halepense formed the main biomass and were spread over all row spacings. There was a significant influence of row spacing, the duration of weed interference, and year on soybean yield and yield components. Weed infestation until the second trifoliate (V2) stage had no detrimental effect on soybean yield, regardless of the row spacing. The number of pods per plant significantly decreased at the same V2 stage in 25 and 50-cm rows, but in 70-cm soybean rows, this process started later, at four unfolded trifoliate leaves (V4 stage). A 1000 kernel weight was less sensitive to weed infestation and was significantly decreased at full flowering (R2 stage) in 25 and 70 cm rows, while it already decreased at the V4 stage in 50 cm rows. The probability distribution of achieving a profit showed the best results for soybeans growing in 70 cm rows, with preemergence herbicide application and two inter-row cultivation.

1. Introduction

Soybean (Glycine max (L.) Merr.) is an important oilseed and protein crop on a global scale [1,2,3]. The production of this crop has increased, particularly in the past several decades, when farming practices have changed dramatically, especially regarding the methods used to control weeds.
Before the introduction of herbicides, mechanical and cultural methods were the only option for weed control. Soil-incorporated and pre-emergence herbicides began to replace tillage and cultivation practices and, after the 1960s, became the dominant weed control method, followed by mechanical cultivation until soybean canopies closed and shaded the weeds [4]. The development of post-emergence herbicides after the 1980s allowed farmers to control weeds in season and became a predominant weed control treatment that included single or multiple post-emergence herbicide applications with less reliance on soil-applied herbicides [5].
Moreover, the availability of post-emergence herbicides gave farmers an alternative weed control tool allowing them to plant soybeans in narrow row spacing and eliminate the need for cultivation [6]. Traditionally, soybeans have been planted in 70 cm rows, followed by late-season cultivation [7]; however, with rows as narrow as 25 cm, cultivation becomes impossible. Soybeans planted in narrow rows mean that the canopy can close quicker, providing better competition against weeds. Weed emergence following herbicide application decreases since the solar radiation that stimulates weed seed germination and weed development is intercepted by the crop canopy [8,9]. In addition, the research results demonstrated that the increasing soybean seeding rate for narrow-row soybeans is 20–45% greater than for wide-row soybeans [10,11]. However, no difference in weed-free soybean yield at a low, moderate, and high population in 38 and 76 cm rows was observed [12].
Soybean yield has increased over the past 35 years due to crop improvement through plant breeding [13] and due to significantly changed production systems, such as diverse crop rotations, reduced tillage, precision seeding, optimal fertilization rate, etc. In addition, the introduction of glyphosate (Roundup Ready®) and glufosinate (Liberty Link®)-resistant soybeans in 1996 and 2009, respectively, resulted in a shift in practices towards postemergence herbicide application [14,15]. Transgenic, herbicide-tolerant varieties of soybean have had a very rapid adoption rate because of reduced weed control costs and increased yields compared to conventional varieties [16]. Moreover, they represent a revolutionary solution in weed management since they allow farmers to manage a broad spectrum of weeds without crop injury or crop rotation restrictions.
Although herbicides have revolutionized weed management, replacing manual labor and mechanical weed control, they face some challenges, such as safety, environmental issues, and the development of herbicide-resistant weeds, particularly in countries growing genetically modified (GM) soybean varieties [17].
Many countries in the European Union, including Croatia, restrict or prohibit the cultivation of GM crops and the active ingredients of some extremely and highly hazardous pesticides in their territory due to their cumulative long-term effects on human health and the environment [18]. Farmers are, therefore, encouraged to grow non-GM soya in crop rotations, using good agricultural practices for soil and nutrient management and the best weed management options. To implement all the above-mentioned initiatives into a common practice in Croatia, farmers need to be informed of the benefits and risks of implementing all the required sustainability criteria [1,19].
Therefore, the main objectives of this research were: (i) to describe the response of weed communities to the above-mentioned agronomic practices in soybeans and analyze the differences in floristic composition that exist between the crops at different row spacings; (ii) to evaluate weed biomass production in competition with soybeans; (iii) to determine if soybean yield and its attributes will increase and the weed yield decrease as row spacing decreases; and (iv) to simulate a risk analysis by building models of possible results of economic return in soybeans growing in 25, 50, and 70 cm rows.

2. Materials and Methods

2.1. Site Description and Experimental Set Up

The field experiments were conducted in clay-loam soil near the city of Vukovar (45°21′ N 18°59′ E), at the family farm “Zeleno polje” in the Vukovar-Syrmia county situated in the northeastern part of the Republic of Croatia. This is an open and flat region with agriculture as the main economic sector where soybean production is important. Climatically, this region experiences a warm to moderate dry lowland climate with an average yearly temperature of 11.4oC and average yearly rainfall of 699 mm, with the highest spring regime in June.
A soybean cultivar IKA, maturity group 0-I (Agricultural Institute Osijek), was sown to achieve a population of 500,000 plants/ha−1 to a soil depth of 4 cm on 7 May 2014 (after sunflower), on 26 April 2015 (after sugar beet), and on the 1 May 2016 (after barley). Cropping practice, typical for the local practice of soybean production in this region, consisted of primary tillage in autumn, followed by spring plowing and harrowing [20]. Fertilizers were applied as follows: 300 kg ha−1 (NPK 7:20:30) in fall during the primary tillage, and 350 kg/ha−1 (NPK 15:15:15) at sowing to achieve 74 kg N ha−1, 113 kg P2O5 ha−1 and 143 kg K2O ha−1. No irrigation was applied, and rainfall ranged from 293.8, 357.1 to 595.4 in 2015, 2016, and 2014, respectively (Table 1).
All treatments were arranged in a split-plot design with four replications. Two different studies were conducted during the experiment: the first one determined the weed interference, weed biomass accumulation, and yield as well as yield attributes in the soybean, and the second one simulated a risk analysis by building models of the possible results of achieving a profit as a result of weed control.
In the first study, the three main plots included different soybean row spacings: 25 cm, 50 cm, and 70 cm. Sub-plots consisted of eleven weed removal timings, where the weeds were allowed to grow until the crops reached V2 (second trifoliate), V4 (fourth trifoliate), R1 (beginning bloom, first flower), R2 (full flower), R3 (beginning pod), R4 (full pod), R5 (beginning seed), R6 (full seed), and R7 (beginning maturity). Weedy and weed-free control treatments were also included. The weeds were removed by hand pulling and hoeing. The plot size was 2.4 × 3.5 m. The plots were separated by 0.5 m and blocks by 1.5 m unplanted distances.
In the second study, as an input for the simulation model, yield losses due to weeds in soybeans were estimated from the plots where row spacing was the main plot, and different weed control treatments were subplots with four replications of each treatment. Six weed control options, including the pre-emergence herbicide metribuzin + flufenacet at 2 kg ha −1 in all of them, were evaluated for: (i) pre-emergence application in 25 cm of soybean; (ii) pre-emergence application in 50 cm of soybean; (iii) pre-emergence application in 50 cm of soybean and cultivation at V1; (iv) pre-emergence application in 70 cm of soybean; (v) pre-emergence application in 70 cm of soybean followed by cultivation at V1; (vi) pre-emergence application in 70 cm of soybean followed by cultivation at V1 and at R1.

2.2. Data Assessment and Statistical Analysis

To characterize the weed community in the soybeans, the density of each species was counted in all weedy control plots at the R2 stage (16 July, 4 July, and 6 July in 2014, 2015, and 2016, respectively) from sixteen 0.5 by 0.5 quadrats per each soybean row spacing. To overcome non-uniform weed distribution, a relative abundance was calculated [21]. This synthetic importance value included density and frequency components and was calculated by the plot for each weed species as follows: (relative density + relative frequency)/2. The variation in the species composition was analyzed with canonical correspondence analysis (CCA) using CANOCO 5 [22]. The statistical significance of fitting the CCA axes was tested using a global permutation test (Monte-Carlo test) of the species data at 1000 iterations. The forward selection of explanatory variables was tested with Monte-Carlo permutations and was also used in determining the statistical significance for each explanatory variable singly (simple effect) and in order for additionally explained variance (conditional effect).
Weed biomass accumulation was estimated at each soybean growth stage (described in the first study) by harvesting all the weeds within each of the four 1 m2 randomly located treatment plots. The weeds were clipped at the soil surface and dried at 70 °C to constant moisture content. Dry weed weight was converted to a g m2 basis. The relationship between the treatments and the weed biomass accumulation was described by using PROC REG in SAS, version 9.4 [23]. To determine the type of relationship, a Schumacher’s model [24] was fitted to the weed-infested treatment and weed biomass accumulation.
Y = ea+b/x
where Y is the weed dry weight (g m−2), e is a constant, a is the maximum weed biomass, b is the asymptote of the curve, and x is the duration of weed infested period expressed in growing degree days (GDD). GDD was used as an explanatory variable in the regression analysis, and for that purpose, the temperature was converted to GDD by using the following equation [25]:
GDD = ∑[(Tmax + Tmin)/2] − Tbase}
where Tmax and Tmin are the daily maximum and minimum air temperatures (°C), and Tbase is the base threshold temperature, which was set at 10 °C.
Crop yield and yield components (the number of pods per plant and 1000 kernel weight) were recorded from each plot by hand harvesting the two middle rows (on 1 October, 30 September, and 3 October in 2014, 2015, and 2016, respectively), shelled and adjusted to 11% moisture. A mixed model (PROC MIXED in SAS) was used to evaluate the interference of the weeds in soybeans planted at 25, 50, and 70 cm row spacing on the soybean yield and yield components. The analysis involved three factors (row spacing, weed interference, and year) and repeated measures of the ANOVA model, with year as a repeated measure. Significance was assumed at p < 0.05.
A Monte-Carlo simulation model was constructed to forecast the distribution of the difference in profit based on the data from study 2. For that purpose, data for the seeds, fertilizers, and herbicide prices were obtained from the local seed and agrichemical dealers. Prices for fuel, services, and soybean markets were obtained from the TISUP [26]. Weed management costs were the sum of the herbicide and their application cost. The gross margin for the treatments was determined and represented the difference between the gross receipt (product of crop yield and assumed market price) and production costs (seeds, fertilizers, fuel, services, and weed management).
By using a Monte-Carlo simulation model [27], the inputs are not simply mean values of the estimated parameters but show the variability of these estimates by using their simulated distributions. Calculations were performed by using a Risk Solver® platform in Excel.

3. Results

3.1. Weed Community Characteristics

The weed community comprised 34 grass and dicot species of varied perennation (Table 2). They belong to 30 genera and 19 families, with Asteraceae (seven weed species) and Poaceae (with four weed species) as the leading families. The weed community was composed of twenty-six species in 2014, eighteen species in 2015, and fifteen species in 2016. The dominant weeds during this study were Amaranthus retroflexus L., Ambrosia artemisiifolia L., Chenopodium album L., Datura stramonium L., and Setaria viridis (L.) PB., and Sorghum halepense (L.) Pers.
The weed relative abundance data over all the study years are presented in Table 2 to give an overview of the community structure and the overall effects of the various row spacing in soybeans. However, in the analysis of the comprehensive data using CCA, specific weed species’ responses to the explored external variables proved to be statistically significant (Figure 1). A Monte-Carlo permutation test showed both the first and all the CCA axes together to be statistically significant (test of significance of first canonical axis: eigenvalue = 0.1667; F-ratio = 30.2908; p < 0.001; test of significance of all canonical axes: eigenvalue = 0.3195; F-ratio = 12.6323; p < 0.001).
The first CCA axis captured 52.9% of the variation in the species composition and was explained more by the seasonal aspect than management factors. The biplot score for 2015 and 2016 had a longer vector length and was in opposite orientation in the ordination than for 2014 (Figure 1). During the growing seasons of 2015 and 2016 (April–September), the amount of rainfall (293.8 mm and 357.1 mm for 2015 and 2016, respectively) was significantly lower than in 2014 (595.4 mm). A weaker association were observed for the crop rows. The soybeans planted in narrow rows (25 cm) were located in the same orientation space in the driest season in 2015, compared to a wider row spacing with less seasonal influence.
The weed relative abundance indicated that species, such as Abutilon theophrasti, Setaria verticilata, Euphorbia helioscopia, A. retroflexus, and D. stramonium, are associated with a drier environment in soybean crops growing in 25 cm rows (Table 3).
The second axis explains a further 29.4% of the species composition variability, and Rumex crispus, Rorippa sylvestris, and Hordeum murinum appeared only in 2016 in wider crop rows (Table 3).
The results from the forward selection of explanatory variables indicate that most variance in the species data, when examined singly (simple effects), can be explained by the weather conditions in very humid 2014 and very arid 2015, and moderate 2016 (Table 4). Next, the variation explained by the environmental variables are in order of their inclusion in the model, i.e., the conditional effect indicated that only 2014 and 2015 explain significant portions of the variation in the data since the additional variance was explained by each variable at the time it was included.

3.2. Weed Biomass Accumulation

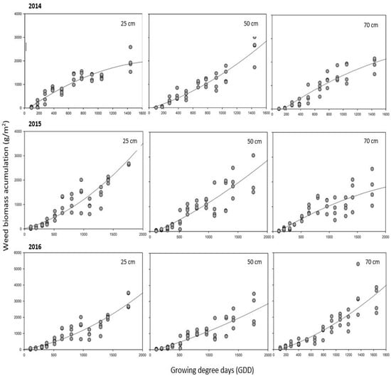
Weed biomass accumulation increased in each row spacing as the duration of the weed-infested period increased (Figure 2). The highest total dry weed biomass (3329.2 g m−2) was recorded in 2016 in soybeans growing in 70 cm rows, following 2015 (3082.4 g m−2) where soybeans grew in 25 cm rows and 2014 (2521.7 g m−2) where soybeans grew in 50 cm rows.
There was no reduction in the weed biomass accumulation with a reduction in the row spacing from 70 to 50 and 25 cm. Dominant weed species A. retroflexus, A. artemisiifolia, C. album, D. stramonium, S. viridis, and S. halepense germinated and emerged with the soybeans, formed the main biomass, and were spread over all the row spacings (Table 2).
Figure 2. The effect of increasing duration of weed interference on weed dry weight accumulation in soybeans growing in 25, 50, and 70 cm rows. Dots indicate observed data. Parameter values for response curves calculated using Schumacher’s model are presented in Table 5.
Figure 2. The effect of increasing duration of weed interference on weed dry weight accumulation in soybeans growing in 25, 50, and 70 cm rows. Dots indicate observed data. Parameter values for response curves calculated using Schumacher’s model are presented in Table 5.
Agronomy 12 02846 g002

3.3. Weed Community Interference on Soybean Yield and Yield Components

Weed competition with soybeans can cause significant reductions in yield potential (Table 6). The soybean yield, number of pods per plant, and 1000 kernel weight were significantly influenced by row spacing (p < 0.001). The duration of weed interference affected soybean yield and its components (p < 0.001). Significant yearly differences (p < 0.001) were also recorded and can be attributed to the rainfall amount periodicity. The first and third years of the experiment received more rainfall during the vegetative growth compared to the second experimental year (Table 1).
The significantly highest soybean yield was observed in weed-free crops growing in 70 cm rows, while in 50 cm rows, the yield was reduced by 10%, and in 25 cm rows, the yield reduction was 20% (Table 7). However, when weeds were present throughout the growing season, the yield reductions were 52, 53, and 60% in 50 cm, 25 cm, and 70 cm soybean rows, respectively.
The number of pods per plant in weed-free soybeans did not significantly differ but allowed weeds to interfere the whole season, causing a dramatic reduction (70%) in the number of pods per plant to be observed in the 70 cm rows. The 1000 kernel weight was also not significantly different among the crop rows in weed-free plots. The presence of weeds reduced the 1000 kernel weight to about 10%.
Weed infestation until the second trifoliate (V2) stage had no detrimental effect on the soybean yield, regardless of the row spacing. The number of pods per plant started to significantly decrease at the same stage in 25 and 50-cm rows, but in 70-cm wide soybean rows, this process started later, at four unfolded trifoliate leaves (V4 stage). A 1000 kernel weight was less sensitive to weed infestation and significantly decreased at full flowering (R2 stage) in the 25 and 70cm rows, while soybeans growing in 50 cm rows decreased at four unfolded trifoliate leaves (V4 stage).

3.4. Effect of Weed Management in Soybean on Economic Return

Following the experimental results (the second study), a Monte-Carlo simulation was constructed to forecast the distribution of the difference in obtaining the profit between the six weed control strategies in soybeans growing in 25, 50, and 70 cm rows. Figure 3 shows a flow diagram representing the sequence of the calculations performed. The differences in profits between the weed control strategies were presented for each study year separately. However, in the second year (very dry growing season), all examined weed management strategies failed, and variable costs (dotted line in Figure 3) were higher than the gross margin.
A pre-emergence herbicide application was not able to obtain positive financial results in any of the three years of study. In 50 cm rows, the probability of achieving a profit was 20% in 2014 and 40% in 2016, while in 70 cm rows, the positive financial results with a pre-emergence herbicide application had a 60% probability in 2014 and 30% in 2016.
The combination of the pre-emergence herbicide and one inter-row cultivation at V1 in 50 cm rows only received a positive financial result in 2014 (a 20% probability). Soybeans growing in 70 cm rows with one inter-row cultivation and with two inter-row cultivation were the best options for achieving profit. There was a 50% and 70% possibility for positive financial results with pre-emergence herbicides and one inter-row cultivation in 2014 and 2016, respectively. The best option in this study was the strategy with a pre-emergence herbicide application followed by two inter-row cultivations. In this treatment, the probability of not receiving a profit was only 10% in 2014.

4. Discussion

The spontaneous weed community that developed in the soybean crops during this study was typical of row crops flora in this region [28,29]. The dominant weeds that appear in the study are, likewise, a major limiting factor of optimum soybean production in the region [30,31] as well as worldwide [32,33,34].
It is well documented that management practices and environmental conditions affect soybean and weed competition. Weeds impact soybeans by competing for limited light, water, nutrient resources, and space. The manipulation of row spacing, as one of the management tactics, can have a sizable impact on weeds in soybeans [35]. However, our results suggest that environmental factors, followed by crop management practices, had the most significant effects on weed community composition and structure and on soybeans. The variation in weed community composition was significantly explained by seasonal conditions. The amount of precipitation during the growing season was the most important factor determining weed species composition. Similar conclusions can be found in other studies [36,37,38,39], where year (as a factor) was found to show greater influence on the weed community than soil management practices, indicating fluctuational rather than directional or consistent changes in the weed community. However, some other studies suggest that management factors play more important roles than environmental ones; [40,41] revealed that different crop types and their associated management have more influence on weed composition than the relative importance of climatic variables.
The weed biomass and accumulation rate increased with the increasing duration of weed infestation. The absence of herbicide application or other weed control measures in these weeded plots gave the weeds competitive advantages over the crops growing in all three-row spacings. Since dominant weeds A. retroflexus, A. artemisiifolia, C. album, D. stramonium, S. viridis, and S. halepense were spread over all the row spacings, they formed the main biomass because of their size. Moreover, they emerged with the crop resulting in vigorous competition for a weak competitor as soybeans are in their early growth stages [42]. It is well documented that weeds that germinate and emerge with soybeans are usually better competitors for light, water, and nutrients [43,44]. Broadleaf weeds, in particular, such as A. retroflexus, A. artemisiifolia, C. album, and D. stramonium, are more competitive with soybeans than grass weeds and many late emerging weeds [45]. Moreover, soybeans are very sensitive to moisture deficiencies in late summer, and even a few large weeds left in the field can severely reduce the yield potential [46].
Weed infestation is one of the main causes of low soybean yield [47]. Narrow row spacing is a cultural practice that has been reported as a management tactic which reduces the amount of light that reaches the soil surface and that reduces the amount of time needed for the soybeans to reach a full canopy closure [48,49]. A number of studies showed a yield increase when soybeans were planted in narrow rows [35,50]. Our results are in contrast to reports where narrow row spacing improved weed control efficacy, productivity, and the profitability of the soybean. The reason for this lay in the fact that we did not manipulate with seeding density (the soybeans were sown to achieve the recommended population of 500,000 plants per hectare).
In a given crop population, soybeans planted in 70 cm spaced rows gave the best economic results, according to the Monte Carlo simulation. The probability distribution of achieving a profit showed the best results for soybeans growing in 70 cm rows, with preemergence herbicide applications and two inter-row cultivations (at soybean stages V1 and R1). Individual weed control methods generally do not provide complete control of the weeds [51], and therefore, integrated weed management is often considered to be the most effective approach, as was confirmed by this research as well. Pre-emergence herbicide application followed by mechanical cultivation can increase the soybean yield and receive a positive financial result. Harder et al. [6] reported that gross margins were usually greater in 19 and 38-cm soybean rows, but in 76-cm rows, at a low soybean population, the gross margin was the greatest. The combination of pre-emergence herbicide application and mechanical weed control is not a fixed process and needs to be adjusted depending on the crop type, farming operation, and seasonal conditions [52].

5. Conclusions

This study confirmed that weed interference in soybeans is a major limiting factor for successful soybean production. Differences in the weed community were more influenced by year (humid–dry environment) followed by compositional differences between 25 cm vs. 50 and 70 cm row spacings. There were no differences in the weed biomass accumulation with a reduction in the row spacing from 70 to 50 and 25 cm since the dominant weeds A. retroflexus, A. artemisiifolia, C. album, D. stramonium, S. viridis, and S. halepense formed the main biomass and were spread over all the row spacings. Row spacing, the duration of weed interference, and year had significant influences on the soybean yield and yield components. The best financial results were evident in soybeans growing in 70 cm rows with a pre-emergence herbicide application following two inter-row cultivations during the V1 and R1 stages.

Author Contributions

Conceptualization, E.S. and I.S.; Methodology, E.S. and I.S.; formal analysis, E.S. and I.S.; Investigation, S.R., P.L., S.T., S.A., D.Z. and B.J.-P.; writing—original draft preparation, E.S.; Visualization, E.S. All authors have read and agreed to the published version of the manuscript.

Funding

This research received no external funding.

Acknowledgments

We would like to thank the members of the family farm “Zeleno polje” Dimic Darko and Dimic Dino for their support and help during the study.

Conflicts of Interest

The authors declare no conflict of interest. The funders had no role in the design of the study; in the collection, analyses, or interpretation of data; in the writing of the manuscript; or in the decision to publish the results.

References

  1. Krön, M.; Bittner, U. Danube Soya—Improving European GM-free soya supply for food and feed. OCL 2015, 22, D509. [Google Scholar] [CrossRef]
  2. Pagano, M.C.; Miransari, M. The importance of soybean production worldwide. In Abiotic and Biotic Stresses in Soybean Production, 1st ed.; Miransari, M., Ed.; Elsevier: Amsterdam, The Netherlands; Academic Press: London, UK, 2016; pp. 1–24. [Google Scholar]
  3. Abate, T.; Alene, A.; Bergvinson, D.; Shiferaw, B.; Orr, A.; Asfaw, S. Tropical Grain Legumes in Africa and South Asia: Knowledge and Opportunities; International Crops Research Institute for the Semi-Arid Tropics: Nairobi, Kenya, 2012; p. 97. [Google Scholar]
  4. Pike, D.R.; McGlamery, M.D.; Knake, E.L. A case study of herbicide use. Weed Technol. 1991, 5, 639–646. [Google Scholar] [CrossRef]
  5. Young, B.G. Changes in herbicide use patterns and production practices resulting from glyphosate-resistant crops. Weed Technol. 2006, 20, 301–307. [Google Scholar] [CrossRef]
  6. Harder, D.B.; Sprague, C.L.; Renner, K.A. Effect of Soybean Row Width and Population on Weeds, Crop Yield, and Economic Return. Weed Technol. 2007, 21, 744–752. [Google Scholar] [CrossRef]
  7. Wax, I.M.; Nave, W.R.; Cooper, R.L. Weed control in narrow and wide-row soybeans. Weed Sci. 1977, 25, 73–78. [Google Scholar] [CrossRef]
  8. Yelverton, F.H.; Coble, H.D. Narrow row spacing and canopy formation reduces weed emergence in soybean (Glycine max). Weed Technol. 1991, 5, 169–174. [Google Scholar] [CrossRef]
  9. Dalley, C.B.; Kellis, J.J.; Renner, K.A. Effect of glyphosate application timing and row spacing on weed growth in corn (Zea mays) and soybean (Glycine max). Weed Technol. 2004, 18, 177–182. [Google Scholar] [CrossRef]
  10. Kratochvil, R.J.; Pearce, J.T.; Harrison, M.R. Row-spacing and seeding rate effects on glyphosate-resistant soybean for mid-Atlantic production systems. Agron. J. 2004, 96, 1029–1038. [Google Scholar] [CrossRef]
  11. Shipitalo, M.J.; Malone, R.W.; Owens, L.B. Impact of Glyphosate-Tolerant Soybean and Glufosinate-Tolerant Corn production on Herbicide Losses in Surface Runoff. J. Environ. Qual. 2008, 37, 401–408. [Google Scholar] [CrossRef]
  12. Reddy, K.N. Glyphosate-resistant soybean as a weed management tool: Opportunities and challenges. Weed Biol. Manag. 2001, 1, 193–202. [Google Scholar] [CrossRef]
  13. Rincker, K.; Nelson, R.; Specht, J.; Sleper, D.; Cary, T.; Cianzio, S.R.; Casteel, S.; Conley, S.; Chen, P.; Davis, V.; et al. Genetic improvements of U.S. soybean in maturity groups II, III and IV. Crop Sci. 2014, 54, 1419–1432. [Google Scholar] [CrossRef]
  14. Craigmyle, B.D.; Ellis, J.M.; Bradley, K.W. Influence of herbicide Programs on Weed Management in Soybean with Resistance to Glufosinate and 2,4-D. Weed Technol. 2013, 27, 78–84. [Google Scholar] [CrossRef]
  15. Carpenter, J.; Gianessi, L. Herbicide Tolerant Soybeans: Why Growers are Adopting Roundup Ready Varieties. AgBioForum 1999, 2, 65–72. [Google Scholar]
  16. Norssworthy, J.K.; Frederick, J.R. Reduces seeding rate for glyphosate-resistant drilled soybean on the southern eastern coastal plan. Agron. J. 2002, 94, 1282–1288. [Google Scholar] [CrossRef]
  17. Heap, I. Global perspective of herbicide-resistant weeds. Pest Manag. Sci. 2014, 70, 1306–1315. [Google Scholar] [CrossRef]
  18. EUR-Lex. Available online: https://eur-lex.europa.eu/legal-content/EN/TXT/?uri=CELEX:32015L0412 (accessed on 10 June 2022).
  19. Bertheau, Y.; Davison, J. Soybean in the European Union, Status and Perspective. In Recent Trends for Enhancing the Diversity and Quality of Soybean Products; IntechOpen: London, UK, 2020; pp. 1–46. [Google Scholar]
  20. Vrataric, M.; Sudaric, A. Soja; Poljoprivredni Institut: Osijek, Croatia, 2000; p. 217. [Google Scholar]
  21. Derksen, D.; Lafond, G.; Thomas, A.; Loepky, H.; Swanton, D. Impact of Agronomic Practices on Weed Communities: Tillage Systems. Weed Sci. 1993, 41, 409–417. [Google Scholar] [CrossRef]
  22. Ter Braak, C.J.F.; Smilauer, P. Canoco Reference Manual and User’s Guide: Software for Ordination; Version 5.0; Microcomputer Power: Ithaca, NY, USA, 2012; p. 496. [Google Scholar]
  23. SAS (Statistical Analysis Systems). SAS User’s Guide; Version 9.1; SAS Institute Inc.: Cary, NC, USA, 2004; p. 5136. [Google Scholar]
  24. Schumacher, F.X. A new growth curve and its application to timber-yield studies. J. For. 1939, 37, 819–820. [Google Scholar]
  25. Gilmore, E.C.; Rogers, R.S. Heat units as a method of measuring maturity in corn. Agron. J. 1958, 50, 611–615. [Google Scholar] [CrossRef]
  26. TISUP. Available online: http://www.tisup.mps.hr (accessed on 15 June 2022).
  27. Hammersley, J.M.; Handscomb, D.C. Monte-Carlo Methods; Methuen and Co. Ltd.: London, UK, 1964; p. 178. [Google Scholar]
  28. Stefnanic, E.; Kovacevic, V.; Dimic, D.; Stefanic, I.; Antunovic, S. Changes in Weed Species Composition in North-eastern Croatian Row Crops from 1977 to 2015. Herbologia 2017, 16, 57–62. [Google Scholar]
  29. Baric, K.; Ostojic, Z. Mogucnost suzbijanja korova u soji. Agron. Glas. 2000, 1–2, 71–84. [Google Scholar]
  30. Meseldzija, M.; Lazic, S.; Dudic, M.; Sunjka, D.; Rajkovic, M.; Markovic, T.; Vukotic, J.; Ljevnaic-Masic, B.; Jurisic, A.; Ivanovic, I. Is there a possibility to involve the hormones effect on soybean with glyphosate sublethal amounts used to control weed species Amaranthus retroflexus L.? Agronomy 2020, 6, 850. [Google Scholar] [CrossRef]
  31. Krstic, J.; Malidza, G.; Rajkovic, M.; Krstic, M. Influence of different methods for breaking seed dormancy of Ambrosia artemisiifolia, Abutilon theophrasti and Xanthium strumarium on emergence in field conditions. Acta Herbol. 2021, 1, 29–37. [Google Scholar] [CrossRef]
  32. Culpepper, A.S.; York, A.C.; Batts, R.B.; Jennings, K.M. Weed Management in Glufosinate- and Glyphosate-Resistant Soybean (Glycine max). Weed Technol. 2000, 14, 77–88. [Google Scholar] [CrossRef]
  33. Barnes, E.R.; Jhala, A.J.; Knezevic, S.Z.; Sikkema, P.H.; Lindquist, J.L. Soybean and common ragweed (Ambrosia artemisiifolia) growth in monoculture and mixture. Weed Technol. 2019, 6, 481–489. [Google Scholar] [CrossRef]
  34. Weaver, S.E. Impact of lamb’s-quarters, common ragweed and green foxtail on yield of corn and soybean in Ontario. Can. J. Plant Sci. 2001, 81, 821–828. [Google Scholar] [CrossRef]
  35. Knezevic, S.Z.; Evans, S.P.; Mainz, M. Row Spacings Influences the Critical Timing for Weed Removal in Soybean (Glycine max). Weed Technol. 2003, 17, 666–673. [Google Scholar] [CrossRef]
  36. Blachshaw, R.E.; Larney, F.J.; Lindwall, C.W.; Watson, P.R.; Derksen, D.A. Tillage intensity and crop rotation affect weed community dynamics in a winter wheat cropping system. Can. J. Plant Sci. 2001, 81, 805–813. [Google Scholar] [CrossRef]
  37. Pinke, G.; Karacsony, P.; Czucz, B.; Botta-Dukat, Z.; Lengyel, A. The influence of environment, management and site context on species composition of summer arable weed vegetation in Hungary. Appl. Veg. Sci. 2012, 15, 136–144. [Google Scholar] [CrossRef]
  38. Fried, G.; Norton, I.R.; Reboud, X. Environmental and management factors determining weed species composition and diversity in France. Agric. Ecosyst. Environ. 2008, 128, 68–76. [Google Scholar] [CrossRef]
  39. Landau, C.A.; Hager, A.G.; Williams, M.M. Deteriorating weed control and variable weather portends greater soybean yield losses in the future. Sci. Total Environ. 2022, 830, 154764. [Google Scholar] [CrossRef]
  40. Lososova, Z.; Cimalova, S. Effects of different cultivation types on native and alien weed species richness and diversity in Moravia (Czech Republic). Basic Appl. Ecol. 2009, 10, 456–465. [Google Scholar] [CrossRef]
  41. Cimalova, S.; Lososova, Z. Arable weed vegetation of the northeastern part of the Czech Republic: Effect of environmental factors on species composition. Plant Ecol. 2009, 203, 45–57. [Google Scholar] [CrossRef]
  42. Fickett, N.D.; Boerboom, C.M.; Stoltenberg, D.E. Soybean Yield Loss Potential Associated with Early-Season Weed Competition across 64 Site-Years. Weed Sci. 2013, 61, 500–507. [Google Scholar] [CrossRef]
  43. Green-Tracewicz, E.; Page, E.R.; Swanton, C.J. Light Quality and the Critical Period for Weed Control in Soybean. Weed Sci. 2012, 60, 86–91. [Google Scholar] [CrossRef]
  44. Datta, A.; Ullah, H.; Tursun, N.; Pornprom, T.; Knezevic, S.Z. Managing weeds using crop competition in soybean (Glycine max (L.) Merr.). Crop Prot. 2017, 95, 60–68. [Google Scholar] [CrossRef]
  45. Hock, S.M.; Knezevic, S.Z.; Martin, A.R.; Lindquist, J.L. Soybean row spacing and weed emergence time influence weed competitiveness and competitive indices. Weed Sci. 2006, 54, 38–46. [Google Scholar] [CrossRef]
  46. Frisvold, G.B.; Albright, J.; Ervin, D.E.; Owen, M.D.K.; Norsworthy, J.K.; Dentzman, K.E.; Hurley, T.M.; Jussaume, R.A.; Gunsolus, J.L.; Everman, W. Do farmers manage weeds on owned and rented land differently? Evidence from US corn an soybean farms. Pest Manag. Sci. 2020, 6, 2030–2039. [Google Scholar] [CrossRef]
  47. Wallace, J.M.; Keene, C.L.; Curran, W.; Mirsky, S.; Ryan, M.R.; VanGessel, M.J. Integrated Weed Management Strategies in Cover Crop-based Organic Rotational No-Till Corn and Soybean in the Mid-Atlantic Region. Weed Sci. 2018, 66, 94–108. [Google Scholar] [CrossRef]
  48. Bradley, K.W. A Review of the Effect of Row Spacing on Weed management in Corn and Soybean. Crop Manag. 2006, 5, 1–10. [Google Scholar] [CrossRef]
  49. Soltani, N.; Dille, J.A.; Burke, I.C.; Everman, W.J.; VanGessel, M.J.; Davis, V.M.; Sikkema, P.H. Perspectives on Potential Soybean Yield Losses from Weeds in North America. Weed Technol. 2017, 31, 148–154. [Google Scholar] [CrossRef]
  50. Daramola, O.S.; Adejemi, O.R.; Adigun, J.A.; Adejuyigbe, C.O. Influence of row spacing and weed control methods on weed population dynamics in soybean (Glycine max L.). Int. J. Pest Manag. 2021, 68, 43–58. [Google Scholar] [CrossRef]
  51. Datta, A.; Knezevic, S.Z. Flaming as an Alternative Weed Control method for Conventional and Organic Agronomic Crop Production Systems: A Review. Adv. Agron. 2013, 118, 399–428. [Google Scholar]
  52. Knezevic, S.Z. Integrated weed management in soybean. In Recent Advances in Weed Management; Springer: New York, NY, USA, 2014; pp. 223–237. [Google Scholar]
Figure 1. Ordination of species, row spacing, and years on Axis 1 and Axis 2 of a canonical correspondence analysis (CCA) with scaling based on inter-species distances. For acronyms for species (Bayer code) see Table 1.
Figure 1. Ordination of species, row spacing, and years on Axis 1 and Axis 2 of a canonical correspondence analysis (CCA) with scaling based on inter-species distances. For acronyms for species (Bayer code) see Table 1.
Agronomy 12 02846 g001
Figure 3. Probability (%) of increase in profit by controlling weeds in soybeans growing in 25, 50, and 70 cm rows. Weed control options are: (i) pre-emergence application of metribuzin + flufenacet (2 kg ha−1) in 25 cm soybean; (ii) pre-emergence application in 50 cm soybean; (iii) pre-emergence application in 50 cm soybean and cultivation at first trifoliate; (iv) pre-emergence application in 70 cm soybean; (v) pre-emergence application in 70 cm soybean followed by cultivation at first trifoliate; (vi) pre-emergence application in 70 cm soybean followed by cultivation at first trifoliate and at R1 stage. GM = gross margin; VC = variable costs of production; irc = inter-row cultivation.
Figure 3. Probability (%) of increase in profit by controlling weeds in soybeans growing in 25, 50, and 70 cm rows. Weed control options are: (i) pre-emergence application of metribuzin + flufenacet (2 kg ha−1) in 25 cm soybean; (ii) pre-emergence application in 50 cm soybean; (iii) pre-emergence application in 50 cm soybean and cultivation at first trifoliate; (iv) pre-emergence application in 70 cm soybean; (v) pre-emergence application in 70 cm soybean followed by cultivation at first trifoliate; (vi) pre-emergence application in 70 cm soybean followed by cultivation at first trifoliate and at R1 stage. GM = gross margin; VC = variable costs of production; irc = inter-row cultivation.
Agronomy 12 02846 g003
Table 1. Total monthly rainfall, average temperature for the growing season from April to September in 2014, 2015, and 2016, and their 30-year averages in Vukovar (https://meteo.hr/ (accessed on 14 April 2022)).
Table 1. Total monthly rainfall, average temperature for the growing season from April to September in 2014, 2015, and 2016, and their 30-year averages in Vukovar (https://meteo.hr/ (accessed on 14 April 2022)).
MonthsTemperature (°C)Rainfall (mm)
20142015201630-yr Average20142015201630-yr Average
April13.612.814.313.156.918.14.649.3
May16.618.517.217.9157.5100.431.065.1
June20.821.421.821.258.724.3105.6106.0
July22.324.623.323.0118.612.6112.949.8
August21.224.021.122.584.078.665.159.1
September17.318.718.717.3119.759.837.960.6
Table 2. Floristic composition in 25, 50, and 70 cm soybean crop rows during the experiment.
Table 2. Floristic composition in 25, 50, and 70 cm soybean crop rows during the experiment.
Weed SpeciesCommon NameBayer CodeFunctional Groups *Row Spacing (cm) **
MFLF255070
Abutilon theophrasti Med.velvetleafABUTHDA0.05-0.05
Amaranthus retroflexus L.redroot pigweedAMAREDA0.180.120.23
Ambrosia artemisiifolia L.common ragweedAMBELDA0.350.050.02
Artemisia vulgaris L.mugwortARTVUDP0.050.010.01
Calystegia sepium (L.)R.Br.hedge bindweedCAGSEDP0.020.020.03
Chenopodium album L.common lambsquartersCHEALDA2.022.081.97
Chenopodium hybridum L.mapleleaf goosefootCHEHGDA0.120.020.02
Convolvulus arvensis L.field bindweedCONARDP0.030.050.07
Datura stramonium L.jimsonweedDATSTDA0.220.120.07
Daucus carota L.wild carrotDAUCADB0.050.050.01
Erigeron annuus (L.)Pers.annual fleabaneERIANDA0.050.01-
Erigeron canadensis L.horseweedERICADA0.050.05-
Euphorbia helioscopia L.sun spurgeEPHHEDA--0.01
Glechoma hederacea L.ground ivyGLEHEDP0.01--
Helianthus annuus L.sunflowerHELANDA0.040.010.03
Hordeum murinum L.mouse barleyHORMUMA-0.010.02
Lactuca serriola L.prickly lettuceLACSEDA--0.01
Lathyrus pratensis L.meadow peawineLTHPRDP0.050.01-
Matricaria chamomilla L.wild chamomilleMATCHDA-0.05-
Oxalis corniculata L.creeping woodsorrelOXACODP0.05-0.01
Papaver rhoeas L.corn poppyPAPRHDA-0.01-
Plantago major L.broadleaf plantainPLAMADP0.050.05-
Robinia pseudoaccacia L.black locustROBPSDP--0.01
Rorippa sylvestris (L.)Bess.yellow fieldcressRORSYDP-0.010.01
Rumex crispus L.curly dockRUMCRDP0.05--
Setaria verticillata (L.)PB.Bristly foxtailSETVEMA--0.02
Setaria viridis (L.)PB.green foxtailSETVIMA0.130.230.24
Solanum nigrum L.emend. Mill.black nightshadeSOLNIDA0.040.050.07
Sonchus arvensis L.perennial sowthistleSONARDP0.010.020.01
Sonchus oleraceus L.annual sowthistleSONOLDA-0.01-
Sorhgum halepense (L.)Pers.johnsongrassSORHAMP1.541.591.61
Urtica dioica L.stinging nettleURTDIDP-0.01-
Veronica persica Poir.Persian speedweelVERPEDA0.09-0.01
Xanthium strumarium L.common cockleburXANSIDA0.04-0.01
* Functional groups: MF = morphotype; D = dycotyledoneae; M = monocotyledoneae; LC = life cycle; A = annual; B = bi-annual; P = perennial. ** relative abundance data of weed species in soybeans growing in 25, 50, and 70 cm rows.
Table 3. Results from the canonical correspondence analysis. Species ranked along the main gradients are presented, and only the species with the highest fit are selected.
Table 3. Results from the canonical correspondence analysis. Species ranked along the main gradients are presented, and only the species with the highest fit are selected.
Axes1234Total Inertia
Eigenvalues0.2810.1560.0480.0310.638
Species-environment correlations0.8860.7680.4710.363
Cumulative percentage variance of species data4.56.97.78.2
Cumulative percentage of fitted response data52.982.391.397.1
Species scores
Setaria verticilata−1.0733−0.8828−0.1365−0.2181
Abutilon theoprasti−1.0474−0.8551−0.2683−0.2266
Datura stramonium−0.8350−0.38580.13590.1291
Euphorbia helioscopia−0.8230−0.6156−1.4103−0.3001
Rumex crispus−0.61591.34431.4399−0.7333
Amaranthus retroflexus−0.6090−0.5122−0.2105−0.0380
Rorippa sylvestris−0.21401.882−0.35480.3462
Hordeum murinum−0.20001.8908−0.49690.0005
Artemisia vulgaris1.5051−0.4150−0.1942−0.2818
Sonchus arvensis1.5140−0.3584−0.14700.0054
Erigeron canadensis1.5193−0.2797−0.03250.3959
Sonchus oleraceus1.5426−0.12070.14121.8013
Matricaria chamomilla1.5473−0.3507−0.35410.1809
Urtica dioica1.5871−0.1756−0.30800.7085
Lactuca serriola1.6170−0.2126−0.6150−0.0275
Biplot scores of explanatory variables
20140.8699−0.26300.11690.0018
2015−0.6750−0.5689−0.24970.1253
2016−0.18760.89490.1478−0.1328
25 cm−0.1488−0.22110.5515−0.4038
50 cm0.10990.1971−0.00810.9630
70 cm0.10500.0769−0.7920−0.4137
Table 4. Results of forward selection of explanatory variables.
Table 4. Results of forward selection of explanatory variables.
Simple EffectsConditional Effects
VariableExplains %Pseudo-FPVariableExplains %Pseudo-FP
20148.429.50.00120148.429.50.001
20157.125.50.00120155.821.80.001
20166.020.40.00170 cm1.03.90.001
25 cm1.13.50.00150 cm0.93.60.001
50 cm0.93.10.00125 cm0.41.50.001
70 cm0.92.80.003
Table 5. Parameter values for response curves based on Schumacher’s model: Y = ea+b/x (values in parentheses are standard errors of parameters).
Table 5. Parameter values for response curves based on Schumacher’s model: Y = ea+b/x (values in parentheses are standard errors of parameters).
YearabR2
25 cm soybean row spacing
20146.1 (0.086)−427 (44.52)0.73
20154.3 (0.114)−271 (53.78)0.83
20163.8 (0.113)−229 (40.26)0.88
50 cm soybean row spacing
20144.4 (0.072)−254 (45.63)0.85
20157.8 (0.062)−271 (53.78)0.89
20166.1 (0.002)−292 (50.33)0.81
70 cm soybean row spacing
20147.9 (0.088)−302 (54.12)0.78
20156.9 (0.039)−298 (54.77)0.76
20169.9 (0.009)−325 (73.78)0.79
Table 6. Repeated-measures of ANOVA for the effect of agricultural management system on soybean yield and yield components.
Table 6. Repeated-measures of ANOVA for the effect of agricultural management system on soybean yield and yield components.
VariabledfSoybean YieldNumber of Pods per Plant1000 Kernel Weight
FSig. *FSig.FSig.
Between-subject source
  Row spacing (RS)214.9250.0006.1960.0028.9260.000
  Duration of weed interference (DWI)107.9190.00049.3260.0002.2230.022
  RS * DWI201.1820.2864.4210.0001.6680.052
  Error99
Within-subject source
  Year (Y)2722.9810.000871.5580.000366.1700.000
  Y * RS49.3340.00016.9190.0393.0850.017
  Y * DWI2026.4700.000114.8350.00013.5020.000
  Y * RS * DWI400.6040.9704.5690.0721.3160.114
  Error198
Notes: df = the degrees of freedom; F-value and significance levels of effects are shown for each variable. Within-subject analysis used Geisser-Greenhouse adjusted probabilities. * p < 0.05.
Table 7. Soybean yield, number of pods per plant and 1000 kernel weight as influenced by soybean row spacings (25, 50 70 cm), and duration of weed interference (averaged over 2014–2016).
Table 7. Soybean yield, number of pods per plant and 1000 kernel weight as influenced by soybean row spacings (25, 50 70 cm), and duration of weed interference (averaged over 2014–2016).
Soybean Growth StageSoybean Yield (kg/m2)Number of Pods per Plant1000 Kernel Weight (g)
Row Spacing (cm)
25 507025 50 70255070
Weed-free586.6 a650.7 a724.8 a68 a63 a67 a154.6 a163.7 a160.8 a
V2480.4 b542.9 b625.8 b64 b55 b64 a154.1 a159.4 ab160.5 a
V4473.2 b540.5 b622.6 b53 c54 b54 b154.9 a158.8 ab159.8 a
R1460.1 c526.5 c618.4 bc51 c53 b52 b154.5 a157.1 b159.5 a
R2431.4 d502.6 c611.7 c51 c53 b43 c152.5 b154.6 bc156.1 b
R3429.1 de490.0 d604.0 c51 c53 b40 c151.3 b151.8 c155.7 b
R4421.4 e447.2 e543.6 d48 cd51 bc27 d151.1 b151.3 c155.6 b
R5413.6 f435.7 ef529.1 e44 d48 c22 e147.6 c149.9 d154.3 bc
R6351.8 g424.1 f525.5 e37 e45 c21 e144.5 cd148.3 d152.6 c
R7350.8 g339.8 g385.7 f36 e43 d20 e141.9 d147.1 d150.2 c
Within a column, the same letter indicates that the yield or yield components are not significantly different.
Publisher’s Note: MDPI stays neutral with regard to jurisdictional claims in published maps and institutional affiliations.

Share and Cite

MDPI and ACS Style

Stefanic, E.; Rasic, S.; Lucic, P.; Tolic, S.; Zima, D.; Antunovic, S.; Japundžić-Palenkić, B.; Stefanic, I. Weed Community in Soybean Responses to Agricultural Management Systems. Agronomy 2022, 12, 2846. https://doi.org/10.3390/agronomy12112846

AMA Style

Stefanic E, Rasic S, Lucic P, Tolic S, Zima D, Antunovic S, Japundžić-Palenkić B, Stefanic I. Weed Community in Soybean Responses to Agricultural Management Systems. Agronomy. 2022; 12(11):2846. https://doi.org/10.3390/agronomy12112846

Chicago/Turabian Style

Stefanic, Edita, Sanda Rasic, Pavo Lucic, Snjezana Tolic, Dinko Zima, Slavica Antunovic, Božica Japundžić-Palenkić, and Ivan Stefanic. 2022. "Weed Community in Soybean Responses to Agricultural Management Systems" Agronomy 12, no. 11: 2846. https://doi.org/10.3390/agronomy12112846

APA Style

Stefanic, E., Rasic, S., Lucic, P., Tolic, S., Zima, D., Antunovic, S., Japundžić-Palenkić, B., & Stefanic, I. (2022). Weed Community in Soybean Responses to Agricultural Management Systems. Agronomy, 12(11), 2846. https://doi.org/10.3390/agronomy12112846

Note that from the first issue of 2016, this journal uses article numbers instead of page numbers. See further details here.

Article Metrics

Back to TopTop