A Revised Equation of Water Application Efficiency in a Center Pivot System Used in Crop Rotation in No Tillage
Abstract
1. Introduction
2. Materials and Methods
2.1. Edapho-Climatic Characteristics of the Study Area
2.2. Irrigation Equipment
2.3. Application Efficiency
2.4. General Features of the System
2.4.1. Characterization of the Equipment and Discharged Water
2.4.2. Evaluations Performed and Location of Catch Cans
2.4.3. Evaluation Times and Position of Sprinklers
2.4.4. Decrease of Uniformity
2.5. Crop Yield as a Function of Distribution Uniformity
2.6. Water Retention in Residues
2.7. Leaf Interception and Water Redistribution in the Soil
2.8. Statistical Analysis
3. Results and Discussion
3.1. Flow and Irrigation Intensity of Segments
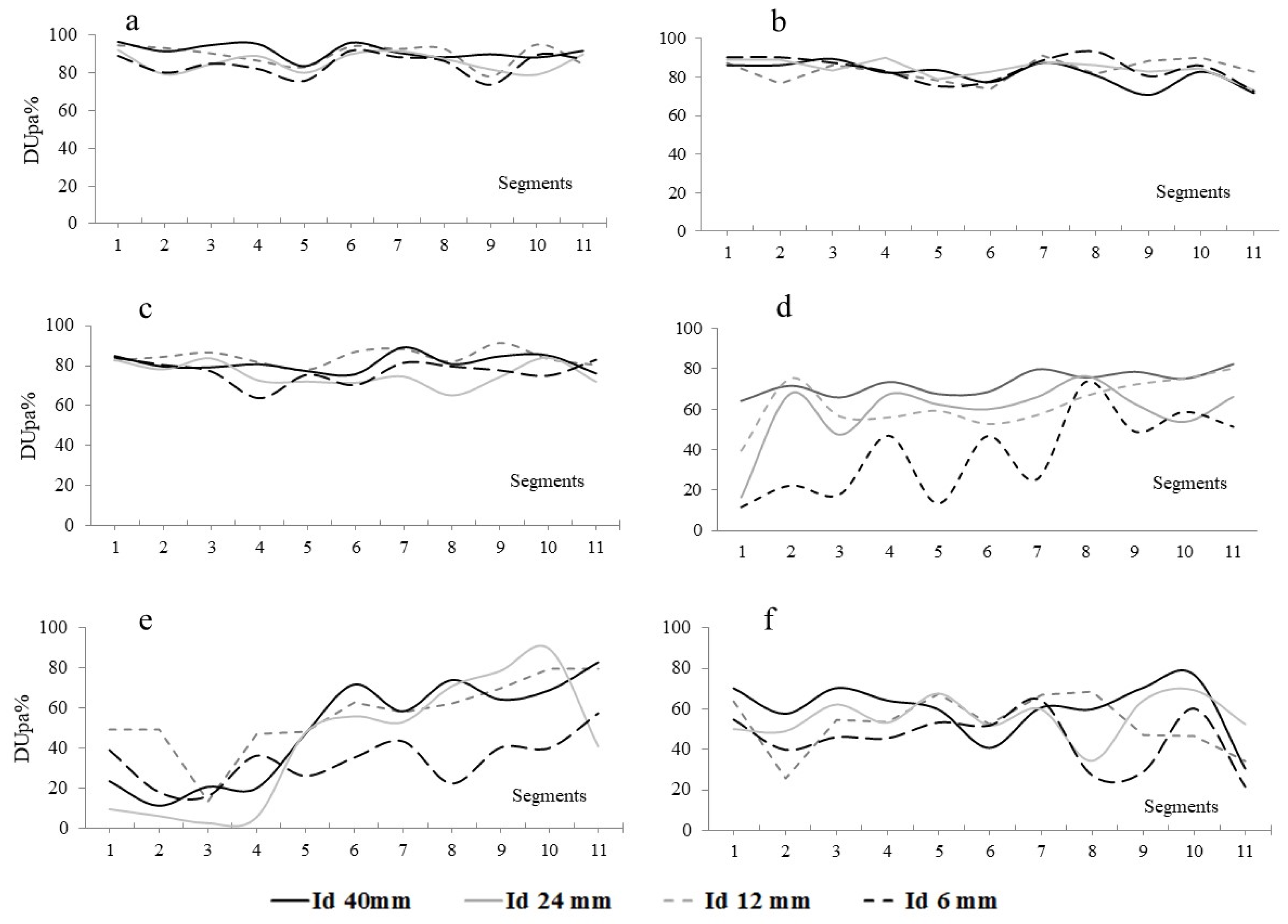
3.2. Distribution Uniformity
3.3. Losses Due to Evaporation and Drift (Re)
3.4. Crop Yield vs. Distribution Uniformity
3.5. Water Retention by Residues
3.6. Leaf Interception and Water Redistribution in the Soil
3.6.1. Throughfall (Ta) and Stemflow (Sa)
3.6.2. Water Redistribution in the Soil
3.7. Revised Equation of Application Efficiency
4. Conclusions
Author Contributions
Funding
Data Availability Statement
Acknowledgments
Conflicts of Interest
References
- Hsiao, T.C.; Steduto, P.; Fereres, E. A systematic and quantitative approach to improve water use efficiency in agriculture. Irrig. Sci. 2007, 25, 209–231. [Google Scholar] [CrossRef]
- Keller, J.; Bliesner, R.D. Sprinkle and Trickle Irrigation; Springer: New York, NY, USA, 1990; p. 650. [Google Scholar]
- Tarjuelo, J.M. El Riego Por Aspersión Y SU Tecnología; Ediciones Mundi-Prensa: Madrid, Spain, 2005. [Google Scholar]
- Lamm, F.L.; Manges, H.L. Partitioning of sprinkler irrigation water by corn canopy. Am. Soc. Agric. Biol. Eng. 2000, 43, 909–918. [Google Scholar] [CrossRef]
- Fernández, J.E.; Alcon, F.; Diaz-Espejo, A.; Hernandez-Santana, V.; Cuevas, M.V. Water use indicators and economic analysis for on-farm irrigation decision: A case study of a super high density olive tree orchard. Agric. Water Manag. 2000, 237, 106074. [Google Scholar] [CrossRef]
- Quinn, N.W.; Laflen, J.M. Characteristics of raindrop troughfall under corn canopy. Trans. ASAE 1983, 26, 1445. [Google Scholar] [CrossRef]
- Schneider, A.D. Efficiency and uniformity of the LEPA and spray sprinkler methods: A review. Trans. ASAE 2000, 43, 937–944. [Google Scholar] [CrossRef]
- Tolk, J.A.; Howeel, T.A.; Steiner, J.L.; Krieg, D.R.; Schneider, A.D. Role of transpiration suppression by evaporation of intercepted water in improving irrigation efficiency. Irrig. Sci. 1995, 16, 89–95. [Google Scholar] [CrossRef]
- Buschiazzo, D.E.; Panigatti, J.L.; Unger, P.W. Tillage effects on soil properties and crop production in the subhumid and semiarid Argentinean Pampas. Soil Tillage Res. 1998, 49, 105–116. [Google Scholar] [CrossRef]
- Díaz Zorita, M.; Duarte, G.A.; Grove, J.H. A review of no-till systems and soil management for sustainable crop production in the subhumid and semiarid Pampas of Argentina. Soil Tillage Res. 2002, 65, 1–18. [Google Scholar] [CrossRef]
- Follett, R.F. Soil management concepts and carbon sequestration in cropland soils. Soil Tillage Res. 2001, 61, 77–92. [Google Scholar] [CrossRef]
- Gupta, N.; Humphreys, E.; Eberbach, P.L.; Kukal, S.S. Effects of tillage and mulch on soil evaporation in a dry seeded rice-wheat cropping system. Soil Tillage Res. 2021, 209, 104976. [Google Scholar] [CrossRef]
- Giubergia, J.P. Efectos Del Riego Complementario Sobre Propiedades Del Suelo en Sistemas de Producción Con Siembra Directa. Master’s Thesis, Universidad de Buenos Aires, Buenos Aires, Argentina, 2013. [Google Scholar]
- Iqbal, A.; Beaugrand, J.; Garnier, P.; Recous, S. Tissue density determines the water storage characteristics of crop residues. Plant Soil. 2013, 367, 285–299. [Google Scholar] [CrossRef]
- Roper, M.M.; Kerr, R.; Ward, P.R.; Micin, S.F.; Krishnamurthy, P. Changes in soil properties and crop performance on stubble-burned and cultivated water-repellent soils can take many years following reversion to no-till and stubble retention. Geoderma 2021, 402, 115361. [Google Scholar] [CrossRef]
- Thapa, R.; Tully, K.L.; Cabrera, M.; Dann, C.; Schomberg, H.H.; Timlin, D.; Gaskin, J.; Reberg-Horton, C.; Steven, B.; Mirsky, S.B. Cover crop residue moisture content controls diurnal variations in surface residue decomposition. Agric. For. Meteorol. 2021, 308–309, 108537. [Google Scholar] [CrossRef]
- Savabi, M.R.; Stott, D.E. Plant residue impact on rainfall interception. Trans. ASAE 1994, 37, 1093–1098. [Google Scholar] [CrossRef]
- Quemada, M.; Cabrera, M.L. Characteristic moisture curves and maximum water content of two crop residues. Plant Soil 2002, 238, 295–299. [Google Scholar] [CrossRef]
- ANSI/ASAE S436.1 DEC01; Test Procedure for Determining the Uniformity of Water Distribution of Center Pivot and Lateral Move Irrigation Machines Equipped with Spray or Sprinkler Nozzles. American Society of Agricultural Engineers: St. Joseph, MI, USA, 2001; pp. 932–938.
- Jarsun, B.; Bosnero, H.; Lovera, E. Carta de Suelos de la República Argentina, Hoja Oncativo 3163-32; Instituto Nacional de Tecnología Agropecuari: Buenos Aires, Argentina, 1987. [Google Scholar]
- Severina, I.; Salinas, A. Riego suplementario: La funcionalidad de los sistemas radicales y del agua almacenada en el subsuelo, para la optimización del uso de Balance hídrico. In Proceedings of the 3º Reunión Internacional de Riego, Córdoba, Argentina, 30–31 October 2012; Available online: https://inta.gob.ar/sites/default/files/inta_riego_suplementario_la_funcionalidad_de_los_sistemas_radicales_y_del_agua_almacenada_en_el_subsuelo_para_la_optimizacion_del_uso_de_balance_hidrico_.pdf (accessed on 28 September 2022).
- Giubergia, J.; Rampoldi, A. Riego suplementario con aguas de mediana a baja calidad en la ecorregión pampeana y del espinal (Argentina). Efectos sobre suelos y cultivos: Riego complementario en la provincia de Córdoba. In Ambientes Salinos Y Alcalinos de la Argentina: Recursos Y Aprovechamiento Productivo; Taleisnik, E., Lavado, R., Eds.; Orientación Gráfica: Córdoba, Argentina, 2017; No. 631.416. [Google Scholar]
- Ayers, R.; Westcot, D. Water Quality for Agriculture; The Food and Agriculture Organization (FAO): Roma, Italy, 1985; pp. 63–64. [Google Scholar]
- Allen, R.G.; Pereira, L.S.; Raes, D.; Smith, M. Crop Evapotranspiration-Guidelines for Computing Crop Water Requirements—FAO Irrigation and Drainage Paper 56; The Food and Agriculture Organization (FAO): Rome, Italy, 1998; p. 300. [Google Scholar]
- Ritchie, S.W.; Hanway, J.J. How a Corn Plant Develop; Special Report No. 48; Iowa State University of Science and Technology Cooperative Extension Service: Ames, IA, USA, 1982. [Google Scholar]
- Ortiz, J.N.; de Juan, J.A.; Tarjuelo, J.M. Analysis of water application uniformity from a centre pivot irrigator and its effect on sugar beet (Beta vulgaris L.) yield. Biosyst. Eng. 2010, 105, 367–379. [Google Scholar] [CrossRef]
- Steiner, J.L.; Kanemasu, E.T.; Clark, R.N. Spray losses and partitioning of water under a center-pivot sprinkler system. Trans. ASAE 1983, 26, 1128–1134. [Google Scholar] [CrossRef]
- Howell, T.A.; Yazar, A.; Schneider, A.D.; Dusek, D.A.; Copeland, K.S. Yield and water use efficiency of corn in response to LEPA irrigation. Trans. ASAE 1995, 38, 1737–1747. [Google Scholar] [CrossRef]
- Thompson, A.L.; Martin, D.L.; Norman, J.M.; Howell, T.A. Scheduling Effects On Evapotranspiration with Overhead and below Canopy Application. In Proceedings of the International Evapotranspiration Irrigation Scheduling Conference, San Antonio, TX, USA, 3–6 November 1996; Camp, C.R., Sadler, E.J., Yoder, R.E., Eds.; American Society of Agricultural Engineers: St. Joseph, MI, USA, 1996. [Google Scholar]
- Williams, L.J.; Abdi, H. Fisher’s least significant difference (LSD) test. Encycl. Res. Des. 2010, 218, 840–853. [Google Scholar]
- Di Rienzo, J.A.; Casanoves, F.; Balzarini, M.G.; Gonzales, L.; Tablada, M.; Robledo, C.W. InfoStat, version 2009; Grupo InfoStat, FCA, Universidad Nacional de Córdoba: Córdoba, Argentina, 2009. [Google Scholar]
- Lecina, S.; Hill, R.W. Uniformidad de riego bajo diferentes condiciones socio-económicas: Evaluación de pivotes en Aragón (España) y Utah (EEUU). In Proceedings of the XXXII Congreso Nacional de Riegos, Madrid, Spain, 11–12 June 2014; Available online: https://digital.csic.es/handle/10261/98436 (accessed on 28 September 2022).
- Cao, H.; Fan, Y.; Chen, Z.; Huang, X. Influence of Canopy Interception of Soybean and Corn on Water Distribution of Center Pivot Sprinkling Machine. J. Eur. Des Syst. Autom. 2020, 53, 61–67. [Google Scholar] [CrossRef]
- Montero, J.; Tarjuelo, J.M.; Honrubia, F.T.; Ortiz, J.; Valiente, M.; Sánchez, C. Influencia de la altura del emisor sobre la eficiencia y la uniformidad en el reparto de agua con equipos pivot. In Proceedings of the XVII Congreso Nacional De Riegos (AERYD), Murcia, Spain, 11–13 March 1999. [Google Scholar]
- Montazar, A.; Sadeghi, M. Effects of applied water and sprinkler irrigation uniformity on alfalfa growth and hay yield. Agric. Water Manag. 2008, 95, 1279–1287. [Google Scholar] [CrossRef]
- Lamm, F.R.; Bordovsky, J.P.; Howell, T.A. A review of in-canopy and near-canopy sprinkler irrigation concepts. Am. Soc. Agric. Biol. Eng. 2019, 62, 1355–1364. [Google Scholar] [CrossRef]
- Martin, D.L.; Kranz, W.L.; Smith, T.; Irmak, S.; Burr, C.; Yoder, R.E. Center-Pivot Irrigation Handbook; Publication EC3017; University of Nebraska-Lincoln: Lincoln, NE, USA, 2017; 132p, Available online: https://extensionpublications.unl.edu/assets/pdf/ec3017.pdf (accessed on 1 March 2022).
- Ortiz, J.N.; Tarjuelo, J.M.; de Juan, J.A. Characterisation of evaporation and drift losses with center pivots. Agric. Water Manag. 2009, 96, 1541–1546. [Google Scholar] [CrossRef]
- Kohl, K.D.; Kohl, R.A.; DeBoer, D.W. Measurement of low pressure sprinkler evaporation loss. Trans. ASAE 1987, 30, 1071–1074. [Google Scholar] [CrossRef]
- Li, J.; Rao, M. Crop Yield as Affected by Uniformity of Sprinkler Irrigation System. Agric. Eng. Int. CIGR J. Sci. Res. Dev. 2001, 3. Available online: https://ecommons.cornell.edu/bitstream/handle/1813/10246/LW%2001%20004a.pdf?sequence=1&isAllowed=y (accessed on 28 September 2022). [CrossRef]
- Latifmanesh, H.; Deng, A.; Nawaz, M.M.; Li, L.; Chen, Z.; Zheng, Y.; Wang, P.; Song, Z.; Zhang, J.; Zheng, C.H.; et al. Integrative impacts of rotational tillage on wheat yield and dry matter accumulation under corn-wheat cropping system. Soil Tillage Res. 2018, 184, 100–108. [Google Scholar] [CrossRef]
- Denef, K.; Stewart, C.E.; Brenner, J.; Paustian, K. Does long-term center-pivot irrigation increase soil carbon stocks in semi-arid agro-ecosystems? Geoderma 2008, 145, 121–129. [Google Scholar] [CrossRef]
- Chantigny, M.H. Dissolved and water-extractable organic matter in soils: A review on the influence of land use and management practices. Geoderma 2003, 113, 357–380. [Google Scholar] [CrossRef]
- Zhang, Y.; Ghaly, A.E.; Li, B. Physical Properties of Corn Residues. Am. J. Biochem. Biotechnol. 2012, 8, 44–53. [Google Scholar] [CrossRef]
- van Wesenbeeck, I.J.; Kachanoski, R.G. Spatial and temporal distribution of soil water in the tilled layer under a corn crop. Soil Sci. Soc. Am. J. 1988, 52, 363–368. [Google Scholar] [CrossRef]
- Glover, J.; Gwynne, M.D. Light rainfall and plant survival in East Africa I. Maize. J. Ecol. 1962, 50, 111–118. [Google Scholar] [CrossRef]
- Liu, H.J.; Zhang, R.H.; Zhang, L.W.; Wang, X.M.; Li, Y.; Huang, G.H. Stemflow of water on maize and its influencing factors. Agric. Water Manag. 2015, 158, 35–41. [Google Scholar] [CrossRef]
- Martinez, S.R. Uniformidad de Distribución de Agua en El Suelo en Riego Por Aspersión Y Rendimiento Del Cultivo de Maíz. Ph.D. Thesis, Universidad Castilla-La Mancha, Ciudad Real, Spain, 2004. [Google Scholar]
- Li, J.; Kawano, H. The areal distribution of soil moisture under sprinkler irrigation. Agric. Water Manag. 1996, 32, 29–36. [Google Scholar] [CrossRef]
- Dechmi, F. Gestión Del Agua en Sistemas de Riego Por Aspersión en El Valle de Ebro: Análisis de la Situación Actual Y Simulación de Escenarios. Ph.D. Thesis, Universidad de Lleida, Centro de Investigación y Tecnología Agroalimentaria de Aragón, Lleida, Spain, 2003. Available online: https://digital.csic.es/handle/10261/4810 (accessed on 28 September 2022).
- Gillabel, J.; Denef, K.; Brenner, J.; Merckx, R.; Paustian, K. Carbon sequestration and soil aggregation in center-pivot irrigated and dryland cultivated farming systems. Soil Sci. Soc. Am. J. 2007, 71, 1020–1028. [Google Scholar] [CrossRef]











| Speed % | 15 | 25 | 50 | 100 | |||
|---|---|---|---|---|---|---|---|
| Gross Irrigation Depth, mm | 40 | 24 | 12 | 6 | |||
| Number of Measurements | Crop Height, m | Sprinkler Height, m | |||||
| * Phenological stage | Control | 3 | 3 | 3 | 3 | - | 1.6 |
| V4 | 1 | 1 | 1 | 1 | 1.2 | ||
| V6 | 1 | 1 | 1 | 1 | 1.4 | ||
| V10 | 1 | 1 | 1 | 1 | 1.55 | ||
| R1BC | 3 | - | 2.8 | ||||
| R1AC | 3 | 2.8 | 3 | ||||
| Segments | Designed Flow | Actual Flow | Actual Flow/Designed Flow Ratio | ||
|---|---|---|---|---|---|
| m3 h−1 | CV | m3 h−1 | CV | ||
| 1 | 0.27 | 36.16 | 0.3 | 44.47 | 1.11 |
| 2 | 0.63 | 16.89 | 0.72 | 17.91 | 1.14 |
| 3 | 1.08 | 11.48 | 1.28 | 12.16 | 1.19 |
| 4 | 0.77 | 12.33 | 0.91 | 10.29 | 1.18 |
| 5 | 1.08 | 11.74 | 1.27 | 11.74 | 1.18 |
| 6 | 1.4 | 7.28 | 1.63 | 7.28 | 1.16 |
| 7 | 1.59 | 4.87 | 1.87 | 4.87 | 1.18 |
| 8 | 1.72 | 4.76 | 1.99 | 4.76 | 1.16 |
| 9 | 2.00 | 4.18 | 2.21 | 4.18 | 1.11 |
| 10 | 2.00 | 5.08 | 2.21 | 5.08 | 1.11 |
| 11 | 2.04 | 15.75 | 2.14 | 4.35 | 1.05 |
| Operating Speeds | ||||||||
|---|---|---|---|---|---|---|---|---|
| 100% | 50% | 25% | 15% | |||||
| Segments | Wetted Width, m | Wetted Length, m | Average Application Rate, mm h−1 | CI | Wetting Time, Minutes | |||
| 1 | 8.7 | 24.1 | 5.7 | 7 | 51 | 98 | 349 | 482 |
| 2 | 11.2 | 26.8 | 12.0 | 7 | 36 | 58 | 142 | 193 |
| 3 | 14.5 | 34.2 | 15.4 | 7 | 17 | 32 | 65 | 111 |
| 4 | 13.7 | 23.9 | 25.0 | 7 | 19 | 32 | 74 | 108 |
| 5 | 14.3 | 55.2 | 32.1 | 7 | 14 | 25 | 56 | 83 |
| 6 | 14.3 | 25.9 | 39.6 | 7 | 10 | 17 | 42 | 52 |
| 7 | 14.5 | 29.4 | 48.3 | 7 | 8 | 15 | 30 | 55 |
| 8 | 14.5 | 24.6 | 50.2 | 7 | 8 | 14 | 34 | 47 |
| 9 | 14.7 | 23.9 | 56.7 | 7 | 7 | 13 | 32 | 41 |
| 10 | 14.5 | 17.3 | 79.4 | 7 | 7 | 11 | 25 | 43 |
| 11 | 15.1 | 12.3 | 77.4 | 7 | 5 | 8 | 17 | 31 |
| Segments | ||||||||||||
|---|---|---|---|---|---|---|---|---|---|---|---|---|
| 1 | 2 | 3 | 4 | 5 | 6 | 7 | 8 | 9 | 10 | 11 | ||
| pa | HHCU, % | 93.6 | 86.9 | 89.4 | 88.9 | 83.0 | 93.4 | 91.5 | 85.2 | 83.3 | 88.7 | 86.1 |
| 70 | DUpa (%) | 96.8 | 91.5 | 93.1 | 92.8 | 89.0 | 95.7 | 94.5 | 90.4 | 89.2 | 92.6 | 91.0 |
| 75 | 94.1 | 89.1 | 91.2 | 90.7 | 85.9 | 94.5 | 92.9 | 87.7 | 86.1 | 90.6 | 88.5 | |
| 80 | 93.4 | 86.3 | 88.9 | 88.3 | 82.2 | 93.1 | 91.1 | 84.5 | 82.5 | 88.1 | 85.5 | |
| 85 | 92.5 | 82.8 | 86.0 | 85.4 | 77.7 | 91.3 | 88.8 | 80.6 | 78.1 | 85.1 | 81.8 | |
| 90 | 91.5 | 78.5 | 82.5 | 81.7 | 72.2 | 89.1 | 86.0 | 75.7 | 72.6 | 81.4 | 77.2 | |
| Irrigation Depth (Id, mm) | ||||||||
|---|---|---|---|---|---|---|---|---|
| 40 | 24 | 12 | 6 | |||||
| * Phenological Stage | DUpa, % | |||||||
| Average | CV | Average | CV | Average | CV | Average | CV | |
| Control | 0.90 C b | 13.3 | 0.91 C b | 15.7 | 0.85 C b | 20.1 | 0.85 C b | 11.8 |
| V4 | 0.84 C a | 6.9 | 0.82 C a | 7.6 | 0.84 C a | 6 | 0.84 C a | 8.1 |
| V6 | 0.84 C c | 4.5 | 0.81 C cb | 5.3 | 0.76 C ab | 7.8 | 0.76 C ab | 7.5 |
| V10 | 0.70 B b | 16.3 | 0.59 B ab | 32.8 | 0.59 B ab | 27.3 | 0.45 B a | 56.6 |
| R1AC | 0.66 B b | 26.3 | 0.65 B b | 22.8 | 0.65 B b | 18.1 | 0.60 B a | 31.4 |
| R1BC | 0.51 A b | 56.8 | 0.46 A ab | 72.6 | 0.40 A ab | 87.5 | 0.32 A a | 166.4 |
| Start Time, h | Irrigation Time, h | ETo, mm h−1 | Wind Speed, m s−1 | Pivot Operating Speed, % | Re |
|---|---|---|---|---|---|
| 19:00 p.m. | 7.50 | 2.6 | 1.80 | 15 | 0.98 |
| 21:00 p.m. | 5.80 | 7.5 | 3.17 | 25 | 0.98 |
| 11:00 a.m. | 1.80 | 9.4 | 1.39 | 50 | 0.97 |
| 08:00 a.m. | 0.85 | 6.1 | 3.00 | 100 | 0.98 |
| Interrow (mm) | Crop Line (mm) | Depth (mm) | ||
|---|---|---|---|---|
| WI | 12 | WR | 17 | 40 * |
| Dc | 12 | Intercepted Id | 28 | |
| Ta | 17 | Sa | 20 | |
| eId, mm | Dc, mm | de | H, m | DM, ton/ha | PRR | LI | DUpa | DDUpa, % | DUpaaj | Re | REa, % |
|---|---|---|---|---|---|---|---|---|---|---|---|
| 10 | 4.7 | 30 | 1 | 10 | 0.926 | 0.967 | 0.85 | −9 | 0.77 | 0.98 | 68 |
| 10 | 4.7 | 30 | 1 | 15 | 0.901 | 0.967 | 0.85 | −9 | 0.77 | 0.98 | 66 |
| 10 | 4.7 | 30 | 1 | 20 | 0.876 | 0.967 | 0.85 | −9 | 0.77 | 0.98 | 64 |
| 15 | 6.0 | 40 | 1 | 10 | 0.957 | 0.906 | 0.85 | −16 | 0.71 | 0.98 | 61 |
| 15 | 6.0 | 40 | 1 | 15 | 0.941 | 0.906 | 0.85 | −16 | 0.71 | 0.98 | 60 |
| 15 | 6.0 | 40 | 1 | 20 | 0.924 | 0.906 | 0.85 | −16 | 0.71 | 0.98 | 59 |
| 25 | 9.9 | 50 | 1 | 10 | 0.982 | 0.929 | 0.85 | −25 | 0.64 | 0.98 | 57 |
| 25 | 9.9 | 50 | 1 | 15 | 0.972 | 0.929 | 0.85 | −25 | 0.64 | 0.98 | 56 |
| 25 | 9.9 | 50 | 1 | 20 | 0.962 | 0.929 | 0.85 | −25 | 0.64 | 0.98 | 56 |
| 40 | 20.9 | 70 | 1 | 10 | 0.997 | 0.895 | 0.85 | −49 | 0.43 | 0.98 | 38 |
| 40 | 20.9 | 70 | 1 | 15 | 0.990 | 0.895 | 0.85 | −49 | 0.43 | 0.98 | 38 |
| 40 | 20.9 | 70 | 1 | 20 | 0.984 | 0.895 | 0.85 | −49 | 0.43 | 0.98 | 37 |
Publisher’s Note: MDPI stays neutral with regard to jurisdictional claims in published maps and institutional affiliations. |
© 2022 by the authors. Licensee MDPI, Basel, Switzerland. This article is an open access article distributed under the terms and conditions of the Creative Commons Attribution (CC BY) license (https://creativecommons.org/licenses/by/4.0/).
Share and Cite
Aimar, F.; Martínez-Romero, Á.; Salinas, A.; Giubergia, J.P.; Severina, I.; Marano, R.P. A Revised Equation of Water Application Efficiency in a Center Pivot System Used in Crop Rotation in No Tillage. Agronomy 2022, 12, 2842. https://doi.org/10.3390/agronomy12112842
Aimar F, Martínez-Romero Á, Salinas A, Giubergia JP, Severina I, Marano RP. A Revised Equation of Water Application Efficiency in a Center Pivot System Used in Crop Rotation in No Tillage. Agronomy. 2022; 12(11):2842. https://doi.org/10.3390/agronomy12112842
Chicago/Turabian StyleAimar, Federico, Ángel Martínez-Romero, Aquiles Salinas, Juan Pablo Giubergia, Ignacio Severina, and Roberto Paulo Marano. 2022. "A Revised Equation of Water Application Efficiency in a Center Pivot System Used in Crop Rotation in No Tillage" Agronomy 12, no. 11: 2842. https://doi.org/10.3390/agronomy12112842
APA StyleAimar, F., Martínez-Romero, Á., Salinas, A., Giubergia, J. P., Severina, I., & Marano, R. P. (2022). A Revised Equation of Water Application Efficiency in a Center Pivot System Used in Crop Rotation in No Tillage. Agronomy, 12(11), 2842. https://doi.org/10.3390/agronomy12112842

