Straw Management and Slurry Application Affect the Soil Microbial Community Composition and Its Activity
Abstract
1. Introduction
2. Materials and Methods
2.1. Experimental Setup
2.2. Soil Respiration Measurements
2.3. Soil Sampling and Analyses
2.3.1. Soil Properties
2.3.2. Real-Time PCR (qPCR)
2.4. Statistical Analysis
3. Results
3.1. Soil Respiration
3.2. Dissolved Organic Carbon and Nitrogen in Soil
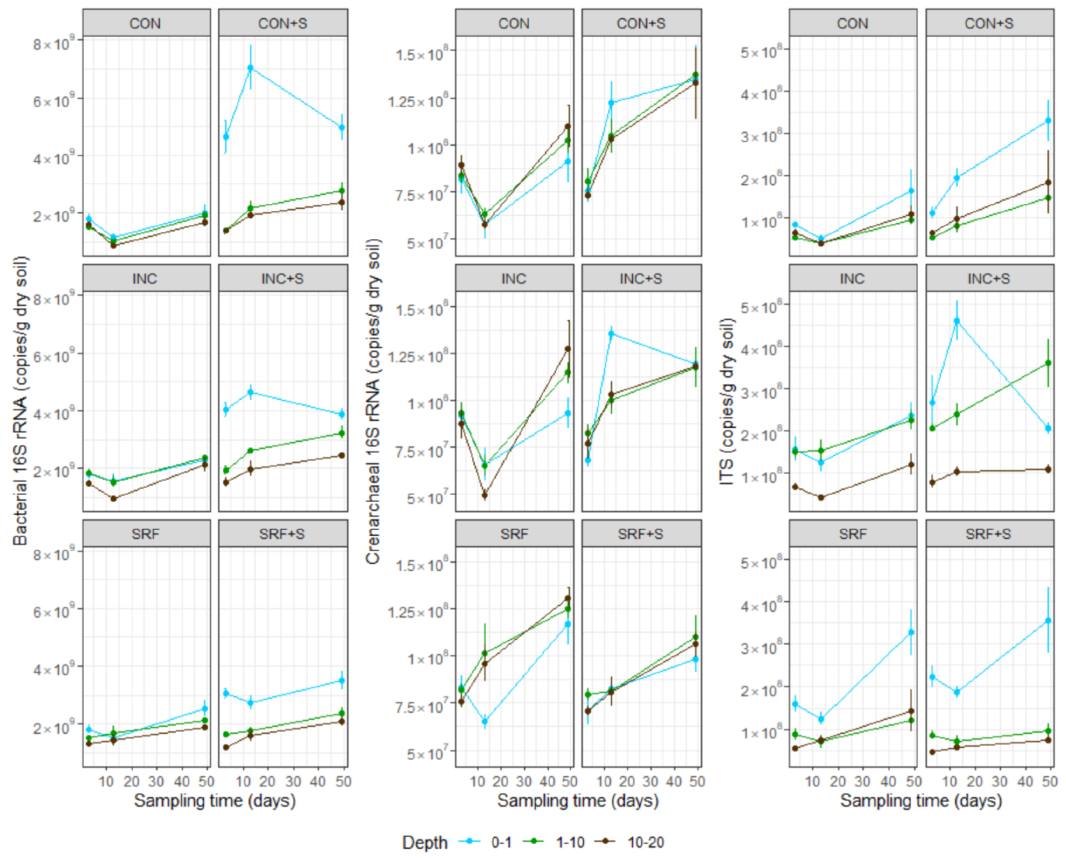
3.3. Abundance of the Total Microbial Community in Soil
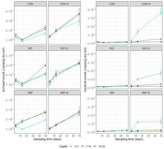
3.4. Abundance of N-Cycling Microbial Communities in Soil
3.4.1. Abundance of Nitrifiers
3.4.2. Abundance of Denitrifiers
4. Discussion
4.1. Effects of Straw Management and Slurry Fertilization on Soil Respiration
4.2. Effects of Straw Management and Slurry Fertilization on the Total Microbial Community
4.3. Effects of Straw Management and Slurry Fertilization on the Nitrifiers and Denitrifiers
5. Conclusions
Supplementary Materials
Author Contributions
Funding
Institutional Review Board Statement
Informed Consent Statement
Data Availability Statement
Acknowledgments
Conflicts of Interest
References
- Chen, H.; Hou, R.; Gong, Y.; Li, H.; Fan, M.; Kuzyakov, Y. Effects of 11 Years of Conservation Tillage on Soil Organic Matter Fractions in Wheat Monoculture in Loess Plateau of China. Soil Tillage Res. 2009, 106, 85–94. [Google Scholar] [CrossRef]
- Malhi, S.S.; Nyborg, M.; Goddard, T.; Puurveen, D. Long-Term Tillage, Straw Management and N Fertilization Effects on Quantity and Quality of Organic C and N in a Black Chernozem Soil. Nutr. Cycl. Agroecosystems 2011, 90, 227–241. [Google Scholar] [CrossRef]
- Zhang, H.; Zhang, Y.; Yan, C.; Liu, E.; Chen, B. Soil Nitrogen and Its Fractions between Long-Term Conventional and No-Tillage Systems with Straw Retention in Dryland Farming in Northern China. Geoderma 2016, 269, 138–144. [Google Scholar] [CrossRef]
- Dikgwatlhe, S.B.; Chen, Z.D.; Lal, R.; Zhang, H.L.; Chen, F. Changes in Soil Organic Carbon and Nitrogen as Affected by Tillage and Residue Management under Wheat-Maize Cropping System in the North China Plain. Soil Tillage Res. 2014, 144, 110–118. [Google Scholar] [CrossRef]
- Nevins, C.J.; Nakatsu, C.; Armstrong, S. Characterization of Microbial Community Response to Cover Crop Residue Decomposition. Soil Biol. Biochem. 2018, 127, 39–49. [Google Scholar] [CrossRef]
- Thapa, R.; Tully, K.L.; Hamovit, N.; Yarwood, S.A.; Schomberg, H.H.; Cabrera, M.L.; Reberg-Horton, C.; Mirsky, S.B. Microbial Processes and Community Structure as Influenced by Cover Crop Residue Type and Placement during Repeated Dry-Wet Cycles. Appl. Soil Ecol. 2022, 172, 104349. [Google Scholar] [CrossRef]
- Leite, M.F.A.; Pan, Y.; Bloem, J.; Berge, H.T.; Kuramae, E.E. Organic Nitrogen Rearranges Both Structure and Activity of the Soil-Borne Microbial Seedbank. Sci. Rep. 2017, 7, 1–11. [Google Scholar] [CrossRef]
- Chaves, B.; Redin, M.; Giacomini, S.J.; Schmatz, R.; Léonard, J.; Ferchaud, F.; Recous, S. The Combination of Residue Quality, Residue Placement and Soil Mineral N Content Drives C and N Dynamics by Modifying N Availability to Microbial Decomposers. Soil Biol. Biochem. 2021, 163, 108434. [Google Scholar] [CrossRef]
- Coppens, F.; Garnier, P.; Findeling, A.; Merckx, R.; Recous, S. Decomposition of Mulched versus Incorporated Crop Residues: Modelling with PASTIS Clarifies Interactions between Residue Quality and Location. Soil Biol. Biochem. 2007, 39, 2339–2350. [Google Scholar] [CrossRef]
- Wang, Y.; Li, C.; Tu, C.; Hoyt, G.D.; DeForest, J.L.; Hu, S. Long-Term No-Tillage and Organic Input Management Enhanced the Diversity and Stability of Soil Microbial Community. Sci. Total Environ. 2017, 609, 341–347. [Google Scholar] [CrossRef]
- Coppens, F.; Garnier, P.; De Gryze, S.; Merckx, R.; Recous, S. Soil Moisture, Carbon and Nitrogen Dynamics Following Incorporation and Surface Application of Labelled Crop Residues in Soil Columns. Eur. J. Soil Sci. 2006, 57, 894–905. [Google Scholar] [CrossRef]
- Naresh, R.; Bhaskar, S.; Dhaliwal, S.; Kumar, A.; Gupta, R.; Vivek; Rathore, R.S.; Kumar, V.; Kumar, S.; Tyagi, S.; et al. Soil Carbon and Nitrogen Mineralization Dynamics Following Incorporation and Surface Application of Rice and Wheat Residues in a Semi-Arid Area of North West India: A Review. J. Pharmacogn. Phytochem. 2018, 7, 248–259. [Google Scholar]
- Abiven, S.; Recous, S. Mineralisation of Crop Residues on the Soil Surface or Incorporated in the Soil under Controlled Conditions. Biol. Fertil. Soils 2007, 43, 849–852. [Google Scholar] [CrossRef]
- Su, Y.; Lv, J.L.; Yu, M.; Ma, Z.H.; Xi, H.; Kou, C.L.; He, Z.C.; Shen, A.L. Long-Term Decomposed Straw Return Positively Affects the Soil Microbial Community. J. Appl. Microbiol. 2020, 128, 138–150. [Google Scholar] [CrossRef] [PubMed]
- Wang, W.; Lai, D.Y.F.; Wang, C.; Pan, T.; Zeng, C. Effects of Rice Straw Incorporation on Active Soil Organic Carbon Pools in a Subtropical Paddy Field. Soil Tillage Res. 2015, 152, 8–16. [Google Scholar] [CrossRef]
- Chen, Z.; Wang, H.; Liu, X.; Zhao, X.; Lu, D.; Zhou, J.; Li, C. Changes in Soil Microbial Community and Organic Carbon Fractions under Short-Term Straw Return in a Rice–Wheat Cropping System. Soil Tillage Res. 2017, 165, 121–127. [Google Scholar] [CrossRef]
- Cong, P.; Wang, J.; Li, Y.; Liu, N.; Dong, J.; Pang, H.; Zhang, L.; Gao, Z. Changes in Soil Organic Carbon and Microbial Community under Varying Straw Incorporation Strategies. Soil Tillage Res. 2020, 204, 104735. [Google Scholar] [CrossRef]
- Zhang, X.; Xin, X.; Zhu, A.; Yang, W.; Zhang, J.; Ding, S.; Mu, L.; Shao, L. Linking Macroaggregation to Soil Microbial Community and Organic Carbon Accumulation under Different Tillage and Residue Managements. Soil Tillage Res. 2018, 178, 99–107. [Google Scholar] [CrossRef]
- Zhang, S.; Li, Q.; Lü, Y.; Sun, X.; Jia, S.; Zhang, X.; Liang, W. Conservation Tillage Positively Influences the Microflora and Microfauna in the Black Soil of Northeast China. Soil Tillage Res. 2015, 149, 46–52. [Google Scholar] [CrossRef]
- Crowther, T.W.; Boddy, L.; Hefin Jones, T. Functional and Ecological Consequences of Saprotrophic Fungus-Grazer Interactions. ISME J. 2012, 6, 1992–2001. [Google Scholar] [CrossRef]
- Zhao, S.; Qiu, S.; Xu, X.; Ciampitti, I.A.; Zhang, S.; He, P. Change in Straw Decomposition Rate and Soil Microbial Community Composition after Straw Addition in Different Long-Term Fertilization Soils. Appl. Soil Ecol. 2019, 138, 123–133. [Google Scholar] [CrossRef]
- Marschner, P.; Umar, S.; Baumann, K. The Microbial Community Composition Changes Rapidly in the Early Stages of Decomposition of Wheat Residue. Soil Biol. Biochem. 2011, 43, 445–451. [Google Scholar] [CrossRef]
- Müller, K.; Marhan, S.; Kandeler, E.; Poll, C. Carbon Flow from Litter through Soil Microorganisms: From Incorporation Rates to Mean Residence Times in Bacteria and Fungi. Soil Biol. Biochem. 2017, 115, 187–196. [Google Scholar] [CrossRef]
- Deng, S.; Zheng, X.; Chen, X.; Zheng, S.; He, X.; Ge, T.; Kuzyakov, Y.; Wu, J.; Su, Y.; Hu, Y. Divergent Mineralization of Hydrophilic and Hydrophobic Organic Substrates and Their Priming Effect in Soils Depending on Their Preferential Utilization by Bacteria and Fungi. Biol. Fertil. Soils 2021, 57, 65–76. [Google Scholar] [CrossRef]
- Zhan, Y.; Liu, W.; Bao, Y.; Zhang, J.; Petropoulos, E.; Li, Z.; Lin, X.; Feng, Y. Fertilization Shapes a Well-Organized Community of Bacterial Decomposers for Accelerated Paddy Straw Degradation. Sci. Rep. 2018, 8, 1–10. [Google Scholar] [CrossRef]
- Koranda, M.; Kaiser, C.; Fuchslueger, L.; Kitzler, B.; Sessitsch, A.; Zechmeister-Boltenstern, S.; Richter, A. Fungal and Bacterial Utilization of Organic Substrates Depends on Substrate Complexity and N Availability. FEMS Microbiol. Ecol. 2014, 87, 142–152. [Google Scholar] [CrossRef]
- Lin, Y.; Ye, G.; Kuzyakov, Y.; Liu, D.; Fan, J.; Ding, W. Long-Term Manure Application Increases Soil Organic Matter and Aggregation, and Alters Microbial Community Structure and Keystone Taxa. Soil Biol. Biochem. 2019, 134, 187–196. [Google Scholar] [CrossRef]
- Krauss, M.; Krause, H.M.; Spangler, S.; Kandeler, E.; Behrens, S.; Kappler, A.; Mäder, P.; Gattinger, A. Tillage System Affects Fertilizer-Induced Nitrous Oxide Emissions. Biol. Fertil. Soils 2017, 53, 49–59. [Google Scholar] [CrossRef]
- Liu, H.; Xu, W.; Li, J.; Yu, Z.; Zeng, Q.; Tan, W.; Mi, W. Short-Term Effect of Manure and Straw Application on Bacterial and Fungal Community Compositions and Abundances in an Acidic Paddy Soil. J. Soils Sediments 2021, 21, 3057–3071. [Google Scholar] [CrossRef]
- Sun, R.; Zhang, X.X.; Guo, X.; Wang, D.; Chu, H. Bacterial Diversity in Soils Subjected to Long-Term Chemical Fertilization Can Be More Stably Maintained with the Addition of Livestock Manure than Wheat Straw. Soil Biol. Biochem. 2015, 88, 9–18. [Google Scholar] [CrossRef]
- Li, P.P.; Zhang, S.Q.; Li, F.; Zhang, Y.T.; Han, Y.L. Long Term Combined Fertilization and Soil Aggregate Size on the Denitrification and Community of Denitrifiers. Appl. Soil Ecol. 2020, 156, 103718. [Google Scholar] [CrossRef]
- Zhong, Y.; Liu, J.; Jia, X.; Shangguan, Z.; Wang, R.; Yan, W. Microbial Community Assembly and Metabolic Function during Wheat Straw Decomposition under Different Nitrogen Fertilization Treatments. Biol. Fertil. Soils 2020, 56, 697–710. [Google Scholar] [CrossRef]
- Sun, R.; Guo, X.; Wang, D.; Chu, H. Effects of Long-Term Application of Chemical and Organic Fertilizers on the Abundance of Microbial Communities Involved in the Nitrogen Cycle. Appl. Soil Ecol. 2015, 95, 171–178. [Google Scholar] [CrossRef]
- Chen, Z.; Hou, H.; Zheng, Y.; Qin, H.; Zhu, Y.; Wu, J.; Wei, W. Influence of Fertilisation Regimes on a NosZ-Containing Denitrifying Community in a Rice Paddy Soil. J. Sci. Food Agric. 2012, 92, 1064–1072. [Google Scholar] [CrossRef] [PubMed]
- Wrage, N.; Velthof, G.L.; Van Beusichem, M.L.; Oenema, O. Role of Nitrifier Denitrification in the Production of Nitrous Oxide. Soil Biol. Biochem. 2001, 33, 1723–1732. [Google Scholar] [CrossRef]
- Liu, R.; Hayden, H.L.; Suter, H.; Hu, H.; Lam, S.K.; He, J.; Mele, P.M.; Chen, D. The Effect of Temperature and Moisture on the Source of N2O and Contributions from Ammonia Oxidizers in an Agricultural Soil. Biol. Fertil. Soils 2017, 53, 141–152. [Google Scholar] [CrossRef]
- Jones, C.M.; Graf, D.R.H.; Bru, D.; Philippot, L.; Hallin, S. The Unaccounted yet Abundant Nitrous Oxide-Reducing Microbial Community: A Potential Nitrous Oxide Sink. ISME J. 2013, 7, 417–426. [Google Scholar] [CrossRef]
- Xu, X.; Liu, Y.; Singh, B.P.; Yang, Q.; Zhang, Q.; Wang, H.; Xia, Z.; Di, H.; Singh, B.K.; Xu, J.; et al. NosZ Clade II Rather than Clade I Determine in Situ N2O Emissions with Different Fertilizer Types under Simulated Climate Change and Its Legacy. Soil Biol. Biochem. 2020, 150, 107974. [Google Scholar] [CrossRef]
- Domeignoz-Horta, L.A.; Philippot, L.; Peyrard, C.; Bru, D.; Breuil, M.C.; Bizouard, F.; Justes, E.; Mary, B.; Léonard, J.; Spor, A. Peaks of in Situ N2O Emissions Are Influenced by N2O-Producing and Reducing Microbial Communities across Arable Soils. Glob. Chang. Biol. 2018, 24, 360–370. [Google Scholar] [CrossRef]
- Wang, J.; Zou, J. No-till Increases Soil Denitrification via Its Positive Effects on the Activity and Abundance of the Denitrifying Community. Soil Biol. Biochem. 2020, 142, 107706. [Google Scholar] [CrossRef]
- Tatti, E.; Goyer, C.; Zebarth, B.J.; Wertz, S.; Burton, D.L.; Chantigny, M.; Filion, M.; Zeng, J. Over-Winter Dynamics of Soil Bacterial Denitrifiers and Nitrite Ammonifiers Influenced by Crop Residues with Different Carbon to Nitrogen Ratios. Appl. Soil Ecol. 2017, 110, 53–64. [Google Scholar] [CrossRef]
- Huang, R.; Wang, Y.; Liu, J.; Li, J.; Xu, G.; Luo, M.; Xu, C.; Ci, E.; Gao, M. Variation in N2O Emission and N2O Related Microbial Functional Genes in Straw- and Biochar-Amended and Non-Amended Soils. Appl. Soil Ecol. 2019, 137, 57–68. [Google Scholar] [CrossRef]
- WRB. World Reference Base for Soil Resource 2014: International Soil Classification System for Naming Soils and Creating Legends for Soil Maps; Food and Agriculture Organization of the United Nations: Rome, Italy, 2015; p. 192. [Google Scholar]
- Ochsenreiter, T.; Selezi, D.; Quaiser, A.; Bonch-Osmolovskaya, L.; Schleper, C. Diversity and Abundance of Crenarchaeota in Terrestrial Habitats Studied by 16S RNA Surveys and Real Time PCR. Environ. Microbiol. 2003, 5, 787–797. [Google Scholar] [CrossRef]
- Muyzer, G.; De Waal, E.C.; Uitterlinden, A.G. Profiling of Complex Microbial Populations by Denaturing Gradient Gel Electrophoresis Analysis of Polymerase Chain Reaction-Amplified Genes Coding for 16S rRNA. Appl. Environ. Microbiol. 1993, 59, 695–700. [Google Scholar] [CrossRef] [PubMed]
- White, T.J.; Bruns, S.; Lee, S.; Taylor, J. Amplification and Direct Sequencing of Fungal Ribosomal RNA Genes for Phylogenetics. PCR Protocols A Guide to Methods Application; Academic Press, Inc.: Cambridge, MA, USA, 1990; pp. 315–322. [Google Scholar]
- Leininger, S.; Urich, T.; Schloter, M.; Schwark, L.; Qi, J.; Nicol, G.W.; Prosser, J.I.; Schuster, S.C.; Schleper, C. Archaea Predominate among Ammonia-Oxidizing Prokaryotes in Soils. Nature 2006, 442, 806–809. [Google Scholar] [CrossRef]
- Tourna, M.; Freitag, T.E.; Nicol, G.W.; Prosser, J.I. Growth, Activity and Temperature Responses of Ammonia-Oxidizing Archaea and Bacteria in Soil Microcosms. Environ. Microbiol. 2008, 10, 1357–1364. [Google Scholar] [CrossRef]
- Henry, S.; Baudoin, E.; Ló Pez-Gutiérrez, J.C.; Martin-Laurent, F.; Brauman, A.; Philippot, L. Quantification of Denitrifying Bacteria in Soils by NirK Gene Targeted Real-Time PCR. J. Microbiol. Methods 2004, 59, 327–335. [Google Scholar] [CrossRef]
- Kandeler, E.; Deiglmayr, K.; Tscherko, D.; Bru, D.; Philippot, L. Abundance of NarG, NirS, NirK, and NosZ Genes of Denitrifying Bacteria during Primary Successions of a Glacier Foreland. Appl. Environ. Microbiol. 2006, 72, 5957–5962. [Google Scholar] [CrossRef]
- Henry, S.; Bru, D.; Stres, B.; Hallet, S.; Philippot, L. Quantitative Detection of the NosZ Gene, Encoding Nitrous Oxide Reductase, and Comparison of the Abundances of 16S rRNA, NarG, NirK, and NosZ Genes in Soils. Appl. Environ. Microbiol. 2006, 72, 5181–5189. [Google Scholar] [CrossRef]
- R Core Team. R: A Language and Environment for Statistical Computing; R Foundation for Statistical Computing: Vienna, Austria, 2022; Available online: https://www.R-project.org/ (accessed on 1 April 2022).
- Dalling, J.W.; Winter, K.; Andersen, K.M.; Turner, B.L. Artefacts of the Pot Environment on Soil Nutrient Availability: Implications for the Interpretation of Ecological Studies. Plant Ecol. 2013, 214, 329–338. [Google Scholar] [CrossRef]
- Qiu, Q.; Wu, L.; Li, B. Crop Residue-Derived Dissolved Organic Matter Accelerates the Decomposition of Native Soil Organic Carbon in a Temperate Agricultural Ecosystem. Shengtai Xuebao/ Acta Ecol. Sin. 2019, 39, 69–76. [Google Scholar] [CrossRef]
- Li, L.J.; Zhu-Barker, X.; Ye, R.; Doane, T.A.; Horwath, W.R. Soil Microbial Biomass Size and Soil Carbon Influence the Priming Effect from Carbon Inputs Depending on Nitrogen Availability. Soil Biol. Biochem. 2018, 119, 41–49. [Google Scholar] [CrossRef]
- Mitchell, E.; Scheer, C.; Rowlings, D.W.; Conant, R.T.; Cotrufo, M.F.; van Delden, L.; Grace, P.R. The Influence of Above-Ground Residue Input and Incorporation on GHG Fluxes and Stable SOM Formation in a Sandy Soil. Soil Biol. Biochem. 2016, 101, 104–113. [Google Scholar] [CrossRef]
- Six, J.; Elliott, E.T.; Paustian, K. Soil Macroaggregate Turnover and Microaggregate Formation: A Mechanism for C Sequestration under No-Tillage Agriculture. Soil Biol. Biochem. 2000, 32, 2099–2103. [Google Scholar] [CrossRef]
- Kuzyakov, Y.; Bol, R. Sources and Mechanisms of Priming Effect Induced in Two Grassland Soils Amended with Slurry and Sugar. Soil Biol. Biochem. 2006, 38, 747–758. [Google Scholar] [CrossRef]
- Chen, R.; Senbayram, M.; Blagodatsky, S.; Myachina, O.; Dittert, K.; Lin, X.; Blagodatskaya, E.; Kuzyakov, Y. Soil C and N Availability Determine the Priming Effect: Microbial N Mining and Stoichiometric Decomposition Theories. Glob. Chang. Biol. 2014, 20, 2356–2367. [Google Scholar] [CrossRef]
- Liang, Z.; Cao, B.; Jiao, Y.; Liu, C.; Li, X.; Meng, X.; Shi, J.; Tian, X. Effect of the Combined Addition of Mineral Nitrogen and Crop Residue on Soil Respiration, Organic Carbon Sequestration, and Exogenous Nitrogen in Stable Organic Matter. Appl. Soil Ecol. 2022, 171, 104324. [Google Scholar] [CrossRef]
- Potthoff, M.; Dyckmans, J.; Flessa, H.; Muhs, A.; Beese, F.; Joergensen, R.G. Dynamics of Maize (Zea mays L.) Leaf Straw Mineralization as Affected by the Presence of Soil and the Availability of Nitrogen. Soil Biol. Biochem. 2005, 37, 1259–1266. [Google Scholar] [CrossRef]
- Fierer, N.; Bradford, M.A.; Jackson, R.B. Toward an Ecological Classification of Soil Bacteria. Ecology 2007, 88, 1354–1364. [Google Scholar] [CrossRef]
- Liu, J.; Zhong, Y.; Jia, X.; Yan, W.; Cao, J.; Shangguan, Z. Wheat Straw Decomposition Patterns and Control Factors Under Nitrogen Fertilization. J. Soil Sci. Plant Nutr. 2021, 21, 3110–3121. [Google Scholar] [CrossRef]
- Jesmin, T.; Mitchell, D.T.; Mulvaney, R.L. Short-Term Effect of Nitrogen Fertilization on Carbon Mineralization during Corn Residue Decomposition in Soil. Nitrogen 2021, 2, 444–460. [Google Scholar] [CrossRef]
- Giacomini, S.J.; Recous, S.; Mary, B.; Aita, C. Simulating the Effects of N Availability, Straw Particle Size and Location in Soil on C and N Mineralization. Plant Soil 2007, 301, 289–301. [Google Scholar] [CrossRef]
- Datta, A.; Jat, H.S.; Yadav, A.K.; Choudhary, M.; Sharma, P.C.; Rai, M.; Singh, L.K.; Majumder, S.P.; Choudhary, V.; Jat, M.L. Carbon Mineralization in Soil as Influenced by Crop Residue Type and Placement in an Alfisols of Northwest India. Carbon Manag. 2019, 10, 37–50. [Google Scholar] [CrossRef] [PubMed]
- Henriksen, T.M.; Breland, T.A. Carbon Mineralization, Fungal and Bacterial Growth, and Enzyme Activities as Affected by Contact between Crop Residues and Soil. Biol. Fertil. Soils 2002, 35, 41–48. [Google Scholar] [CrossRef]
- Nicolardot, B.; Bouziri, L.; Bastian, F.; Ranjard, L. A Microcosm Experiment to Evaluate the Influence of Location and Quality of Plant Residues on Residue Decomposition and Genetic Structure of Soil Microbial Communities. Soil Biol. Biochem. 2007, 39, 1631–1644. [Google Scholar] [CrossRef]
- Singh, G.; Dhakal, M.; Yang, L.; Kaur, G.; Williard, K.W.J.; Schoonover, J.E.; Sadeghpour, A. Decomposition and Nitrogen Release of Cover Crops in Reduced- and No-Tillage Systems. Agron. J. 2020, 112, 3605–3618. [Google Scholar] [CrossRef]
- Zibilske, L.M.; Bradford, J.M. Oxygen Effects on Carbon, Polyphenols, and Nitrogen Mineralization Potential in Soil. Soil Sci. Soc. Am. J. 2007, 71, 133–139. [Google Scholar] [CrossRef]
- Degrune, F.; Theodorakopoulos, N.; Colinet, G.; Hiel, M.P.; Bodson, B.; Taminiau, B.; Daube, G.; Vandenbol, M.; Hartmann, M. Temporal Dynamics of Soil Microbial Communities below the Seedbed under Two Contrasting Tillage Regimes. Front. Microbiol. 2017, 8, 1127. [Google Scholar] [CrossRef]
- Murphy, R.P.; Montes-Molina, J.A.; Govaerts, B.; Six, J.; van Kessel, C.; Fonte, S.J. Crop Residue Retention Enhances Soil Properties and Nitrogen Cycling in Smallholder Maize Systems of Chiapas, Mexico. Appl. Soil Ecol. 2016, 103, 110–116. [Google Scholar] [CrossRef]
- Chen, L.; Zhang, J.; Zhao, B.; Yan, P.; Zhou, G.; Xin, X. Effects of Straw Amendment and Moisture on Microbial Communities in Chinese Fluvo-Aquic Soil. J. Soils Sediments 2014, 14, 1829–1840. [Google Scholar] [CrossRef]
- Poll, C.; Marhan, S.; Ingwersen, J.; Kandeler, E. Dynamics of Litter Carbon Turnover and Microbial Abundance in a Rye Detritusphere. Soil Biol. Biochem. 2008, 40, 1306–1321. [Google Scholar] [CrossRef]
- Miller, M.N.; Zebarth, B.J.; Dandie, C.E.; Burton, D.L.; Goyer, C.; Trevors, J.T. Crop Residue Influence on Denitrification, N2O Emissions and Denitrifier Community Abundance in Soil. Soil Biol. Biochem. 2008, 40, 2553–2562. [Google Scholar] [CrossRef]
- Wessén, E.; Hallin, S.; Philippot, L. Differential Responses of Bacterial and Archaeal Groups at High Taxonomical Ranks to Soil Management. Soil Biol. Biochem. 2010, 42, 1759–1765. [Google Scholar] [CrossRef]
- Li, C.; Yan, K.; Tang, L.; Jia, Z.; Li, Y. Change in Deep Soil Microbial Communities Due to Long-Term Fertilization. Soil Biol. Biochem. 2014, 75, 264–272. [Google Scholar] [CrossRef]
- Zhou, J.; Guan, D.; Zhou, B.; Zhao, B.; Ma, M.; Qin, J.; Jiang, X.; Chen, S.; Cao, F.; Shen, D.; et al. Influence of 34-Years of Fertilization on Bacterial Communities in an Intensively Cultivated Black Soil in Northeast China. Soil Biol. Biochem. 2015, 90, 42–51. [Google Scholar] [CrossRef]
- Wang, Y.; Zhu, G.; Song, L.; Wang, S.; Yin, C. Manure Fertilization Alters the Population of Ammonia-Oxidizing Bacteria Rather than Ammonia-Oxidizing Archaea in a Paddy Soil. J. Basic Microbiol. 2014, 54, 190–197. [Google Scholar] [CrossRef]
- Wessén, E.; Nyberg, K.; Jansson, J.K.; Hallin, S. Responses of Bacterial and Archaeal Ammonia Oxidizers to Soil Organic and Fertilizer Amendments under Long-Term Management. Appl. Soil Ecol. 2010, 45, 193–200. [Google Scholar] [CrossRef]
- Chen, Z.; Luo, X.; Hu, R.; Wu, M.; Wu, J.; Wei, W. Impact of Long-Term Fertilization on the Composition of Denitrifier Communities Based on Nitrite Reductase Analyses in a Paddy Soil. Microb. Ecol. 2010, 60, 850–861. [Google Scholar] [CrossRef]
- Prosser, J.I.; Nicol, G.W. Relative Contributions of Archaea and Bacteria to Aerobic Ammonia Oxidation in the Environment. Environ. Microbiol. 2008, 10, 2931–2941. [Google Scholar] [CrossRef]
- Juhanson, J.; Hallin, S.; Söderström, M.; Stenberg, M.; Jones, C.M. Spatial and Phyloecological Analyses of NosZ Genes Underscore Niche Differentiation amongst Terrestrial N2O Reducing Communities. Soil Biol. Biochem. 2017, 115, 82–91. [Google Scholar] [CrossRef]
- Hallin, S.; Philippot, L.; Löffler, F.E.; Sanford, R.A.; Jones, C.M. Genomics and Ecology of Novel N2O-Reducing Microorganisms. Trends Microbiol. 2018, 26, 43–55. [Google Scholar] [CrossRef] [PubMed]
- Segal, L.M.; Miller, D.N.; McGhee, R.P.; Loecke, T.D.; Cook, K.L.; Shapiro, C.A.; Drijber, R.A. Bacterial and Archaeal Ammonia Oxidizers Respond Differently to Long-Term Tillage and Fertilizer Management at a Continuous Maize Site. Soil Tillage Res. 2017, 168, 110–117. [Google Scholar] [CrossRef]
- Kim, N.; Riggins, C.W.; Rodríguez-Zas, S.; Zabaloy, M.C.; Villamil, M.B. Long-Term Residue Removal under Tillage Decreases AmoA-Nitrifiers and Stimulates NirS-Denitrifier Groups in the Soil. Appl. Soil Ecol. 2021, 157, 103730. [Google Scholar] [CrossRef]
- Szukics, U.; Abell, G.C.J.; Hödl, V.; Mitter, B.; Sessitsch, A.; Hackl, E.; Zechmeister-Boltenstern, S. Nitrifiers and Denitrifiers Respond Rapidly to Changed Moisture and Increasing Temperature in a Pristine Forest Soil. FEMS Microbiol. Ecol. 2010, 72, 395–406. [Google Scholar] [CrossRef]
- Bowen, H.; Maul, J.E.; Poffenbarger, H.; Mirsky, S.; Cavigelli, M.; Yarwood, S. Spatial Patterns of Microbial Denitrification Genes Change in Response to Poultry Litter Placement and Cover Crop Species in an Agricultural Soil. Biol. Fertil. Soils 2018, 54, 769–781. [Google Scholar] [CrossRef]
- Bárta, J.; Melichová, T.; Vaněk, D.; Picek, T.; Šantrůčková, H. Effect of pH and Dissolved Organic Matter on the Abundance of NirK and NirS Denitrifiers in Spruce Forest Soil. Biogeochemistry 2010, 101, 123–132. [Google Scholar] [CrossRef]
- Verhamme, D.T.; Prosser, J.I.; Nicol, G.W. Ammonia Concentration Determines Differential Growth of Ammonia-Oxidising Archaea and Bacteria in Soil Microcosms. ISME J. 2011, 5, 1067–1071. [Google Scholar] [CrossRef]
- Rütting, T.; Schleusner, P.; Hink, L.; Prosser, J.I. The Contribution of Ammonia-Oxidizing Archaea and Bacteria to Gross Nitrification under Different Substrate Availability. Soil Biol. Biochem. 2021, 160, 108353. [Google Scholar] [CrossRef]
- Tao, R.; Wakelin, S.A.; Liang, Y.; Chu, G. Response of Ammonia-Oxidizing Archaea and Bacteria in Calcareous Soil to Mineral and Organic Fertilizer Application and Their Relative Contribution to Nitrification. Soil Biol. Biochem. 2017, 114, 20–30. [Google Scholar] [CrossRef]
- Fan, F.; Yang, Q.; Li, Z.; Wei, D.; Cui, X.; Liang, Y. Impacts of Organic and Inorganic Fertilizers on Nitrification in a Cold Climate Soil Are Linked to the Bacterial Ammonia Oxidizer Community. Microb. Ecol. 2011, 62, 982–990. [Google Scholar] [CrossRef]
- Yin, C.; Fan, F.; Song, A.; Li, Z.; Yu, W.; Liang, Y. Different Denitrification Potential of Aquic Brown Soil in Northeast China under Inorganic and Organic Fertilization Accompanied by Distinct Changes of NirS- and NirK-Denitrifying Bacterial Community. Eur. J. Soil Biol. 2014, 65, 47–56. [Google Scholar] [CrossRef]
- Lin, Y.; Ye, G.; Luo, J.; Di, H.J.; Lindsey, S.; Fan, J.; Liu, D.; Ding, W. Long-Term Organic Fertilization Regulates the Abundance of Major Nitrogen-Cycling-Related Genes in Aggregates from an Acidic Ultisol. Appl. Soil Ecol. 2021, 165, 104014. [Google Scholar] [CrossRef]
- Truu, M.; Nõlvak, H.; Ostonen, I.; Oopkaup, K.; Maddison, M.; Ligi, T.; Espenberg, M.; Uri, V.; Mander, Ü.; Truu, J. Soil Bacterial and Archaeal Communities and Their Potential to Perform N-Cycling Processes in Soils of Boreal Forests Growing on Well-Drained Peat. Front. Microbiol. 2020, 11, 1–22. [Google Scholar] [CrossRef] [PubMed]
- Hu, J.; Jin, V.L.; Konkel, J.Y.M.; Schaeffer, S.M.; Schneider, L.G.; Debruyn, J.M. Soil Health Management Enhances Microbial Nitrogen Cycling Capacity and Activity. Msph. 6 2021, 6, e01237-20. [Google Scholar] [CrossRef]





| Chemical Properties | Soil | Wheat Straw |
|---|---|---|
| pH | 6.7 | |
| Ctotal (%) | 1.7 | |
| Carbonates (%) | 1.2 | |
| Organic matter (%) | 2.7 | |
| Corg (%) | 1.6 | 45.1 |
| N (%) | 0.16 | 0.23 |
| C/N | 9.7 | 196.1 |
| P2O5 (mg/100 g soil) | <0.5 | |
| K2O (mg/100 g soil) | 5.2 |
Publisher’s Note: MDPI stays neutral with regard to jurisdictional claims in published maps and institutional affiliations. |
© 2022 by the authors. Licensee MDPI, Basel, Switzerland. This article is an open access article distributed under the terms and conditions of the Creative Commons Attribution (CC BY) license (https://creativecommons.org/licenses/by/4.0/).
Share and Cite
Pintarič, S.; Suhadolc, M.; Eler, K. Straw Management and Slurry Application Affect the Soil Microbial Community Composition and Its Activity. Agronomy 2022, 12, 2781. https://doi.org/10.3390/agronomy12112781
Pintarič S, Suhadolc M, Eler K. Straw Management and Slurry Application Affect the Soil Microbial Community Composition and Its Activity. Agronomy. 2022; 12(11):2781. https://doi.org/10.3390/agronomy12112781
Chicago/Turabian StylePintarič, Sara, Marjetka Suhadolc, and Klemen Eler. 2022. "Straw Management and Slurry Application Affect the Soil Microbial Community Composition and Its Activity" Agronomy 12, no. 11: 2781. https://doi.org/10.3390/agronomy12112781
APA StylePintarič, S., Suhadolc, M., & Eler, K. (2022). Straw Management and Slurry Application Affect the Soil Microbial Community Composition and Its Activity. Agronomy, 12(11), 2781. https://doi.org/10.3390/agronomy12112781

