Effects of Different Soil Moisture-Holding Strategies on Growth Characteristics, Yield and Quality of Winter-Seeded Spring Wheat
Abstract
1. Introduction
2. Materials and Methods
2.1. Experimental Site
2.2. Experimental Design
2.3. Emergence Rate Measurement and Growth Process Recording
2.4. Soil Moisture Measurements
2.5. Grain Yield and Quality Measurements
2.6. Statistical Analyses
3. Results
3.1. Emergence Rate and Soil Water Retention Rate
3.2. Growth Stage
3.3. Yield and Yield Components
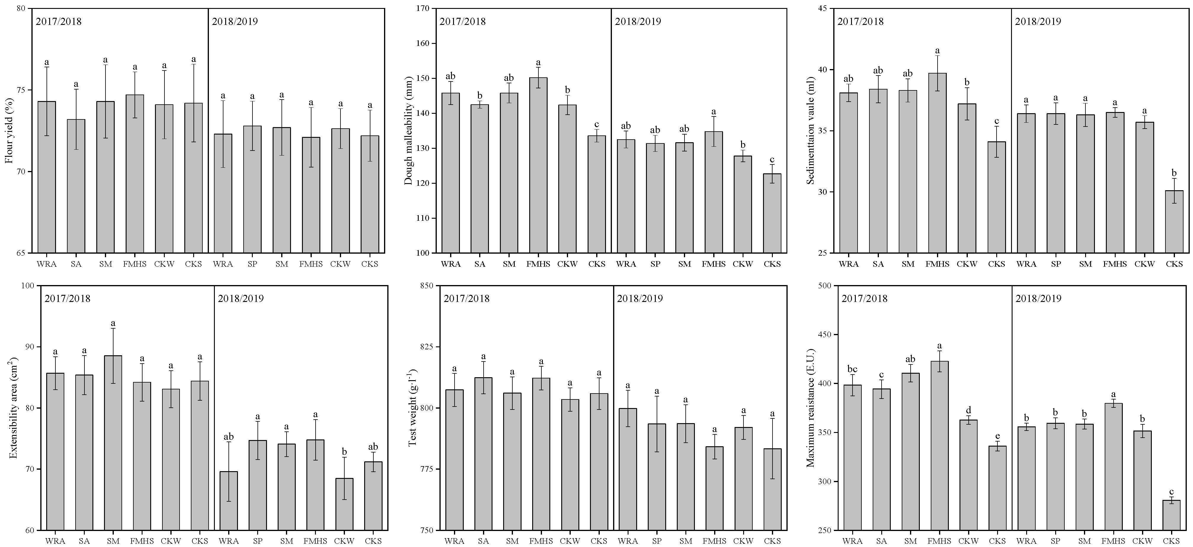
3.4. Grain Quality
3.5. Water Use Efficiency
4. Discussion
5. Conclusions
Author Contributions
Funding
Acknowledgments
Conflicts of Interest
References
- Wu, Q.; Zhang, Y.P.; Xie, M.; Gao, F.Y.; Zhao, Z.W. Effects of fertilization on wheat yield and processing quality under water-saving irrigation mode. J. Northwest A&F Univ. (Nat. Sci. Ed.) 2021, 49, 9–17. [Google Scholar]
- Zhang, J.C.; Zhang, H.J.; Wei, Z.G.; Zhang, H.X.; Zhang, J.Y.; Zhang, P.Z. A Preliminary report on introduction experiment of winter wheat. Inner Mongolia Agric. Sci. Technol. 2010, 1, 41–42. [Google Scholar]
- Dong, Y.X.; Wei, B.Q.; Wu, Q.; Zhang, Y.P. Cropping effect and variety adaptability of winter-seeded spring wheat in Inner Mongolia Plain irrigation area. Acta Agron. Sin. 2021, 47, 481–493. [Google Scholar] [CrossRef]
- Ma, J.H.; Du, S.Y.; Wang, L.; Ma, Z.Q.; Wang, Z.R.; Yang, J.G.; Yang, G.L.; Liu, X.Q.; Lu, C.C.; Wu, J.L.; et al. Research and demonstration of winter wheat planting in northern region in Yellow River Irrigation Area. J. Agric. For. Sci. Technol. 2003, 4, 27–29. [Google Scholar]
- Zou, L.K.; Zhang, J.P.; Jiang, Q.Z.; Wang, G.Y.; Zhao, H.M. Research progress of winter wheat planting in northern region. Chin. J. Agrometeorol. 2001, 2, 54–58. [Google Scholar]
- Yuan, H.M.; Chen, D.S.; Wang, X.L.; Zhao, G.Z.; Zhang, F.G.; Yuan, H.Y.; Zhang, W.J.; Kang, L.; Lai, C.K.; Bai, B. Innovation and Development on Winter Production Area Expanding Northward and Farming System Reforming in YRNB. J. Triticeae Crop. 2011, 31, 382–387. [Google Scholar]
- Zou, L.C.; Lan, L.; Li, X.J.; Feng, L.X. Study on the DSS for “Northing of Winter Wheat” in HeBei Province. J. Anhui Agric. Sci. 2012, 40, 6305–6308. [Google Scholar]
- Li, Y.L.; Jia, H.Y.; Lin, L. Study on Sowing Technology of Spring Ophiopogon in Heilongjiang Province. Mod. Agric. 2015, 2, 6–7. [Google Scholar]
- Farouk, S.; Al-Huqail, A.A. Sustainable Biochar and/or Melatonin Improve Salinity Tolerance in Borage Plants by Modulating Osmotic Adjustment, Antioxidants, and Ion Homeostasis. Plants 2022, 11, 765. [Google Scholar] [CrossRef]
- Farouk, S.; Al-Amri, S.M. Ameliorative roles of melatonin and/or zeolite on chromium-induced leaf senescence in marjoram plants by activating antioxidant defense, osmolyte accumulation, and ultrastructural modification. Indul. Crop. Prod. 2019, 142, 111823. [Google Scholar] [CrossRef]
- Zhao, L.L.; Li, L.S.; Cai, H.J.; Fan, J.L.; Henry, W.C.; Robert, W.M.; Zhang, C. Organic Amendments Improve Wheat Root Growth and Yield through Regulating Soil Properties. Agron. J. 2019, 111, 482–495. [Google Scholar] [CrossRef]
- Wu, Y.; Li, F.; Zheng, H.; Hong, M.; Hu, Y.; Zhao, B.; De, H. Effects of three types of soil amendments on yield and soil nitrogen balance of maize-wheat rotation system in the Hetao Irrigation Area, China. J. Arid. Land 2019, 11, 904–915. [Google Scholar] [CrossRef]
- Najme, Y.; Majid, M.; Artemi, G. The impact of organic amendments on soil hydrology, structure and microbial respiration in semiarid lands. Geoderma 2016, 266, 58–65. [Google Scholar]
- Bu, L.D.; Liu, J.L.; Zhu, L.; Luo, S.S.; Chen, X.P.; Li, S.Q.; Robert, L.H.; Zhao, Y. The effects of mulching on maize growth, yield and water use in a semi-arid region. Agric. Water Manag. 2013, 123, 71–78. [Google Scholar] [CrossRef]
- Lu, H.D.; Xia, Z.Q.; Fu, Y.F.; Wang, Q.; Xue, J.Q.; Chu, J. Response of Soil Temperature, Moisture, and Spring Maize (Zea mays L.) Root/Shoot Growth to Different Mulching Materials in Semi-Arid Areas of Northwest China. Agronomy 2020, 10, 453. [Google Scholar] [CrossRef]
- Li, Q.Q.; Chen, Y.H.; Liu, M.Y.; Zhou, X.B.; Yu, S.L.; Dong, B.D. Effects of Irrigation and Straw Mulching on Microclimate Characteristics and Water Use Efficiency of Winter Wheat in North China. Plant Prod. Sci. 2008, 11, 161–170. [Google Scholar] [CrossRef]
- Jia, H.C.; Zhang, Y.; Tian, S.Y.; Reza, M.E.; Yang, X.Y.; Yan, H.R.; Wu, T.T.; Lu, W.C.; Kadambot, H.M.S.; Han, T.F. Reserving winter snow for the relief of spring drought by film mulching in northeast China. Field Crop. Res. 2017, 209, 58–64. [Google Scholar] [CrossRef]
- Du, B.; Deng, J.; Li, W.Y.; Liao, Z.X. Field Experiments for Comparison of Winter Wheat Conservation Tillage and Conventional Tillage. J. China Agric. Univ. 2000, 5, 55–58. [Google Scholar]
- Huang, F.Y.; Liu, Z.H.; Mou, H.Y.; Zhang, P.; Jia, Z.K. Effect of different long-term farmland mulching and practices on the loessial soil fungal community in a semiarid region of China. Appl. Soil Ecol. 2019, 137, 111–119. [Google Scholar] [CrossRef]
- Li, F.M.; Wang, J.; Xu, J.Z.; Xu, H.L. Productivity and soil response to plastic film mulching durations for spring wheat on entisols in the semiarid Loess Plateau of China. Soil Till. Res. 2004, 78, 9–20. [Google Scholar] [CrossRef]
- Su, W.P.; Wang, H.; Ai ML, G.L.; Zhao, X.L.; Xue, L.H.; Zhang, J.X.; Liu, J.; Liu, S.R. Comparison of Growth Characteristics and Yields of Different Wheat Varieties Planted in the Approaching Winter in Northern Xinjiang. Crops 2021, 6, 108–114. [Google Scholar]
- Dong, Y.X.; Wei, B.Q.; Wang, L.X.; Zhang, Y.H.; Zhang, H.Y.; Zhang, Y.P. Performance of winter–seeded spring wheat in Inner Mongolia. Agronomy 2019, 9, 507. [Google Scholar] [CrossRef]
- Xie, Z.K.; Wang, Y.J.; Li, F.M. Effect of plastic mulching on soil water use and spring wheat yield in arid region of Northwest China. Agric. Water Manag. 2005, 75, 71–83. [Google Scholar] [CrossRef]
- Zhao, H.; Yang, Z.S.; Yan, S.H.; Wang, J.J.; Liang, W.K. Effect of Eight Traits on Wheat Yield under Different Planting Patterns. J. Triticeae Crop. 2001, 1, 60–64. [Google Scholar]
- Wang, T.; Li, L.; Wang, X.D.; Xue, L.H.; Zhang, X.J.; Sun, W.P.; Wang, H. Effect of snowing date on growth characteristic and yield and quality of spring wheat varieties sowing in winter. J. China Agric. Univ. 2021, 26, 28–40. [Google Scholar]
- Zhao, M.; Li, J.G.; Zhang, B.; Dong, Z.Q.; Wang, M.Y. The Compensatory Mechanism in Exploring Crop Production Potential. Acta Agron. Sin. 2006, 10, 1566–1573. [Google Scholar]
- Wu, X.Y.; Lu, J.; Zhang, X.Z.; Huang, T.R.; Li, J.J.; Zhou, A.D.; Liang, X.D.; Cao, J.M.; Gao, Y.H.; Zeng, C.W. Study on Ecological Division for Wheat Quality in Xinjiang. Xinjiang Agric. Sci. 2017, 54, 1373–1383. [Google Scholar]
- Xue, L.H.; Wang, T.; Li, L.; Zhou, F.Z.; Wang, H.; Su, W.P.; Zhang, J.X. Study on the growth regularity of high yield and dry matter accumulation of the extremely late winter snow wheat in Northern Xinjiang. Agric. Res. Arid. Areas 2019, 37, 153–159+165. [Google Scholar]
- Tan, D.H.; Fan, Y.L.; Liu, J.M.; Zhao, J.T.; Ma, Y.Z.; Li, Q.Q. Winter Wheat Grain Yield and Quality Response to Straw Mulching and Planting Pattern. Agric. Res. 2019, 8, 548–552. [Google Scholar] [CrossRef]
- Wang, B.; Zhang, J.L.; Xu, X.X.; Zhang, Y.H.; Wang, Y.Q.; Zhao, J.; Wang, Z.M. Characteristics of biomass production and water use in different winter wheat cultivars under extremely late sown and water-saving cultivation. J. China Agric. Univ. 2017, 22, 1–11. [Google Scholar]
- Liu, W.; Tian, D.L.; Hou, C.L.; Xu, B.; Ren, J.; Zhang, H.J. The Dynamics of Soil Moisture and Temperature under Film-mulched Drip Irrigation and Its Impact on Yield and Quality of Spring Wheat. J. Irrig. Drain 2020, 39, 29–37. [Google Scholar]





| Parameter | 2017/2018 | 2018/2019 |
|---|---|---|
| pH | 7.84 | 7.81 |
| Organic matter (g·kg−1) | 22.86 | 22.79 |
| Available N (mg·kg−1) | 48.57 | 48.13 |
| Available P (mg·kg−1) | 22.94 | 22.84 |
| Available K (mg·kg−1) | 121.39 | 122.01 |
| Year | Treatment | Soil Water Storage Capacity (mm) | Soil Water Retention Rate (%) | Emergence Rate (%) | |
|---|---|---|---|---|---|
| Winter Sowing Stage | Spring Sowing Stage | ||||
| 2017/2018 | WRA | 263 | 227 | 86.34 ± 0.75 (c) | 63.9 ± 0.44 (c) |
| SA | 266 | 212 | 79.82 ± 0.86 (d) | 60.5 ± 0.79 (d) | |
| SM | 275 | 246 | 89.40 ± 0.70 (b) | 62.5 ± 1.56 (c) | |
| FMHS | 274 | 256 | 93.31 ± 0.79 (a) | 68.3 ± 0.62 (b) | |
| CKW | 277 | 219 | 78.98 ± 1.45 (d) | 58.5 ± 0.87 (e) | |
| CKS | 272 | 214 | 78.69 ± 1.31 (d) | 87.1 ± 0.44 (a) | |
| 2018/2019 | WRA | 312 | 267 | 85.60 ± 2.55 (c) | 64.2 ± 0.44 (d) |
| SP | 318 | 269 | 83.16 ± 2.35 (c) | 61.3 ± 0.70 (e) | |
| SM | 317 | 281 | 88.74 ± 0.43 (b) | 67.2 ± 0.66 (c) | |
| FMHS | 314 | 290 | 92.38 ± 0.37 (a) | 70.6 ± 1.23 (b) | |
| CKW | 309 | 240 | 77.67 ± 0.43 (d) | 58.8 ± 0.31 (f) | |
| CKS | 325 | 255 | 78.84 ± 1.06 (d) | 86.8 ± 0.53 (a) | |
| R | 0.889 ** | ||||
| Years | Treatment | Growth Stages (Days after Sowing) | Days from Seedling to Harvest | ||||||
|---|---|---|---|---|---|---|---|---|---|
| Emergence Stage | Tillering Stage | Jointing Stage | Heading Stage | Flowering Stage | Filling Stage | Mature Period | |||
| 2017/2018 | WRA | 148 | 166 | 181 | 197 | 204 | 216 | 237 | 89 |
| SA | 149 | 165 | 179 | 195 | 202 | 215 | 236 | 87 | |
| SM | 149 | 165 | 179 | 195 | 202 | 214 | 236 | 87 | |
| FMHS | 143 | 159 | 174 | 190 | 197 | 211 | 231 | 88 | |
| CKW | 150 | 167 | 181 | 197 | 204 | 216 | 237 | 87 | |
| CKS | 31 | 47 | 62 | 80 | 87 | 98 | 120 | 89 | |
| 2018/2019 | WRA | 143 | 161 | 178 | 191 | 198 | 212 | 231 | 88 |
| SP | 143 | 160 | 177 | 194 | 197 | 211 | 230 | 87 | |
| SM | 144 | 161 | 178 | 191 | 198 | 212 | 231 | 87 | |
| FMHS | 137 | 154 | 169 | 181 | 189 | 202 | 226 | 88 | |
| CKW | 145 | 164 | 180 | 193 | 199 | 213 | 233 | 88 | |
| CKS | 35 | 53 | 69 | 83 | 89 | 103 | 124 | 89 | |
| Year | Treatment | Spikes (104·ha−1) | Grains per Spike | 1000-Grain Weight (g) | Yield (kg·ha−1) |
|---|---|---|---|---|---|
| 2017/2018 | WRA | 594 ± 3 (b) | 37.3 ± 0.4 (a) | 40.40 ± 1.18 (a) | 4674 ± 14 (c) |
| SA | 594 ± 3 (b) | 34.9 ± 0.9 (b) | 41.90 ± 1.25 (a) | 4688 ± 35 (c) | |
| SM | 593 ± 6 (b) | 34.1 ± 1.4 (b) | 40.78 ± 0.85 (a) | 4751 ± 109 (c) | |
| FMHS | 596 ± 3 (b) | 36.4 ± 0.5 (a) | 42.43 ± 2.02 (a) | 4874 ± 4 (b) | |
| CKW | 556 ± 5 (c) | 33.6 ± 0.3 (b) | 40.17 ± 1.21 (a) | 4053 ± 9 (d) | |
| CKS | 655 ± 5 (a) | 30.4 ± 0.7 (c) | 36.48 ± 1.01 (b) | 5054 ± 39 (a) | |
| 2018/2019 | WRA | 494 ± 4 (b) | 33.1 ± 1.2 (b) | 43.27 ± 0.70 (a) | 4739 ± 35 (c) |
| SP | 491 ± 1 (b) | 32.5 ± 0.5 (b) | 42.98 ± 0.72 (a) | 4502 ± 23 (d) | |
| SM | 496 ± 7 (b) | 32.3 ± 0.6 (b) | 42.92 ± 0.84 (a) | 4716 ± 14 (c) | |
| FMHS | 504 ± 10 (b) | 36.9 ± 0.6 (a) | 43.45 ± 0.54 (a) | 5165 ± 53 (b) | |
| CKW | 412 ± 3 (c) | 32.0 ± 0.8 (b) | 42.52 ± 0.51 (a) | 4200 ± 36 (e) | |
| CKS | 603 ± 10 (a) | 29.1 ± 0.4 (c) | 36.18 ± 0.66 (b) | 5528 ± 35 (a) |
Publisher’s Note: MDPI stays neutral with regard to jurisdictional claims in published maps and institutional affiliations. |
© 2022 by the authors. Licensee MDPI, Basel, Switzerland. This article is an open access article distributed under the terms and conditions of the Creative Commons Attribution (CC BY) license (https://creativecommons.org/licenses/by/4.0/).
Share and Cite
Zhao, Z.; Li, M.; Wu, Q.; Zhang, Y. Effects of Different Soil Moisture-Holding Strategies on Growth Characteristics, Yield and Quality of Winter-Seeded Spring Wheat. Agronomy 2022, 12, 2746. https://doi.org/10.3390/agronomy12112746
Zhao Z, Li M, Wu Q, Zhang Y. Effects of Different Soil Moisture-Holding Strategies on Growth Characteristics, Yield and Quality of Winter-Seeded Spring Wheat. Agronomy. 2022; 12(11):2746. https://doi.org/10.3390/agronomy12112746
Chicago/Turabian StyleZhao, Zhiwei, Mengyuan Li, Qiang Wu, and Yongping Zhang. 2022. "Effects of Different Soil Moisture-Holding Strategies on Growth Characteristics, Yield and Quality of Winter-Seeded Spring Wheat" Agronomy 12, no. 11: 2746. https://doi.org/10.3390/agronomy12112746
APA StyleZhao, Z., Li, M., Wu, Q., & Zhang, Y. (2022). Effects of Different Soil Moisture-Holding Strategies on Growth Characteristics, Yield and Quality of Winter-Seeded Spring Wheat. Agronomy, 12(11), 2746. https://doi.org/10.3390/agronomy12112746

