Characterization of Root Morphology and Anatomical Structure of Spring Maize under Varying N Application Rates and Their Effects on Yield
Abstract
1. Introduction
2. Materials and Methods
2.1. Experimental Location
2.2. Experimental Design
2.2.1. Field Experiment
2.2.2. Pot Experiment
2.3. Data Collection
2.3.1. Shoot Dry Matter Weight
2.3.2. Root Morphology
2.3.3. Root-Bleeding Sap
2.3.4. Root Microstructure and Ultrastructure
2.3.5. Endogenous Hormones in Root
2.3.6. Total N Concentration and 15N Allocation
2.3.7. Grain Yield and Its Components
2.4. Statistical Analysis
3. Results
3.1. Root Morphology Characteristics
3.2. Root Microstructure and Ultrastructure Characteristics
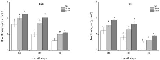
3.3. Root-Bleeding Sap
3.4. Endogenous Hormone Levels in Root
3.5. Total N Concentration and 15N Allocation
3.6. Root/Shoot and Grain Yield
3.7. Correlation Analysis
4. Discussion
5. Conclusions
Author Contributions
Funding
Data Availability Statement
Conflicts of Interest
References
- Laborde, D.; Martin, W.; Swinnen, J.; Vos, R. COVID-19 risks to global food security. Science 2020, 369, 500–502. [Google Scholar]
- Del Castillo, F.A. Community pantries: Responding to COVID-19 food insecurity. Disaster Med. Public Health Prep. 2021, 1. [Google Scholar] [CrossRef]
- Bai, C.Y.; Li, S.K.; Bai, J.H.; Zhang, H.B.; Xie, R.Z. Characteristics of accumulated temperature demand and its utilization of maize under varying ecological conditions in Northeast China. Chin. J. Appl. Ecol. 2011, 22, 2337–2342. [Google Scholar]
- Zhang, F.S.; Cui, Z.L.; Li, S.Q.; Yue, S.C.; Meng, Q.F.; Chen, X.P.; Wang, G.L.; Zhang, Q.; Yang, Z.P.; Wu, L. Closing the yield gap could reduce projected greenhouse gas emissions: A case study of maize production in China. Glob. Chang. Biol. 2013, 19, 2467–2477. [Google Scholar]
- Qian, C.R.; Zhang, W.J.; Yang, Y.; Gong, X.J.; Jiang, Y.B.; Yang, Z.L.; Li, L.; Song, Z.W.; Zhang, W.J. Response of grain yield to plant density and nitrogen rate in spring maize hybrids released from 1970 to 2010 in Northeast China. Crop. J. 2016, 4, 459–467. [Google Scholar]
- Nazir, M.; Pandey, R.; Siddiqi, T.O.; Ibrahim, M.M.; Qureshi, M.I.; Abraham, G.; Vengavasi, K.; Ahmad, A. Nitrogen deficiency stress induces protein expression differentially in low-N tolerant and low-N sensitive maize genotypes. Front. Plant Sci. 2016, 7, 1–16. [Google Scholar]
- Chen, F.J.; Fang, F.Z.; Gao, Q.; Ye, Y.L.; Jia, L.L.; Yuan, L.X.; Mi, G.H.; Zhang, F.S. Evaluation of the yield and nitrogen use efficiency of the dominant maize hybrids grown in North and Northeast China. Sci. China Life Sci. 2013, 56, 552–560. [Google Scholar]
- Zhang, Y.T.; Wang, H.Y.; Lei, Q.L.; Luo, J.F.; Lindsey, S.; Zhang, J.Z.; Zhai, L.M.; Wu, S.X.; Zhang, J.S.; Liu, X.X.; et al. Optimizing the nitrogen application rate for maize and wheat based on yield and environment on the Northern China Plain. Sci. Total Environ. 2018, 618, 1173–1183. [Google Scholar]
- Dechorgnat, J.; Francis, K.L.; Dhugga, K.S.; Rafalski, J.A.; Tyerman, S.D.; Kaiser, B.N. Root Ideotype Influences Nitrogen Transport and Assimilation in Maize. Front. Plant Sci. 2018, 9, 231. [Google Scholar]
- Wu, Y.W.; Li, Q.; Jin, R.; Chen, W.; Liu, X.L.; Kong, F.L.; Ke, Y.P.; Shi, H.C.; Yuan, J.C. Effect of low-nitrogen stress on photosynthesis and chlorophyll fluorescence characteristics of maize cultivars with different lownitrogen tolerances. J. Integr. Agric. 2019, 18, 1246–1256. [Google Scholar]
- Lynch, J.P. Roots of the second green revolution. Austrl. J. Bot. 2007, 55, 493–512. [Google Scholar]
- Mi, G.; Chen, F.; Wu, Q.; Lai, N.; Yuan, L.; Zhang, F. Ideotype root architecture for efficient nitrogen acquisition by maize in intensive cropping systems. Sci. China Life Sci. 2010, 53, 1369–1373. [Google Scholar]
- Wu, L.; Mcgechan, M.B.; Watson, C.A.; Baddeley, J.A. Developing existing plantroot system architecture models to meet future agricultural challenges. Adv. Agron. 2005, 85, 181–219. [Google Scholar]
- Lynch, J.P. Steep, cheap and deep: An ideotype to optimize water and N acquisition by maize root systems. Ann. Bot. 2013, 112, 347–357. [Google Scholar]
- Chen, X.Y.; Gao, Z.H.; Luo, Y.P. Relationship between root and shoot of plants. Plant Physiol. Commun. 2005, 41, 555–562. [Google Scholar]
- Lu, W.; Yong, L.R. Shoot-root carbon allocation, sugar signalling and their coupling with nitrogen uptake and assimilation. Funct. Plant Biol. 2016, 43, 105–113. [Google Scholar]
- Magnani, F.; Mencuccini, M.; Grace, J. Age-related decline in stand productivity: The role of structural acclimation under hydraulic constraints. Plant Cell Environ. 2000, 23, 251–263. [Google Scholar]
- Zhao, J.; Xue, Q.W.; Kirk, E.J.; Hou, X.B.; Hao, B.Z.; Thomas, H.M.; Xu, W.W.; Steven, R.E.; Susan, A.O.S.; David, K.B. Shoot and root traits in drought tolerant maize (Zea mays L.) hybrids. J. Integr. Agric. 2018, 17, 1093–1105. [Google Scholar]
- Chen, X.P.; Zhang, J.; Chen, Y.L.; Li, Q.; Chen, F.J.; Yuan, L.X.; Mi, G.H. Changes in root size and distribution in relation to nitrogen accumulation during maize breeding in China. Plant Soil 2014, 374, 121–130. [Google Scholar]
- Mu, X.; Chen, F.; Wu, Q.; Chen, Q.; Wang, J.; Yuan, L.; Mi, G. Genetic improvementof root growth increases maize yield via enhanced post-silking nitrogen uptake. Eur. J. Agron. 2015, 63, 55–61. [Google Scholar]
- Jia, Q.M.; Xu, Y.Y.; Ali, S.; Sun, L.F.; Ding, R.X.; Ren, X.L.; Zhang, P.; Jia, Z.K. Strategies of supplemental irrigation and modified planting densities to improve the root growth and lodging resistance of maize (Zea mays L.) under the ridge-furrow rainfall harvesting system. Field Crops Res. 2018, 224, 48–49. [Google Scholar]
- Li, Q.Q.; Dong, B.D.; Qiao, Y.Z.; Liu, M.Y.; Zhang, J.W. Root growth, available soil water, and water-use efficiency of winter wheat under varying irrigation regimes applied at varying growth stages in North China. Agric. Water Manag. 2010, 97, 1676–1682. [Google Scholar]
- Postma, J.A.; Dathe, A.; Lynch, J.P. The optimal lateral root branching density for maize depends on nitrogen and phosphorus availability. Plant Physiol. 2014, 166, 590–602. [Google Scholar]
- York, L.M.; Nord, E.A.; Lynch, J.P. Integration of root phenes for soil resource acquisition. Front. Plant Sci. 2013, 4, 355. [Google Scholar]
- York, L.M.; Lynch, J.P. Intensive field phenotyping of maize (Zea mays L.) root crowns identifies phenes and phene integration associated with plant growth and nitrogen acquisition. J. Exp. Bot. 2015, 66, 5493–5505. [Google Scholar]
- Chimungu, J.G.; Brown, K.M.; Lynch, J.P. Reduced root cortical cell file number improves drought tolerance in maize. Plant Physiol. 2014, 166, 1943–1955. [Google Scholar] [CrossRef]
- Chimungu, J.G.; Brown, K.M.; Lynch, J.P. Large root cortical cell size improves drought tolerance in maize (Zea mays L.). Plant Physiol. 2014, 166, 2166–2178. [Google Scholar]
- Saengwilai, P.; Nord, E.A.; Chimungu, J.G.; Brow, K.M.; Lynch, J.P. Root Cortical aerenchyma enhances nitrogen acquisition from low-nitrogen soils in Maize. Plant Physiol. 2014, 166, 726–735. [Google Scholar]
- Postma, J.A.; Lynch, J.P. Theoretical evidence for the functional benefit of root cortical aerenchyma in soils with low phosphorus availability. Ann. Bot. 2011, 107, 829–841. [Google Scholar]
- Liu, Z.G.; Zhao, Y.; Guo, S.; Cheng, S.; Guan, Y.J.; Cai, H.G.; Mi, G.H.; Yuan, L.X.; Chen, F.J. Enhanced crown root number and length confers potential for yield improvement and fertilizer reduction in N-efficiency maize cultivars. Field Crops Res. 2019, 241, 107562. [Google Scholar]
- Li, J.; Li, C.Y. Seventy-year major research progress in plant hormones by Chinese scholars. Signa Vitaesigna Vinae 2019, 49, 1227–1281. [Google Scholar]
- Liu, Z.; Zhu, K.L.; Dong, S.T.; Liu, P.; Zhao, B.; Zhang, J.W. Effects of integrated agronomic practices management on root growth and development of summer maize. Eur. J. Agron. 2017, 84, 140–151. [Google Scholar]
- Wang, J.; Han, J.L.; Yang, M.; Yao, D.D.; Zhou, Y.F.; Wang, W.P.; Wu, Z.X.; Yang, Q. Study on the Nitrogen Uptake and Metabolism in varying Nitrogen Efficient Maize Varieties. J. Nucl. Agric. Sci. 2020, 34, 2800–2812. [Google Scholar]
- Zhang, H.; Jing, W.J.; Xu, J.J.; Ma, B.J.; Wang, W.L.; Zhang, W.Y.; Gu, J.F.; Liu, L.J.; Wang, Z.Q.; Yang, J.C. Changes in starch quality of mid-season indica rice varieties in the lower reaches of the Yangtze River in last 80 years. J. Integr. Agric. 2020, 19, 2983–2996. [Google Scholar]
- Yu, H.G.; Ya, P.X.; Han, Y.J.; Bing, W.; Jun, Y.N. Soil water status and root distribution across the rooting zone in maize with plastic film mulching. Field Crops Res. 2014, 156, 40–47. [Google Scholar]
- Tian, H.; Wabnik, K.; Niu, T.; Li, H.; Yu, Q.; Pollmann, S.; Vannesteet, S. WOX5-IAA17 feedback circuit-mediated cellular auxin response was crucial for the patterning of root stem cell niches in Arabidopsis. Mol. Plant 2014, 7, 277–289. [Google Scholar]
- Liu, H.; Wang, S.F.; Yu, X.B.; Yu, J.; He, X.W.; Zhang, S.L.; Shou, H.X.; Wu, P. ARL1, a LOB-domain protein required for adventitious root formation in rice. Plant J. 2005, 43, 47–56. [Google Scholar]
- Sun, J.Q.; Xu, Y.X.; Chen, Q.; Jiang, H.L.; Ye, S.Q.; Zhou, W.K.; Chen, R.; Li, X.G.; Tietz, O.; Wu, X.Y.; et al. Arabidopsis ASA1 was important for jasmonate-mediated regulation of auxin biosynthesis and transport during lateral root formation. Plant Cell 2009, 21, 1495–1511. [Google Scholar]
- Yang, J.C.; Zhang, J.H.; Wang, Z.Q.; Zhu, Q.S.; Liu, J.J. Abscisic acid and cytokinins in the root exudates and leaves and their relationship to senescence and remobilization of carbon reserves in rice subjected to water stress during grain filling. Planta 2002, 215, 645–652. [Google Scholar]
- Wang, Y.; Du, M.W.; Aegrinya, E.; Wang, B.M.; Duan, L.S.; Li, Z.H.; Tian, X.L. Mechanism of phytohormone involvement in feedback regulation of cotton leaf senescence induced by potassium deficiency. J. Exp. Bot. 2012, 63, 5887–5901. [Google Scholar]
- Nelson, D.W.; Somers, L.E. Determination of total nitrogen in plant material. Agron. J. 1973, 65, 109–112. [Google Scholar]
- Mon, J.; Bronson, K.F.; Hunsaker, D.J.; Thorp, K.R.; White, J.W.; French, A.N. Interactive effects of nitrogen fertilization and irrigation on grain yield canopy temperature, and nitrogen use efficiency in overhead sprinkler-irrigated durum wheat. Field Crops Res. 2016, 191, 54–65. [Google Scholar]
- Peng, Y.F.; Niu, J.F.; Peng, Z.P.; Zhang, F.S.; Li, C.J. Shoot growth potential drives N uptake in maize plants and correlates with root growth in the soil. Field Crops Res. 2010, 115, 85–93. [Google Scholar]
- Wang, Y.; Zhang, X.Y.; Chen, J.; Chen, A.; Wang, L.Y.; Guo, X.Y.; Niu, Y.; Liu, S.R.; Mi, G.; Gao, Q. Reducing basal nitrogen rate to improve maize seedling growth, water and nitrogen use efficiencies under drought stress by optimizing root morphology and distribution. Agric. Water Manag. 2019, 212, 328–337. [Google Scholar]
- Jia, X.; Wu, G.; Strock, C.; Li, L.; Dong, S.; Zhang, J.; Zhao, B.; Lynch, P.; Liu, P. Root anatomical phenotypes related to growth under low nitrogen availability in maize (Zea mays L.) hybrids. Plant Soil 2022, 474, 265–276. [Google Scholar]
- Garnett, T.; Conn, V.; Plett, D.; Conn, S.; Zanghellini, J.; Mackenzie, N.; Enju, A.; Francis, K.; Holtham, L.R.; Roessner, U. The response of the maize nitrate transport system to nitrogen demand and supply across the lifecycle. New Phytol. 2013, 198, 82–94. [Google Scholar]
- Simons, M.; Saha, R.; Guillard, L.; Clément, G.; Armengaud, P.; Cañas, R.; Costas, D.M.; Peter, J.L.; Bertrand, H. Nitrogen-use efficiency in maize (Zea mays L.): From ‘omics’ studies to metabolic modelling. J. Exp. Bot. 2014, 65, 5657–5671. [Google Scholar]
- Silva, I.T.; Abbaraju, H.K.R.; Fallis, L.P.; Liu, H.; Lee, M.; Dhugga, K.S. Biochemical and genetic analyses of N metabolism in maize test cross seedlings:1. Leaves. Theor. Appl. Genet. 2017, 130, 1453–1466. [Google Scholar]
- Wu, L.; Chen, X.P.; Cui, Z.L.; Zhang, W.; Zhang, F.S. Establishing a regional nitrogen management approach to mitigate greenhouse gas emission intensity from intensive smallholder maize production. PLoS. ONE 2014, 9, e98481. [Google Scholar]
- Ren, K.; Xu, M.; Li, R.; Zheng, L.; Liu, S.; Reis, S.; Wang, H.; Lu, C.; Zhang, W.; Gao, H.; et al. Optimizing nitrogen fertilizer use for more grain and less pollution. J. Clean. Prod. 2022, 8, 132180. [Google Scholar]
- Guo, D.H.; Mahdi, M.A.; Zhang, Y.S.; Duan, L.S.; Tian, W.M.; Zhang, M.C.; Li, Z.H. Tillage practices affect biomass and grain yield through regulating root growth, root-bleeding sap and nutrients uptake in summer maize. Field Crops Res. 2014, 157, 89–97. [Google Scholar]
- Tania, G.C.; Kathleen, M.B.; Jonathan, P.L. Reduced root cortical burden improves growth and grain yield under low phosphorus availability in maize. Plant Cell Environ. 2018, 41, 1579–1592. [Google Scholar]
- Du, H.; Liu, H.; Xiong, L. Endogenous auxin and jasmonic acid levels are differentially modulated by abiotic stresses in rice. Front. Plant Sci. 2013, 4, 397. [Google Scholar]








| Growth Stage | N Rate | Thickness of the Cortex (μm) | Ratio of Root Cortex Aeration Tissue (RCA, %) | Central Column Diameter (μm) | Ratio of the Cortex to the Root Diameter (%) | Vessel Diameter (mm) |
|---|---|---|---|---|---|---|
| R1 | N0 | 277.87b | 14.00a | 326.40c | 41.86a | 67.97c |
| N180 | 247.79c | 12.33b | 356.04b | 41.99a | 83.46b | |
| N360 | 341.19a | 9.46c | 466.30a | 41.03a | 91.68a | |
| R6 | N0 | 208.20c | 13.68a | 295.32a | 38.26a | 48.55b |
| N180 | 341.47a | 13.16a | 290.18a | 38.71a | 43.38b | |
| N360 | 290.68b | 10.74b | 233.54b | 27.54b | 57.20a |
| Experiment Condition | N Rate | R1 N Uptake (g Plant−1) | R6 N Uptake (g Plant−1) | Post-Silking N Uptake (g Plant−1) | Grain N Content (g Plant−1) | Nitrogen Uptake Efficiency (kg kg−1) |
|---|---|---|---|---|---|---|
| Field | N0 | 1.66b | 2.91b | 1.25c | 1.90c | - |
| N180 | 1.70b | 3.19b | 1.49b | 2.23b | 1.24a | |
| N360 | 1.90a | 3.98a | 2.00a | 3.06a | 0.75b | |
| pot | N0 | 1.69c | 3.46b | 1.77b | 2.42b | - |
| N180 | 1.81b | 3.61b | 1.80b | 2.43b | 1.50a | |
| N360 | 2.22a | 4.55a | 2.17a | 2.86a | 0.95b |
| Stages | N Rate | 15N Distribution in Different Organs (%) | ||||||
|---|---|---|---|---|---|---|---|---|
| Root | Ear Leaf | Other Leaves | Stem | Cob | Ear Bracts | Grain | ||
| R1 | N0 | 8.21a | 7.45a | 41.32a | 43.02b | - | - | - |
| N180 | 7.09a | 6.84b | 36.23b | 57.73a | - | - | - | |
| N360 | 4.36b | 6.45b | 34.18b | 59.38a | - | - | - | |
| R6 | N0 | 1.21a | 0.96b | 7.61b | 10.02b | 0.21c | 0.38c | 79.61a |
| N180 | 0.93b | 0.95b | 7.47b | 9.09b | 0.47b | 0.43b | 81.60a | |
| N360 | 0.91b | 1.34a | 11.33a | 13.35a | 0.83a | 0.99a | 72.16b | |
| Years | Stages | N Rate | Field | Pot | ||||
|---|---|---|---|---|---|---|---|---|
| Shoot Biomass (g Plant−1) | Root Biomass (g Plant−1) | Root/Shoot | Shoot Biomass (g Plant−1) | Root Biomass (g Plant−1) | Root/Shoot | |||
| 2019 | R1 | N0 | 105.59b | 19.53b | 0.18b | - | - | - |
| N180 | 126.92a | 32.62a | 0.26a | - | - | - | ||
| N360 | 125.57a | 31.77a | 0.25a | - | - | - | ||
| R6 | N0 | 345.97b | 18.02b | 0.05a | - | - | - | |
| N180 | 362.76b | 25.94a | 0.07a | - | - | - | ||
| N360 | 381.58a | 24.70a | 0.06a | - | - | - | ||
| 2020 | R1 | N0 | 113.99b | 21.53c | 0.19b | 122.71c | 30.60b | 0.29ab |
| N180 | 131.86a | 35.62ab | 0.27a | 135.61b | 40.69a | 0.36a | ||
| N360 | 131.72a | 34.77b | 0.26a | 149.09a | 39.30a | 0.31a | ||
| R6 | N0 | 266.44c | 20.02b | 0.07a | 290.76c | 20.50c | 0.07b | |
| N180 | 303.67b | 27.94a | 0.09a | 317.10b | 31.50a | 0.10a | ||
| N360 | 311.02a | 26.70a | 0.08a | 355.24a | 25.50b | 0.07b | ||
| Years | N Rate | Field | Pot | |||||
|---|---|---|---|---|---|---|---|---|
| Ears Numbers (Ear ha−1) | Kernel Numbers (No.) | 1000-weight 1001-(g) | Grain Yield (kg ha−1) | Kernel Numbers (No.) | 1000-Weight (g) | Grain Yield (g Plant−1) | ||
| 2019 | N0 | 59,944.4b | 482.6c | 310.2b | 8889.40b | - | - | - |
| N180 | 68,523.5a | 506.4b | 329.8a | 10,319.18a | - | - | - | |
| N360 | 68,982.4a | 524.2a | 326.3a | 9899.97a | - | - | - | |
| 2020 | N0 | 56,944.4b | 486.1b | 310.2b | 9253.2b | 466.7b | 318.2a | 169.56b |
| N180 | 68,518.5a | 517.1a | 326.4a | 11,531.3a | 496.4a | 320.2a | 209.01a | |
| N360 | 68,381.5a | 509.8a | 322.8a | 11,255.4a | 508.6a | 332.6a | 196.89a | |
Publisher’s Note: MDPI stays neutral with regard to jurisdictional claims in published maps and institutional affiliations. |
© 2022 by the authors. Licensee MDPI, Basel, Switzerland. This article is an open access article distributed under the terms and conditions of the Creative Commons Attribution (CC BY) license (https://creativecommons.org/licenses/by/4.0/).
Share and Cite
Li, X.; Wang, R.; Zhou, B.; Wang, X.; Wang, J.; Zhao, M.; Li, C. Characterization of Root Morphology and Anatomical Structure of Spring Maize under Varying N Application Rates and Their Effects on Yield. Agronomy 2022, 12, 2671. https://doi.org/10.3390/agronomy12112671
Li X, Wang R, Zhou B, Wang X, Wang J, Zhao M, Li C. Characterization of Root Morphology and Anatomical Structure of Spring Maize under Varying N Application Rates and Their Effects on Yield. Agronomy. 2022; 12(11):2671. https://doi.org/10.3390/agronomy12112671
Chicago/Turabian StyleLi, Xiangling, Rui Wang, Baoyuan Zhou, Xinbing Wang, Jian Wang, Ming Zhao, and Congfeng Li. 2022. "Characterization of Root Morphology and Anatomical Structure of Spring Maize under Varying N Application Rates and Their Effects on Yield" Agronomy 12, no. 11: 2671. https://doi.org/10.3390/agronomy12112671
APA StyleLi, X., Wang, R., Zhou, B., Wang, X., Wang, J., Zhao, M., & Li, C. (2022). Characterization of Root Morphology and Anatomical Structure of Spring Maize under Varying N Application Rates and Their Effects on Yield. Agronomy, 12(11), 2671. https://doi.org/10.3390/agronomy12112671

