Abstract
The aim was to improve the fertilizer utilization efficiency and alleviate environmental pollution risk under a wheat-maize rotation system. Here, the combinations of different nitrogen stabilizers and phosphorus activators were used to reduce nitrogen loss and phosphorus fixation in the field experiment. Compared to the control, the combination of 1.5%HQ + 0.5%DMPP + biochar showed the most significant effect on the retention of alkali-hydrolysable nitrogen (Nah), the highest with an increase of 22.6% at the 0~20 cm layer soil; and the combination of 1.5%HQ + 3.5%DCD + CMFs (compound microbial fertilizers) showed the most significant effect on the maintenance of available phosphorus (Pa), with the highest increase of 41.3%. N, P synergists combined with a basal fertilizer could effectively slow down the transformation from to , and keep at an increase of 7.38%~19.6%. Moreover, the N, P synergists could efficiently lock the available nutrients around the roots, preventing the migration of , , Nah, and Pa to the deeper layers. Especially for , the total accumulation at 0~60 cm decreased by 32.1%, and the activation of Pa was mainly concentrated at 0~40 cm. Under the same nutrient inputs, the combination of 0.3%NBPT + 0.5%DMPP + CMFs obtained the highest wheat yield. The combination of 1.5%HQ + 0.5%DMPP+ biochar gained the highest maize yield. Overall, the application of N, P synergists could increase the effective duration of Nah, Pa, and in the surface soil, and reduce the accumulation of in the 0~60 cm soil layer. The capacity of holding and keeping nutrients from leaching rose obviously; simultaneously, the assimilative capacity of crops for nitrogen and phosphorus increased distinctly, which could lower the eutrophia risks from nitrogen and phosphorus.
1. Introduction
Nitrogen (N) and phosphorus (P) are the most crucial elements for crop yield, but available form deficiency widely exists in agricultural practices, thus supplying a chemical fertilizer is one of the most effective measures to increase the grain yield. In order to pursue the sustainable high yield of food crops, massive fertilizers are applied into agricultural soil. However, due to limited education level and the cognition of the farmers or employees, the phenomena of blind fertilization and the over-fertilization or overdose are widespread in practice, which leads to a serious imbalance between the available nutrients provided by the soil and the actual demand of the crops [,]. Whether as basal application or topdressing, nitrogen (N) fertilizer is the most commonly used in practice. If the available nitrogen could not be absorbed and transformed in time by crops, it is easy to volatilize as NH3, leach as , or denitrificate as N2O or N2 [,,,,]. The proportion of nitrogen in basal fertilizer is generally as high as 50–70% in the wheat/maize rotation of the Huang-Huai-Hai Plain, and urea is the main nitrogen fertilizer source. Studies have found that it takes 7–10 days, 4–5 days, and 2 days to convert urea into N2O or N2 at 10 °C, 20 °C, and 30 °C, respectively. From seeding (October) to regrowth (March), because the climate temperate is commonly low in the test region, the wheat seedings grow slowly and N absorption is low accordingly, as obviously the N supply was far more than the N demand for wheat seedlings [,,,]. In calcareous soil or cinnamon farming areas in semi-arid areas, is also seriously easy to transform into . On one hand, is easy to leach in the hot and rainy season; on the other hand, accumulation is a key material reason for denitrification, which are both important ways resulting in N loss [,,].
Due to the poor mobility and the strong chemical fixation in soil, the Pa that could be absorbed and utilized by roots is relatively low, although the total phosphorus is generally high. Moreover, the phosphorus fertilizer supply often far exceeds the crop demand. The excessive input of phosphorus fertilizer and unreasonable fertilizing methods led to the utilization rate of phosphate fertilizer of only 10~25%. As phosphorus accumulates in the tillage, soil enters the surface (lower) water body with irrigation or rainfall, which hints at a vital source of the eutrophication of water bodies [,].
Urease inhibitors can retard urea converting to by inhibiting the urease activity. Nitrification inhibitors can reduce the generation and accumulation of nitrates by inhibiting the transformation of to , which directly reduces the leaching loss of and denitrification. Biochar, with a developed pore structure, large specific surface area and excellent adsorbent capacity, is considered as a good soil regulator, which could not only improve the soil organic carbon, but also have a strong adsorption capacity on soil and , thus affecting nitrogen transformation [,,]. Other studies have indicated that biochar can adsorb nitrifying inhibitors, delay the release of inhibitors in soil, and reduce nitrogen leaching loss, accordingly, playing a certain protective role on nitrifying inhibitors [,]. Biochar itself also contains high phosphorus, and when applied to the soil, it can not only regulate the soil pH and adsorb the complex of soil phosphorus and metal, but also directly act as carbon nutrition for soil microorganisms, improving the bioconversion rate of soil phosphorus, etc. [,]. Base-applied CMFs mostly contain a large number of living microbial populations via their growth, reproduction, and activation of metabolites to accelerate the decomposition of organic matter such as returned straw in the soil, while transforming soil-solidified mineral nutrients into a form that can be easily absorbed, so that inherent nutrient resources of the soil can be fully utilized []. Both biochar and CMFs could play vital roles as phosphorus activators in practice.
Currently, research on nitrogen stabilizers (urease inhibitors and nitrification inhibitors) and the combined application of biochar, CMFs focused on greenhouse gas emissions [,,,,], and the research methods adopted has mainly been based on indoor simulation, and the conclusions varied greatly. Based on the above, the combined application of the two synergists is supposed to have a superimposed effect [,].
Here, this research will exploit the spatiotemporal changes and transport characteristics of soil N, P under different combinations of N, P synergists in the field wheat/maize rotation, which will hopefully provide scientific basis and technical support for the efficient utilization of nutrient resources and the practical control of non-point source pollution.
2. Materials and Methods
2.1. Experimental Field Status
The experiment was conducted in Shiqiang Town (116°89′–116°90′ E, 35°29′–35°30′ N), Zoucheng City, Shandong Province, China. This region is a typical temperate monsoon climate, which features four distinct seasons. The yearly precipitation (2011–2021) is 684.8 mm, concentrated from June to August, and accompanied by the max temperature of 37.8 °C and the min temperature of −13.7 °C. Field soils was brown soil, the pH 7.12, and the electrical conductivity (EC) was 130.3 Μs cm−1. Nutrients contained in soils were as follows: organic matter, 16.53 g kg−1; total nitrogen 750 mg kg−1; alkali-hydrolyzable nitrogen 95.55 mg kg−1; 39.85 mg kg−1; 43.28 mg kg−1; available P 39.96 mg kg−1; and available K 146.8 mg kg−1.
2.2. Experimental Materials and Application Process
The compound fertilizer N–P2O5–K2O was 19–18–18, of which urea accounted for 89.5% and accounted for 10.5%. The raw materials of compound fertilizer were urea (N 46%), monoammonium phosphate (N 14%, P2O5 46%), and potassium sulfate (K2O 51%), derived from Shandong Agricultural University Fertilizer Science and Technology Co. Ltd. The biochar originated from Liaoning Biochar Engineering Technology Research Center, and the CMFs from Lianye Biotechnology Co. Ltd (Jiang Yin City, China).
Wheat variety Tainong 18, with a seeding quantity of 164.9 kg·ha−1, a wide and precise sowing row spacing of 26 cm, and the fertilizer rate for wheat was N 242.6 kg·ha−1, P2O5 75 kg·ha−1, and K2O 60 kg·ha−1. After the maize was harvested, all of the straw was returned to the field (about 11,000 kg·ha−1), mixed with the basal fertilizer and the synergist thoroughly, and then evenly spread. The required potassium was applied as a basal fertilizer in the form of compound fertilizer at once, and the remaining phosphorus (12.5% of total amount) and nitrogen (50% of total nitrogen) were topdressed with monoammonium phosphate and urea, respectively. The wheat was sown in mid-October and harvested in early June.
Maize variety Zhengdan 958 was tested with the cultivation density 59,000 plants·ha−1. There was no tillage before the maize season, and the synergist and fertilizer were evenly mixed and sown simultaneously with seeds into the furrow at one time. The test fertilizers were urea, monoammonium phosphate, and potassium sulfate with the quantities: N 282.5 kg·ha−1, P2O5 45 kg·ha−1, and K2O 76.5 kg·ha−1, respectively. Maize was sown in mid-June and harvested in early October. The fertilizer formula was both recommended by local cultivation technical procedures.
2.3. Experimental Design
There were three nitrogen stabilizer combinations: HQ (hydroquinone) + DCD (dicyandiamide); HQ + DMPP (3.4-dimethyl pyrazole phosphate); and NBPT (Ntylthiophosphoryltriamine) + DMPP. The dosages of urease inhibitors HQ and NBPT were 1.5% and 0.3% of the fertilizer’s pure nitrogen, respectively; the nitrification inhibitors DCD and DMPP were 3.5% and 0.5% of the fertilizer’s pure nitrogen, respectively; and the phosphorus activator was biochar (900 kg·ha−1) and CMFs (749.6 kg·ha−1). Here, the combination of nitrogen stabilizer and phosphorus activator was randomly combined with a local formula fertilizer. Treatments codes were as follows: (1) CK, local formula fertilizer; (2) T1, HQ + DCD + biochar; (3) T2, HQ + DCD + CMFs; (4) T3, HQ + DMPP + biochar; (5) T4, HQ + DMPP + CMFs; (6) T5, NBPT + DMPP + biochar; (7) T6, NBPT + DMPP + CMFs.
The field experimental plot was 50 m2 (5 m width, 10 m length) and spaced 2 m apart. The plot was in a randomly complete block design, and each treatment included three field replications. Agricultural cultivation management was the same as local conventional practice.
2.4. Sample Collection and Determination
The 0~20 cm deep soil samples were collected at the wheat seedling stage, heading stage, and maturity stage, respectively, and before maize sowing, the jointing stage, the tasseling stage, and maturity stage. Soil samples of the 0~20 cm, 20~40 cm, and 40~60 cm layers were collected after fertilization (56 d), before wheat harvest (224 d), and before maize harvest (344 d) between the wheat rows and maize plants with soil drill. On small-sized experimental plots, the samples according took the ‘W’ type, after impurity removal, these were mixed evenly, bagged separately, and taken back to the laboratory. Part of the fresh soil was tested for soil , , and the rest was air-dried naturally, ground, and stored through a 2.0 mm sieve for later use.
2.4.1. Determination of Soil Nutrient Content
Nah was determined by the alkali hydrolysis diffusion method; and were extracted with 2 mol·L−1 KCl and determined by flow analyzer; Pa was extracted with 0.5 mol·L−1 NaHCO3 (pH 8.5) and determined by molybdenum antimony anti colorimetry. The determination methods referred to Bao [].
2.4.2. Plant Harvest and Sample Treatment
After the wheat was mature, the yield components of wheat were investigated by the “1 m double row method”. Ten representative plants were randomly selected from each plot and divided into three parts (grain, stem, and leaf), washed, bagged, dried at 80 °C to constant weight.
When the maize was harvested, 10 representative plants were randomly selected in each plot and divided into stalk and grains, then washed, bagged, dried at 80 °C to constant weight.
All of the collected samples were ground and mixed evenly to obtain analytical samples and determine the plant nitrogen and phosphorus.
2.5. Data Processing
The data in the dynamic figure and column chart about nitrogen in soil were from 2020 to 2021. The crop yield and nutrient accumulation were the mean values of two rotations from 2019 to 2021. Office 2017 and Origin (OriginLab, Mass, USA) were used for the data processing and plotting. The least significant difference (LSD) was used for multiple comparisons between the different treatment means.
3. Result and Analysis
3.1. Soil under Different Combinations of N, P Synergists in Wheat/Maize Rotation
From the variation trend during the wheat season, the content in the 0~20 cm soil layer was the highest at the seedling stage, and decreased to about 50% of the seedling stage at the heading and maturity stage in the next year (Figure 1A), which was consistent with the trial results in 2019–2021. At the wheat seedling stage, the content treated with T3 (HQ + DMPP + biochar) and T6 (NBPT + DMPP + CMFs) were the highest two, increased by 7.65% and 9.21% compared with CK, respectively. At the wheat heading stage, the levels in all treatments dropped to half of the seedling level, but the soil level under T1, T3, and T6 increased significantly compared with CK, with increases of 35.5%, 45.8%, and 50.1% (Figure 1A). At the maturity stage of wheat, the content of soil increased slightly compared with the heading stage, while the largest one was T5 (increased by 27.6%), followed by T4 (increased by 18.0%). During the whole growth period of maize, compared with CK, the content of soil was generally higher than CK, and only T3 was significantly different at the tasseling and maturity stages (Figure 1B).

Figure 1.
The content in the 0~20 cm soil under different combinations of N, P synergists (The same alphabets in one stage show no significance (p > 0.05), on the contrary, having significance (p < 0.05, same below).
Two-year observations showed that the interannual variability of in the surface soil was much higher than that of the deeper soil (Figure 2). At the initial stage of fertilization, the difference of at different depths was the largest, and then the difference of in vertical direction gradually became smaller with the prolongation of the growth period. The deeper the soil, the lower the content. The change trend of each treatment between 20~40 cm and 40~60 cm was similar to that of 0~20 cm, indicating that in the deep soil was mainly derived from the leaching and downward movement of the top soil. N, P synergists could reduce the generation of to a certain extent, which eased the leaching loss.

Figure 2.
The temporal and spatial variation of under different combinations of N, P synergists during the whole rotation cycle of wheat/maize.
3.2. Soil under Different Combinations of N, P Synergists in Wheat/Maize Rotation
During the overwintering period of the wheat season, the decrease trend of in the 0~20 cm soil layer was similar to , with an overall decrease of 40–50% at the tassel and harvest stages compared to the seedling stage. At the wheat seedling stage, the under the treatments with added N, P synergists was generally higher than that of CK. However, there was no statistical significance. At the wheat heading stage, only in the T2 treatment (HQ + DCD + CMFs) was the significantly higher than CK; at the wheat maturity stage, only in the T5 treatment (NBPT + DMPP + biochar) did show a significant difference with CK. With the extension in the growth period, the in 0~20 cm layer showed a continual decreasing trend (Figure 3A).

Figure 3.
The content in 0~20 cm soil under different combinations of N, P synergists.
In each growth period of maize, the soil treated by N, P synergists was generally lower than that of CK. The urease/nitrification inhibitor that coupled the phosphorus activator with basal fertilizer could effectively reduce the conversion from to , and consequently reduce accumulation (Figure 3B).
The content of in the soil decreased steadily during the whole rotation growth period of wheat and maize (Figure 4). At the initial stage after fertilization, the difference between the upper and lower soil layers was the largest, and then the difference decreased significantly with the wheat harvest and maize harvest. With the increase in soil depth, the content gradually decreased. From 56 d after fertilization to the heading stage of wheat, the time span was more than five months, and showed a serious leaching phenomenon in the 0~60 cm depth soil. After maize harvest, under different N, P synergist combinations was significantly lower than CK, and the trend was similar among the 0~20 cm, 20~40 cm, and 40~60 cm depth soils. These results identified that the nitrifying inhibitors combined with biochar or CMFs could play a sustainable role, significantly inhibiting from generating, but the retarding-holding effect on soil was not obvious.

Figure 4.
The temporal and spatial variation of under different combinations of N, P synergists during the whole rotation cycle of wheat/maize.
3.3. Alkali-Hydrolyzable Nitrogen under Different Combinations of N, P Synergists in Wheat-Maize Rotation System
At the 0~20 cm depth soil layer, the Nah content in each synergist treatment during the whole growth period was generally higher than that of CK (Figure 5). At the wheat seedling stage, the T3 treatment (HQ + DMPP + biochar) increased the Nah content by 18.5% compared to CK; at the wheat heading stage, the T3, T5 (NBPT + DMPP + biochar), and T6 (NBPT + DMPP + CMFs) treatments increased by 12.5%, 13.9%, 14.2% more than CK, respectively; at the mature period of wheat, the Nah content in the each synergist treatment was still generally higher than that of CK. Throughout the whole growth period of wheat, the synergist combinations could effectively increase the soil Nah, and T3 showed the most obvious effect.

Figure 5.
Alkali-hydrolyzable nitrogen in the 0~20 cm soil under different combinations of N, P synergists.
At the jointing stage of maize, the Nah content in T4 was the highest, with an increase of 16.8%; in the tasseling stage and maturity period of maize, the Nah content under synergist treatment was generally higher, but only in T5 was the difference statistically significant; in the mature stage, the Nah in T5 was still the most obvious. Throughout the whole growth period of maize, the Nah in each synergist treatment had a general increasing trend compared with CK, and Nah in T3 remained stable and maintained a higher level all along.
From the overall view in the 0~60 cm soil, the Nah gradually decreased as the soil layer deepened, and the synergist combinations significantly took on a common positive effect (Figure 6). Compared with the previous results of urease/nitrification inhibitors or phosphorus activator alone, the Nah rose more obviously under the combinations of the N, P synergists. At the initial stage of fertilization, in the vertical direction, the soil Nah of 0~20 cm was significantly higher than that of the 20~40 cm and 40~60 cm, and the Nah in each synergist treatment was significantly higher than that of CK. After the maize was harvested, the Nah of in the 20~40 cm and 40~60 cm depth soils showed a decreasing trend. Whether it was in the wheat season or in the maize season, the soil alkaline nitrogen content of each synergist treatment was generally higher than CK, indicating that the combinations of N, P synergists could play a sustainable and multiple role in stabilizing the available nitrogen fertility. From the temporal and spatial variation trend of Nah in the early fertilization stage, the higher the content of Nah in the surface soil, the more serious the downward leaching in the vertical direction after the stage of wheat and maize harvest.

Figure 6.
The temporal and spatial variation of alkali-hydrolyzable nitrogen under different combinations of N, P synergists during the whole rotation cycle of wheat and maize.
3.4. Available Phosphorus under Different Combinations of N, P Synergists in Wheat/Maize Rotation System
Compared with CK, the available phosphorus (Pa) at the 0~20 cm soil layer under each synergist treatment was significantly increased. Especially in the early stage of fertilization, the activating effect was the most obvious and the difference between treatments was the largest (Figure 7). At the seedling stage of wheat, the Pa in T2 and T6 was significantly different from that of CK, increasing by 41.3% and 34.5%, respectively; at the heading stage, except T4 (HQ + DMPP + CMFs), Pa content in the other treatments all were significantly higher than that of CK, T5 and T6, increase of 15.5% and 14.8% respectively; At the wheat maturity, the Pa in T1 (HQ + DCD + biochar) and T2 was the highest, respectively, increasing by 24.8% and 22.5%, significantly higher than that of CK.

Figure 7.
The available phosphorus content in the 0~20 cm soil under different combinations of N, P synergists.
At the jointing stage of maize, compared with CK, the Pa content at the 0~20 cm soil in T1, T3, T5, and T6 was significantly higher than that of CK, and the highest one was T6, increasing by 23.0%; at the heading stage of maize, the Pa content in T3 was the highest, increasing by 28.6%; and at the mature stage of maize, the Pa content in T2 was the highest, increasing by 21.5%.
The Pa content showed a sharply decreasing trend as the depth of the soil layer increased in the vertical direction of the 0~60 cm soil (Figure 8). After fertilization, the difference of Pa among the treatments in the 0~20 cm soil layer gradually decreased with time. The difference between the 20~40 cm and 40~60 cm was the smallest on day 224 after fertilization. From d 224 to d 344, the Pa content in the 0~20 cm surface soil showed an upward trend, while the Pa content in the 20~40 cm soil layer was relatively steady, but the Pa content of the 40~60 cm soil layer showed a downward trend. These results indicate that the combinations of N, P synergists could improve the soil Pa to varying degrees and block the migration of Pa to deeper layers.

Figure 8.
The temporal and spatial variation of available phosphorus under different combinations of N, P synergists during the whole rotation cycle of wheat/maize.
3.5. Effects of Different Combinations of N, P Synergists on the Production of Wheat-Maize
The N, P synergists could effectively improve the bioaccumulation of wheat and maize (Table 1). Compared with CK, the yield inT3 and T6 showed the most obvious effect: the wheat grain was increased by 20.2% and 21.0%, and the maize grain increased by 21.4% and 14.6%, respectively. In the T3 treatment, the total grain yield and the total straw were steadily the highest (24.2% higher than CK), followed by T1 and T2, which were 10.5% and 13.7% higher, respectively, than CK.

Table 1.
The mean yield and biomass of wheat and maize under different combinations of N, P synergists from 2019 to 2021 (kg·ha−1).
3.6. Nitrogen and Phosphorus Accumulation of Wheat/Maize under Different Combinations of N, P Synergists
The N, P synergists could improve the absorption and accumulation of N and P in wheat, with the increase in N accumulation by 6.11~23.7%, and P accumulation by 9.65~35.1% (Table 2) compared to CK. In T3 and T6, the transporting ratio of N and P to the grain showed the highest: N increased by 33.3% and 35.2% and P increased by 46.8% and 40.4%, both extremely significant. The N accumulation trend in maize was similar to that in wheat; the highest T3 and T6 increased by 27.2% and 17.2%, respectively. The highest phosphorus accumulation was still T3, which increased by 25.5%. Overall, the accumulation of N and P in maize grains under different N, P synergists was generally higher than the control, indicating the synergist combination promoted nutrients absorbed transport into the grains, and thus improved the utilization efficiency of N and P.

Table 2.
The mean N, P accumulation of wheat and maize under different combinations of N, P synergists (kg·ha−1).
In terms of the wheat/maize rotation system, the most N accumulation and the most P accumulation were both in T3 (HQ + DMPP + biochar), 25.7% and 30.8% higher than CK, respectively. The increased accumulation of N and P in wheat was mainly reflected in grain, where nitrogen was particularly prominent.
3.7. Distribution of Available Nitrogen and Phosphorus in the Vertical Soil Profile under Different Synergist Combinations
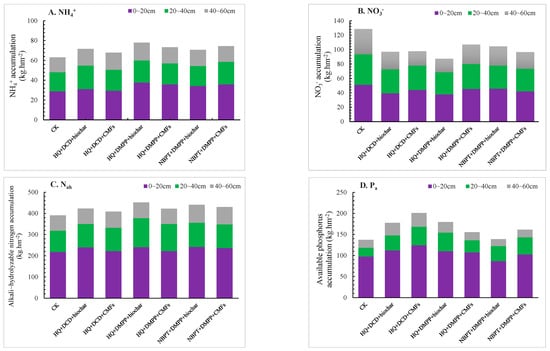
The available nitrogen and phosphorus in the 0~60 cm soil layer showed a certain degree of leaching downward, but the N, P synergists could partly alleviate the trend. The leaching proportion of nitrogen and phosphorus was generally reduced (Figure 9). Under different combinations of N, P synergists, the total amount of in the 0~60 cm soil decreased significantly, with a decrease range of 16.8~32.1%, while the total amount of , Nah, and Pa partially increased. The increases in and Nah in T3 were the highest (23.6% and 15.8% higher than CK), and the increase I the total P in T2 was the highest, followed by T3, with an increase of 46.7%, 30.9% compared to CK, respectively. Judging by the distribution of the main rapid-available nutrients in the vertical profile of 0~60 cm, the incrementally available nutrients were mainly concentrated in the 0~20 cm and 20~40 cm layers, and the distribution ratio in the 40~60 cm soil showed a general downward tendency. The three-dimensional distribution pattern indicated that N, P synergists could effectively hold nutrients around the roots and simultaneously retard the available nutrient leaching.

Figure 9.
The distribution of the available nitrogen and phosphorus in the vertical profile under different N, P. synergist combinations.
4. Discussion
4.1. Retention of N, P Synergists Combined with Basic Fertilizer on Available Nutrients
This experimental region was normal irrigation farmland in the Huang-Huai-Hai Plain. The overall soil fertility was middle-upper level. Corn straw was returned to the field, and wheat no-tillage seed fertilizer with sowing. All maize straw was smashed and returned to soil, mixed with basal fertilizers, then deep ploughed. Wheat seed were sown with basal fertilizer at the same time. Obviously, in order to reduce the risk of yield reduction caused by nutrient deficiency, whether traditional private households or new large landlords, the phenomena of blind fertilization, excessive fertilization, and heavy application of compound fertilizer exist worldwide.
This field test was conducted from 2019 to 2021. Continuous results showed that overwinter was the most serious period for soil available nitrogen, and the and in the 0~20 cm layer reduced to 40%~50% of the initial stage of fertilization. The urease inhibitor in each synergist combination could slow down the conversion from urea to , and reduce the volatilization by inhibiting the soil urease activity. Nitrification inhibitors could inhibit generation from urea, or amino acids, thereby reducing the leaching loss of nitrogen, especially in the maize season []. The combination of the N, P synergists could not completely block the loss of available nitrogen in the wheat season, and the possible reasons are as follows: first, the nutrient demand at the wheat seedling stage was low, the roots expanded less, and was not able to be absorbed and assimilated in time, which led to overflow in the form of ammonia; Second, the available nitrogen provided by the basal fertilizer was mindlessly excessive, with the supply exceeding the demand [,,,]. The temporal and spatial variation trend of support this assumption.
Compared to the separate effect of N, P synergists during 2018~2020 in field trials, leaching was significantly alleviated under compound synergists. From June to July, the leaching trend of and was particularly higher than other periods, which should be related to the high intensity of local rainfall. Urease/nitrification inhibitor combined with biochar or CMFs demonstrated a significantly positive effect on retention []. From June to October, the maize cultivation season, when it is just high temperature and rainy, nitrification inhibitors could significantly inhibit generating to some degree. However, the overall improvement of soil and Nah under N, P synergists only compensated the deficiency for the leaching loss of [].
Soil alkali-hydrolyzed nitrogen (Nah), also known as hydrolyzed nitrogen, include inorganic nitrogen () and easily hydrolyzed organic nitrogen (e.g., amino acids, amides, etc.). As the soil nitrogen nutrient, Nah was much steadier than and , which could better reflect the recent nitrogen supply capacity of the soil. In this study, the combination of HQ + DMPP + biochar with basal fertilizer was the most prominent in maintaining Nah, taking the soil nutrient index as the independent variable, and the yield index as the dependent variable from 2019~2021. Path analysis suggested that Nah had the highest correlation coefficient (R = 0.779 **) with grain yield, a direct positive effect (path coefficient 4.455), followed by organic matter (R = 0.521), and total soil nitrogen (R = 0.466) (data not shown). Under HQ + DMPP + biochar treatment, the grain yield and total biomass always remained the highest, even though the total in the 0~60 cm soil in the maize season decreased by 32.1%. This indicated that the soil nitrogen that contributed most to grain yield should be dominated by organic small molecule nitrogen [].
According to the dynamic changes of Nah, and , N, P synergists combined with basal fertilizer could not avoid the volatilization and leaching absolutely, but the multiple rhizosphere protective screening, composite inhibitor, organic carbon and beneficial microorganisms could effectively reduce the soil nitrogen loss as well as hold effective nitrogen around the root zone []. DMPP could inhibit the activity of ammonia microorganisms, especially ammonia oxidizing bacteria, and delayed the nitrification process by reducing the activity of monoamine oxygenase []. Biochar, when applied with N, P synergists, took on a strong adsorption capacity for both ammonium and , not only effectively held nitrogen, but also boosted the interaction of nitrogen and phosphorus in soil, thus increasing the phosphorus availability []. Some research has shown that biochar can adsorb nitrification inhibitors to delay the release of inhibitors to the soil, which means that biochar could play a protective role for nitrification inhibitors [,]. Biochar itself contains high phosphorus, so after applied into the soil, could adjust the pH, absorb the chelate of phosphorus and cations, and also directly serve as the carbon nutrition for soil microorganisms, consequently improving the biotransformation pathway of soil phosphorus [].
CMFs contain a large number of living beneficial microbiota through bacterial growths, reproductions, and metabolites, and could activate potential nutrients from the soil. Basal application or seed fertilizer co-sown with CMFs could accelerate the decomposition of organic constituents such as crop straw in the root zone. At the same time, CMFs could transform the fixed mineral nutrients into an available form that could be easily absorbed and assimilated [], which enabled the efficient utility of soil intrinsic resources []. In a previous test, the biochar or CMFs applied independently increased the Pa in the 0~20 cm soil by 37.2%, and effectively prevented the migration of Pa to the deep soil []. In this test, biochar or CMFs combined with the optimal combination of nitrogen stabilizers, under the condition of halving the amount of phosphate fertilizer, the Pa at the 0~20 cm soil treated with HQ + DCD + CMFs was still 27.4% higher than CK, and the leaching downward proportion of Pa was significantly reduced. Therefore, the essential origin of the increase in fertility under different combinations of N, P synergists was supposed to reduce the loss of available nitrogen, phosphorus nutrients, improve the micro-ecological environment of the root zone, and enhance the overall fertility level of the root soil [].
Here N, P synergists combined with basal fertilizers significantly increased the total amount of in the 0~60 cm soil, especially in the 0~20 cm layer, while the distribution ratio of in 40~60 cm decreased simultaneously. However, the dynamic changes of in the vertical direction was much different from : a highly significant total amount decreased in the 0~60 cm soil (16.3%~31.4%), which was mainly derived from the decrease in the 40~60 cm, nevertheless, the total in 0~20 cm increased to some degree. All of the above suggest that N, P synergists could inhibit the generation of , thus effectively blocking leaching downward and reducing nitrogen loss. The variant amplitude of Nah was the smallest among the four mainly available nutrients, but the activated Nah was mostly distributed in the 20~40 cm soil layer, similar to Pa. Judging by the temporal and spatial trends of , , Nah, and Pa from the topsoil to deepsoil, the risk of nutrient leaching was in the order of > > Nah > Pa.
Therefore, for medium-high fertility soil, the first priority should consider to take measures for management under straw returning system.
4.2. Production and Environmental Risk under Different Combinations of N, P Synergists
In the preliminary field experiment, the combinations of the nitrification inhibitor DCD, nitrapyrin, and urease inhibitor HQ had the most significant effect on improving the crop yield. The wheat yield treated with separate phosphorus activators increased by 2.46~14.79% and the maize increased by 4.56~15.21% []. In this experiment, the coupling integration of the N, P synergists combined with basal fertilizer had a superimposed effect on the yield of both wheat and maize. The maximum yield of wheat and maize, treated with HQ + DMPP + biochar, was 20.2%, 21.4% higher than the control, and the total straw production of 26.1% was much higher than the control. Moreover, the accumulation of nitrogen and phosphorus in crops also increased by varying degrees accordingly. It was visible that synergists combined with basal fertilizer could effectively biologically remove excessive N and P in high fertility level soil, and consequently reduce the risk of non-point source pollution [,]. Under these experimental conditions, the Nah was relatively stable and did not reach the rich level (150 mg·kg−1). Nonetheless, the Pa under most treatments exceeded the environmental risk concentration (40 mg·kg−1), and the peak even reached 70 mg·kg−1 at the initial stage of fertilization. From the perspective of the vertical profile distribution of the nutrients, the activated Pa was mainly concentrated at the 0~40 cm layer where the crop roots were distributed intensively, and the distribution proportion to 40~60 cm showed a decreasing trend. All of the above indicate that the combinations composed of synergists plus organic components could achieve a triple goal: fertilizing soil fertility, improving the yield quality, and reducing pollution. Regarding the phosphorus management in the soil, it is still necessary to reduce the source input based on the basic fertility and crop nutrient demands.
Furthermore, from the environmental and ecological point of view, hydroquinone is potentially dangerous to ecosystems because it is not easily biodegradable. Therefore, in the future research, some concern should focus the dynamic trace of hydroquinone in the soil and water.
5. Conclusions
(1) The combined application of N, P synergists with basal fertilizer could promote crops to absorb N, P nutrients and increase production. In the premise of the same nutrient input, the wheat yield treated with NBPT + DMPP + CMFs was the highest (increasing 21.0%), and the yield of maize treated with HQ + DMPP + biochar was the highest (increasing 21.4%).
(2) The retention effect of N, P synergists on soil Nah, Pa and was remarkable. The combination of HQ + DMPP + biochar increased the Nah content by 22.62% at the top layer soil. The combination of HQ + DCD + CMFs had a significant effect on the maintenance of Pa, with a maximum increase of 41.3%. The conversion process from to was slowed down by the N, P synergists, and the total accumulation of from 0 to 60 cm decreased 32.1%. The Na in the 0~20 cm and Pa in 0~40 cm layers rose significantly, but the leaching rate decreased in the vertical direction, which reduced the environmental risk from soil nitrogen and phosphorus loss.
(3) In the field wheat/maize rotation system, the N, P synergists combined with basal fertilizer could exert the multiple effects: improving alkaline nitrogen, stabilizing , reducing , and increasing crop production. The N and P taken away by harvesting was also improved accordingly. Therefore, the desired goals of improving fertility, increasing yield, and reducing pollution could be achieved synchronously.
Author Contributions
Conceptualization and methodology, X.C.; software, J.W.; validation and formal analysis, X.C. and L.Z.; investigation and resources, J.W.; data curation, T.C.; writing—original draft preparation, J.W. and X.C.; writing—review and editing, X.C. and Y.D.; visualization, Y.D.; supervision, Y.D.; project administration, Y.Z.; funding acquisition, X.C. All authors have read and agreed to the published version of the manuscript.
Funding
This research was funded by the Natural Science Foundation of Shandong Province (ZR2021MC145) and the Key Research and Development Program of Shandong Province (2021CXGC010801).
Institutional Review Board Statement
Not applicable.
Informed Consent Statement
Not applicable.
Data Availability Statement
Shandong Agricultural University.
Conflicts of Interest
The authors declare no conflict of interest.
References
- Jia, X.; Shao, L.; Liu, P.; Zhao, B.; Gu, L.; Dong, S.; Bing, S.H.; Zhang, J.; Zhao, B. Effect of different nitrogen and irrigation treatments on yield and nitrate leaching of summer maize (Zea mays L.) under lysimeter conditions. Agric. Water Manag. 2014, 137, 92–103. [Google Scholar] [CrossRef]
- Wang, Y.C.; Lu, Y.L. Evaluating the potential health and economic effects of nitrogen fertilizer application in grain production systems of China. J. Clean. Prod. 2020, 264, 121635. [Google Scholar] [CrossRef]
- Ju, X.T.; Xing, G.X.; Chen, X.P. Reducing environmental risk by improving N management in intensive Chinese agricultural systems. Proc. Natl. Acad. Sci. USA 2009, 106, 3041–3046. [Google Scholar] [CrossRef] [PubMed]
- Cui, Z.; Wang, G.; Yue, S.; Wu, L.; Zhang, W.; Zhang, F.; Chen, X. Closing the N-use efficiency gap to achieve food and environmental security. Environ. Sci. Technol. 2014, 48, 5780–5787. [Google Scholar] [CrossRef] [PubMed]
- Huang, S.; Lv, W.; Bloszies, S.; Shi, Q.; Pan, X.; Zeng, Y. Effects of fertilizer management practices on yield-scaled ammonia emissions from croplands in China: A meta-analysis. Field Crops Res. 2016, 192, 118–125. [Google Scholar] [CrossRef]
- Wang, H.; Kobke, S.; Diftert, K. Use of urease and nitrification inhibitors to reduce gaseous nitrogen emissions from fertilizers containing ammonium nitrate and urea. Glob. Ecol. Conserv. 2020, 22, e00933. [Google Scholar] [CrossRef]
- Sun, C.; Chen, L.; Zhai, L.; Liu, H.; Wang, K.; Jiao, C.; Shen, Z. National assessment of nitrogen fertilizers fate and related environmental impacts of multiple pathways in China. J. Clean. Prod. 2020, 277, 123519. [Google Scholar] [CrossRef]
- Ma, L.; Ma, W.Q.; Velthof, G.L.; Wang, F.H.; Qin, W.; Zhang, F.S.; Oenema, O. Modeling nutrient flows in the food chain China. J. Environ. Qual. 2010, 39, 1279–1289. [Google Scholar] [CrossRef] [PubMed]
- Chatterjee, A. Additions of ammonium sulfate and urease inhibitor with urea to improve spring wheat and sugar beet yield. Arch. Agron. Soil Sci. 2018, 64, 1459–1464. [Google Scholar] [CrossRef]
- Wu, D.; Zhao, Z.C.; Han, X.; Meng, F.Q.; Wu, W.L.; Zhou, M.H.; Brueggemann, N.; Bol, R. Potential dual effect of nitrification inhibitor 3,4-dimethylpyrazole phosphate on nitrifier denitrification in the mitigation of peak N2O emission events in North China Plain cropping systems. Soil Biol. Biochem. 2018, 121, 147–153. [Google Scholar] [CrossRef]
- Wu, D.; Zhang, Y.X.; Dong, G.; Du, Z.L.; Wu, W.L.; Chadwick, D.; Bol, R. The importance of ammonia volatilization in estimating the efficacy of nitrification inhibitors to reduce N2O emissions: A global meta-analysis. Environ. Pollut. 2021, 271, 116365. [Google Scholar] [CrossRef] [PubMed]
- Wang, F.; Sims, J.T.; Ma, L.; Ma, W.; Dou, Z.; Zhang, F. The phosphorus footprint of China’s food chain. implications for food security, natural resource management, and environmental quality. J. Environ. Qual. 2011, 40, 1081–1089. [Google Scholar] [CrossRef]
- Yue, Q.; Ledo, A.; Cheng, K.; Albanito, F.; Lebender, U.; Sapkota, T.B.; Brentrup, F.; Stirling, C.M.; Smith, P.; Sun, J.; et al. Re-assessing nitrous oxide emissions from croplands across Mainland China. Agric. Ecosyst. Environ. 2018, 268, 70–78. [Google Scholar] [CrossRef]
- Lan, T.; Huang, Y.X.; Song, X.; Deng, O.P.; Zhou, W.; Luo, L.; Tang, X.Y.; Zeng, J.; Chen, G.D.; Gao, X.S. Biological nitrification inhibitor co-application with urease inhibitor or biochar yield different synergistic interaction effects on NH3 volatilization, N leaching, and N use efficiency in a calcareous soil under rice cropping. Environ. Pollut. 2022, 293, 118499. [Google Scholar] [CrossRef] [PubMed]
- Yan, K.; Yuan, Z.; Goldberg, S.; Gao, W.; Ostermann, A.; Xu, J.; Zhang, F.; Elser, J. Phosphorus mitigation remains critical in water protection: A review and meta-analysis from one of China’s most eutrophicated lakes. Sci. Total Environ. 2019, 689, 1336–1347. [Google Scholar] [CrossRef]
- Lehmann, J.; Rillig, M.C.; Thies, J.; Masiello, C.A.; Hockaday, W.C.; Crowley, D. Biochar effects on soil biota: A review. Soil Biol. Biochem. 2011, 43, 1812–1836. [Google Scholar]
- Nelissen, V.; Rütting, T.; Huygens, D.; Staelens, J.; Ruysschaert, G.; Boeckx, P. Maize biochars accelerate short-term soil nitrogen dynamics in a loamy sand soil. Soil Biol. Biochem. 2012, 55, 20–27. [Google Scholar] [CrossRef]
- Silva, A.G.; Sequeira, C.H.; Sermarini, R.A.; Otto, R. Urease inhibitor NBPT on ammonia volatilization and crop productivity: A meta-analysis. Agron. J. 2017, 109, 1–13. [Google Scholar] [CrossRef]
- Sun, H.J.; Lu, H.Y.; Chu, L.; Shao, H.B.; Shi, W.M. Biochar applied with appropriate rates can reduce N leaching, keep N retention and not increase NH3 volatilization in a coastal saline soil. Sci. Total Environ. 2017, 575, 820–825. [Google Scholar] [CrossRef] [PubMed]
- Li, J.; Wang, S.; Luo, J.F.; Zhang, L.L.; Wu, Z.J.; Stuart, L. Effects of biochar and 3,4-dimethylpyrazole phosphate (DMPP) on soil ammonia-oxidizing bacteria and nosZ-N2O reducers in the mitigation of N2O emissions from paddy soils. J. Soils Sediments 2021, 21, 1089–1098. [Google Scholar] [CrossRef]
- Ding, Y.; Liu, Y.; Liu, S.; Huang, X.; Li, Z.; Tan, X.; Zeng, G.; Zhou, L. Potential benefits of biochar in agricultural soils: A review. Pedosphere 2017, 27, 645–661. [Google Scholar] [CrossRef]
- Peng, J.; Han, X.; Li, N.; Chen, K.; Yang, J.; Zhan, X.; Luo, P.; Liu, N. Combined application of biochar with fertilizer promotes nitrogen uptake in maize by increasing nitrogen retention in soil. Biochar 2021, 3, 367–379. [Google Scholar] [CrossRef]
- Sun, H.; Zhang, Y.; Yang, Y.; Chen, Y.; Jeyakumar, P.; Shao, Q.; Zhou, Y.; Ma, M.; Zhu, R.; Qian, Q.; et al. Effect of biofertilizer and wheat straw biochar application on nitrous oxide emission and ammonia volatilization from paddy soil. Environ. Pollut. 2021, 275, 116640. [Google Scholar] [CrossRef] [PubMed]
- Coelho, M.A.; Fusconi, R.; Pinheiro, L.; Ramos, I.C.; Ferreira, A.S. The combination of compost or biochar with urea and NBPT can improve nitrogen-use efficiency in maize. An. Acad. Bras. Cienc. 2018, 90, 1695–1703. [Google Scholar] [CrossRef] [PubMed]
- Chen, H.; Yin, C.; Fan, X.; Ye, M.; Peng, H.; Li, T.; Zhao, Y.; Wakelin, S.A.; Chu, G.; Liang, Y. Reduction of N2O emission by biochar and/or 3,4-dimethylpyrazole phosphate (DMPP) is closely linked to soil ammonia oxidizing bacteria and nosZI-N2O reducer populations. Sci. Total Environ. 2019, 694, 133658. [Google Scholar] [CrossRef] [PubMed]
- Yao, Y.L.; Zeng, K.; Song, Y.Z. Biological nitrification inhibitor for reducing N2O and NH3 emissions simultaneously under root zone fertilization in a Chinese rice field. Environ. Pollut. 2020, 264, 114821. [Google Scholar] [CrossRef]
- Yu, L.; Homyak, P.M.; Kang, X.X.; Brookes, P.C.; Ye, Y.K.; Lin, Y.N.; Muhammad, A.; Xu, J.M. Changes in abundance and composition of nitrifying communities in barley (Hordeum vulgare L.) rhizosphere and bulk soils over the growth period following combined biochar and urea amendment. Biol. Fertil. Soils 2020, 56, 169–183. [Google Scholar] [CrossRef]
- Wang, X.; Bai, J.; Xie, T.; Wang, W.; Zhang, G.; Yin, S.; Wang, D.; Yan, B. Effects of biological nitrification inhibitors on nitrogen use efficiency and greenhouse gas emissions in agricultural soils: A review. Ecotoxicol. Environ. Saf. 2021, 220, 112338. [Google Scholar] [CrossRef]
- Bao, S.D. Soil Agrochemical Analysis; Version 3; China Agricultural Press: Beijing, China, 2000; pp. 225–239. [Google Scholar]
- He, M.; Xin, X.; Meng, L. Long-term appropriate N management can continuously enhance gross N mineralization rates and crop yields in a maize-wheat rotation system. Biol Fertil Soils 2021. [Google Scholar] [CrossRef]
- Peng, Y.; Duan, Y.S.; Huo, W.G.; Xu, M.G.; Yang, X.Y.; Wang, X.H.; Wang, B.; Blackwell, M.S.A.; Feng, G. Correction to: Soil microbial biomass phosphorus can serve as an index to reflect soil phosphorus fertility. Biol Fertil Soils 2021, 57, 671. [Google Scholar] [CrossRef]
- Zhou, Z.F.; Zhang, Z.Y.; Wang, M.X.; Liu, Y.M.; Dai, J.S. Effect of the nitrification inhibitor (3,4-dimethylpyrazole phosphate) on the activities and abundances of ammonia-oxidizers and denitrifiers in a phenanthrene polluted and waterlogged soil. Ecotoxicol. Environ. Saf. 2018, 161, 474–481. [Google Scholar] [CrossRef] [PubMed]
- Wei, Z.M.; Zuo, H.D.; Li, J.; Ding, G.C.; Zhan, Y.B.; Zhang, L.; Wu, W.L.; Su, L.H.; Wei, Y.Q. Insight into the mechanisms of insoluble phosphate transformation driven by the interactions of compound microbes during composting. Environ. Sci. Pollut. Res. 2021, 28, 32844–32855. [Google Scholar] [CrossRef] [PubMed]
- Cabeza, R.A.; Steingrobe, B.; Claassen, N. Phosphorus fractionation in soils fertilized with recycled phosphorus products. J. Soil Sci. Plant Nutr. 2019, 19, 611–619. [Google Scholar] [CrossRef]
- Cui, X.M.; Wang, J.Q.; Wang, J.H.; Li, Y.; Lou, Y.H.; Zhuge, Y.P.; Dong, Y.X. Soil available nitrogen and yield effect under different combinations of urease/nitrate inhibitor in wheat/maize rotation system. Agronomy 2022, 12, 1888. [Google Scholar] [CrossRef]
- Chai, Y.N.; Schachtman, D.P. Root exudates impact plant performance under abiotic stress. Trends Plant Sci. 2022, 27, 80–91. [Google Scholar] [CrossRef]
- Huang, J.; Xu, C.; Ridoutt, B.G.; Wang, X.; Ren, P. Nitrogen and phosphorus losses and eutrophication potential associated with fertilizer application to cropland in China. J. Clean. Prod. 2017, 159, 171–179. [Google Scholar] [CrossRef]
Publisher’s Note: MDPI stays neutral with regard to jurisdictional claims in published maps and institutional affiliations. |
© 2022 by the authors. Licensee MDPI, Basel, Switzerland. This article is an open access article distributed under the terms and conditions of the Creative Commons Attribution (CC BY) license (https://creativecommons.org/licenses/by/4.0/).