Next Article in Journal
Coupling Relationship and Influencing Factors of the Water–Energy–Cotton System in Tarim River Basin
Next Article in Special Issue
Melatonin Pretreatment Alleviated Inhibitory Effects of Drought Stress by Enhancing Anti-Oxidant Activities and Accumulation of Higher Proline and Plant Pigments and Improving Maize Productivity
Previous Article in Journal
Reducing and Delaying Nitrogen Recommended by Leaf Critical SPAD Value Was More Suitable for Nitrogen Utilization of Spring Wheat under a New Type of Drip-Irrigated System
Previous Article in Special Issue
Effect of the Altitude Gradient on the Physiological Performance of Quinoa in the Central Region of Colombia
 
 
Font Type:
Arial Georgia Verdana
Font Size:
Aa Aa Aa
Line Spacing:
Column Width:
Background:
Article

Enhancement of Clover (Trifolium alexandrinum L.) Shade Tolerance and Nitrogen Fixation under Dense Stands-Based Cropping Systems

1
Laboratory of Legumes and Sustainable Agrosystems, Centre of Biotechnology of Borj-Cedria (CBBC), BP 901, Hammam-Lif 2050, Tunisia
2
Faculté des Sciences de Tunis, Université de Tunis El Manar, Tunis 2092, Tunisia
3
Agronomic Sciences and Techniques Laboratory (LR16 INRAT 05), National Institute of Agricultural Research of Tunisia (INRAT), Carthage University, Ariana 2049, Tunisia
4
National Institute of Field Crops, Boussalem 8170, Tunisia
5
Agronomic Sciences and Techniques Laboratory (LR16 INRAT 05), National Research Institute of Rural Engineering, Water and Forests (INRGREF), Carthage University, Ariana 2049, Tunisia
*
Author to whom correspondence should be addressed.
Agronomy 2022, 12(10), 2332; https://doi.org/10.3390/agronomy12102332
Submission received: 3 August 2022 / Revised: 14 September 2022 / Accepted: 15 September 2022 / Published: 28 September 2022

Abstract

Improving legumes crops’ performance under dense stands shade environment (e.g., intercropped oats–clover) is needed to promote agroecological practices. Previous studies have revealed that ethylene produced by plants under dense standing conditions is among other factors that affect crops’ growth performance and reduce legumes’ ability to fix nitrogen (N). Here, we identified a Pseudomonas thivervalensis strain T124 as a high ACC deaminase-producing bacterium and evaluated its potential ability to alleviate the effects of reduced light (RL) and exogenous ethylene applied as ACC (ethylene precursor) on clover growth and development under controlled conditions and field conditions at dense stands of clover and oats intercrops. RL decreases clover root and shoots biomass, whereas the T124 strain counteracted RL effects, enhancing clover tolerance to shade. Exogenous ACC reduced clover growth and chlorophyll content while inducing overaccumulation of reactive oxygen species (H2O2 and O2•−). ACC-elicited cellular stress was suppressed by strain T124, suggesting the role of bacterial ACC deaminase activity. Combined with Rhizobium leguminosarum strain T618 (the strain identified as being able to fix N in symbiosis with clover), T124 prevents early nodule senescence by improving nodule leghemoglobin and reducing nodule nitric oxide levels. Co-inoculation with T124 + T618 increased shoot N content (+24%) more than T618 alone. Field experiments revealed that intercropping decreases Photosynthetic Active Radiation (PAR) at the top of clover due to oats, affecting clover photosynthesis assimilation. Interestingly, under T124 inoculation treatments, clover net photosynthetic rate (Anet) and stomatal conductance (Gs) were found to improve relative to the control and T618 inoculation treatments. Clover exhibits improved growth performance in terms of branching and nodulation after T124 inoculation. Most significant improvements occurred with the mixing of the two strains. Data suggest that co-inoculation with R. leguminosarum T618 and P. thivervalensis T124 potentially decreases the interspecific competition between clover and oats intercrops by reducing ACC (ethylene precursor) levels. Our study revealed that co-inoculation of legumes with competitive rhizobia and ACC deaminase-producing PGPRs is an eco-friendly approach to improving intercropping systems’ performance.

Graphical Abstract

1. Introduction

Cereals–legumes intercropping constitutes a sustainable agricultural practice to improve yields and quality for forage production (e.g., oats–clover) [1,2]. Meanwhile, a decline has frequently been observed in legume biomass and the forage crude protein concentration in intercrops relative to pure stands [3,4,5]. Despite the positive interspecific interactions between cereals and legumes intercrops regarding complementarity (e.g., for nitrogen) [6] and facilitation (e.g., for phosphorous) [7], interspecific competition mainly for sunlight remains a significant constraint [8].
Usually, cereals shade the forage legumes when intercropped, which affects the light environment of the legumes [3,5]. Reduced light—shade—substantially modifies the plant’s agronomic characteristics and inhibits metabolic processes, including photosynthesis and antioxidant capacity [9]. In such a crowded environment, prolonged shade exposure elicits a group of growth responses in shade-intolerant plants collectively termed the Shade Avoidance Syndrome (SAS) [10]. SAS responses consist of a range of morphological adjustments at the expense of leaf and storage organ expansion to avoid shade, including reduced branching, accelerated flowering time, and reduced growth cycle [10,11,12]. However, as reported in several studies, legumes fail to avoid shading from cereals throughout the growing cycle [13,14]. Therefore, legumes shade avoidance responses may not be adaptive since the severe growth investment in shade responses at the expense of other organs does not yield a benefit, where storage organs constitute the forage yield [15]. Thus, such an adaptive evolutionary strategy might be disadvantageous under high-density cereal–legume intercrops intended for forage production.
Both light and plant hormones, including ethylene, are involved in SAS-related response regulation. Although molecular mechanisms remain relatively unclear, there is strong evidence that ethylene plays a key role in SAS response induction [10,16,17]. Several studies have indicated the accumulation of ethylene in dense stands such as cereal–legumes intercrops [18,19]. Furthermore, ethylene emission has been demonstrated to increase significantly under low R:FR light resulting in a high seedling elongation [20,21]. High concentrations of ethylene, an intense neighbor-sensing cue, might significantly affect plant physiology and growth, notably through SAS response induction. Moreover, ethylene acts as a potent inhibitor of nitrogen-fixing root nodules [22]. Therefore, legumes intercropped with cereals face low PAR occurrence in addition to high ethylene accumulation, impairing their growth performance and their ability to fix nitrogen.
Several factors seem to have been assessed carefully and managed to achieve better benefits from crop mixtures for forage production and reduce competition mainly for sunlight, such as seeding ratio [23] and fertilization regime [24]. In this way, recent studies have proposed the defoliation of cereal leaves [25], while others have focused on the hormonal regulations and molecular mechanisms underlying SAS alleviation [17,26,27]. This latter approach aims to reduce the shade avoidance responses toward more efficient photosynthesis under low photosynthetic active radiation (PAR). In plants, 1-aminocyclopropane-1-carboxylase (ACC) is the direct precursor of the ethylene hormone [28]. Some plant growth-promoting bacteria (PGPR) feature the ACC deaminase enzyme, which degrades the ACC to ammonia and α-ketobutyrate [29], thereby reducing the level of ethylene in plants [30]. In this context, in the present study, we speculate that inoculation with high ACC deaminase-producing bacteria could alleviate SAS responses by decreasing ethylene levels and thus direct energy and resources to other pathways, mainly growth performance and nitrogen fixation. Several studies suggest that inoculation with ACC deaminase-producing bacteria alleviates the ethylene production induced by abiotic stress and makes plants more resistant to various stresses, including drought [31], salinity [32], and flooding [33]. However, to our knowledge, no study has investigated the potential of ACC deaminase-producing bacteria to alleviate legumes shade effects and enhance growth performance under low PAR. In this context, the present study aimed to (i) investigate the ability of ACC deaminase-producing bacteria to mitigate the effects of ethylene applied as exogenous ACC (ethylene precursor) on clover growth and nitrogen fixation under reduced light; (ii) assess, under field conditions, the potential enhancement of clover shade tolerance traits, including photosynthesis and nitrogen fixation, through ACC deaminase-producing bacteria under dense stand oat–clover intercrops; (iii) evaluate the yield and forage quality value of an oat–clover intercropping system inoculated with ACC deaminase-producing bacteria.

2. Materials and Methods

2.1. Bacterial Strains

Two bacterial strains, Pseudomonas thivervalensis strain T124, and Rhizobium leguminosarum strain T618, were used for the present investigation. Both strains were selected following a prospection and identification process based on the ACC deaminase activity and the ability to fix N in symbiosis with clover. Briefly, the acdS gene coding for ACC deaminase was checked by PCR amplification using forward (5′-GGCAAGGTCGACATCTATGC-3′) and reverse (5′-GGCTTGCCATTCAGCTATG-3′) primers [34]. The nifH and nodC symbiotic genes were checked by PCR amplification using nifHF–nifHI and nodCF–nodCI primers, respectively [35]. Quantitative assessment of ACC deaminase activity, N-Fixing efficiency, and other plant growth-promoting traits was performed through the standard protocols as described by [36,37]. Taxonomic identification of 16S rRNA sequences was achieved through the BlastN software from the National Center for Biotechnology Information, (NCBI, Bethesda, MD, USA). Sequences were deposited in the GenBank database (www.ncbi.nlm.nih.gov/Genbank (accessed on 17 December 2020)). The NCBI accession numbers for these sequences are MW375693 (Rhizobium leguminosarum strain T618) and MW375690 (Pseudomonas thivervalensis strain T124). All the strain features are given in Table 1.

2.2. Controlled Conditions Experiments

2.2.1. Experimental Design

Two experiments were conducted. The first (Exp-1) was conducted to evaluate the effect of inoculation with strain T124 on clover growth subjected to exogenous ACC application under normal and reduced light conditions. Clover (Trifolium alexandrinum L.; Masri Baladi variety) seeds were cleaned with ethanol (75%) and 0.1% HgCl2 for 2 min, washed three times with sterile distilled water, and then germinated for 48 h in the dark at 25 °C. Clover seedlings were then planted in 300 mL pots filled with sterile sand and irrigated with a sterilized complete nutrient solution [38]. First, all the pots were placed in a plant growth chamber adjusted at 600 µmol m−2 s−1 PAR. Following 5 DAS, one-half of these pots were transferred into a plant growth chamber at 100 µmol m−2 s−1 PAR. For each light growth condition, four treatments were applied, namely, C: Control; P: Inoculated with strain T124; ACC: Nutrient solution supplemented with ACC; P-ACC: Inoculated with strain T124 and nutrient solution supplemented with ACC. The second experiment (Exp-2) consisted in evaluating the effect of the inoculation with strain T124 on clover seedlings inoculated with an efficient N-fixing bacteria. The experimental design was the same as Exp-1, except that the nutrient solution was exempt from the N source, and all clover seedlings were inoculated with the effective rhizobium strain T618.
ACC was added to the nutrient solution as 40 µM ACC (Sigma-Aldrich, St. Louis, MO, USA) and applied after the plants had developed up to five leaves (15 DAS). The effective ACC concentration [concentration that significantly affects clover plant growth] was determined based on separate tests.
Bacterial inoculants (R and P) were prepared by growing the strains (T618 and T124) to the exponential phase in the Yeast Extract Mannitol medium [39], and the bacterial suspensions were adjusted to 108 CFU mL−1 using the CyFlow® Cube 6 equipment (Sysmex, Norderstedt, Germany). One ml of fresh bacterial inoculants was applied to the adjacent area of the plants.
The pots were placed in a growth chamber regulated at 60/70% day/night relative humidity, 16:8 light–dark photoperiod, and at 25 °C. The plants were subjected to either a reduced or normal light intensity treatment, including 100 μmol m−2 s−1 (RL) or 600 μmol m−2 s−1 (NL) for 30 days.

2.2.2. Measurements

Measurement parameters were determined at 35 DAS. The individual plant within each treatment was used to form one sample (n = 4). Shoot and root dry weight (DW) as well as the nodule number and fresh weight per plant were recorded.
The content of chlorophyll (Chl) a and Chl b was determined using the spectrophotometric method [40]. Fresh leaves (100 mg) were used to extract chlorophyll using 95% ethanol. Total Chl was calculated as the sum of Chl a and Chl b.
Superoxide anion (O2•−) levels were measured using the procedure reported by [41]. Fresh samples were homogenized with phosphate saline buffer (PBS, 65 mM, pH 7.8). After centrifugation at 5000× g for 10 min, a sample of the supernatant was added to the following mixture: buffer (65 mM PBS), 10 mM hydroxylammonium chloride, 1% (w/v) sulfanilamide, and 0.02% (w/v) N-(1-naphthyl)-ethylenediamine-dihydrochloride. After incubation for 30 min, the absorbance was measured at 540 nm.
Hydrogen peroxide (H2O2) levels were determined at 520 nm as described by [42]. Freshly harvested samples were homogenized in TCA (0.1%) and then centrifuged at 12,000× g for 15 min at 4 °C. The supernatant was added to 1 mL potassium iodide (KI, 1 M) prepared in phosphate buffer (10 mM, pH 7).
To quantify nitric oxide (NO) generation, excised nodules were powdered with 50 mM cold acetic acid buffer (pH 3.6; consisting of 4% zinc diacetate) and then centrifuged at 10,000× g for 15 min at 4 °C. An amount of 0.1 g of charcoal was added to the supernatant and extraction buffer which were vortexed and filtered. An amount of 1 mL of Greiss reagent (1 mL of sulfanilamide (1%, w/v) and 1 mL of N-(1-naphthyl)-ethylenediamine dihydrochloride (0.02%, w/v) were added for 1 h and then the absorbance assays were performed at 540 nm [43].
Leghemoglobin (Lb) was determined as described by [44]. Fresh nodules (100 mg) were homogenized in 2 mL of Drabkin’s solution [45]. Extraction was performed three times [46]. The homogenate samples were centrifuged at 15,000× g and 4 °C for 30 min. The supernatant was used for leghemoglobin determination, by reading the absorbance at 540 nm. Lb content was expressed as [mg Lb (g NFW)−1].

2.3. Field Experiments

2.3.1. Site Description

The field experiment was conducted for two seasons, 2017 and 2018, at two locations in the northwest of Tunisia: Beja El Gnadil (BEG) and Jendouba Bou-Salim (JBS). The BEG site (36°7258′ N, 9°3043′ E) features a subhumid climate and fine loamy soil texture. The JBS site (36°3156′ N, 9°5715′ E) features a humid climate and sandy-clay soil texture. Monthly precipitation and minimum and maximum temperatures during each growing season are shown in the Supplementary Materials, Figure S1. The total rainfall at BEG was 646 mm and 595 mm in 2016–2017 and 2017–2018, respectively, while at JBS, it was 466 mm and 449 mm in 2016–2017 and 2017–2018, respectively (Figure S1). Soil physicochemical properties at both sites before starting the experiment are shown in the Supplementary Materials, Table S1.

2.3.2. Experimental Design and Management

The experiment was done to study the effects of two strains (T124 and T618), in mono and co-inoculation, on oat and clover intercrops. There were four treatments, including un-inoculated control ®, inoculated with T124 strain (P), inoculated with T618 stra®(R), and co-inoculated with T618 and T124 strains (P + R). Treatments were arranged in a randomized complete block design with four replicates. The area of each plot was 35 m2 (5 m × 7 m). The intercropped oat and clover were row-alternated, where the inter-row distance was 12 cm. The sowing densities were 180 seed m−2 for oat and 200 seed m−2 for clover.
Preliminary field management was done to build a suitable land base before sowing. A false seedbed was adopted for better weed control. Sowing was performed in November using a conventional seed drill at a depth of 4 cm. Weeds were hand-controlled periodically and when required. Individual strains inoculants were prepared as described above. At the two-leaf stage, seedlings were inoculated by manually applying inoculant diluted with well water (1/10) along the clover seedling line.

2.3.3. Measurements

Photosynthetically active radiation (PAR), net photosynthetic rate (Anet), and stomatal conductance (Gs) were measured on a sunny day at 60, 90, and 120 DAS at both sites during the 2017 crop season. PAR measurements were carried out by placing the PAR sensor horizontally at the top of each intercropped oat and clover using a Skye PAR meter (Powys, UK). Readings were taken from 10:30 a.m. to 2:00 p.m., six times for each plot. Anet and Gs were measured in young fully developed clover leaves (second or third leaf) in three plants per plot, between 10:00 and 13:00 h using a portable photosynthesis system (LCi, ADC BioScientific Ltd., Hertfordshire, UK) with a 6 cm2 leaf chamber. Readings were taken when values remained as constant as possible, i.e., at the steady-state (±2 min). The chamber was open most of the time, exposing the interior to the ambient conditions.
Intercrops were harvested at 150 DAS. Before harvest, plant heights, leaf SPAD values, clover shoot branching, and nodule numbers were recorded. Oat and clover plant heights were measured from the soil surface where plants stayed intact, with four measurements in each of the three middle rows. Leaf SPAD values were measured using a Minolta SPAD 502 chlorophyll meter at the topmost fully developed leaf of oat and clover. SPAD measurements were made on four randomly selected plants in each of the three middle rows. The branching of clover plants was determined by counting the number of branches in 12 plants in each plot and averaging them. After harvest, the nodulation status of the clover was visually checked by gently uprooting 12 plants’ roots in each plot. The number of nodules per plant then was recorded.
Dry weight production of clover and oats was determined by cutting a 1.5 m2 area in each plot. All the plants were cut at about 5 cm from the ground. Then, after sorting and drying for 72 h at 75 °C, the dry weight of clover and oats was obtained. Total forage dry weight was determined as the sum of the clover and oat dry weight in each plot. Shoot nitrogen [47] and phosphorus [48] contents were determined.

2.4. Statistical Analysis

Statistical analyses were performed using SPSS version 22.(Armonk, NY, USA). All studied parameters were tested using a one-way ANOVA. When the ANOVA indicated significant effects, Tukey’s HSD test was used to determine significant differences between the means of the treatments.

3. Results

3.1. Effect of Exogenous ACC and P. thivervalensis Strain T124 on Clover Growth under Normal and Reduced Light Conditions

Colonization of clover roots by the strain P. thivervalensis T124 at 35 DAS reflects that the strain was effectively sustained on clover roots with 6–10 CFU 106 g−1 of root tissue (Supplementary Figure S2).
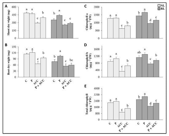
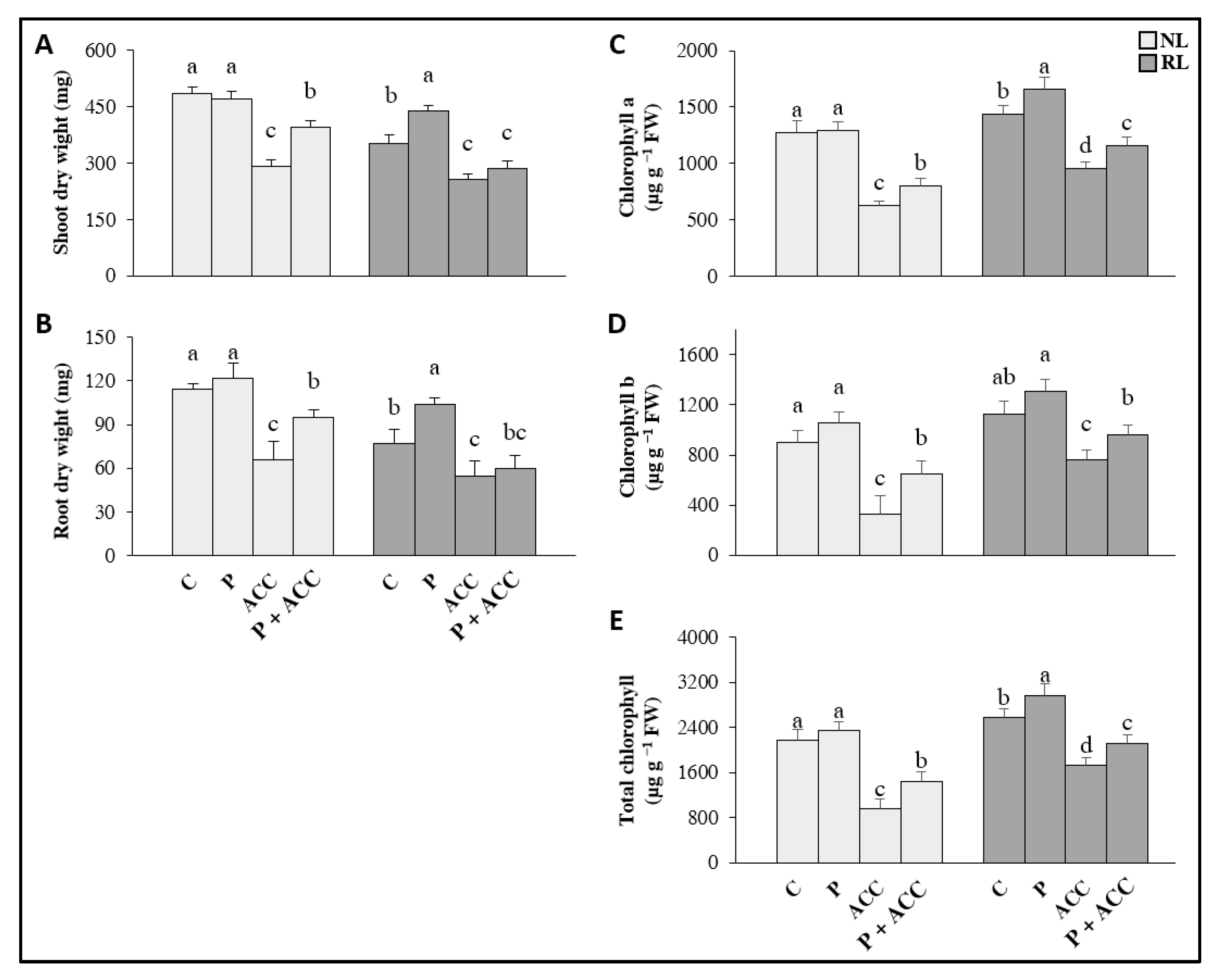
As compared to normal light (NL), reduced light (RL) resulted in a marked reduction in shoot and clover root dry weight of 27 and 32%, respectively, in control treatments (C) (Figure 1A,B).
Particularly under RL, root and shoot dry weights were significantly improved in the P treatment, inoculated with P. thivervalensis T124, by 25 and 35%, respectively, as compared to the control treatment (C). Exogenous ACC reduces clover root and shoot dry weight markedly in both light conditions as compared to controls (Figure 1A,B). In addition, the P inoculation appeared to mitigate the effects of exogenous ACC, but only in the NL condition. Indeed, the root and shoot dry weights were 35 and 44% higher in P + ACC than that in ACC treatment under NL (Figure 1A,B).
Shoot and root Reactive Oxygen Species (ROS) including O2•− and H2O2 at 35 DAS are given in Figure 2. A similar profile was noted in both light conditions, whereas higher levels were observed in RL than in NL (about 37% for O2•− and 21% for H2O2) (Figure 2A,B). ROS levels were boosted under the ACC treatment compared with the control C (up to +156% for O2•− and +74% for H2O2). P + ACC showed significantly lower levels of ROS than the ACC but still higher than the control. Compared to ACC, decrease rates under P + ACC ranged between 16 to 31% for O2•− and between 17 to 24% for H2O2 (Figure 2A,B).

3.2. Potentialities of P. thivervalensis Inoculation for the Improvement of Clover Nodulation Status and N-Fixing

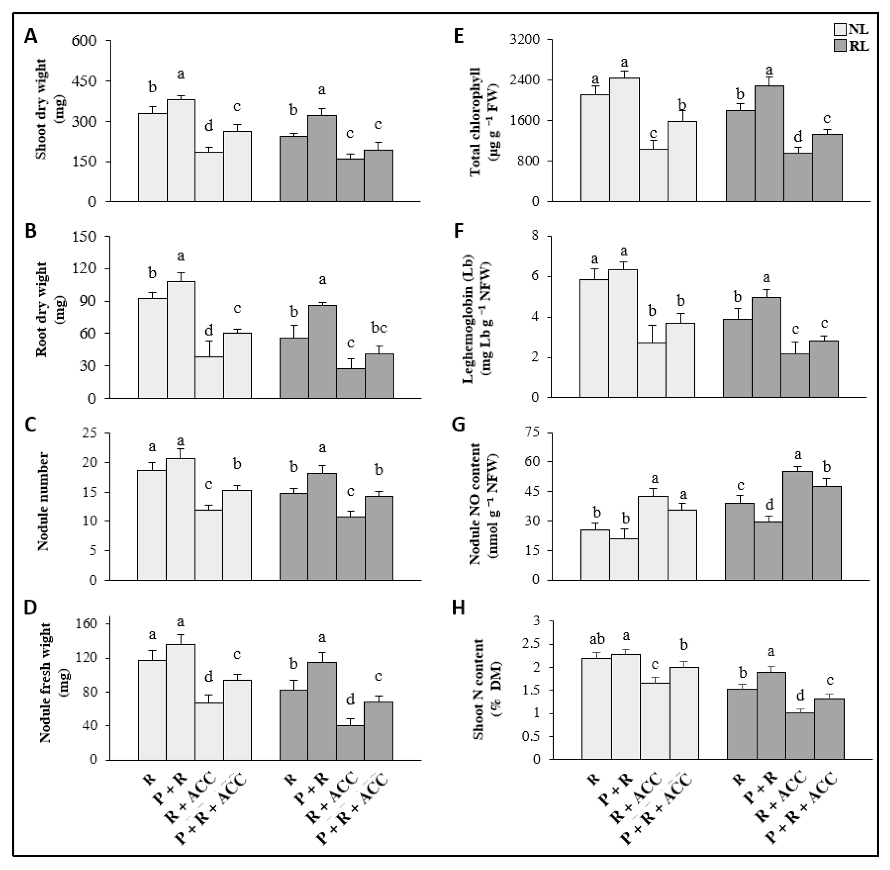
The N-free experiment (Exp-2) using R. leguminosarum T618 inoculation revealed that light had a significant effect on the root and shoot dry weight of clover (35 DAS) (Figure 3A,B). Overall, the dry weight was lower in RL than in NL (approximately −20% for the shoot and −29% for the root). Under both light conditions, co-inoculation with R. leguminosarum T618 and P. thivervalensis T124 (P + R) increased clover dry weight compared to R. leguminosarum T618 alone (R). Interestingly, as compared to R inoculation alone, co-inoculation P + R improved clover nodulation status under RL. The increase rates were 32, 54, 31, and 45%, respectively, for the shoot dry weight, root dry weight, nodulation number, and weight (Figure 3A–D). Exogenous ACC negatively affected clover dry weight, as in Exp-1, and nodulation status (Figure 1A,B and Figure 3A–D). Clover dry weight and nodulation status were significantly improved under P + R + ACC compared to R + ACC under the NL condition. However, under the RL condition, only the nodule number and weight were improved in P + R + ACC compared to P + R (Figure 3A–D).
In contrast to the Exp-1, overall total chlorophyll concentration decreased under RL compared to NL. This negative effect was reversed by inoculation with P. thivervalensis, where Chlt was higher by 27% in treatment P compared to the control under RL (Figure 3E). Furthermore, exogenous ACC adversely affects Chlt, and P. thivervalensis reduces this impact (Figure 3E).
The nodule Lb content was drastically affected under RL compared to NL (about −25). Under both light conditions, Lb was the highest under treatment P + R. Particularly under RL, the nodule Lb was 27% higher under P + R relative to R. The lowest nodule Lb was shown under the ACC + R treatment (Figure 3F).
Reduced light seems to increase nodule NO content (about +37%) (Figure 3G). Under both light conditions, nodule NO content was the highest under P + R + ACC and the lowest under P + R treatment. Notably, under RL, the occurrence of P. thivervalensis led to significantly strengthened nodule NO under P + R compared to R (−25%) and under P + R + ACC compared to R + ACC (−14%) (Figure 3G).
Shoot N content was reduced by 30% under RL compared to NL for the R treatment (Figure 3H). Interestingly, under RL, co-inoculation under P + R treatment showed significantly higher N content compared with R mono-inoculation, by 24%. Under either light condition, the lowest N content was found under the R + ACC treatment. Inoculation with P, i.e., P + R + ACC showed an increase in N content compared to R + ACC (Figure 3H).

3.3. Assessment of T124 and T618 Strains Inoculation Effects on Clover–Oat Intercrops under Field Conditions

3.3.1. Photosynthetic Active Radiation (PAR) and Photosynthesis Assimilation

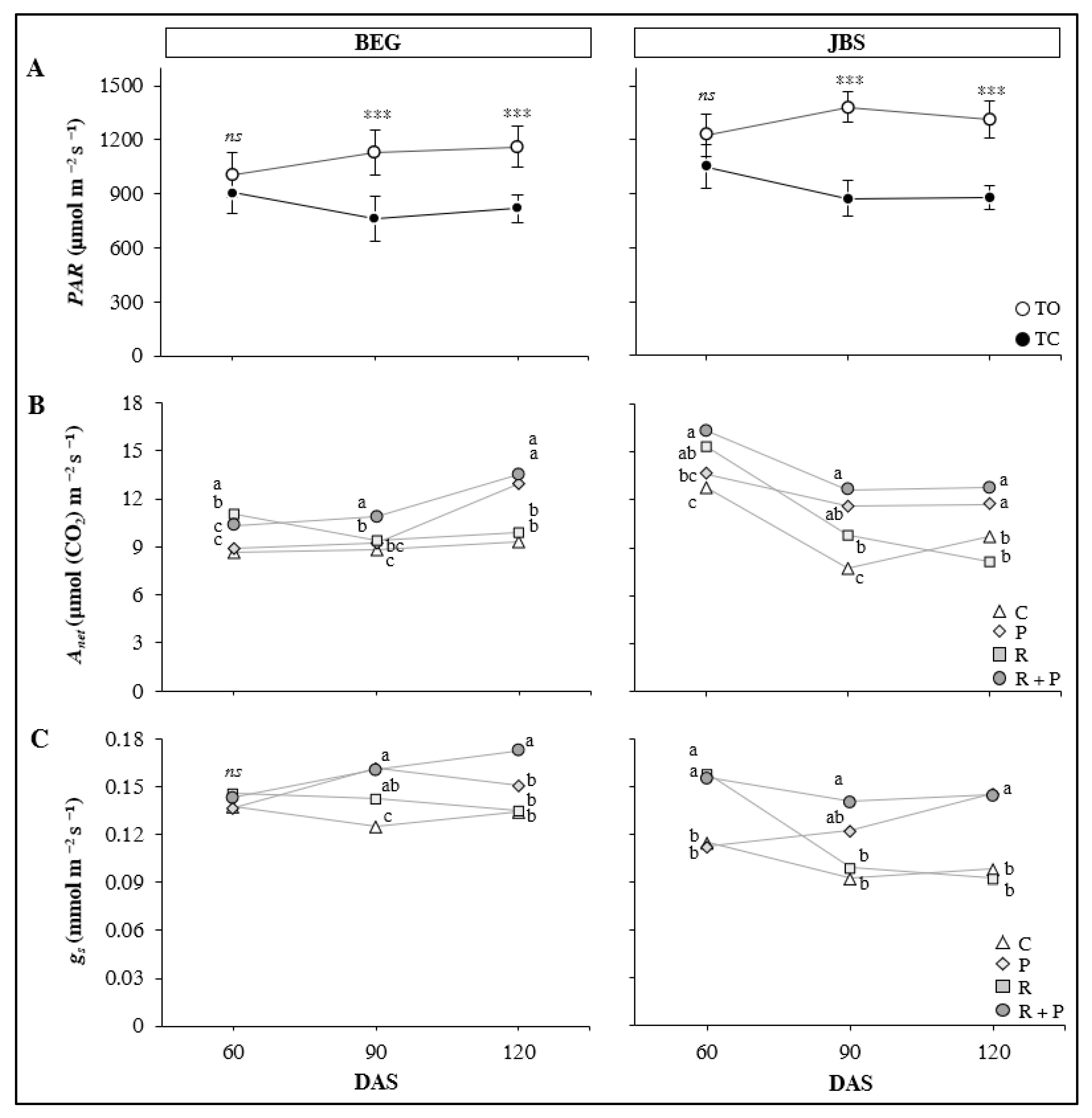
Photosynthetically active radiation (PAR), net photosynthetic rate (Anet), and stomatal conductance (Gs) were measured at 60, 90, and 120 DAS in the 2017 season (Figure 4). There were no significant differences between inoculation treatments for measured PAR (data not shown). PAR data were presented based on plant height, i.e., the top of oat leaves (TO) and the top of clover leaves (TC) (Figure 4A). At 60 DAS, PAR was similar at TO and TC. However, at 90 and 120 DAS, a significantly lower PAR at the TC compared to TO was observed (Figure 4A). PAR reduction rates in TC, i.e., shade effect of oats on clover, ranged from 29 to 39%. While PAR availability for clover was not affected, Anet and gs varied according to the inoculation treatment (Figure 4B,C). Moreover, inoculation effects depend on the DAS growth status. Indeed, at 60 DAS, inoculation with R. leguminosarum (R) showed a 28% higher Anet at BEG and 20% higher at JBS, relative to the control C. However, this effect decreased as the growth status advanced. Anet appeared similar to control at 120 DAS. Inversely, for P. thivervalensis inoculation (P), the impact on Anet seems to increase in magnitude as the growth status advances, and it becomes evident at 120 DAS. P showed a 39% higher Anet at BEG and 21% at JBS, relative to C at 120 DAS. Similar trends were found for gs, although there were no significant differences at 60 DAS at BEG. Compared to C, gs was 29% and 12% higher at BEG, and 32% and 48% at JBS, respectively, at 60 and 120 DAS. Interestingly, this effect of P. thivervalensis occurred under a significant PAR decrease. In keeping with this, P + R co-inoculation showed sustained and highest Anet and gs values at all three DAS measurements (Figure 4).

3.3.2. Crops Status at Forage Cut (150 DAS)

The plant height and leaf SPAD values at 150 DAS (i.e., the start of flowering), of intercrops of clover and oats are shown in Table 2. There is no significant effect of the inoculation treatment on the height of either intercrop. Oats exceed clover (about 45%). There was a highly significant effect of inoculation treatment on clover leaves’ SPAD values (p < 0.001), and a marginal effect on oat leaves’ SPAD values (p < 0.05). For clover, compared with C, P showed significantly higher SPAD values. This was even more notable under P + R, which showed the highest SPAD values. However, the SPAD values under R were similar to the control, except being significantly higher at JBS for 2017. Surprisingly, for oats, R showed the highest SPAD values (Table 2), although compared to C, the effect was not significant for 2018.
In terms of clover branching and nodulation, the results reflect an effect of inoculation treatment (Table 2). For branching, although not proved statically (p > 0.05), the highest mean values were observed under treatment P + R, followed by P, R, and C. In addition, the coefficient of variation (% CV) on branching values was lowest under treatments P + R and P, indicating more homogeneous clover growth. The nodulation status showed similar trends (Table 2). Indeed, the highest mean values were observed under treatment P + R, accordingly with the lowest % CV. Especially at JBS, R. leguminosarum significantly improves nodulation compared to C.

3.3.3. Forage Yield

Bacterial inoculation markedly influenced the intercropped clover biomass yield at both sites for both seasons (Figure 5A).
Individual P and R inoculation revealed that P resulted in a significant increase in clover biomass yield compared to the control while the effect of R was site-dependent. Clover biomass yield increase rates under treatment P ranged from 13 to 21% compared to C. However, it was only at JBS that R provided a significant increase of 15 and 8% in biomass yield for 2017 and 2018, respectively, compared to the control (Figure 5A). In addition, the P + R co-inoculation showed the highest clover biomass yield, increased significantly by 24 to 34% over C. Overall, according to treatment averaged by season, the clover biomass yield varied between 83.9 (C) and 106 (P + R) g DW m−2 and between 101.8 (C) and 136.4 (P + R) g DW m−2 at BEG and JBS sites, respectively (Figure 5A).
On the other hand, at BEG, there was no effect of the inoculation treatment on intercropped oat biomass yield. Averaged for both seasons, biomass yield ranged between 279.6 (C) and 292.6 (R) g DW m−2 (Figure 5A). However, at JBS, the inoculation treatment effect on the biomass yield of oats was found to be significant (p < 0.05). Particularly for 2017 (p < 0.01), the biomass yield was significantly lower, by 4%, under P compared to R treatment (Figure 5A).
The total forage biomass yield of the clover–oat intercropping system, i.e., the sum of both crops’ biomass yield (150 DAS), was significantly affected by the inoculation treatment (p < 0.05). The overall effect was that treatment P + R improved the clover–oat forage biomass yield by ca. 6% compared to the control (Figure 5A).
Notably, the forage formulation of the clover–oat intercrops, i.e., the proportion between the two crops as forage, was shown responsive to the inoculation treatment (Figure 5B). Under the control treatment, the clover/oats fractions in the forage were 23/77 at BEG and 19/81 at JBS. However, under treatments P and P + R, an increase in clover fraction was observed. Clover/oats fractions were 27/73 at BEG and 25/75 at JBS, particularly under P + R (Figure 5B).

3.3.4. Nitrogen and Phosphorus Concentrations (% in Dry Matter)

The dry matter N concentration of the clover and oat intercrops varied significantly according to the inoculation treatment (Table 3). Overall, inoculation improved N concentration compared to the control. While R + P co-inoculation showed the highest N concentration, individual inoculation treatments revealed differential effects depending on the plant. P. thivervalensis, treatment P, significantly improved the clover N concentration. However, R. leguminosarum, treatment R, significantly improved the oat N concentration (Table 3). For P concentration, a significant increase was revealed only with R. leguminosarum inoculation, i.e., under R and P + R treatments compared to the control (Table 3).

4. Discussion

Identification and characterization of microorganisms derived from natural ecological niches present significant potential for developing effective inocula for sustainable agricultural practices [49]. One of the diverse traits of such microorganisms as PGPRs includes the ACC deaminase activity, a valued feature in promoting tolerance to various stress effects in plants by reducing ethylene levels.

4.1. Potential Improvement of Clover Growth under Reduced Light by P. thivervalensis Strain T124 Inoculation

Controlled experiments revealed that reduced light—shade—resulted in a decline in clover shoot and root dry weight, and such an effect was more pronounced under the N-free condition (Figure 1 and Figure 3). Forage legumes, including clover, are mostly intolerant of shaded conditions [13,14,50]. Reduced light reduces plant performance traits where the host plants become less invested in the mutualistic interaction [51]. Our study also confirms a reduction in nodule formation and N2 fixation in clover roots under reduced light [52,53]. In the present study, inoculation with T124 strain tends to mitigate the effects of reduced light intensities. Of particular interest under the N-free condition, co-inoculation with T124 and T618 significantly improves clover growth and nodulation status relative to only T618 inoculation. The satisfactory ability of the P. thivervalensis T124 strain to promote growth may be due to its origin as a native strain isolated from the clover nodule, which allows the efficient colonization of roots.
Ethylene is part of the phytohormones that play a significant role in the response of plants to low light intensities. Ethylene production increased significantly with decreasing light intensities [20,54,55]. Higher concentrations of ethylene decline plant growth [56] and activate nodule senescence [57,58]. Our study also confirms that ethylene, applied as exogenous ACC, strongly decreases clover growth and nodulation status and induces ROS accumulation [56,59]. Of particular interest is that when combining reduced light and N-free conditions, we find that co-inoculation with T124 and T618 effectively reduced the negative effect of ACC on clover growth compared with mono-inoculation with T618. In addition, ROS (H2O2 and O2•−) production was increased in plants under RL and exogenous ACC application, but T124 inoculation contributed to a decrease in ROS production (Figure 3). Light reduction and exogenous ACC reduced leghemoglobin content and increased NO concentration in nodules. The decline in nodule leghemoglobin contents leads to the premature senescence of root nodules [60]. Cam et al. (2012) demonstrated that the increase in endogenous NO levels decreases nitrogen fixation and induces early nodule senescence. By contrast, low NO levels led to a delay in nodule senescence [61,62]. Nodules high Lb and low NO in co-inoculated plants (T124 + T618) suggest the maintenance of effective symbiosis for a longer time and thus higher N2 fixation. Moreover, this explains the higher N content of shoots in co-inoculated plants compared to mono-inoculated plants with R. leguminosarum T618. As exogenously applied and endogenously produced, decreasing ethylene levels through ACC deaminase activity, which dissociates ACC into Ammonia and α-ketobutyrate, by T124 strain mitigated the effects of higher ethylene concentrations. Our finding suggests the potential role of P. thivervalensis T124, highly productive of ACC deaminase, in early nodule senescence prevention and hence the maintenance of efficient symbiosis under reduced light conditions.
One of the main factors in determining plant photosynthesis is chlorophyll content, which is commonly measured to estimate the light energy absorption of leaves [63,64]. Generally, plants with high levels of total chlorophyll and especially chlorophyll b under low light conditions have better tolerance to shading [65]. The overall leaf chlorophyll content is higher under reduced light conditions than in normal light conditions within the N-available experiment (Exp-1). P. thivervalensis inoculation seems to further enhance chlorophyll content and mitigate the exogenous ACC effect, providing enhanced capture of light energy by leaves in low light environments, thereby maintaining photosynthesis [66]. However, under the N-free experiment (Exp-2), where only biological fixation constitutes the source of N, leads to a decrease in chlorophyll content under reduced light conditions compared to under normal light. Nitrogen is a major component of chlorophyll. The enhancement of clover nodulation status and N-fixing ability resulted in the higher chlorophyll content in plants co-inoculated with P. thivervalensis and R. leguminosarum relative to plants only inoculated with R. leguminosarum. The results imply that legumes co-inoculation with competitive rhizobia and PGPR-containing ACC deaminase might constitute an approach to improving legumes’ (e.g., clover) N-fixing potential, chlorophyll content, and overall growth under reduced light conditions, such as in higher density mixed crops.

4.2. Supply of R. leguminosarum Strain T618 and P. thivervalensis Strain T124 Co-Inoculation under Oat-Clover Field Intercrops Condition

Field trials confirm that clover failed to avoid the oats shading, and light available at the top of the legumes as a proportion of incident light decreased with the increasing leaf area index (LAI) of the cereal [3,13]. As reported by several studies, clover suffers from shading by the oats when intercropped [13,14]. Comparative studies have reported that the photosynthetic rate, transpiration, and stomatal conductance decreased in low light conditions [67]. Inoculation of legumes with effective rhizobia is expected to stimulate photosynthetic uptake and improve photosynthetic nutrient use efficiency [68]. However, our results indicate an improvement of clover Anet and Gs only at the early growth stage (60 DAS) through the R. leguminosarum T618 strain. The PAR reduction at the top of the clover canopy at 90 and 120 DAS could explain the decline of clover Anet and Gs under R. leguminosarum T618 inoculation treatment. A significant improvement in Anet and Gs under treatments involving strain T124 suggested the effectiveness of P. thivervalensis compared to only R. leguminosarum and the control. The positive effect of T124 might be related to the ability of this strain to produce ACC deaminase, which reduces the synthesis of ethylene, one of the most aboveground signaling components implicated in the plant–plant interaction, as in the case of intercropping systems. Previous studies have shown that intercropping increased the emission of ACC, the precursor of ethylene [69]. Root-secreted ACC (secreted as root exudates) in intercropped peanut was two times that of the pure stand peanut [18]. Because ethylene acts commonly as a growth inhibitor [20], decreasing ACC levels through ACC deaminase activity thus increases root growth and promotes more efficient nutrient uptake by increasing the surface area of the rhizosphere (Glick et al., 1998). On the other hand, since legumes are less competitive than cereals [8], it seems likely that the decrease in PAR due to oat shading leads to increased ethylene biosynthesis [18,19], hence the decline in clover growth, as well as early nodule senescence and nitrogen rhizodeposition [70]. Taken together, this may increase the availability of soil nutrients for oats at the expense of clover, mainly during the late growth stages. Moreover, our results revealed the improvement of oat plants’ nitrogen content through the inoculation of neighboring clover with R. leguminosarum. Such an ecological process is of great interest when using legumes as companion plants to cereal crops [24]. However, for intercropping intended for forage production, it would be of value to strengthen both species’ growth (cereals and legumes). Overall, a higher improvement of both intercropped species, and particularly clover, was recorded when combining the two strains, T618 and T124. We find that co-inoculation results in more homogeneous clover nodulation and branching. Such improvement resulted in an increased yield, particularly for clover, and better nitrogen and phosphorous content of the total forage (clover + oats). Previous studies have highlighted that nodule-enhancing rhizobacteria are ACC deaminase and indole acetic acid-producing (IAA) and that IAA and ACC deaminase work together to increase the ability of rhizobia resident in the soil to form nodules [71]. The R. leguminosarum T618 strain in particular exhibited an ability to produce a high level of IAA (Table 1). IAA synthesis enhances N2 fixation by upregulating the expression of genes associated with legume–rhizobia symbioses. ACC deaminase prolongs nodule function by delaying nodule senescence and can reduce the negative influence of very high IAA on nodule induction [71]. Besides symbiotic nitrogen fixation, the R. leguminosarum strain used in the present study was characterized by its ability to solubilize phosphorus, which makes this strain able to act as a good biofertilizer, increasing nutrient availability (P and N simultaneously) in the root zone of intercropped clover and oat to enhance their growth parameters [72]. The current study highlights the promising effect of co-inoculation of the intercropped clover and oat with R. leguminosarum and the ACC deaminase-producing P. thivervalensis not only on legumes but also on cereals, which enhances the productivity of the whole intercropping system. Our findings suggest that R. leguminosarum T618 and P. thivervalensis T124 co-inoculation might alleviate inter-specific competition between co-cropped plants by lowering ACC (ethylene precursor) levels, thereby enhancing focal plant—clover—fitness by improving biomass production under low PAR. Thus, to take advantage of mixing crops for forage production and avoid plant biomass reduction of intercropped species (here clover), co-inoculation with rhizobia and ACC deaminase-producing bacteria represents an efficient strategy in line with the sustainability principles.

5. Conclusions

We examined the limitations of light on clover performance under controlled and field conditions when intercropped with oats, hypothesizing that bacterial ACC deaminase might mitigate the effects of reduced PAR. Controlled experiments revealed that light reduction harmed clover growth. Light stress effects appeared to be mitigated by inoculation with P. thivervalensis T124. Furthermore, results indicate a synergistic effect of R. leguminosarum T618 and P. thivervalensis T124 co-inoculation on clover growth and nodulation under nitrogen-free conditions. The results further revealed that P. thivervalensis T124 inoculation effects were mainly due to its high production of ACC deaminase. Field trials revealed that inoculation with mainly P. thivervalensis T124 and with both R. leguminosarum T618 and P. thivervalensis T124 strains improves photosynthetic assimilation, growth homogeneity, and biomass yield of clover when intercropped with oats (low PAR). Overall, the results suggest that co-inoculation with R. leguminosarum T618 and P. thivervalensis T124 potentially decreases the interspecific competition between clover and oats intercrops by reducing ACC (ethylene precursor) levels. Furthermore, the results highlight the beneficial role of combined PGPR and rhizobia inoculations in promoting intercrop productivity (here, yield and forage quality). Our results provide a promising agroecological direction to alleviate reduced light effects on the cereal–legume intercropping system through inoculation with ACC deaminase-producing PGPR.

Supplementary Materials

The following supporting information can be downloaded at: https://www.mdpi.com/article/10.3390/agronomy12102332/s1, Figure S1: Average monthly precipitation and temperature distribution at BEG and JBS sites during the two experimental seasons (2017–2018); Figure S2: Clover root colonization by P. thivervalensis T124 according to the different treatments within experiment 1 (A) and experiment 2 (B); Table S1: Soil physicochemical properties at the BEG and JBS sites.

Author Contributions

Conceptualization, W.T.; methodology, W.T., N.F. and D.T.; validation, M.A., H.C.M., and H.B.; formal analysis, W.T. and M.B.; investigation, W.T., D.H., N.F., and M.J.; resources, D.H. and R.M.; writing—original draft preparation, W.T.; visualization, W.T. and M.B.; supervision, D.T.; funding acquisition, D.T., D.H., and M.A. All authors have read and agreed to the published version of the manuscript.

Funding

This research was funded by (1) Tunisian Ministry of Higher Education and Scientific Research through the Laboratory of Legumes and Sustainable Agrosystems of CBBC, the Agronomic Sciences and Technics Laboratory of INRAT, and the PRIMA project CHANGE-UP “Innovative agroeco-logical APProaches to achieving resilience to climate CHANGE in Mediterranean countries” and (2) the Tunisian Ministry of Agriculture Water Resources and Fisheries through The National Institute of Field Crops at BouSalem.

Acknowledgments

The authors sincerely thank all field and laboratory staff for their support in field operations and their assistance in laboratory experiments.

Conflicts of Interest

The authors declare no conflict of interest.

References

  1. Sadeghpour, A.; Jahanzad, E.; Esmaeili, A.; Hosseini, M.B.; Hashemi, M. Forage Yield, Quality and Economic Benefit of Intercropped Barley and Annual Medic in Semi-Arid Conditions: Additive Series. Field Crops Res. 2013, 148, 43–48. [Google Scholar] [CrossRef]
  2. Dordas, C.A.; Lithourgidis, A.S. Growth, Yield and Nitrogen Performance of Faba Bean Intercrops with Oat and Triticale at Varying Seeding Ratios. Grass Forage Sci. 2011, 66, 569–577. [Google Scholar] [CrossRef]
  3. Ross, S.M.; King, J.R.; O’Donovan, J.T.; Spaner, D. Intercropping Berseem Clover with Barley and Oat Cultivars for Forage. Agron. J. 2004, 96, 1719–1729. [Google Scholar] [CrossRef]
  4. Salama, H.S.A. Mixture Cropping of Berseem Clover with Cereals to Improve Forage Yield and Quality under Irrigated Conditions of the Mediterranean Basin. Ann. Agric. Sci. 2020, 65, 159–167. [Google Scholar] [CrossRef]
  5. Gecaitė, V.; Arlauskienė, A.; Cesevičienė, J. Competition Effects and Productivity in Oat–Forage Legume Relay Intercropping Systems under Organic Farming Conditions. Agriculture 2021, 11, 99. [Google Scholar] [CrossRef]
  6. Rodriguez, C.; Carlsson, G.; Englund, J.E.; Flöhr, A.; Pelzer, E.; Jeuffroy, M.H.; Makowski, D.; Jensen, E.S. Grain Legume-Cereal Intercropping Enhances the Use of Soil-Derived and Biologically Fixed Nitrogen in Temperate Agroecosystems. A Meta-Analysis. Eur. J. Agron. 2020, 118, 126077. [Google Scholar] [CrossRef]
  7. Li, C.; Dong, Y.; Li, H.; Shen, J.; Zhang, F. Shift from Complementarity to Facilitation on P Uptake by Intercropped Wheat Neighboring with Faba Bean When Available Soil P Is Depleted. Sci. Rep. 2016, 6, 18663. [Google Scholar] [CrossRef]
  8. Ren, Y.; Zhang, L.; Yan, M.; Zhang, Y.; Chen, Y.; Palta, J.A.; Zhang, S. Effect of Sowing Proportion on Above- and below-Ground Competition in Maize–Soybean Intercrops. Sci. Rep. 2021, 11, 15760. [Google Scholar] [CrossRef]
  9. Guenni, O.; Romero, E.; Guédez, Y.; Bravo de Guenni, L.; Pittermann, J. Influence of Low Light Intensity on Growth and Biomass Allocation, Leaf Photosynthesis and Canopy Radiation Interception and Use in Two Forage Species of Centrosema (DC.) Benth. Grass Forage Sci. 2018, 73, 967–978. [Google Scholar] [CrossRef]
  10. Ballaré, C.L.; Pierik, R. The Shade-Avoidance Syndrome: Multiple Signals and Ecological Consequences. Plant. Cell Environ. 2017, 40, 2530–2543. [Google Scholar] [CrossRef]
  11. Casal, J.J. Shade Avoidance. Arab. Book 2012, 10, e0157. [Google Scholar] [CrossRef] [PubMed]
  12. Wollenberg, A.C.; Strasser, B.; Cerdán, P.D.; Amasino, R.M. Acceleration of Flowering during Shade Avoidance in Arabidopsis Alters the Balance between FLOWERING LOCUS C-Mediated Repression and Photoperiodic Induction of Flowering. Plant Physiol. 2008, 148, 1681–1694. [Google Scholar] [CrossRef] [PubMed]
  13. Ross, S.M.; King, J.R.; O’Donovan, J.T.; Spaner, D. The Productivity of Oats and Berseem Clover Intercrops. I. Primary Growth Characteristics and Forage Quality at Four Densities of Oats. Grass Forage Sci. 2005, 60, 74–86. [Google Scholar] [CrossRef]
  14. Mauro, R.P.; Occhipinti, A.; Longo, A.M.G.; Mauromicale, G. Effects of Shading on Chlorophyll Content, Chlorophyll Fluorescence and Photosynthesis of Subterranean Clover. J. Agron. Crop Sci. 2011, 197, 57–66. [Google Scholar] [CrossRef]
  15. Gommers, C.M.M.; Visser, E.J.W.; Onge, K.R.S.; Voesenek, L.A.C.J.; Pierik, R. Shade Tolerance: When Growing Tall Is Not an Option. Trends Plant Sci. 2013, 18, 65–71. [Google Scholar] [CrossRef]
  16. Dubois, M.; Van den Broeck, L.; Inzé, D. The Pivotal Role of Ethylene in Plant Growth. Trends Plant Sci. 2018, 23, 311–323. [Google Scholar] [CrossRef]
  17. Wang, X.; Gao, X.; Liu, Y.; Fan, S.; Ma, Q. Progress of Research on the Regulatory Pathway of the Plant Shade-Avoidance Syndrome. Front. Plant Sci. 2020, 11, 439. [Google Scholar] [CrossRef]
  18. Chen, Y.; Bonkowski, M.; Shen, Y.; Griffiths, B.S.; Jiang, Y.; Wang, X.; Sun, B. Root Ethylene Mediates Rhizosphere Microbial Community Reconstruction When Chemically Detecting Cyanide Produced by Neighbouring Plants. Microbiome 2020, 8, 4. [Google Scholar] [CrossRef]
  19. Kegge, W.; Pierik, R. Biogenic Volatile Organic Compounds and Plant Competition. Trends Plant Sci. 2010, 15, 126–132. [Google Scholar] [CrossRef]
  20. Pierik, R.; Djakovic-Petrovic, T.; Keuskamp, D.H.; de Wit, M.; Voesenek, L.A.C.J. Auxin and Ethylene Regulate Elongation Responses to Neighbor Proximity Signals Independent of Gibberellin and DELLA Proteins in Arabidopsis. Plant Physiol. 2009, 149, 1701–1712. [Google Scholar] [CrossRef]
  21. Pierik, R.; Whitelam, G.C.; Voesenek, L.A.C.J.; De Kroon, H.; Visser, E.J.W. Canopy Studies on Ethylene-Insensitive Tobacco Identify Ethylene as a Novel Element in Blue Light and Plant–Plant Signalling. Plant J. 2004, 38, 310–319. [Google Scholar] [CrossRef]
  22. Zhu, F.; Deng, J.; Chen, H.; Liu, P.; Zheng, L.; Ye, Q.; Li, R.; Brault, M.; Wen, J.; Frugier, F.; et al. A CEP Peptide Receptor-Like Kinase Regulates Auxin Biosynthesis and Ethylene Signaling to Coordinate Root Growth and Symbiotic Nodulation in Medicago Truncatula. Plant Cell 2020, 32, 2855–2877. [Google Scholar] [CrossRef] [PubMed]
  23. Lithourgidis, A.S.; Vlachostergios, D.N.; Dordas, C.A.; Damalas, C.A. Dry Matter Yield, Nitrogen Content, and Competition in Pea–Cereal Intercropping Systems. Eur. J. Agron. 2011, 34, 287–294. [Google Scholar] [CrossRef]
  24. Toukabri, W.; Ferchichi, N.; Hlel, D.; Jadlaoui, M.; Kheriji, O.; Zribi, F.; Taamalli, W.; Mhamdi, R.; Trabelsi, D. Improvements of Durum Wheat Main Crop in Weed Control, Productivity and Grain Quality through the Inclusion of FenuGreek and Clover as Companion Plants: Effect of N FertilizaTion Regime. Agronomy 2020, 11, 78. [Google Scholar] [CrossRef]
  25. Raza, M.A.; Feng, L.Y.; van der Werf, W.; Iqbal, N.; Khalid, M.H.B.; Chen, Y.K.; Wasaya, A.; Ahmed, S.; Ud Din, A.M.; Khan, A.; et al. Maize Leaf-Removal: A New Agronomic Approach to Increase Dry Matter, Flower Number and Seed-Yield of Soybean in Maize Soybean Relay Intercropping System. Sci. Rep. 2019, 9, 13453. [Google Scholar] [CrossRef]
  26. Pantazopoulou, C.K.; Bongers, F.J.; Pierik, R. Reducing Shade Avoidance Can Improve Arabidopsis Canopy Performance against Competitors. Plant. Cell Environ. 2021, 44, 1130–1141. [Google Scholar] [CrossRef]
  27. Carriedo, L.G.; Maloof, J.N.; Brady, S.M. Molecular Control of Crop Shade Avoidance. Curr. Opin. Plant Biol. 2016, 30, 151–158. [Google Scholar] [CrossRef]
  28. Adams, D.O.; Yang, S.F. Ethylene Biosynthesis: Identification of 1-Aminocyclopropane-1-Carboxylic Acid as an Intermediate in the Conversion of Methionine to Ethylene. Proc. Natl. Acad. Sci. USA 1979, 76, 170–174. [Google Scholar] [CrossRef]
  29. Honma, M.; Shimomura, T. Metabolism of 1-Aminocyclopropane-1-Carboxylic Acid. Agric. Biol. Chem. 1978, 42, 1825–1831. [Google Scholar] [CrossRef]
  30. Glick, B.R.; Cheng, Z.; Czarny, J.; Duan, J. Promotion of Plant Growth by ACC Deaminase-Producing Soil Bacteria. In New Perspectives and Approaches in Plant Growth-Promoting Rhizobacteria Research; Springer: Dordrecht, The Netherlands, 2007; pp. 329–339. [Google Scholar] [CrossRef]
  31. Zafar-Ul-Hye, M.; Danish, S.; Abbas, M.; Ahmad, M.; Munir, T.M. ACC Deaminase Producing PGPR Bacillus Amyloliquefaciens and Agrobacterium Fabrum along with Biochar Improve Wheat Productivity under Drought Stress. Agronomy 2019, 9, 343. [Google Scholar] [CrossRef]
  32. Orozco-Mosqueda, M.d.C.; Duan, J.; DiBernardo, M.; Zetter, E.; Campos-García, J.; Glick, B.R.; Santoyo, G. The Production of ACC Deaminase and Trehalose by the Plant Growth Promoting Bacterium Pseudomonas Sp. UW4 Synergistically Protect Tomato Plants Against Salt Stress. Front. Microbiol. 2019, 10, 1392. [Google Scholar] [CrossRef] [PubMed]
  33. Bal, H.B.; Adhya, T.K. Alleviation of Submergence Stress in Rice Seedlings by Plant Growth-Promoting Rhizobacteria With ACC Deaminase Activity. Front. Sustain. Food Syst. 2021, 5, 606158. [Google Scholar] [CrossRef]
  34. Duan, J.; Müller, K.M.; Charles, T.C.; Vesely, S.; Glick, B.R. 1-Aminocyclopropane-1-Carboxylate (ACC) Deaminase Genes in Rhizobia from Southern Saskatchewan. Microb. Ecol. 2008, 57, 423–436. [Google Scholar] [CrossRef] [PubMed]
  35. Mhamdi, R.; Laguerre, G.; Aouani, M.E.; Mars, M.; Amarger, N. Different Species and Symbiotic Genotypes of Field Rhizobia Can Nodulate Phaseolus Vulgaris in Tunisian Soils. FEMS Microbiol. Ecol. 2002, 41, 77–84. [Google Scholar] [CrossRef]
  36. Ferchichi, N.; Toukabri, W.; Boularess, M.; Smaoui, A.; Mhamdi, R.; Trabelsi, D. Isolation, Identification and Plant Growth Promotion Ability of Endophytic Bacteria Associated with Lupine Root Nodule Grown in Tunisian Soil. Arch. Microbiol. 2019, 201, 1333–1349. [Google Scholar] [CrossRef]
  37. Ben Zineb, A.; Trabelsi, D.; Ayachi, I.; Barhoumi, F.; Aroca, R.; Mhamdi, R. Inoculation with Elite Strains of Phosphate-Solubilizing Bacteria Enhances the Effectiveness of Fertilization with Rock Phosphates. Geomicrobiol. J. 2019, 37, 22–30. [Google Scholar] [CrossRef]
  38. Johnson, J.F.; Allan, D.L.; Vance, C.P. Phosphorus Stress-Induced Proteoid Roots Show Altered Metabolism in Lupinus Albus. Plant Physiol. 1994, 104, 657–665. [Google Scholar] [CrossRef]
  39. Vincent, J. A Manual for the Practical Study of Root-Nodule Bacteria; Published for the International Biological Programme; Blackwell Scientific: Oxford, UK, 1970; ISBN 9780632064106. [Google Scholar]
  40. Lichtenthaler, H.K. [34] Chlorophylls and Carotenoids: Pigments of Photosynthetic Biomembranes. In Methods in Enzymology; Elsevier: Amsterdam, The Netherlands, 1987; Volume 148, pp. 350–382. ISBN 0076-6879. [Google Scholar]
  41. Liu, Y.; Wu, R.; Wan, Q.; Xie, G.; Bi, Y. Glucose-6-Phosphate Dehydrogenase Plays a Pivotal Role in Nitric Oxide-Involved Defense Against Oxidative Stress Under Salt Stress in Red Kidney Bean Roots. Plant Cell Physiol. 2007, 48, 511–522. [Google Scholar] [CrossRef]
  42. Sergiev, I.; Alexieva, V.; Karanov, E.; Karanov, E.; Sergiev, L.; Karanova, E.; Alexieva, V. Effect of Spermine, Atrazine and Combination between Them on Some Endogenous Protective Systems and Stress Markers in Plants. Compt. Rend Acad. Bulg. Sci. 1997, 51, 121–124. [Google Scholar]
  43. Zhou, B.; Guo, Z.; Xing, J.; Huang, B. Nitric Oxide Is Involved in Abscisic Acid-Induced Antioxidant Activities in Stylosanthes Guianensis. J. Exp. Bot. 2005, 56, 3223–3228. [Google Scholar] [CrossRef]
  44. LaRue, T.A.; Child, J.J. Sensitive Fluorometric Assay for Leghemoglobin. Anal. Biochem. 1979, 92, 11–15. [Google Scholar] [CrossRef]
  45. Drabkin, D.L.; Austin, J.H. Spectrophotometric studies: I. spectrophotometric constants for common hemoglobin derivatives in human, dog, and rabbit blood. J. Biol. Chem. 1932, 98, 719–733. [Google Scholar] [CrossRef]
  46. Becana, M.; Gogorcena, Y.; Aparicio-Tejo, P.M.; Sánchez-Díaz, M. Nitrogen Fixation and Leghemoglobin Content during Vegetative Growth of Alfalfa. J. Plant Physiol. 1986, 123, 117–125. [Google Scholar] [CrossRef]
  47. Kjeldahl, C. A New Method for the Determination of Nitrogen in Organic Matter. Z. Anal. Chem. 1883, 22, 366. [Google Scholar] [CrossRef]
  48. Mendes Filho, P.F.; Vasconcellos, R.L.F.; De Paula, A.M.; Cardoso, E. Evaluating the Potential of Forest Species under “Microbial Management” for the Restoration of Degraded Mining Areas. Water. Air. Soil Pollut. 2010, 208, 79–89. [Google Scholar] [CrossRef]
  49. Borah, M.; Das, S.; Bora, S.S.; Boro, R.C.; Barooah, M. Comparative Assessment of Multi-Trait Plant Growth-Promoting Endophytes Associated with Cultivated and Wild Oryza Germplasm of Assam, India. Arch. Microbiol. 2021, 203, 2007–2028. [Google Scholar] [CrossRef]
  50. Thorsted, M.D.; Weiner, J.; Olesen, J.E. Above- and below-Ground Competition between Intercropped Winter Wheat Triticum Aestivum and White Clover Trifolium Repens. J. Appl. Ecol. 2006, 43, 237–245. [Google Scholar] [CrossRef]
  51. Vaidya, P.; Stinchcombe, J.R. The Potential for Genotype-by-Environment Interactions to Maintain Genetic Variation in a Model Legume-Rhizobia Mutualism. Plant Commun. 2020, 1, 100114. [Google Scholar] [CrossRef]
  52. Shigeyama, T.; Tominaga, A.; Arima, S.; Sakai, T.; Inada, S.; Jikumaru, Y.; Kamiya, Y.; Uchiumi, T.; Abe, M.; Hashiguchi, M.; et al. Additional Cause for Reduced JA-Ile in the Root of a Lotus Japonicus PhyB Mutant. Plant Signal. Behav. 2012, 7, 746–748. [Google Scholar] [CrossRef]
  53. Suzuki, A.; Suriyagoda, L.; Shigeyama, T.; Tominaga, A.; Sasaki, M.; Hiratsuka, Y.; Yoshinaga, A.; Arima, S.; Agarie, S.; Sakai, T.; et al. Lotus Japonicus Nodulation Is Photomorphogenetically Controlled by Sensing the Red/Far Red (R/FR) Ratio through Jasmonic Acid (JA) Signaling. Proc. Natl. Acad. Sci. USA 2011, 108, 16837. [Google Scholar] [CrossRef]
  54. Zdarska, M.; Dobisová, T.; Gelová, Z.; Pernisová, M.; Dabravolski, S.; Hejátko, J. Illuminating Light, Cytokinin, and Ethylene Signalling Crosstalk in Plant Development. J. Exp. Bot. 2015, 66, 4913–4931. [Google Scholar] [CrossRef] [PubMed][Green Version]
  55. Zhang, M.Y.; Cai, X.; Wan, Y.T.; Fu, Y.F.; Yang, X.Y.; Zhang, Z.W.; Yuan, S. Relatively Low Light Intensity Promotes Phosphorus Absorption and Enhances the Ethylene Signaling Component EIN3 in Maize, Wheat, and Oilseed Rape. Agronomy 2022, 12, 427. [Google Scholar] [CrossRef]
  56. Shaharoona, B.; Arshad, M.; Zahir, Z.A. Effect of Plant Growth Promoting Rhizobacteria Containing ACC-Deaminase on Maize (Zea mays L.) Growth under Axenic Conditions and on Nodulation in Mung Bean (Vigna radiata L.). Lett. Appl. Microbiol. 2006, 42, 155–159. [Google Scholar] [CrossRef] [PubMed]
  57. Tittabutr, P.; Awaya, J.D.; Li, Q.X.; Borthakur, D. The Cloned 1-Aminocyclopropane-1-Carboxylate (ACC) Deaminase Gene from Sinorhizobium Sp. Strain BL3 in Rhizobium Sp. Strain TAL1145 Promotes Nodulation and Growth of Leucaena Leucocephala. Syst. Appl. Microbiol. 2008, 31, 141–150. [Google Scholar] [CrossRef] [PubMed]
  58. Santoyo, G.; Moreno-Hagelsieb, G.; del Carmen Orozco-Mosqueda, M.; Glick, B.R. Plant Growth-Promoting Bacterial Endophytes. Microbiol. Res. 2016, 183, 92–99. [Google Scholar] [CrossRef]
  59. Lemaire, B.; Van Cauwenberghe, J.; Chimphango, S.; Stirton, C.; Honnay, O.; Smets, E.; Muthama Muasya, A. Recombination and Horizontal Transfer of Nodulation and ACC Deaminase (AcdS) Genes within Alpha- and Betaproteobacteria Nodulating Legumes of the Cape Fynbos Biome. FEMS Microbiol. Ecol. 2015, 91, 118. [Google Scholar] [CrossRef]
  60. González, E.M.; Gálvez, L.; Arrese-Igor, C. Abscisic Acid Induces a Decline in Nitrogen Fixation That Involves Leghaemoglobin, but Is Independent of Sucrose Synthase Activity. J. Exp. Bot. 2001, 52, 285–293. [Google Scholar] [CrossRef]
  61. Cam, Y.; Pierre, O.; Boncompagni, E.; Hérouart, D.; Meilhoc, E.; Bruand, C. Nitric Oxide (NO): A Key Player in the Senescence of Medicago Truncatula Root Nodules. New Phytol. 2012, 196, 548–560. [Google Scholar] [CrossRef]
  62. Kato, K.; Kanahama, K.; Kanayama, Y. Involvement of Nitric Oxide in the Inhibition of Nitrogenase Activity by Nitrate in Lotus Root Nodules. J. Plant Physiol. 2010, 167, 238–241. [Google Scholar] [CrossRef]
  63. Wang, X.; Guo, X.; Yu, Y.; Cui, H.; Wang, R.; Guo, W. Increased Nitrogen Supply Promoted the Growth of Non-N-Fixing Woody Legume Species but Not the Growth of N-Fixing Robinia Pseudoacacia. Sci. Rep. 2018, 8, 17896. [Google Scholar] [CrossRef]
  64. Kaschuk, G.; Yin, X.; Hungria, M.; Leffelaar, P.A.; Giller, K.E.; Kuyper, T.W. Photosynthetic Adaptation of Soybean Due to Varying Effectiveness of N2 Fixation by Two Distinct Bradyrhizobium Japonicum Strains. Environ. Exp. Bot. 2012, 76, 1–6. [Google Scholar] [CrossRef]
  65. Pearcy, R.W.; Seemann, J.R. Photosynthetic Induction State of Leaves in a Soybean Canopy in Relation to Light Regulation of Ribulose-1-5-Bisphosphate Carboxylase and Stomatal Conductance. Plant Physiol. 1990, 94, 628–633. [Google Scholar] [CrossRef] [PubMed]
  66. Shao, Q.; Wang, H.; Guo, H.; Zhou, A.; Huang, Y.; Sun, Y.; Li, M. Effects of Shade Treatments on Photosynthetic Characteristics, Chloroplast Ultrastructure, and Physiology of Anoectochilus Roxburghii. PLoS ONE 2014, 9, e85996. [Google Scholar] [CrossRef]
  67. Yang, F.; Liao, D.; Wu, X.; Gao, R.; Fan, Y.; Raza, M.A.; Wang, X.; Yong, T.; Liu, W.; Liu, J.; et al. Effect of Aboveground and Belowground Interactions on the Intercrop Yields in Maize-Soybean Relay Intercropping Systems. Filed Crops Res. 2017, 203, 16–23. [Google Scholar] [CrossRef]
  68. Kaschuk, G.; Kuyper, T.W.; Leffelaar, P.A.; Hungria, M.; Giller, K.E. Are the Rates of Photosynthesis Stimulated by the Carbon Sink Strength of Rhizobial and Arbuscular Mycorrhizal Symbioses? Soil Biol. Biochem. 2009, 41, 1233–1244. [Google Scholar] [CrossRef]
  69. Wu, H.; Lin, M.; Rensing, C.; Qin, X.; Zhang, S.; Chen, J.; Wu, L.; Zhao, Y.; Lin, S.; Lin, W. Plant-Mediated Rhizospheric Interactions in Intraspecific Intercropping Alleviate the Replanting Disease of Radix Pseudostellariae. Plant Soil 2020, 454, 411–430. [Google Scholar] [CrossRef]
  70. Fustec, J.; Lesuffleur, F.; Mahieu, S.; Cliquet, J.B. Nitrogen Rhizodeposition of Legumes. A Review. Agron. Sustain. Dev. 2010, 30, 57–66. [Google Scholar] [CrossRef]
  71. Alemneh, A.A.; Zhou, Y.; Ryder, M.H.; Denton, M.D. Mechanisms in Plant Growth-Promoting Rhizobacteria That Enhance Legume–Rhizobial Symbioses. J. Appl. Microbiol. 2020, 129, 1133–1156. [Google Scholar] [CrossRef]
  72. Ríos-Ruiz, W.F.; Torres-Chávez, E.E.; Torres-Delgado, J.; Rojas-García, J.C.; Bedmar, E.J.; Valdez-Nuñez, R.A. Inoculation of Bacterial Consortium Increases Rice Yield (Oryza sativa L.) Reducing Applications of Nitrogen Fertilizer in San Martin Region, Peru. Rhizosphere 2020, 14, 100200. [Google Scholar] [CrossRef]
Figure 1. Effect of P. thivervalensis strain T124 inoculation and exogenous ACC on clover shoot biomass (A), root biomass (B), chlorophyll a (C), b (D) and total chlorophyll (E) under normal and reduced light conditions. (C, Control treatment; P, plant inoculated with P. thivervalensis strain T124; ACC, exogenous ACC; NL, Normal light condition; RL, Reduced light condition. Treatment columns in each light condition followed by different letters are significantly different (p < 0.05). The error bar represents the standard error of the mean (n = 4)).
Figure 1. Effect of P. thivervalensis strain T124 inoculation and exogenous ACC on clover shoot biomass (A), root biomass (B), chlorophyll a (C), b (D) and total chlorophyll (E) under normal and reduced light conditions. (C, Control treatment; P, plant inoculated with P. thivervalensis strain T124; ACC, exogenous ACC; NL, Normal light condition; RL, Reduced light condition. Treatment columns in each light condition followed by different letters are significantly different (p < 0.05). The error bar represents the standard error of the mean (n = 4)).
Agronomy 12 02332 g001
Figure 2. Effect of P. thivervalensis strain T124 inoculation and exogenous ACC on O2•− and H2O2 accumulation in clover shoot and root under normal and reduced light conditions. (Plots (A,B) refer to experiment 1. Plots (C,D) refer to experiment 2. C, Control treatment; P, plant inoculated with P. thivervalensis strain T124; R: inoculated with R. leguminosarum strain T618; ACC, exogenous ACC; NL, Normal light condition; RL, Reduced light condition. Treatment columns in each light condition followed by different letters are significantly different (p < 0.05). The error bar represents the standard error of the mean (n = 4)).
Figure 2. Effect of P. thivervalensis strain T124 inoculation and exogenous ACC on O2•− and H2O2 accumulation in clover shoot and root under normal and reduced light conditions. (Plots (A,B) refer to experiment 1. Plots (C,D) refer to experiment 2. C, Control treatment; P, plant inoculated with P. thivervalensis strain T124; R: inoculated with R. leguminosarum strain T618; ACC, exogenous ACC; NL, Normal light condition; RL, Reduced light condition. Treatment columns in each light condition followed by different letters are significantly different (p < 0.05). The error bar represents the standard error of the mean (n = 4)).
Agronomy 12 02332 g002
Figure 3. Effect of inoculation with P. thivervalensis strain T124 and exogenous ACC on dry weight (A,B), nodulation status (C,D), leaves total chlorophyll (E), nodule leghemoglobin content (F) nodule NO content (G) and shoot N content (H) of clover plants inoculated with the efficient R. leguminosarum strain T618 under normal and reduced light conditions. (R: inoculated with R. leguminosarum strain T618; P: inoculated with P. thivervalensis strain T124; ACC, exogenous ACC; NL, Normal light condition; RL, Reduced light condition. Treatment columns in each light condition followed by different letters are significantly different (p < 0.05). The error bar represents the standard error of the mean (n = 4)).
Figure 3. Effect of inoculation with P. thivervalensis strain T124 and exogenous ACC on dry weight (A,B), nodulation status (C,D), leaves total chlorophyll (E), nodule leghemoglobin content (F) nodule NO content (G) and shoot N content (H) of clover plants inoculated with the efficient R. leguminosarum strain T618 under normal and reduced light conditions. (R: inoculated with R. leguminosarum strain T618; P: inoculated with P. thivervalensis strain T124; ACC, exogenous ACC; NL, Normal light condition; RL, Reduced light condition. Treatment columns in each light condition followed by different letters are significantly different (p < 0.05). The error bar represents the standard error of the mean (n = 4)).
Agronomy 12 02332 g003
Figure 4. Photosynthetic active radiation (PAR) measured at the top of oat and clover intercrops and the effects of inoculation and co-inoculation with P. thivervalensis strain T124 and R. leguminosarum strain T618 on net photosynthetic rate (Anet) (B) and stomatal conductance (Gs) (C) of clover at BEG and JBS sites for the 2017 season. (Plot (A): TO, top of oat; TC, top of clover; ns, not significant, *** significant deference at p < 0.001; Plot (B,C): C, control un-inoculated, P: inoculated with P. thivervalensis strain T124; R: inoculated with R. leguminosarum strain T618; P + R: co-inoculated with T124 and T618 strains; treatments mean within each measurement date followed by different letters are significantly different (p < 0.05)).
Figure 4. Photosynthetic active radiation (PAR) measured at the top of oat and clover intercrops and the effects of inoculation and co-inoculation with P. thivervalensis strain T124 and R. leguminosarum strain T618 on net photosynthetic rate (Anet) (B) and stomatal conductance (Gs) (C) of clover at BEG and JBS sites for the 2017 season. (Plot (A): TO, top of oat; TC, top of clover; ns, not significant, *** significant deference at p < 0.001; Plot (B,C): C, control un-inoculated, P: inoculated with P. thivervalensis strain T124; R: inoculated with R. leguminosarum strain T618; P + R: co-inoculated with T124 and T618 strains; treatments mean within each measurement date followed by different letters are significantly different (p < 0.05)).
Agronomy 12 02332 g004
Figure 5. Effects of inoculation and co-inoculation with P. thivervalensis strain T124 and R. leguminosarum strain T618 on clover–oat intercrops forage dry weight yield (150 DAS) at BEG and JBS sites for 2017 and 2018 seasons. (Plot (A): C, control un-inoculated, P: inoculated with P. thivervalensis strain T124; R: inoculated with R. leguminosarum strain T618; P + R: co-inoculated with T124 and T618 strains; Treatment columns within each clover, oat or forage yield followed by different letters are significantly different (p < 0.05). The error bar represents the standard error of the mean (n = 4). Plot (B): Clover–oat intercrops forage dry weight fractions presented as percentages averaged for both seasons at each site).
Figure 5. Effects of inoculation and co-inoculation with P. thivervalensis strain T124 and R. leguminosarum strain T618 on clover–oat intercrops forage dry weight yield (150 DAS) at BEG and JBS sites for 2017 and 2018 seasons. (Plot (A): C, control un-inoculated, P: inoculated with P. thivervalensis strain T124; R: inoculated with R. leguminosarum strain T618; P + R: co-inoculated with T124 and T618 strains; Treatment columns within each clover, oat or forage yield followed by different letters are significantly different (p < 0.05). The error bar represents the standard error of the mean (n = 4). Plot (B): Clover–oat intercrops forage dry weight fractions presented as percentages averaged for both seasons at each site).
Agronomy 12 02332 g005
Table 1. 16S identification, plant growth-promoting traits, and symbiotic characteristics of T618 and T124 selected strains.
Table 1. 16S identification, plant growth-promoting traits, and symbiotic characteristics of T618 and T124 selected strains.
Strain T618Strain T124
16S identification
Closest relative speciesRhizobium leguminosarum bv. trifolii strain ECRI 10APseudomonas thivervalensis isolate 2.C.10
Accession numberMW375693MW375690
Similarity (%)100%97.35%
ACC deaminase
Presence of acdS gene++
ACC deaminase activity (μM keto mg protein−1 h−1) 0.719.42
Other PGPR trails
Auxin production (μg mL−1)83.7942.88
Phosphate solubilization (μg mL−1) 214.91
Siderophore production (psu)
Alternaria alternata inhibition+
Macrophomina phaseolina inhibition
N-Fixing ability
Presence of nifH gene+
Presence of nodC gene+
Nodulation+nd
Efficiency318%nd
+, positive test; −, negative test; nd, not determined; Efficiency, enhancement of shoot clover dry matter in sterilized sand relative to the un-inoculated plant.
Table 2. Plant height, leaf SPAD values, number of branches, and nodules of clover and oats intercropped at the forage harvest date (150 DAS) at the BEG and SBR sites for both experimental seasons.
Table 2. Plant height, leaf SPAD values, number of branches, and nodules of clover and oats intercropped at the forage harvest date (150 DAS) at the BEG and SBR sites for both experimental seasons.
BEGJBS
2017201820172018
CloverOatCloverOatCloverOatCloverOat
Plant height (cm)
C79 B106 A65 B101 A69 B97 A78 B111 A
P77 B109 A69 B103 A67 B99 A70 B97 A
R77 B116 A70 B114 A70 B99 A76 B105 A
R + P75 B115 A71 B103 A73 B103 A79 B105 A
SPAD values
C30.3 c43.7 b32.3 c44.7 a36.3 c43.9 b34.3 c44.5 ab
P33.3 ab44.6 ab35.5 ab42.8 a39.6 ab43.8 b37 ab43.6 b
R32 bc45.4 a33.6 bc44.5 a38.8 b45.4 a35.5 bc46 a
R + P34.9 a44.2 ab36.2 a43.4 a40.9 a44.3 ab38.6 a45 ab
Clover shoots branching
C1.8 (73) 2.1 (63) 2.2 (62) 1.8 (65)
P2.7 (49) 2.7 (37) 2.7 (43) 2.8 (31)
R2.2 (62) 1.8 (56) 2.2 (58) 2.3 (47)
R + P2.9 (40) 2.9 (40) 3.3 (30) 2.8 (36)
Clover nodules number
C26 b (36) 33 a (47) 22 c (65) 21 c (48)
P34 ab (27) 43 a (31) 24 bc (49) 25 bc (36)
R30 ab (36) 37 a (35) 37 ab (29) 33 ab (34)
R + P38 a (24) 47 a (27) 39 a (34) 39 a (26)
C, control un-inoculated, P: inoculated with P. thivervalensis strain T124; R: inoculated with R. leguminosarum strain T618; P + R: co-inoculated with T124 and T618 strains; For plant height: capital letters indicate significant differences between both intercropped oat and clover (horizontal comparison). For SPAD values and nodules number: lower-case indicates significant differences between treatments (vertical comparison) (p < 0.05). For clover shoots’ branching and nodules number: values in parenthesis indicate the coefficient of variation (% CV).
Table 3. Nitrogen (N) and phosphorus (P) concentrations (% in dry matter) in the intercropped clover and oats shoots (150 DAS) at the BEG and SBR sites for both experimental seasons.
Table 3. Nitrogen (N) and phosphorus (P) concentrations (% in dry matter) in the intercropped clover and oats shoots (150 DAS) at the BEG and SBR sites for both experimental seasons.
BEGJBS
2017201820172018
CloverOatCloverOatCloverOatCloverOat
N concentration (%)
C2.12 c1.87 b1.93 b2.31 b2.13 c1.61 b2.47 c1.83 b
P2.65 a1.91 bc2.51 a2.49 ab2.73 ab1.83 ab2.93 b1.86 b
R2.34 b2.32 a2.09 b2.84 a2.43 bc2.04 a2.56 c2.18 a
R + P2.73 a2.2 ab2.63 a2.53 ab3.04 ab1.92 ab3.24 a2.25 a
P concentration (%)
C0.64 b0.35 c0.73 b0.38 b0.5 b0.31 b0.56 b0.35 a
P0.67 b0.38 bc0.73 b0.39 b0.52 b0.33 ab0.59 b0.37 a
R0.78 a0.47 a0.83 a0.48 a0.63 a0.36 a0.63 ab0.36 a
R + P0.75 a0.44 ab0.8 a0.45 a0.6 a0.35 a0.66 a0.35 a
C, control un-inoculated, P: inoculated with P. thivervalensis strain T124; R: inoculated with R. leguminosarum strain T618; P + R: co-inoculated with T124 and T618 strains; letters indicate significant differences between treatments (vertical comparison) (p < 0.05).
Publisher’s Note: MDPI stays neutral with regard to jurisdictional claims in published maps and institutional affiliations.

Share and Cite

MDPI and ACS Style

Toukabri, W.; Ferchichi, N.; Barbouchi, M.; Hlel, D.; Jadlaoui, M.; Bahri, H.; Mhamdi, R.; Cheikh M’hamed, H.; Annabi, M.; Trabelsi, D. Enhancement of Clover (Trifolium alexandrinum L.) Shade Tolerance and Nitrogen Fixation under Dense Stands-Based Cropping Systems. Agronomy 2022, 12, 2332. https://doi.org/10.3390/agronomy12102332

AMA Style

Toukabri W, Ferchichi N, Barbouchi M, Hlel D, Jadlaoui M, Bahri H, Mhamdi R, Cheikh M’hamed H, Annabi M, Trabelsi D. Enhancement of Clover (Trifolium alexandrinum L.) Shade Tolerance and Nitrogen Fixation under Dense Stands-Based Cropping Systems. Agronomy. 2022; 12(10):2332. https://doi.org/10.3390/agronomy12102332

Chicago/Turabian Style

Toukabri, Wael, Nouha Ferchichi, Meriem Barbouchi, Dorsaf Hlel, Mohamed Jadlaoui, Haithem Bahri, Ridha Mhamdi, Hatem Cheikh M’hamed, Mohamed Annabi, and Darine Trabelsi. 2022. "Enhancement of Clover (Trifolium alexandrinum L.) Shade Tolerance and Nitrogen Fixation under Dense Stands-Based Cropping Systems" Agronomy 12, no. 10: 2332. https://doi.org/10.3390/agronomy12102332

APA Style

Toukabri, W., Ferchichi, N., Barbouchi, M., Hlel, D., Jadlaoui, M., Bahri, H., Mhamdi, R., Cheikh M’hamed, H., Annabi, M., & Trabelsi, D. (2022). Enhancement of Clover (Trifolium alexandrinum L.) Shade Tolerance and Nitrogen Fixation under Dense Stands-Based Cropping Systems. Agronomy, 12(10), 2332. https://doi.org/10.3390/agronomy12102332

Note that from the first issue of 2016, this journal uses article numbers instead of page numbers. See further details here.

Article Metrics

Back to TopTop