Abstract
Suaeda edulis (Flores Olvera & Noguez) is a halophile species that grows in saline environments, with concomitant difficulties to germinate and reproduce. Once a null germination under a salinity gradient or fresh water was observed, a plant-growth bioregulator (BioR) was applied to interrupt dormancy and improve germination in vitro. This BioR is composed of gibberellins and adjuvant regulators; and 12.5, 25.0, and 37.5 mg L−1 of gibberellins with immersion at 24, 48, and 72 h were assayed. Most of the normality and homoscedasticity tests were favorable, except in three of 24 cases. On the germination percentage (transformed values), the dose 25.0 mg L−1 reflected the highest values of 5.5 and 6.0 units at 48 and 72 h. For the mean germination time, the highest level of 37.5 mg L−1 at 24 h reflected the best response. For the germination rate, the best one was 25 mg L−1 at 48 h, reaching 12% per day, but for the germination speed coefficient, the best value was observed with 25.0 mg L−1 at 24 h. It was concluded that to improve germination of S. edulis seeds, it is necessary to assess a dose-gradient of gibberellins, starting at 25.0 mg L−1, with higher values to break dormancy.
1. Introduction
In México, the shrub-species Suaeda edulis (Flores Olvera & Noguez) of the family Amaranthaceae and subfamily Chenopodiaceae has a history and cuisine-culture, as part of the natural and cultural heritage of humanity [1,2]. It is an edible herb or vegetable appreciated as ‘Quelite’ from the ancient Nahuatl term ‘Quilitl’ since pre-Hispanic times for its beneficial health properties [3,4]. It is known as ‘Romerito’, popular in Mexican cuisine for preparing a wide variety of dishes consumed by local inhabitants at Christmas and Easter [5]. It also provides nutritional properties, such as proteins (amino acids), dietary fiber to improve digestion, vitamins A and C (antioxidants), mineral salts (calcium, iron, and potassium), bioactive substances (phytochemicals: chlorophyll), and others [6]. In the rural sector, Romerito plants provide an income to rural producers, including the central regions of México, a production equivalent to an average yield of 8.0 Mg ha−1 of biomass for human consumption with commercial value, harvested at specific times of the year. The species are spread in western Mexico, the Valley of Mexico, and central-eastern Mexico. It is found as a traditional crop in western México in the states of Jalisco, Michoacán, and Guanajuato, as well as in the Valley of México and central-eastern México in the states of Hidalgo, México City, State of México, Puebla, and Tlaxcala [7,8]. It grows up to 2350 m in halophilic grasslands of Distichlis spicata, and under optimal growing conditions, it reaches a height up to 1.15 m [8]. Currently, according to Mexican Official Standard (NOM-059-SEMANART-2010), S. edulis is listed in the category of endangered species at risk [9], due to a decrease in populations in their regions of distribution, mainly because of anthropogenic activities or surrounding vegetation competing for space and are considered weeds for cultivation such as ‘Quelite Cenizo’ (Chenopodium album), ‘Quintonil’ (Amaranthus hybridus), ‘Malva’ (Malva spp.), ‘Lengua de Vaca’ (Rumex spp.), ‘Verdolaga’ (Portulaca oleraceae), among others [10]. Therefore, it is relevant to investigate methods for promoting a successful propagation of the species [11], as seeds are crucial for reproduction, dispersal, expansion, and survival [12].
For a new crop, to reach an adequate standard of productivity, it is essential to examine the quality of the seed, as well as environmental factors such as water, temperature, light, and gases (O2 and CO2), since they are key factors in the percentage and speed of germination [13]. A viable seed is defined by the genetic characteristics of the mother plant, by the climatic conditions related to adaptation to abiotic factors in its different stages of growth such as flowering, development, maturation, and harvest management, as well as biotic factors such as insect or animal attack [14]. It is well-known that some species of plants native to cold or warm environments are more prone to display some type of dormancy than those found in temperate-type environments [15].
The quality and quantity of chemicals present in the embryo also contribute significantly to preserve viable seeds [16]. Gibberellic acid (GA3) is the phytohormone responsible for the interruption of seed dormancy by exerting a control of seed development. GA3’s role is relevant for the process of germination through the activation of the vegetative growth of the embryo, and the production of hydrolytic enzymes is highly relevant [17]. Several enzymes break down starch and proteins necessary for embryo growth when sugars, amino acids, and other products are transported to the growing buds (apical meristems) [18].
A variety of studies have documented the induction of germination within the Amaranthaceae family by applying GA3 [19,20]. Since the halophyte ‘Romerito’ (Suaeda edulis) produces numerous seeds with delayed or interrupted germination, the purpose of this study was to evaluate a plant growth bioregulator composed of gibberellins (GA) to improve germination by interrupting seed dormancy. The response variables were germination percentage (GP), mean germination time (MGT), germination rate (GR) and germination velocity coefficient (GVC).
2. Materials and Methods
2.1. Study Area and Experimental Setup
We conducted the present study as part of a series of experimental activities within a Ph.D. program at the Center for Biological Research of Northwest México S.C. (CIBNOR) located north of the city of La Paz, Baja California Sur, Mexico, at coordinates 24°08′10.03″ N and 110°25′35.31″ W (Figure 1).
Figure 1.
Geographical location of the Center for Biological Research of Northwest México S.C. (CIBNOR), west La Paz City, México. (Google Earth).
A Super SprouterTM germination chamber, model HGC726402 (Premium heated propagation kit for germination and propagation cuttings), consisting of a 7″ ultra-transparent ‘Light track’-humidity dome, a 10″ × 20″ heavy-duty culture tray, and a Super SprouterTM plant heat mat, was used for this purpose. A digital-thermometer (Steren® model TER-150) with humidity sensor and a digital-greenhouse heat-mat thermostat controller (BN-LINK® model 1000 W ETL) maintained controlled conditions with a precise temperature of 25 ± 1 °C, relative humidity of 80% and 12 h light-photoperiod, avoiding drastic changes inside the chamber. This setup allowed to record the temperature and humidity inside the chamber, it was verified throughout the experiment, confirming that the variables remained constant.
2.2. Origin of Suaeda edulis Seeds
Dr. Roberto Noguez-Hernández of the Chapingo Autonomous University (UACh) provided the seeds of S. edulis that were collected from the Santiago Tulyehualco township in Xochimilco, located east of Mexico City. The period of seed collection was from October to November 2020, when the seeds of this species were mature and ready. Subsequently, the seeds from other surface residues such as shells and plant fibers from the field were manually separated (Figure 2).
Figure 2.
Procedure for cleaning S. edulis seeds from the harvested biomass and field residues.
2.3. Preliminary Experiment to Determine the Germination Potential of S. edulis
To determine the germination potential of S. edulis, in a previous experiment, sodium chloride (NaCl) Fermont® A.C.S. was applied at different concentrations (200, 400, 600, 800, and 1000 mM), also a control with distilled water (0 mM) was included to verify the viability of the seeds and their tolerance to salinity. Seeds were disinfected and sown in sterile acrylic Crmglobre® Petri dishes (90 × 15 mm), covering the dish bottom with absorbent cotton pads in circles (7.0 cm) and Shec® medium pore filter paper circles, disinfected and used as substrate. The Petri-dishes were soaked with the NaCl-solutions, and the control with distilled water, adding 5 mL per day of each one with a graduated syringe, according to the method published by Sánchez-Tizapantzi and Ruiz-Font [21]. Thirty seeds were placed in each Petri dish, with four repetitions per treatment (five doses and distilled water), for a total of 720-seeds.
A second experiment was carried out to explore an option to induce germination of S. edulis; in this case, thirty seeds per experimental unit received the treatments (six doses) for a total of 180-seeds. For this purpose, in addition to using a similar methodology and the treatments mentioned above, the immersion technique was employed, which consisted of submerging the seeds in distilled water for 24 h.
2.4. Preparation of Treatments with the Regulator Biozyme® TS
Since we did not observe any favorable result from the previous germination experiments, a series of trials aimed to interrupt the dormancy of S. edulis were assayed. These experiments included treatments with a bioregulator composed of gibberellins and other adjuvant regulators. The non-synthetic plant growth bioregulator Biozyme® TS liquid (Arysta LifeScience) was chosen to stimulate the germination and development of S. edulis seeds. This bioregulator is composed by gibberellins (GA-77.0 mg L−1), indoleacetic acid (IAA-33.0 mg L−1), and zeatin (ZEA-128.7 mg L−1).
The treatments applied were: T1 (soaking in distilled water); T2 (soaking in 12.5 mg L−1 gibberellin; 5.37 mg L−1 IAA and 20.9 mg L−1 zeatin); T3 (soaking in 25. 0 mg L−1 gibberellin; 10.73 mg L−1 IAA and 41.83 mg L−1 zeatin), and T4 (soaking in 37.5 mg L−1 gibberellin; 16.1 mg L−1 IAA and 62.75 mg L−1 zeatin) at 24, 48 and 72 h.
2.5. Description of the Experiment
We selected healthy seeds of similar size without visible damage, subsequently cleaned them through a rinse with distilled water, then in a solution of 0.1% commercial sodium hypochlorite in a 1:3 (w/v) ratio for ten min to avoid contamination by fungi or other microorganisms. Posterior, the sodium hypochlorite was removed by rinsing the seeds three times with distilled water. After disinfection, the seeds with the different treatments and exposure times were soaked; and once these times elapsed, the seeds were rinsed three times with distilled water to remove the excess Biozyme® TS. Then, seeds were placed in sterile-acrylic Crmglobre® Petri dishes (90 × 15 mm), lined with Shec® medium pore filter paper circles (7.0 cm) at their base, disinfected, and used as substrate. The Petri dishes were moistened with distilled water, adding 5 mL per day with a graduated syringe, according to the method proposed by Sánchez-Tizapantzi and Ruiz-Font [21], with some modifications. Twenty-five seeds were used with four replicates per treatment at three exposure times, totaling 1200 seeds.
2.6. Germination Response Variables
The seeds treated for 24, 48, and 72 h were assessed every 24 h during seven days, establishing as criterion the observation of a germinated seed with the appearance of the radicle (Figure 3). We considered a finished or inhibited germination process when no new germinated seeds were visible. After recording the data, the response variables: germination percentage (GP) [22], mean germination time (MGT) [23], germination rate (GR), and germination velocity coefficient (GVC) [22], were recorded for statistical analysis.
Figure 3.
Appearance of the radicle of S. edulis (Flores Olvera & Noguez) germinated with 25 mg L−1 of gibberellins at 48 h.
The expressions used for the estimation of germination variables are listed below.
Germination percentage (GP):
Mean germination time (MGT):
where: N indicates the number of seeds germinated on day “D”
Germination rate (GR):
where: “G” represents the number of germinated seeds in relation to “D”, which indicates the number of days
Germination velocity coefficient (GVC):
where: N is the number of seeds germinated each day and T is the number of days since sowing corresponding to N.
2.7. Experimental Design and Statistical Analysis
The experimental design was completely randomized, where a Petri dish with 25 seeds of S. edulis was the experimental unit (EU). The applied treatments were three doses of Biozyme® TS (12.5, 25.0, and 37.5 mg L−1 of gibberellins) and the control “distilled water” (0 mg L−1 of gibberellins). The experiment was carried out with four replicates per treatment and three exposure times (24, 48, and 72 h) for 48 experimental units (EU).
Results of the germination variables were analyzed with a parametric statistical method, using the Kolmogorov Smirnov normality test [24] and Levene’s similarity of variances test [25] to verify the normal distribution of the data. For this purpose, we transformed the GP data to fit them to the normal distribution by conversion to the square root of (% + 1) and compared differences between treatments with analysis of variance (ANOVA) and Tukey’s test of mean comparisons at a 95% significance level (p < 0.05).
For the numerical analysis, data were first tabulated and sorted in spreadsheets using Excel 365 version 2021 for Mac, and the freeware statistical software PAST version 4.04 for Mac was used [26].
3. Results
3.1. Germination Potential of S. edulis under Saline Conditions
The results obtained in the preliminary experiment to evaluate the germination response of S. edulis to salt (NaCl) concentrations were unsuccessful, none of the treatments promoted germination out of a total of 720 seeds. In the second experiment, modified by the immersion technique, only one germination of 180-seeds was recorded (Figure 4).
Figure 4.
Photographs of preliminary germination (salinity) experiments with S. edulis. (a,b) seeds without immersion treatment (c) seeds with previous immersion for 24 h in distilled water.
3.2. Kolmogorov Smirnov Normality and Levene’s Homoscedasticity Tests
We performed the normality and homoscedasticity tests before the ANOVA and comparison of means, the results of which are displayed below (Table 1 and Table 2).
Table 1.
Normality test for the variables germination percentage (GP) (transformed values), mean germination time (MGT), germination rate (GR) and germination velocity coefficient (GVC).
Table 2.
Homoscedasticity test for the variables germination percentage (GP) (transformed values), mean germination time (MGT), germination rate (GR) and germination velocity coefficient (GVC).
The estimated statistics for normality and homoscedasticity tests were favorable to apply parametric statistical analyses, except for three of 24 cases when the test for equality of variances did not detect similarity. Despite these anomalous cases, and because most matched the assumptions of normality and homoscedasticity, it was possible to continue with the analysis of variance and comparison of means.
3.3. Effects of Treatments with the Regulator Biozyme® TS
3.3.1. Germination Percentage (GP) (Transformed Values)
For the 24 h of immersion, the dose of gibberellin of 37.5 mg L−1 produced the best response with 4.5 units of transformed germination percentage, which contrasts significantly with the treatments without the regulator and with the low dose of 12.5 mg L−1 of giberellins; 12.5, 25.0 and 37.5 mg L−1 were statistically similar, and superior to the control (p < 0.05 for 0 vs. 12.5; p < 0.01 for 0 vs. 25.0; p < 0.001 for 0 vs. 37.5). At 48 h, the highest value was reached with 25.0 mg L−1, reaching 5.5 units, which was higher than the doses 12.5 and 37.5 mg L−1, which were statistically similar; the differences with the control were highly significant (p < 0.05 for 0 vs. 12.5; p < 0.01 for 0 vs. 25.0; p < 0.05 for 0 vs. 37.5). At 72 h, the highest value was 6.0 units with 25.0 mg L−1, a similar response as the observed at 48 h. The comparisons 12.5 vs. the control, 12.5 vs. 37.5 mg L−1, and 25.0 vs. 37.5 mg L−1 were statistically similar; significant differences were observed for three comparisons (p < 0.001 for 0 vs. 25.0; p < 0.05 for 12.5 vs. 25.0; p < 0.001 for 0 vs. 37.5) (Figure 5, Table 3).
Figure 5.
Response of germination percentage (GP) (transformed values) to Biozyme® TS (gibberellins), with: (a) 24 h, (b) 48 h, and (c) 72 h of immersion.
Table 3.
Comparison of means of germination percentage (GP) (transformed values) with 24, 48, and 72 h of immersion in Biozyme® TS (gibberellins), according to Tukey HSD.
3.3.2. Mean Germination Time (MGT)
At 24 h of immersion, the dose of 12.5 mg L−1 of gibberellin evidenced an adequate response, 2 days, being statistically similar to 25 (p > 0.05), also to the treatments without the regulator (no responses) and 37.5 mg L−1 (p > 0.05), which reflected after 4 days. At 48 h, 37.5 mg L−1 was the best dose with 1.5 days, but statistically different to 25 mg L−1 (p < 0.05), while 12.5 and 25.0 mg L−1 were statistically similar, reflecting 2.5 and 3 days; the treatment without the regulator did not evidence any response. At 72 h, the dose of 12.5 mg L−1 reached one day, but it was statistically similar to 25.0 and 37.5 mg L−1, both responding in 1.5 days.
Figure 6.
Response of mean germination time (MGT) to Biozyme® TS (gibberellins), with: (a) 24 h, (b) 48 h, and (c) 72 h of immersion.
Table 4.
Comparison of means of mean germination time (MGT) with 24, 48, and 72 h of immersion in Biozyme® TS (gibberellins), according to Tukey HSD.
3.3.3. Germination Rate (GR)
At 24 h of immersion, all treatments were similar due to the wide variation detected for the group 37.5 mg L−1. In this sense, we could only suggest a non-statistical superiority of this dose when compared with the others; however, no differences were detected; the only noticeable comparison was 0 vs. 37.5, but it was not significant (p = 0.06). For the 48 h, the best treatment was 25.0 mg L−1 being statistically superior to the control (p < 0.05), reaching 12% per day. The doses 0, 12.5, and 37.5 mg L−1 reflected low values, being similar but statistically different to 25 mg L−1. For 72 h, the control treatment and 12.5 were statistically similar, also 12.5, 25.0 and 37.5 mg L−1, but the best treatments were 25.0 and 37.5 mg L−1 with no statistical differences between them; the significant differences were 0 vs. 25.0 (p < 0.01), 12.5 vs. 25.0 (p < 0.05), and 0 vs. 37.5 (p < 0.05); the best treatment was 25.0 mg L−1 since it would imply a lower economic cost (Figure 7, Table 5).
Figure 7.
Response of germination rate (GR) to Biozyme® TS (gibberellins), with: (a) 24 h, (b) 48 h, and (c) 72 h of immersion.
Table 5.
Comparison of means of germination rate (GR) with 24, 48, and 72 h of immersion in Biozyme® TS (gibberellins), according to Tukey HSD.
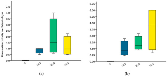
3.3.4. Germination Velocity Coefficient (GVC)
For 24 h of immersion, the control, 12.5, and 37.5 mg L−1 were statistically similar; the only significant difference was for 0 vs. 25.0 (p < 0.05). The 25 mg L−1 group evidenced high variability; the best response was observed with 25.0, compared to the control (p < 0.05). At 48 h, the control, 12.5 and 25.0 mg L−1 were statistically similar each other. The only significant difference was 0 vs. 37.5 mg L−1 (p < 0.01), accordingly, the best dose was 37.5 mg L−1. The doses 0 and 12.5 mg L−1 reflected the lowest values. At 72 h, the control compared with 12.5 and 37.5, as well as 25.0 and 37.5 mg L−1 were statistically similar. The significant differences were detected for 0 vs. 25.0 (p < 0.01) and 12.5 vs. 25.0 (p < 0.05); the dose 25.0 mg L−1 was superior to the others, but it was similar to 37.5 mg L−1 (Figure 8, Table 6).

Figure 8.
Response of germination velocity coefficient (GVC) to Biozyme® TS (gibberellins), with: (a) 24 h, (b) 48 h, and (c) 72 h of immersion.
Table 6.
Comparison of means of germination velocity coefficient (GVC) with 24, 48, and 72 h of immersion in Biozyme® TS (gibberellins), according to Tukey HSD.
Remarks. The differences observed for the MGT variable show that significance was observed only for the treatments 12.5 (p < 0.01 **) and 25.0 (p < 0.001 ***) vs. 0 for the 48 h of immersion, calculating an average of 6.6 and 7.8 days reflected for the MGT variable. A significant difference was also observed when comparing the dose of 25.0 (*) with 0 at 72 h of immersion. In this case 4.4 days were required (Table 5). A summary of responses of the germination percentage to gibberellins is shown in Figure 9, where it is noticed that the best dose in general was 25.0 mg L−1, although the 50% of germination was not reached. In consequence, this is the suggested dose for germinating at T50; Figure 10 displays the observed and expected tendencies.
Figure 9.
Summary of responses of the germination percentage to Biozyme® TS (gibberellins) for 24, 48, and 72 h of immersion displaying the best dose for each time.
Figure 10.
Responses tendency of the germination percentage to Biozyme® TS (gibberellins) through time, displaying the best dose to reach T50. A: Observed tendency; B: Expected tendency.
4. Discussion
According to the results of our preliminary experiment on the response of S. edulis to salt concentrations, a notorious seed dormancy was evident. We infer that the primary mechanism observed in S. edulis is attributed to the prevailing physiological condition. In previous studies on the dormancy of the genus, Binet and Boucaud [27] and Capilupo and Ungar [28] found that the species S. maritima and S. depressa have seeds with inherent dormancy. This effect obeys the integument’s physical resistance, associated with low gibberellin levels (Boucaud and Ungar [29]). Other authors mention that mechanically induced dormancy may be associated with reduced hormonal control [30] and that gibberellin is the principal hormone responsible for initiating germination [31].
For Salsola affinis, another halophyte of the subfamily Chenopodiaceae, the germination rate (TG50) at 0–0.6 mol/L NaCl decreased with increasing salinity. In their habitat, seeds do not germinate when salinity is high in the dry season; the seed’s ability to remain dormant at high salinity but germinate at low salinity after the soil solution dilutes by rain is an adaptation to desert-saline conditions [32]. In our study, a possible explanation why the seeds showed a notoriously low germination percentage (0 and 0.56%, respectively) is that some of the seed’s properties prevent a correct absorption, reflecting a selective or incipient permeability. Pujol et al. [33] observed a significant reduction in time compared to the germination rate in distilled water, where the halophytes studied needed 6 d after transfer to recover 50% of germination.
According to the classification of Nikolaeva [34,35] about the seeds with “endogenous or exogenous” dormancy (EnD, ExD), the embryo has some characteristic that prevents germination in a kind of endogenous dormancy. In this type of dormancy, the attributes of the structures surrounding the seed-embryo, including the endosperm, perisperm, seed coat, or fruit walls, prevent or delay the germination process. In some cases, seeds fail to germinate because their structures are impermeable to water. Accordingly, in seeds possessing EnD or ExD, changes occur if they can mitigate or eliminate the hurdles that prevent germination. This classification [35], including the type of EnD, points out that the seeds with physiological dormancy (PD), morphological dormancy (MD), or morphological-physiological dormancy (MPD) are affected by factors related to the physiological inhibition mechanism (PIM). About the ExD, this author pointed out that seeds with physical, chemical, and mechanical dormancy (PD, CD, MD) are affected by the seed coatings, fruit impermeable to water, germination inhibitors, and woody structures that restrict growth respectively. According to Baskin and Baskin [36,37], and Rosbakh et al. [38], the endogenous physiological dormancy (EPD) can be classified into three categories: Non-deep, Intermediate, and Deep, which are the most common types of seed dormancy.
We found that the immersion technique in distilled water was not favorable to break the dormancy of S. edulis seeds, so we infer that these seeds possess intermediate or deep physiological dormancy. According to Kosma et al. [39], the above emerges of macrosclerotic cells of the outer integument, incorporating suberin deposits and developing external coatings. Physical dormancy is caused by one or more water-impermeable layers composed of cells arranged or grouped so that the surface of the seed or fruit forms a palisade. On the other hand, abscisic acid levels can counteract growth-promoting enzymes or substances responsible for growth, such as gibberellic acid [40]. To achieve germination, several of these substances solubilize in water and are leached into seeds and embryos, changing the balance of chemicals responsible for germination [41]. In some cases, other compounds would need to be alleviated and mitigated with some chemicals to reduce their concentration [42]. Temperature also favors the production of hormones and enzymes that promote growth in the embryonic axis. Cool temperatures play an important role, as they modify the balance of promoters and inhibitors [43].
In the family Amaranthaceae, the genera with this type of dormancy are Amaranthus, Portulaca, and Suaeda [44,45]. In this sense, Hameed et al. [46] observed the maximum (~50, 30 and 20%) seed germination under complete darkness (GD) in distilled water (0 MPa) at 25/35, 20/30 and 15/25 °C, respectively. Tiwari et al. [47] suggested that the melting and freezing of the soil can break the seed’s coat of some cultivars. The above explains the field conditions in central Mexico, such as Texcoco and Mexico City, where the species S. edulis reproduces naturally, characterized by a temperate climate during most of the year, which is appropriate for crop development. Another condition associated with the dormancy interruption of S. edulis in these localities obeys to a low night temperature, which appears to facilitate germination.
5. Conclusions
According to our research, we propose that the genus Suaeda and the species S. edulis are described as a group of wild plants with endogenous physiological dormancy (EPD) that have fully developed embryos. Accordingly, the main cause of physiological dormancy is attributed to a physiological inhibition mechanism (PIM) that is not of the morphological or morphological-physiological type with underdeveloped embryos; however, it can also occur in combination with exogenous physical dormancy (EPD) as the seed coatings are hard, suberized, and impermeable to water [35].
In the initial experiment, the different salinity concentrations with the control (distilled water) did not interrupt dormancy in S. edulis according to the data obtained. From the null germination results, the application of different immersion times combined with levels gradient of gibberellins evidenced a favorable trend for dormancy interruption, but germination rate and percentage were low. Experimental evidence suggests that the convenient combinations for germination percentage, as one of the most relevant indicators, involved doses 25.0 and 37.5 mgL−1 of gibberellins compared to the control (0) for all soaking times. However, the highest values of this variable were observed for the 24 h immersion time.
To solve dormancy, at least partially, gibberellins and other adjuvant regulators promoted a very low germination percentage of S. edulis. Physiological changes were observed in the seed embryo resulting in an adjustment in the growth potential, since only a small emergence of the radicle through the protective seed coat was observed.
We conclude that for improving germination of S. edulis seeds, it is necessary to assess a dose-gradient of gibberellins, starting at 25.0–37.5 mg L−1 with intermediate and higher values, in order to break dormancy. It is important to note that the germination rate in emerging crops, which still have a wide range of wild attributes, is of utmost importance for their adoption since it implies high investment costs for their successful establishment.
Author Contributions
Conceptualization, B.M.-A. and F.R.C.-B.; methodology, E.T.-D. and F.R.C.-B.; software, F.R.C.-B. and E.T.-D.; validation, A.N.-G. and H.S.G.-G.; formal analysis, E.T.-D. and F.R.C.-B.; investigation, H.S.G.-G. and L.A.B.-S.; resources, E.T.-D. and A.N.-G.; data curation, F.R.C.-B. and E.T.-D.; writing-original draft preparation, F.R.C.-B. and E.T.-D.; writing-review and editing, E.T.-D. and F.R.C.-B.; visualization, L.A.B.-S. and H.S.G.-G.; supervision, B.M.-A. and A.N.-G.; project administration, A.N.-G. and B.M.-A.; funding acquisition, A.N.-G. All authors have read and agreed to the published version of the manuscript.
Funding
This research was funded by the National Council of Science and Technology of Mexico (CONACYT) through the economic support granted for the first author doctoral studies, which made it possible to finance the equipment’s and accessories used in this research through grant number 766309. The APC was funded by Project 10025 of the Center for Biological Research of Northwest Mexico (CIBNOR).
Institutional Review Board Statement
Not applicable.
Informed Consent Statement
Not applicable.
Data Availability Statement
The data belong to a specific PhD study of the Center for Biological Research of Northwestern Mexico S.C. (CIBNOR); they can be consulted by direct link with the first author or the corresponding author.
Acknowledgments
The first author thanks to Roberto Noguez-Hernández of Chapingo Autonomous University, for seeds, and information about Suaeda edulis.
Conflicts of Interest
The authors declare no conflict of interest. The funders had no role in the design of the study; in the collection, analyses, or interpretation of data; in the writing of the manuscript, or in the decision to publish the results.
References
- Re-Comiendo México. Available online: https://recomiendomexico.wordpress.com/2016/10/07/el-origen-de-los-romeritos/ (accessed on 3 September 2021).
- Protocolo Foreign Affairs & Lifestyle. Lista la Producción de Romeritos en San Andrés Mixquic. Available online: http://www.protocolo.com.mx/comercio-y-negocios/lista-la-produccion-de-romeritos-en-san-andres-mixquic/ (accessed on 3 September 2021).
- SIAP (Servicio de Información Agroalimentaria y Pesquera). Los Romeritos. Available online: https://www.gob.mx/siap/articulos/los-romeritos (accessed on 6 September 2021).
- Bye, R.; Linares, E. Los quelites, plantas comestibles de México: Una reflexión sobre intercambio cultural. Biodiversitas 2000, 31, 11–14. [Google Scholar]
- El Universal. ¿Sabías Que los Romeritos son un Quelite? Available online: https://www.eluniversal.com.mx/menu/sabias-que-los-romeritos-son-un-quelite (accessed on 6 September 2021).
- El poder del Consumidor. El poder de… Los Romeritos. Available online: https://elpoderdelconsumidor.org/2015/12/el-poder-de-los-romeritos/ (accessed on 7 September 2021).
- Costa-Becheleni, F.R.; Troyo-Diéguez, E.; Nieto-Garibay, A.; Bustamante-Salazar, L.A.; García-Galindo, H.S.; Murillo-Amador, B. Hydro-Environmental Criteria for Introducing an Edible Halophyte from a Rainy Region to an Arid Zone: A Study Case of Suaeda spp. as a New Crop in NW México. Plants 2021, 10, 1996. [Google Scholar] [CrossRef]
- Noguez-Hernández, R.; Carballo-Carballo, A.; Flores-Olvera, H. Suaeda edulis (Chenopodiaceae), Una nueva especies de lagos salinos del centro de México. Bot. Sci. 2013, 91, 19–25. Available online: http://www.scielo.org.mx/scielo.php?script=sci_arttext&pid=S2007-42982013000100003&Ing=es&tlng= (accessed on 7 September 2021). [CrossRef] [Green Version]
- Diario Oficial de la Federación (DOF). Lista de Especies en Riesgo de la Norma Oficial Mexicana NOM-059-SEMARNAT-2010. Available online: https://www.dof.gob.mx/nota_detalle.php?codigo=5578808&fecha=14/11/2019 (accessed on 8 September 2021).
- Carballo-Carballo, A.; Noguez-Hernández, R.; Zárate-Castrejón, J.L.; Espinosa-Cruz, R. El romerito: Una hortaliza cultivada en el Distrito Federal. Technical Report, Colegio de Postgraduados. México. 2011. Available online: https://www.worldcat.org/title/romerito-una-hortaliza-cultivada-en-el-distrito-federal/oclc/892920676 (accessed on 8 September 2021).
- Gobierno de México (Gob.mex). Romerito. Monografías. Available online: https://www.gob.mx/cms/uploads/attachment/file/96324/Romerito_monografias.pdf (accessed on 8 September 2021).
- Gold, K.; León-Lobos, P.; Way, M. Manual de Recolección de Semillas de Plantas Silvestres. 2004. Available online: Bosques.ciren.cl/handle/123456789/32083 (accessed on 9 September 2021).
- Núñez Cuerda, E. Respuestas a la Salinidad en Varias Especies Halófitas Adaptadas a Diferentes Hábitats. Grado en Biología, Universidad de Jaén. Repository of Academic Reports, University of Jaén. 2020. Available online: Tauja.ujaen.es/handle/10953.1/12300 (accessed on 9 September 2021).
- Mendoza, A.B. Ecofisiología y bioquímica del estrés en plantas. Departamento de Horticultura, Universidad Autonoma Agraria Antonio Narro, Buenavista, Saltillo, Coah. México. 2002. Available online: https://www.researchgate.net/profile/Adalberto-Benavides-Mendoza/publication/305346608_Ecofisiologia_y_bioquimica_del_estres_en_plantas/links/57893ca808ae59aa6675e204/Ecofisiologia-y-bioquimica-del-estres-en-plantas.pdf (accessed on 10 September 2021).
- Jurado, E.; Flores, J. Is seed dormancy under environmental control or bound to plant traits? J. Veg. Sci. 2005, 16, 559–564. [Google Scholar] [CrossRef]
- Bewley, J.D.; Black, M. Physiology and Biochemistry of Seeds in Relation to Germination: Volume 2: Viability, Dormancy, and Environmental Control; Springer Science & Business Media: Berlin/Heidelberg, Germany, 2012; Available online: https://books.google.es/books?hl=es&lr=&id=91nsCAAAQBAJ&oi=fnd&pg=PA1&dq=Physiology+and+biochemistry+of+seeds+in+relation+to+germination&ots=sy3VshRCLs&sig=1nACcMkiGfliDeN_eqZkIKwFxkI#v=onepage&q=Physiology%20and%20biochemistry%20of%20seeds%20in%20relation%20to%20germination&f=false (accessed on 10 September 2021).
- Finkelstein, R.; Reeves, W.; Ariizumi, T.; Steber, C. Molecular aspects of seed dormancy. Annu. Rev. Plant. Biol. 2008, 59, 387–415. [Google Scholar] [CrossRef] [Green Version]
- Beevers, H. Metabolic Sinks. Agronomy & Horticulture-Faculty Publications 182. 1969. Available online: https://digitalcommons.unl.edu/cgi/viewcontent.cgi?article=1189&context=agronomyfacpub (accessed on 15 September 2021).
- Finch-Savage, W.E.; Leubner-Metzger, G. Seed dormancy and the control of germination. New Phytologist. 2006, 171, 501–523. [Google Scholar] [CrossRef] [PubMed]
- Linkies, A.; Leubner-Metzger, G. Beyond gibberellins and abscisic acid: How ethylene and jasmonates control seed germination. Plant Cell Rep. 2012, 31, 253–270. [Google Scholar] [CrossRef]
- Sánchez-Tizapantzi, G.; Ruiz-Font, A. Efecto del NaCl y de los termoperiodos sobre la germinación de semillas de Suaeda mexicana (Standl.) Standl. (Chenopodiaceae). Rev. Tecnol. Marcha. 2012, 25. [Google Scholar] [CrossRef]
- Al-Mudaris, M.A. Notes on various parameters recording the speed of seed germination. Der Trop. J. Agri. Trop. Subtrop. 1998, 99, 147–154. Available online: https://www.jarts.info/index.php/tropenlandwirt/article/view/1495 (accessed on 10 September 2021).
- Orchard, T.J. Estimating the parameters of plant seedling emergence. Seed Sci. Technol. Available online: https://agris.fao.org/agris-search/search.do?recordID=US201302496360 (accessed on 10 September 2021).
- Kolmogorov-Smirnov Test of Normality (Social Science Statistics). Available online: https://www.socscistatistics.com/tests/kolmogorov/default.aspx (accessed on 10 September 2021).
- Levene’s Homocedasticity Test of Similarity of Variances (Statistics Kingdom). Available online: https://www.statskingdom.com/230var_levenes.html (accessed on 10 September 2021).
- PAST (The Past of the Future) Version 4.04 (mac). Available online: https://www.nhm.uio.no/english/research/infrastructure/past/ (accessed on 12 September 2021).
- Binet, P.; Boucaud, J. Dormance, levée de dormance et aptitude à germer en milieu salé dans le genre Suaeda forsk. Bull. Soc. Fr. Physiol. Vég. 1968, 14, 125–132. [Google Scholar]
- Capilupo, F.; Ungar, I.A. An ecological life history study of Suaeda depressa (Pursh) Wats. Adv. Front. Plant. Sci. 1969, 23, 137–158. Available online: https://ci.nii.ac.jp/naid/10016578686/ (accessed on 10 September 2021).
- Boucaud, J.; Ungar, I.A. The role of hormones in controlling the mechanically induced dormancy of Suaeda spp. Physiol. Plant 1973, 29, 97–102. [Google Scholar] [CrossRef]
- Wareing, P.F.; Saunders, P.F. Hormones, and dormancy. Annu. Rev. Plant. Biol. 1971, 22, 261–288. [Google Scholar] [CrossRef]
- Khan, A.A. Cytokinins: Permissive role in seed germination. Science 1971, 171, 853–859. Available online: https://www.jstor.org/stable/1731340 (accessed on 15 October 2021). [CrossRef]
- Wei, Y.; Dong, M.; Huang, Z.Y.; Tan, D.Y. Factors influencing seed germination of Salsola affinis (Chenopodiaceae), a dominant annual halophyte inhabiting the deserts of Xinjiang, China. Flora-Morphol. Distrib. Funct. Ecol. Plants 2008, 203, 134–140. [Google Scholar] [CrossRef]
- Pujol, J.A.; Calvo, J.F.; Ramirez-Diaz, L. Recovery of germination from different osmotic conditions by four halophytes from southeastern Spain. Ann. Bot. 2000, 85, 279–286. [Google Scholar] [CrossRef] [Green Version]
- Nikolaeva, M.G. Physiology of Deep Dormancy in Seeds. Izdatel’stvo “Nauka,” Leningrad. Translated from Russian by Z. Shapiro, National Science Foundation, Washington, D.C. 1969. Available online: https://agris.fao.org/agris-search/search.do?recordID=US201300461276 (accessed on 15 October 2021).
- Nikoaleva, M.G. Factors controlling the seed dormancy pattern. In The Physiology and Biochemistry of Seed Dormancy and Germination; Khan, A.A., Ed.; North-Holland: Amsterdam, The Netherlands; New York, NY, USA, 1977; pp. 51–74. Available online: https://agris.fao.org/agris-search/search.do?recordID=US201302404007 (accessed on 15 October 2021).
- Baskin, C.C.; Baskin, J.M. Seeds: Ecology, Biogeography, and Evolution of Dormancy and Germination; Elsevier: Amsterdam, The Netherlands, 1998; Available online: https://books.google.es/books?hl=es&lr=&id=vXfNCgAAQBAJ&oi=fnd&pg=PP1&dq=Seeds:+ecology,+biogeography,+and+evolution+of+dormancy+and+germination&ots=-rhk-hGRve&sig=CbjKNJwKk6JbaHvowEPGGCEtMjo#v=onepage&q=Seeds%3A%20ecology%2C%20biogeography%2C%20and%20evolution%20of%20dormancy%20and%20germination&f=false (accessed on 15 October 2021).
- Baskin, J.M.; Baskin, C.C. A classification system for seed dormancy. Seed Sci. Res. 2004, 14, 1–16. [Google Scholar] [CrossRef] [Green Version]
- Rosbakh, S.; Baskin, C.C.; Baskin, J.M. Nikolaeva et al.’s reference book on seed dormancy and germination. Ecology 2020, 101, e03049. [Google Scholar] [CrossRef] [PubMed]
- Kosma, D.K.; Murmu, J.; Razeq, F.M.; Santos, P.; Bourgault, R.; Molina, I.; Rowland, O. At MYB 41 activates ectopic suberin synthesis and assembly in multiple plant species and cell types. Plant J. 2014, 80, 216–229. [Google Scholar] [CrossRef] [PubMed] [Green Version]
- Amen, R.D. A model of seed dormancy. Bot. Rev. 1968, 34, 1–31. [Google Scholar] [CrossRef]
- Mousavi, S.R.; Rezaei, M.; Mousavi, A. A general overview on seed dormancy and methods of breaking it. Adv. Environ. Biol. 2011, 5, 3333–3337. Available online: https://link.gale.com/apps/doc/A275851029/AONE?u=anon~3817724b&sid=googleScholar&xid=530acd5e (accessed on 15 October 2021).
- Otroshy, M.; Zamani, A.; Khodambashi, M.; Ebrahimi, M.; Struik, P.C. Effect of exogenous hormones and chilling on dormancy breaking of seeds of asafoetida (Ferula assafoetida L.). J. Seed Sci. 2009, 2, 9–15. [Google Scholar] [CrossRef] [Green Version]
- Erker, B. Seed Dormancy Mechanisms; Colorado Seed Laboratory, Department of Soil and Crop Sciences: Fort Collins, CO, USA, 2010. [Google Scholar]
- Leon, R.G.; Bassham, D.C.; Owen, M.D. Germination and proteome analyses reveal intraspecific variation in seed dormancy regulation in common waterhemp (Amaranthus tuberculatus). Weed Sci. 2006, 54, 305–315. [Google Scholar] [CrossRef]
- Geneve, R.L. Seed dormancy in commercial vegetable and flower species. Seed Technol. 1998, 236–250. Available online: https://www.jstor.org/stable/23433025 (accessed on 16 October 2021).
- Hameed, A.; Ahmed, M.Z.; Gulzar, S.; Gul, B.; Alam, J.; Hegazy, A.K.; Alatar, A.R.A.; Khan, M.A. Seed germination and recovery responses of Suaeda heterophylla to abiotic stresses. Pak. J. Bot. 2013, 45, 1649–1656. Available online: https://www.researchgate.net/publication/256706040_Seed_germination_and_recovery_responses_of_Suaeda_heterophylla_to_abiotic_stresses (accessed on 27 December 2021). [CrossRef]
- Tiwari, A.K.; Tiwari, T.N.; Prasad, S.R. Seed dormancy in ornamental plants: A review. Indian J. Agric. Sci. 2016, 86, 580–592. Available online: https://www.cabdirect.org/cabdirect/abstract/20163195467 (accessed on 15 October 2021).
Publisher’s Note: MDPI stays neutral with regard to jurisdictional claims in published maps and institutional affiliations. |
© 2021 by the authors. Licensee MDPI, Basel, Switzerland. This article is an open access article distributed under the terms and conditions of the Creative Commons Attribution (CC BY) license (https://creativecommons.org/licenses/by/4.0/).