Cultivation of Cowpea Challenges in West Africa for Food Security: Analysis of Factors Driving Yield Gap in Benin
Abstract
1. Introduction
2. Materials and Methods
2.1. Case Study of Villages
2.2. Field Survey
2.3. Soil Sampling and Analysis
2.4. Calculations and Statistical Analyses
3. Results
3.1. Description of Cowpea Cropping Systems
3.2. Agricultural Practices Driving Cowpea Yields
3.3. Physico-Chemical Characteristics of Soil Driving Cowpea Yields
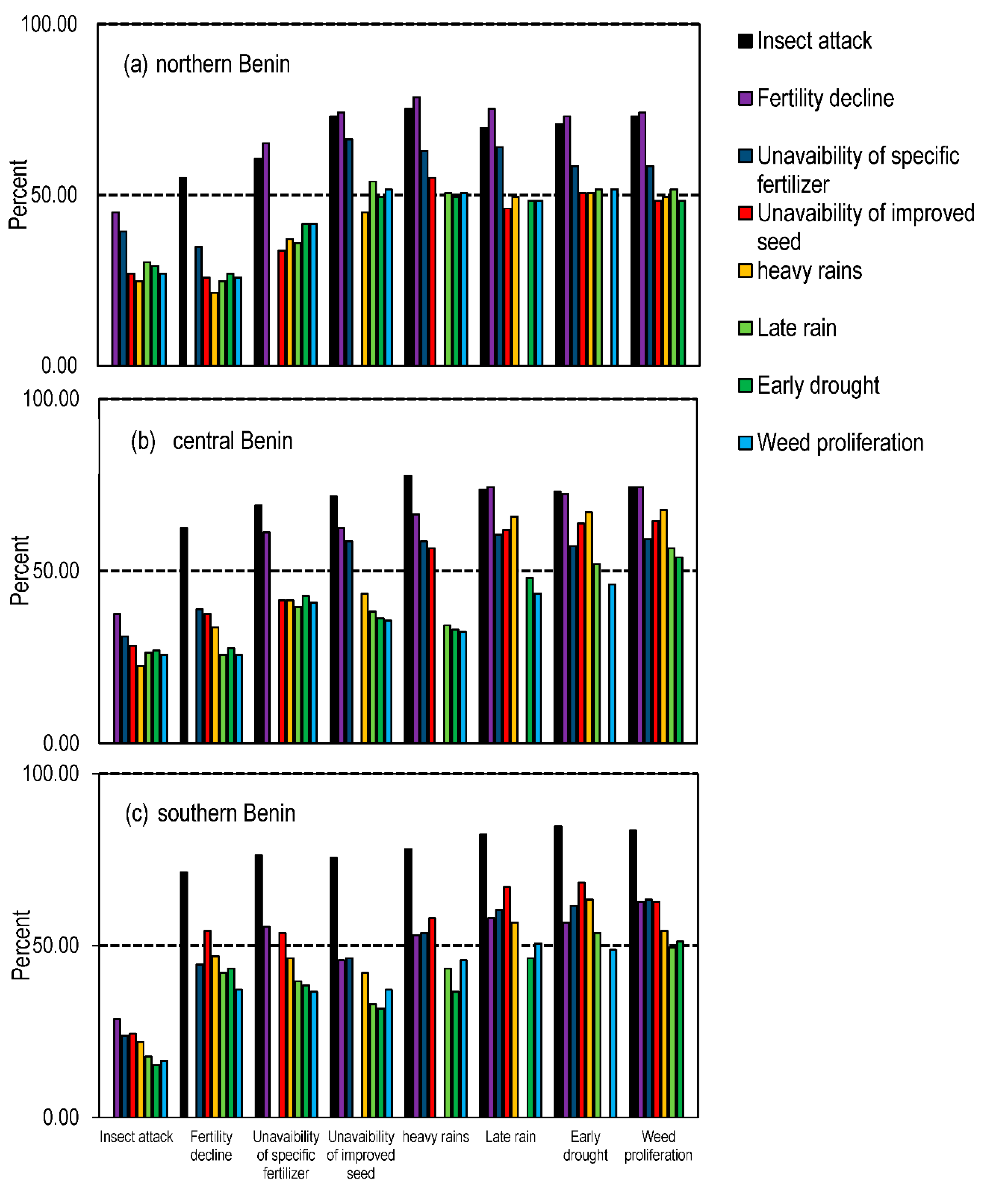
3.4. Items of Cowpea Cropping System and Environment Responsible for Poor Performance
4. Discussion
4.1. Effect of Cropping System on Cowpea Productivity
4.2. Strategies to Improve Cowpea Productivity
5. Conclusions
Author Contributions
Funding
Institutional Review Board Statement
Informed Consent Statement
Data Availability Statement
Conflicts of Interest
References
- Ozor, N.; Umunnakwe, P.C.; Acheampong, E. Challenges of Food Security in Africa and the Way Forward. Development 2014, 56, 404–411. [Google Scholar] [CrossRef]
- Sasson, A. Food security for Africa: An urgent global challenge. Agric. Food Secur. 2012, 1, 2. [Google Scholar] [CrossRef]
- Foster, V.; Briceño-Garmendia, C. (Eds.) Africa’s Infrastructure: A Time for Transformation; World Bank: Washington, DC, USA, 2010. [Google Scholar]
- Asenso-Okyere, K.; Jemaneh, S. Increasing Agricultural Productivity and Enhancing Food Security in Africa: New challenges and Opportunities; International Food Policy Research Institute: Washington, DC, USA, 2012. [Google Scholar]
- El Naim, A.M.; Abereldar, A.A. Effect of plant density and cultivar on growth and yield of cowpea (Vigna unguiculata L. Walp). Aust. J. Basic Appl. Sci. 2010, 4, 3148–3153. [Google Scholar]
- Munthali, M.W.; Senkoro, C.; Nalivata, P.; Makumba, W.I.; Mzimbiri, M.; Wortmann, C. Cowpea nutrient responses for Malawi and Tanzania. Afr. J. Agric. Res. 2018, 13, 1026–1032. [Google Scholar] [CrossRef]
- Maman, N.; Garba, M.; Wortmann, C.S. Optimizing Fertilizer Use within the Context Of integrated Soil Fertility Management in Niger. In Fertilizer Use Optimization in SubSaharan Africa; Wortmann, C.S., Sones, K., Eds.; CABI: London, UK, 2017; pp. 136–147. [Google Scholar]
- Nkaa, F.A.; Nwokeocha, O.W.; Ihuoma, O. Effect of Phosphorus fertilizer on growth and yield of cowpea (Vigna unguiculata). IOSR J. Pharm. Biol. Sci. 2014, 9, 74–82. [Google Scholar]
- Kolawale, G.O.; Tian, G.; Singh, B.B. Differential response of cowpea varieties to aluminum and phosphorus application. J. Plant Nutr. 2000, 23, 731–740. [Google Scholar] [CrossRef]
- Sanginga, N.; Lyasse, O.; Singh, B.B. Phosphorus use efficiency and nitrogen balance of cowpea breeding lines in a low P soil of the derived savanna zone in West Africa. Plant Soil 2000, 220, 119–128. [Google Scholar] [CrossRef]
- Kamara, A.Y.; Omoigui, L.O.; Nkeki, K.; Sylvester, U.E.; Hakeem, A.A. Improving Cultivation of Cowpea in West Africa. In Achieving Sustainable Cultivation of Grain Legumes Volume 2: Improving Cultivation of Particular Grain Legumes; Sivasankar, S., Bergvinson, D., Gaur, P., Kumar, S., Beebe, S., Tamò, M., Eds.; Burleigh Dodds Science Publishing: Cambridge, UK, 2018. [Google Scholar]
- Nurudeen, A.R.; Asamoah, L.; Bekele, K.; Francis, M.T.; Irmgard, H.-Z. Does Nitrogen Matter for Legumes? Starter Nitrogen Effects on Biological and Economic Benefits of Cowpea (Vigna unguiculata L.) in Guinea and Sudan Savanna of West Africa. Agronomy 2018, 8, 120. [Google Scholar] [CrossRef]
- Singh, S.R.; Jackai, L.E.N.; Dos Santos, J.H.R.; Adalla, C.B. Insect Pests of Cowpeas. In Insect Pests of Tropical Legumes; Singh, S.R., Ed.; John Wiley & Sons: Chichester, UK, 1990; pp. 43–90. [Google Scholar]
- Ajeigbe, H.A.; Ekeleme, F.; Chikoye, D. Improved Crop—Livestock System for Enhanced Food Security and Income Generation in West Africa: Final Project Report: Gatsby Improved Crop–Livestock Project (Project Number: GAT2833); International Institute of Tropical Agriculture (IITA): Ibadan, Nigeria, 2010; p. 50. [Google Scholar]
- Nouhoheflin, T.; Coulibaly, O.; Adegbidi, A. Impact de l’adoption des nouvelles technologies sur l’efficacité de la production du niébé au Bénin. Bull. Rech. Agron. Bénin 2003, 40, 10–18. [Google Scholar]
- Anago, N.F.; Dagbenonbakin, G.D.; Agbangba, E.C.; Oussou, C.T.B.; Chabi, F.; Saïdou, A.; Amadji, G.L. Cowpea [Vigna Unguiculata (L.) walp.] cropping systems mapping and farmers’ perception on soil fertility in Benin. Annales des sciences agronomiques. J. Mond. Sols 2018, 1, 65–77. [Google Scholar]
- Gbaguidi, A.A.; Faouziath, S.; Orobiyi, A.; Dansi, M.; Akouegninou, B.A.; et Dansi, A. Connaissances endogènes et perceptions paysannes de l’impact des changements climatiques sur la production et la diversité du niébé (Vigna unguiculata (L.) Walp.) et du voandzou (Vigna subterranea (L.) Verdc.) au Bénin. Int. J. Biol. Chem. Sci. 2015, 9, 2520–2541. [Google Scholar] [CrossRef]
- Ousmane, C.; Casimir, A.; Sika, G.; Hodeba, M.; Lowenberg-DeBoer, J. Baseline Study for Impact Assessment of High Quality Insect Resistant Cowpea in West Africa; African Agricultural Technology Foundation: Nairobi, Kenya, 2008. [Google Scholar]
- Hountondji, Y.-C.H. Environmental Dynamics in the Sahelian and Sudanian Zones of West Africa: Analysis of Changes and Evaluation of Vegetation Cover Degradation (In French). Ph.D. Thesis, University of Liège, Liège, Belgium, 23 June 2008. [Google Scholar]
- Kouélo, A.F.; Badou, A.; Houngnandan, P.; Francisco, M.M.F.; Gnimassoun, C.J.-B.; Sochime, D.J. Impact of tillage and mineral fertilization on the productivity of Macrotyloma geocarpum (Harms) in central Benin. J. Appl. Biosci. 2012, 51, 3625–3632. [Google Scholar]
- Mama, A.; Sinsin, B.; De Canniere, C.; Bogaert, J. Anthropization and landscape dynamics in the Sudanian zone in northern Benin. Tropicultura 2013, 31, 78–88. [Google Scholar]
- Rim, J.-Y.; Rouse, J. Knowing the village. In The Group Savings Resource Book; Cook, J., Ed.; FAO: Rome, Italy, 2002; pp. 60–66. [Google Scholar]
- Dieckow, J.; Mielniczuk, J.; Knicker, H.; Bayer, C.; Dick, D.P.; Kögel-Knabner, I. Comparison of carbon and nitrogen determination methods for samples of a Paleudult subjected to no-till cropping systems. Sci. Agric. 2007, 64, 532–540. [Google Scholar] [CrossRef]
- Boem, G.F.H.; Rubio, G.; Barbero, D. Soil phosphorus extracted by Bray 1 and Mehlich 3 soil tests as affected by the soil/solution ratio in Mollisols. Commun. Soil Sci. Plant Anal. 2011, 42, 220–230. [Google Scholar] [CrossRef]
- Sidi, N.; Aris, A.Z.; Talib, S.N.; Johan, S.; Yusoff, T.S.T.; Ismail, M.Z. Influential factors on the cation exchange capacity in sediment of Merambong Shoal, Johor. Procedia Environ. Sci. 2015, 30, 186–189. [Google Scholar] [CrossRef]
- Miriti, J.M.; Kironchi, G.; Esilaba, A.O.; Heng, L.K.; Gachene, C.K.K.; Mwangi, D.M. Yield and water use efficiencies of maize and cowpea as affected by tillage and cropping systems in semi-arid Eastern Kenya. Agric. Water Manag. 2012, 115, 148–155. [Google Scholar] [CrossRef]
- R Core Team. 2020. R: A language and environment for statistical computing. R Foundation for Statistical Computing, Vienna, Austria. Available online: http://www.R-project.org/ (accessed on 15 January 2021).
- Kassambar, A. Pipe-Friendly Framework for Basic Statistical Tests. R Package, Version 0.6.0. 2020. Available online: https://rpkgs.datanovia.com/rstatix/ (accessed on 15 January 2021).
- Terry, T.; Beth, A.; Brian, R. Recursive Partitioning and Regression Trees. R Package, Version 4.1-15. 2019. Available online: https://github.com/bethatkinson/rpart (accessed on 10 February 2020).
- Torsten, H.; Heidi, S.; Achim, Z. A Toolkit for Recursive Partitioning. R Package, Version 1.2-5. 2019. Available online: http://partykit.R-Forge.R-project.org/partykit (accessed on 10 February 2020).
- Lee, P.H.; Yu, P.L.H. Probability Models for Ranking Data. R Package, Version 1.2.5. 2015. Available online: https://rdrr.io/cran/pmr/ (accessed on 25 January 2021).
- Lee, P.H.; Yu, P.L. An R Package for Analyzing and Modeling Ranking Data. BMC Med. Res. Methodol. 2013, 13, 1–11. [Google Scholar] [CrossRef] [PubMed]
- Kamara, A.Y.; Chikoye, D.; Omoigui, L.O.; Dugje, I.Y. Influence of insecticide spraying regimes and cultivar on insect pests and yield of cowpea in the dry savannahs of north-east Nigeria. J. Food Agric. Environ. 2007, 5, 154–158. [Google Scholar]
- Kamara, A.Y.; Abdullahi, T.I.; Boahen, S.K.; Solomon, R.; Ajeigbe, H.A.; Kamai, N. Effects of plant density on the performance of cowpea in Nigerian savannas. Exp. Agric. 2016, 54, 1–13. [Google Scholar] [CrossRef]
- Olufajo, O.O.; Singh, B.B. Advances in Cowpea Cropping Systems Research. In Challenges and Opportunities for Enhancing Sustainable Cowpea Production; Fatokun, C.A., Tarawali, S.A., Singh, B.B., Kormawa, P.M., Tamo, M., Eds.; IITA: Ibadan, Nigeria, 2002; pp. 267–277. [Google Scholar]
- Bationo, A.B.R.; N’tare, S.; Tarawali, A.; Tabo, R. Soil Fertility Management and Cowpea Production in the Semiarid Tropics. In Challenges and Opportunities for Enhancing Sustainable Cowpea Production; Fatokun, C.A., Tarawali, S.A., Singh, B.B., Kormawa, P.M., Tamo, M., Eds.; IITA: Ibadan, Nigeria, 2002; pp. 301–318. [Google Scholar]
- Abaidoo, R.; Sanginga, C.N.; Okogun, J.A.; Kolawole, G.O.; Tossah, B.K.; Diels, J. Genotypic variation of soybean for phosphorus use efficiency and their contribution of N and P to subsequent maize crops in three ecological zones of West Africa. In Proceedings of the 5th Biennial Regional Maize Workshop, Cotonou, Benin, 3–6 May 2005; pp. 194–224. [Google Scholar]
- Ndakidemi, P.A.; Dakora, F.D. Yield components of nodulated cowpea (Vigna unguiculata (L.) Walp) and maize (Zea mays) plants grown with exogenous phosphorus in different cropping systems. Aust. J. Exp. Agron. 2007, 47, 587–590. [Google Scholar]
- Haruna, I.M.; Aliyu, L. Yield and economic returns of sesame (Sesamum indicum. L.) as influenced by poultry manure, nitrogen and phosphorus at Samaru, Nigeria. Elixir Agric. 2011, 39, 4884–4887. [Google Scholar]





| Characteristics | Southern Benin | Central Benin | Northern Benin |
|---|---|---|---|
| Dominant soil (USDA system) | Ferralsols, and Vertisols | Ferric and Plintic Luvisol | Ferric and Plintic Luvisol |
| Climate type | Subequatorial | Sudano-guinean | North-Sudanian |
| Annual rainfall | 900–1400 mm | 800–1100 mm | 700–900 mm |
| Rainy season | April–mid-July | June–September | June–September |
| Variables | North | Center | South |
|---|---|---|---|
| Field size (ha) | 0.68 ± 0.35 | 1.06 ± 0.44 | 0.89 ± 0.57 |
| Preceding crop (%) | |||
| Maize | 32 | 43 | 67 |
| Cotton | 23 | 32 | 13 |
| Sorghum | 21 | 16 | 4 |
| Soybean | 14 | 0 | 0 |
| Millet | 5 | 0 | 0 |
| Fallow | 2 | 4 | 3 |
| Other (Yam, Cassava, rice) | 3 | 5 | 13 |
| Residue management (%) | |||
| Exported | 89 | 32 | 21 |
| Burned | 2 | 11 | 16 |
| Incorporated | 9 | 57 | 63 |
| Herbicide application prior to land preparation (%) | |||
| Yes | 34 | 68 | 35 |
| No | 66 | 32 | 65 |
| Land preparation method (%) | |||
| Tillage at flat | 86 | 65 | 32 |
| Ridging | 0 | 14 | 57 |
| No tillage | 14 | 21 | 11 |
| Frequency of weeding (%) | |||
| No weeding | 13 | 19 | 8 |
| Hoe-weeding once | 42 | 54 | 15 |
| Herbicide once | 22 | 0 | 0 |
| Hoe-weeding twice | 19 | 17 | 65 |
| Herbicide once +Hoe-weeding once | 4 | 10 | 0 |
| Hoe-weeding three times | 0 | 0 | 12 |
| Fertilizer application (%) | |||
| Yes | 16 | 28 | 34 |
| No | 84 | 72 | 66 |
| Applied urea (kg ha−1) | 18.5 ± 5.8 | 34.54± 10.2 | 54.2 ± 7.6 |
| Applied PNK (kg ha−1) | 35 ± 9.4 | 47.6 ± 15.8 | 68.4 ± 12.7 |
| Insecticide application (%) | |||
| No insecticide use | 41 | 26 | 34 |
| Insecticide once | 24 | 46 | 41 |
| Insecticide twice | 19 | 16 | 22 |
| Insecticide three times | 16 | 12 | 3 |
| Intercropping (%) | |||
| Yes | 22 | 43 | 65 |
| No | 78 | 57 | 35 |
| Experience with cowpea cultivation (years) | 13.5 ± 2.8 | 12.5 ± 2.8 | 11.5 ± 2.8 |
Publisher’s Note: MDPI stays neutral with regard to jurisdictional claims in published maps and institutional affiliations. |
© 2021 by the authors. Licensee MDPI, Basel, Switzerland. This article is an open access article distributed under the terms and conditions of the Creative Commons Attribution (CC BY) license (https://creativecommons.org/licenses/by/4.0/).
Share and Cite
Anago, F.N.; Agbangba, E.C.; Oussou, B.T.C.; Dagbenonbakin, G.D.; Amadji, L.G. Cultivation of Cowpea Challenges in West Africa for Food Security: Analysis of Factors Driving Yield Gap in Benin. Agronomy 2021, 11, 1139. https://doi.org/10.3390/agronomy11061139
Anago FN, Agbangba EC, Oussou BTC, Dagbenonbakin GD, Amadji LG. Cultivation of Cowpea Challenges in West Africa for Food Security: Analysis of Factors Driving Yield Gap in Benin. Agronomy. 2021; 11(6):1139. https://doi.org/10.3390/agronomy11061139
Chicago/Turabian StyleAnago, Firmin N., Emile C. Agbangba, Brice T. C. Oussou, Gustave D. Dagbenonbakin, and Lucien G. Amadji. 2021. "Cultivation of Cowpea Challenges in West Africa for Food Security: Analysis of Factors Driving Yield Gap in Benin" Agronomy 11, no. 6: 1139. https://doi.org/10.3390/agronomy11061139
APA StyleAnago, F. N., Agbangba, E. C., Oussou, B. T. C., Dagbenonbakin, G. D., & Amadji, L. G. (2021). Cultivation of Cowpea Challenges in West Africa for Food Security: Analysis of Factors Driving Yield Gap in Benin. Agronomy, 11(6), 1139. https://doi.org/10.3390/agronomy11061139
