Abstract
UV-C irradiation is known to enhance plant resistance against insect pests. In the present study, we evaluated the effects of low doses of UV-C on Macrosiphum rosae infesting greenhouse rose (Rosa x hybrida) plants. The application of 2.5-kJ/m2 UV-C irradiation on rose leaves before infestation induced anti-herbivore resistance and negatively affected the aphid fecundity. No eggs and first instar nymphs were recorded on irradiated leaves, whereas an average of 4.3 and 2.7 eggs and 6.7 and 14 first instars were recorded on vars. “Etoile Brilante” and “Arlen Francis” untreated leaves, respectively. UV-C irradiation reduced the aphid population from naturally infested rose plants by up to 58%. In a greenhouse pot trial (GPT) in 2019, UV-C irradiation minimised the initial aphid population six hours after treatment. UV-C elicited host resistance and, also, helped in aphid repulsion without killing the adult individuals. UV-C did not affect the physiological responses of rose plants. The net CO2 assimilation of the UV-C irradiated plants ranged between 10.55 and 15.21 μmol/m2. sec for “Arlen Francis” and between 10.51 and 13.75 μmol/m2. sec for “Etoile Brilante” plants. These values, with only a few exceptions, were similar to those recorded to the untreated plants.
1. Introduction
UV irradiation is the spectrum of light from 100 to 400 nm (UV-C = 100–280 nm, UV-B = 280–315 nm and UV-A = 315–400 nm). The treatment of plants with UV has been associated with the potential induction of the phenylpropanoid pathway, leading to the formation of flavonoids, isoflavonoids, coumarins, soluble esters, wall-bound phenolics, lignin and suberin [1,2] UV-B irradiation applied to field-grown Nicotiana longiflora plants induced the same regulatory defence responses to those induced after caterpillar attacks [3]. It was suggested that UV-B and chewing insects activated common regulatory elements, and thus, plants exposed to solar UV-B irradiation expressed increased resistance, compared to plants grown in the absence of UV-B. Defence responses against herbivores include the production of jasmonates, which regulate similar gene expression with that during herbivore attack, leading to induced herbivore resistance responses [4,5,6].
Recent research findings have demonstrated that application of UV-B and UV-A irradiation to plants regulated a strong antiherbivore effect against thrips (Frankliniella occidentalis, Thrips: Thripidae) [7], mites (Tetranychus urticae, Acari: Tetranychidae) [8,9], aphids (Myzus persicae) [10], (Sitobia avenae, Hemiptera: Aphididae) [11,12] and whiteflies (Bemisia tabaci, Hemiptera; Aleyrodidae) [10]. In most of the above-mentioned cases, the antiherbivore effect was either direct (i.e., reduction of the population and growth rate, reproduction inhibition, settlement, movement, etc.) or indirect (i.e., via activation of defence responses in the host, gene expression, increases in enzyme activity, etc.). For example, UV-B at 432 and 864 kJ/m2, negatively affected the nymphal development period, the reproductive period, the post-reproductive period and the mean relative growth for green and brown aphid (Sitobion avenae) morphs [12]. Nguyen et al. [13] tested UV-A irradiation in combination with heating against Macrosiphum euphorbiae (Hemiptera: Aphididae). UV-A alone at normal temperatures (i.e., 26.5 °C) slightly affected M. euphorbiae, whereas heating (i.e., 35 °C) alone or in combination with UV-A created a hostile environment for the adult aphid population. Macroshiphum euphorbiae aphids tended to move away and showed reduction in growth and biomass under UV-A, heating or combined treatments indicating that both of these biotic stresses exerted a strong antiherbivore response [13]. UV-A plus heat significantly affected the primary metabolism of the aphids. For example, the proteins of the glycolytic pathway fructose 1,6-bisPaldolase and phosphoglycerate mutase were downregulated under heat and heat plus UV treatments in winged aphids. Additionally, mitochondrial enzymes such as aconitase A, isocitrate dehydrogenase and malate dehydrogenase were significantly reduced, suggesting a disfunction of the mitochondria [13].
Although UV-A and UV-B irradiation (i.e., 280–400 nm) applied to various pests infesting different plant species has been documented in the past, only a few reports were found on the UV-C (i.e., 250–280 nm) applications. The exposure of T. urticae to UV-B and UV-C resulted in ED50 values of 104 and 21 kJ/m2, respectively [8]. The application of 0.237 W/m2 UV-C on strawberry plants after artificial infestation with Tetranychus urticae resulted in significant reductions in live mites and spider mite webbing on treated plants [9]. UV-C irradiation had strong, direct antiherbivore effects when applied to strawberry plants, and, thus, it could be suggested as alternative to chemical control for T. urticae management.
The aim of the study was to evaluate, for the first time, the effects of UV-C irradiation on Macrosiphum rosae (Hemiptera; Aphididae) population infesting greenhouse-grown rose plants. We tested the effects of UV-C on naturally and artificially infested genotypes and recorded their photosynthetic response after brief UV-C exposure. Rose leaf bioassays were carried out to test the germicidal and indirect effects (i.e., induction of defence responses) of UV-C on M. rosae.
2. Materials and Methods
2.1. Plant Material and Cultivation
Rooted Rosa x hybrida plants of vars. “Arlen Francis” and “Etoile Brilante” were obtained from a commercial nursery in Greece (Avramis Roses & Sons, Giannitsa, Greece). Sixty plants of vars. “Arlen Francis” and “Etoile Brilante” (30 each) were transplanted on ground soil (sandy-clay, pH = 7.1; EC = 20.5 dS/cm; 31% water capacity) inside a 354 m2, nonheated greenhouse at the University of Peloponnese (Kalamata, Greece, lat. 37°20′20″ N, long. 22°60′51″ E) (Greenhouse soil trial; GST). The plants were planted in two 15-m lines keeping a 50-cm distance between plants. An additional 30 plants of var “Etoile Brilante” were transplanted into 5-L (25 cm × 35 cm) plastic pots containing a mixture of soil (sandy-clay, pH = 7.1; EC = 20.5 dS/cm; 31% water capacity): peat (PLANTOBALT, Plantaflor, Vechta, Denmark): perlite (VIORYP Ltd., Elliniko, Greece) (2:1:1, v/v/v) for the greenhouse pot trial (GPT). Plants for GST and GPT were drip-irrigated daily and fertilised weekly with a water-soluble fertilizer (Agroleaf®, 20-20-20, Enersis International B.V., Bern, The Netherlands) (200 mL solution/plant). No pesticides were applied during all greenhouse trials.
2.2. UV-C Irradiation
UV-C irradiations were carried out in the greenhouse environment using an apparatus holding six germicidal low-pressure vapour UV lamps (Osram HNS OFR; OSRAM Opto Semiconductors GmbH, Regensburg, Germany). Each lamp had a nominal power output of 30 W and peak wavelength emission at 253.7 nm. The lamps were assembled on the upper horizontal surface of a metallic frame (length: 150 cm, height: 100 cm and width: 40 cm) [14]. UV-C dose rate was measured at greenhouse temperature (≈26–28 °C) using a Multi-Sense optical radiometer fitted with a 254-nm UV-C light sensor (Steril Air, UV—Technologie, Gräfelfing, Germany). The UV-C irradiation doses (i.e., the exposure period in min at a 20-cm distance) were set at 0.0 (control) and at 2.5 kJ/m2, and the number of UV-C applications varied slightly among experimental layouts.
2.3. Rose Leaf Bioassays (RLB)
In RLB, artificial infestations of vars. “Arlen Francis” and “Etoile Brilante” rose leaflets with M. rosae were carried out before and after UV-C irradiation. Briefly, adult aphids were collected on October 2020 from naturally infested rose plants cultivated in the greenhouses at the University of Peloponnese. The adult aphids were stimulated by a fine brush to move from their colonies, and then, they were transferred to uniform, healthy, mature but tender, non-infested rose leaflets. The leaflets were detached from the plants, and they were immediately (i.e., 2 to 3 min) either (a) irradiated with 0 (control) or 2.5 kJ/m2 UV-C and then infested with 5 adult aphids or (b) infested with 5 adult aphids and then irradiated with 2.5 kJ/m2 UV-C. Three-replication leaflets from different rose plants were collected and used for each variety and treatment. Each leaflet was placed inside a 750 mL, air-tight, glass jar and incubated for 72 h. Incubation was carried out inside controlled environment chambers running at 22 ± 2 °C and in a cycle of 16-h light produced by fluorescent lamps emitting 3500 lux/8 h dark. Air-tight glass jars inside the incubation chambers were arranged in a completely randomised design (CRD). Adult and first instar population changes (calculated as percentage (%) from the initial values) and fecundity (number of eggs and new first instars) were recorded. Percentage (%) decreases were calculated using the equation (Pi-Pf/Pi) × 100 and percentage (%) increases using the equation (Pf-Pi/Pi) × 100 (Pi = initial population and Pf = final population). Aphid death was judged by the failure of aphids to move their legs after stimulation with a fine brush.
2.4. Experimental Layout of Greenhouse Soil Trials (GST)
Macrosiphum rosae natural infestations on vars. “Arlen Francis” and “Etoile Brilante” rose plants were recorded during March and April 2018. Two individual trials, one for each variety, were set to investigate the effects of UV-C irradiation on M. rosae. Fifteen replicate rose plants were irradiated 5 or 6 times in total with 2.5 kJ UV-C/m2, and another 15 were left untreated and used as controls. UV-C treatments for “Arlen Francis” were carried out on day 0, day 2, day 5, day 7, day 9 and day 12 and for “Etoile Brilante” on day 0, day 2, day 5, day 8 and day 11. UV-C treatments were carried out immediately after data recordings. Inside the experimental block, UV-C treatments were arranged in a CRD. The number of aphids at all developmental stages and their population changes were recorded in GST. Percentage (%) decreases were calculated using the equation (Pi-Pf/Pi) × 100 and increases using the equation (Pf − Pi/Pi) × 100 (Pi = initial population and Pf = final population).
2.5. Experimental Layout of Glasshouse Pot Trial (GPT)
In GPT, infestations of var. “Etoile Brilante” rose plants with M. rosae were carried out during March and April 2019 in the greenhouse environment. Twenty-five, 1-day-old, adult M. rosae aphids, previously isolated from naturally infested roses were transferred on the upper surface of 5 rose leaflets with the aid of a brush. Before transferring, the aphids were stimulated to move away from their colonies. A single UV-C irradiation was applied before or after M. rosae transfer to assess the induction of a host’s defence responses and the germicidal effect on aphids, respectively. Treated plants were covered with fine aphid-proof muslin to allow aeration and prevent aphid escape to other plants in the greenhouse. Potted plants were arranged in a CRD and assessments were taken for 48 h after UV-C irradiation. The number of adult aphids was recorded.
2.6. Rose Plant Physiological Responses
Plant CO2 assimilation (As; μmol/m2·s), stomatal conductance (gs; mmol/m2·s) and transpiration (E; mmol/m2·s) of vars. “Arlen Francis” and “Etoile Brilante” rose plants were recorded using an LCpro+ portable photosynthesis system (ADC Bioscientific Ltd. Great Amwell, Hertfordshire, UK). Data was recorded once every week for a period of 6 weeks. Recordings started before the first UV-C irradiation in GST and were taken on similarly sized, clean and healthy young leaflets between 10:00 a.m. and 12:00 a.m. Photosynthetic photon flux density (PPFD) inside the leaf chamber was set at 1100 μmol/m2·s by a halogen lamp and temperature at 22 °C. Reference CO2 of the greenhouse environment ranged between 422 and 490 ppm.
2.7. Statistical Analysis
All experiments were factorial with UV-C treatment and time as the main factors. Data were subjected to univariate, one- or two-way ANOVA. Means were separated using Duncan’s multiple range test at p = 0.05. Normality of the data was assessed using the Kolmogorov-Smirnov test. Statistical analysis was performed in SPSS version 12 (Chicago, IL, USA) for Windows.
3. Results
3.1. Rose Leaf Bioassays (RLB)
In RLB, the 1st instar population increased by 100% on the untreated (control) leaves of both rose varieties (Table 1). On the contrary, the 1st instar aphid population was negatively affected by UV-C irradiation. Before infestation, UV-C significantly decreased adult aphid population by up to 87%. Irradiation after infestation decreased the adult aphids to levels ranging from 50 to 56% (Table 1). Although, population was reduced, no adult aphids were killed by the UV-C irradiation. The aphids left the leaflet without settling. In most of the cases, fecundity on irradiated rose leaflets remained significantly lower compared to the untreated controls (Table 1).
Table 1.
Rose leaf bioassays (RLB) of vars. “Etoile Brilante” and “Arlen Francis” plants. The effects of 2.5 kJ/m2 UV-C irradiation before or after infestation on the adult and 1st instar Macrosiphum rosae population changes (% from initial values) and fecundity (number of new eggs and 1st instar aphids) were recorded. Untreated leaves were used as controls. Each leaflet was initially infested with 5 adult aphids. Numbers are means separated with different letters according to the Duncan’s multiple range test at 0.05.
3.2. Greenhouse Soil Trials (GST)
The irradiation of rose plants significantly affected M. rosae populations in GST trials (Table 2 and Figure 1). The Aphid population increased linearly in both varieties over the evaluation period (Table 2). Mean aphid number on “Arlen Francis” at day 0 was 42.35 and ended up at 65.12 at day 12. Likewise, mean aphid number on “Etoile Brilante” at day 0 was 115.9 and ended up to 157.9 at day 11. UV-C irradiation significantly reduced aphid number on both varieties compared to the untreated controls (Table 2). Reductions were 27% and 39%, for “Arlen Francis” and “Etoile Brilante”, respectively.
Table 2.
Main factor means of aphid number, degrees of freedom (df), mean squares, F-values (F) and significance (Sig.) for time (T) and UV-C irradiation (U). Data were subjected to univariate ANOVA, and means were separated using the Duncan’s multiple range test at p = 0.05. Different letters indicate significant differences between the levels of each factor.
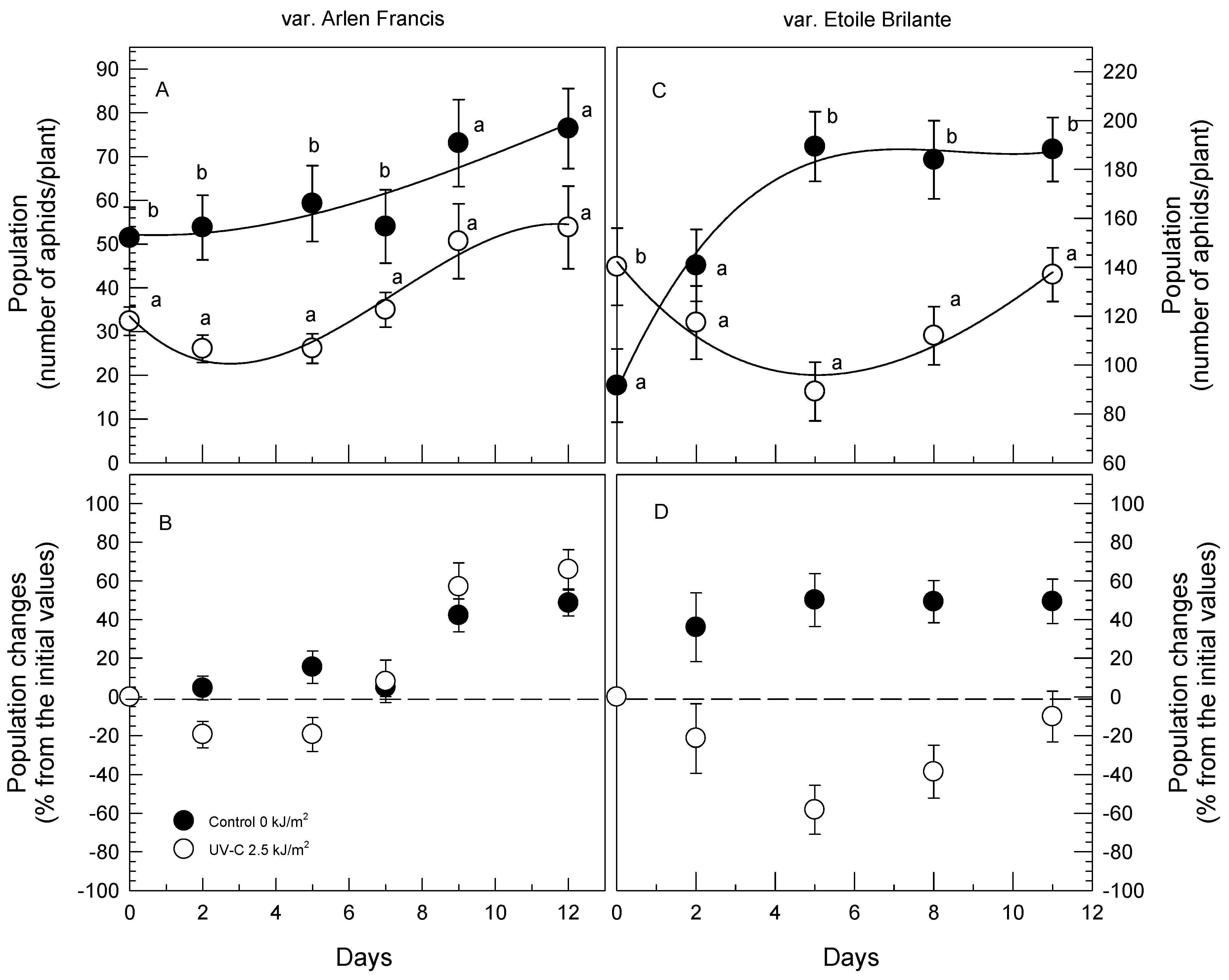
Figure 1.
Population (A,C) (number of aphids/plant), population changes (B,D) (% from the initial values) of vars. “Arlen Francis” (A,B) and “Etoile Brilante” (C,D) rose plants irradiated with 2.5 kJ/m2 of left untreated (controls) over a 3-week period during a greenhouse soil trial (GST). Data are means ± S.E. Different letters indicate the significant differences between treatments at p = 0.05. Cubic regression analysis (y = yo + ax + bx2 + cx3) were performed for the aphid population on “Arlen Francis” (A; ●: R = 0.83, y = 52.21 − 0.43x + 0.31x2 − 0.01x3 and ○: R = 0.96, y = 33.54 − 8.58x +1.92x2 + 0.09x3) and “Etoile Brilante” (C; ●: R = 0.94, y = 142.27 − 19.81x + 2.39x2 −0.06x3 and ○: R = 0.99, y = 89.69 + 36.12x −4.32x2 + 0.17x3) at p = 0.05.
Reduction in number of aphids on UV-C irradiated plants followed a similar pattern. The number decreased the first five days and then increased until the end of the experiment (Figure 1).
Number of aphids on the UV-C irradiated “Arlen Francis” rose plants remained significantly lower compared to the untreated controls from day 0 to day 7 (Figure 1A). Reduction percentages of aphid populations ranged between 19% and 20% from the initial values. On the contrary, the aphid population on the untreated plants increased by up to 15% the first 7 d of the experiment (Figure 1B). Number of aphids/plants on the UV-C irradiated “Etoile Brilante” rose plants remained significantly lower compared to the untreated controls from day 5 to day 11 (Figure 1C). Aphid population of the irradiated plants decreased by up to 58% from the initial values, while aphid population on the untreated controls increased by up to 50% (Figure 1D).
3.3. Greenhouse Pot Trial (GPT)
In GPT, the number of aphids on the irradiated plants was reduced dramatically, compared to the controls (Figure 2). These reductions were recorded immediately after irradiation (e.g., within the first 12 h of the evaluation). The number of aphids were reduced to 14 and 6.3 individuals, three hours post-infestation (Figure 2). By the end of the 48-h period, the number of aphids on the irradiated rose plants was eliminated to 0. No dead aphids were recorded during the experiment.
Figure 2.
Number of aphids of var. “Etoile Brilante” rose leaflets irradiated with 2.5 kJ/m2 before or after infestation during GPT. Untreated plants were used as controls. Data are means ± S.E. Different letters indicate significant differences between treatments at p = 0.05.
3.4. Effect of UV-C Irradiation on Physiological Responses of Rose Plants
The UV-C doses used in GST experiments did not negatively affect physiological responses such as the net CO2 assimilation, stomatal conductance and transpiration (Figure 3 and Figure 4). Net CO2 assimilation of UV-C irradiated “Arlen Francis” rose plants ranged between 10.55 and 15.21 μmol/m2·s and maintained at similar levels with those of the untreated plants, with the only exception of that at day 8 (Figure 3A). UV-C irradiated plants had similar stomatal conductances with those of the untreated plants (Figure 3B). Transpiration rates of the UV-C irradiated and the untreated controls differed on the 8th and 21st day (Figure 3C).
Figure 3.
Net CO2 assimilation (A), stomatal conductance (B) and transpiration (C) of var. “Arlen Francis” rose plants irradiated with 2.5 kJ/m2 of left untreated (controls) over a 3-week period during GST. Data are means ±S.E. Different letters indicate significant differences between treatments at p = 0.05.
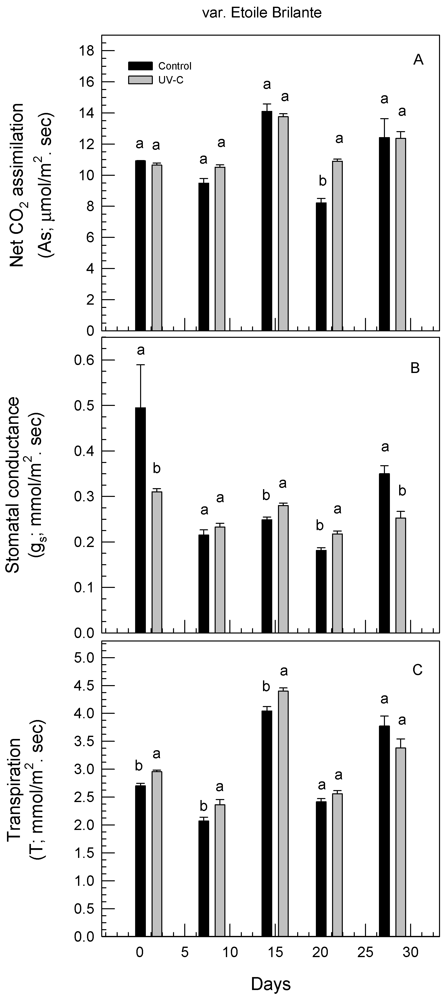
Figure 4.
Net CO2 assimilation (A), stomatal conductance (B) and transpiration (C) of var. “toile Brilante” rose plants irradiated with 2.5 kJ/m2 of left untreated (controls) over a three-week period during GST. Data are means ± S.E. Different letters indicate significant differences between treatments at p = 0.05.
Likewise, net CO2 assimilation of UV-C irradiated “Etoile Brilante” rose plants ranged between 10.51 and 13.75 μmol/m2·s and maintained at similar numbers with that of the untreated plants, with the only exception the record at day 21 (Figure 4A). Stomatal conductance of the irradiated “Etoile Brillante”’ plants was either higher (e.g., days 15 and 21) or lower (e.g., day-1 and day 28) to untreated controls (Figure 4B). Transpiration of the irradiated plants ranged between 2.36 and 4.39 mmol/m2·s and it was higher to untreated controls on day,1, day 8 and day 15 (Figure 4C).
4. Discussion
UV-C irradiation elicited direct and indirect responses against M. rosae aphids infesting rose plants. UV-C at 2.5 kJ/m2 did not kill the adult aphids, but rather, repulsed the individuals to migrate and move away. The RLB and GPT showed that UV-C elicited antiherbivore, defensive responses by the host without affecting its physiological responses. High levels of UV-C irradiation (e.g., >8 kJ/m2) may damage the DNA of living organisms by disrupting the integrity and functioning of chloroplasts and mitochondria [15,16]. This also applies to pests such as T. urticae. Experimentation with a different spectrum of UV light (i.e., UV-A, UV-B or UV-C) showed that T. urticae adults may avoid lethal consequences of irradiation [8,17,18] but eventually die under continuous, high UV doses [19,20,21]. For example, mortality of the female T. urticae adults increased when they were exposed to UV-B irradiation at 0.19–0.58 W/m2 [20]. Furthermore, the egg hatchability of T. urticae, T. kanzawai, T. piercei, and T. okinawanus (Acari: Tetranychidae) minimised to zero under continuous UV-B irradiation [21]. In the present study, UV-C irradiation significantly decreased the M. rosae adult population and fecundity in leaf bioassays. Sitobion avenae exposed to 432- or 864-kJ/m2 UV-B showed longer nymphal development period, longer reproductive periods, lower body weights and lower total fecundity compared to the controls [12]. In GST conducted in 2019, M. rosae populations were significantly reduced on the irradiated plants. It was confirmed that the dose of 2.5 kJ/m2 was minimal and did not kill the adult aphids. Instead, it aroused them to unsettle and move away or migrate to other host plants. However, aphid populations eventually increased to initial values, 12 days post UV-C treatment. This phenomenon probably suggests an adaptation response associated with changes in aphid primary metabolism. For example, an increase in aphid resistance to UV-C could be associated with changes in energy metabolism, increase in production proteins and induction of enzyme activity under irradiation [13]. Therefore, both changes in aphid cell biology and biochemistry combined with their migration and/or hiding practices may have helped them avoid UV-irradiation stress [22].
UV-A, UV-B and UV-C spectrums affect various biochemical reactions in living cells [23]. For example, when UV-C was applied at doses ranging from 0.1 to 8.8 kJ/m2, various defence responses were recorded mostly associated with increase in total phenolics, phenylalanine-ammonia lyase (PAL), polyphenol oxidase (PPO), production of reactive oxygen species (ROS) and jasmonic acid (JA) [5,7,10,24,25,26]. Most of these responses engage in pest-host interactions and activate host resistance against herbivore attack. Daily application of 0.3–0.79 kJ/m2 UV-B resulted in significant reduction of F. occidentallis infestations to Chrysanthemum x morifolium as a result of increased JA production and activity [7].
UV-treated rose plants of vars. ‘Etoile Brilante" and “Arlen Francis” showed significantly higher photosynthetic activities on day 8 and day 21, respectively, as compared to the untreated control plants. Stomatal conductance of ‘Etoile Brilante’ rose plants was not affected by UV-C irradiation, although, “Arlen Francis” plants were either negatively or positively affected. Transpiration rates were generally higher in plants irradiated with 2.5 kJ/m2 UV-C. Similar physiological responses in UV-C irradiated ornamental plants have been reported previously [2,27,28,29]. In most of the cases, UV-C irradiation had either neutral or positive effects on the net CO2 assimilation and stomatal conductance. For example, UV-C irradiated Pelargonium x hortorum plants showed significantly increased net CO2 assimilation and stomatal conductance after treatment [28]. In Freesia x hybrida plants, UV-C irradiation had no apparent effect in net CO2 assimilation and stomatal conductance indicating that physiological responses to UV-C are complex and genotype dependent.
5. Conclusions
This was the first attempt to evaluate the response of M. rosae to low doses of UV-C. The results clearly demonstrated that UV-C irradiation acted as a potent elicitor to reduce aphid populations. This was attained directly by aphid arousal and by inducing rose plant resistance, although the level of efficacy of UV-C was genotype-dependent and varied considerably between the two varieties. Future research is recommended on UV-C applications in greenhouses to study the effects on natural enemies and natural predators of M. rosae. Further study on aphid responses to direct UV light, and also, indirect plant responses should be carried out to significantly improve our understanding of aphid control using UV-C irradiation.
Author Contributions
A.I.D.: conceptualization, methodology, validation, writing—review and editing, data curation, project administration and supervision; P.J.S.: methodology, validation and data curation; P.A.: data curation, resources; C.L.: data curation and resources and G.J.S.: methodology, validation, supervision. All authors have read and agreed to the published version of the manuscript.
Funding
This research received no external funding.
Institutional Review Board Statement
Not applicable.
Informed Consent Statement
Not applicable.
Data Availability Statement
Not applicable.
Conflicts of Interest
The authors declare no conflict of interest.
References
- Hahlbrock, K.; Scheel, D. Physiology and molecular biology of phenylpropanoid metabolism. Annu. Rev. Plant Biol. 1989, 40, 347–369. [Google Scholar] [CrossRef]
- Darras, A.I. Novel elicitors induce defense responses in cut flowers. In Plant Pathology, 1st ed.; Cumagun, C.J.R., Ed.; InTech Publications: Reijka, Croatia, 2012; pp. 85–116. [Google Scholar]
- Izaguirre, M.M.; Scopel, A.L.; Baldwin, I.T.; Ballaré, C.L. Convergent responses to stress. Solar ultraviolet-B radiation and Manduca sexta herbivory elicit overlapping transcriptional responses in field-grown plants of Nicotiana longiflora. Plant Physiol. 2003, 132, 1755–1767. [Google Scholar] [CrossRef]
- Thaler, J.S.; Stout, M.J.; Karban, R.; Duffey, S.S. Jasmonate-mediated induced plant resistance affects a community of herbivores. Ecol. Entomol. 2001, 26, 312–324. [Google Scholar] [CrossRef]
- Stratmann, J. Ultraviolet-B radiation co-opts defense signaling pathways. Trends Plant Sci. 2003, 8, 526–533. [Google Scholar] [CrossRef]
- Demkura, P.V.; Abdala, G.; Baldwin, I.T.; Ballaré, C.L. Jasmonate-dependent and-independent pathways mediate specific effects of solar ultraviolet B radiation on leaf phenolics and antiherbivore defense. Plant Physiol. 2010, 152, 1084–1095. [Google Scholar] [CrossRef]
- Escobar-Bravo, R.; Nederpel, C.; Naranjo, S.; Kim, H.K.; Rodríguez-López, M.J.; Chen, G.; Gaétan, G.; Leiss, K.A.; Klinkhamer, P.G. Ultraviolet radiation modulates both constitutive and inducible plant defenses against thrips but is dose and plant genotype dependent. J. Pest Sci. 2021, 94, 69–81. [Google Scholar] [CrossRef]
- Suzuki, T.; Watanabe, M.; Takeda, M. UV tolerance in the two-spotted spider mite, Tetranychus urticae. J. Insect Physiol. 2009, 55, 649–654. [Google Scholar] [CrossRef]
- Short, B.D.; Janisiewicz, W.; Takeda, F.; Leskey, T.C. UV-C irradiation as a management tool for Tetranychus urticae on strawberries. Pest Manag. Sci. 2018, 74, 2419–2423. [Google Scholar] [CrossRef]
- Dader, B.; Gwynn-Jones, D.; Moreno, A.; Winters, A.; Fereres, A. Impact of UV-A radiation on the performance of aphids and whiteflies and on the leaf chemistry of their host plants. J. Photochem. Photobiol. B Biol. 2014, 138, 307–316. [Google Scholar] [CrossRef] [PubMed]
- Hu, Z.Q.; Zhao, H.Y.; Thieme, T. Probing behaviors of Sitobion avenae (Hemiptera: Aphididae) on enhanced UV-B irradiated plants. Arch. Biol. Sci. 2013, 65, 247–254. [Google Scholar]
- Hu, Z.Q.; Zhao, H.Y.; Thieme, T. The effects of enhanced ultraviolet-B radiation on the biology of green and brown morphs of Sitobion avenae (Hemiptera: Aphididae). Environ. Entomol. 2013, 42, 578–585. [Google Scholar] [CrossRef]
- Nguyen, T.T.A.; Michaud, D.; Cloutier, C. A proteomic analysis of the aphid Macrosiphum euphorbiae under heat and radiation stress. Insect Biochem. Mol. Biol. 2009, 39, 20–30. [Google Scholar] [CrossRef] [PubMed]
- Darras, A.I.; Demopoulos, V.; Bali, I.; Tiniakou, C. Photomorphogenic reactions in geranium (Pelargonium x hortorum) plants stimulated by brief exposures of ultraviolet-C irradiation. Plant Growth Regul. 2012, 68, 343–350. [Google Scholar] [CrossRef]
- Balestrazzi, A.; Locato, V.; Bottone, M.G.; De Gara, L.; Biggiogera, M.; Pellicciari, C.; Botti, D.; Di Gesù Donà, M.; Carbonera, D. Response to UV-C radiation in topo I-deficient carrot cells with low ascorbate levels. J. Exp. Bot. 2010, 61, 575–585. [Google Scholar] [CrossRef] [PubMed]
- Saxena, S.C.; Joshi, P.K.; Grimm, B.; Arora, S. Alleviation of ultraviolet-C-induced oxidative damage through overexpression of cytosolic ascorbate peroxidase. Biologia 2011, 66, 1052–1059. [Google Scholar] [CrossRef]
- Barcelo, J.A. Photoeffects of visible and ultraviolet radiation on the two-spotted spider mite, Tetranychus urticae. Photochem. Photobiol. 1981, 33, 703–706. [Google Scholar] [CrossRef]
- Sakai, Y.; Osakabe, M. Spectrum-specific damage and solar ultraviolet radiation avoidance in the two-spotted spider mite. Photochem. Photobiol. 2010, 86, 925–932. [Google Scholar] [CrossRef] [PubMed]
- Bakr, A.A. Effectiveness of ultraviolet radiation as a physical method in controlling the stored product mite, Tyrophagus putrescentiae (Acari: Acaridae). J. Entomol. 2013, 10, 43–48. [Google Scholar] [CrossRef]
- Murata, Y.; Osakabe, M. The Bunsen–Roscoe reciprocity law in ultraviolet-B-induced mortality of the two-spotted spider mite Tetranychus urticae. J. Insect Physiol. 2013, 59, 241–247. [Google Scholar] [CrossRef]
- Suzuki, T.; Yoshioka, Y.; Tsarsitalidou, O.; Ntalia, V.; Ohno, S.; Ohyama, K.; Kitashima, Y.; Gotoh, T.; Takeda, M.; Koveos, D.S. An LED-based UV-B irradiation system for tiny organisms: System description and demonstration experiment to determine the hatchability of eggs from four Tetranychus spider mite species from Okinawa. J. Insect Physiol. 2014, 62, 1–10. [Google Scholar] [CrossRef]
- Meng, J.Y.; Zhang, C.Y.; Zhu, F.; Wang, X.P.; Lei, C.L. Ultraviolet light-induced oxidative stress: Effects on antioxidant response of Helicoverpa armigera adults. J. Insect Physiol. 2009, 55, 588–592. [Google Scholar] [CrossRef] [PubMed]
- Paul, N.D.; Moore, J.P.; McPherson, M.; Lambourne, C.; Croft, P.; Heaton, J.C.; Wargent, J.J. Ecological responses to UV radiation: Interactions between the biological effects of UV on plants and on associated organisms. Physiol. Plant. 2012, 145, 565–581. [Google Scholar] [CrossRef] [PubMed]
- Suzuki, T.; Takashima, T.; Izawa, N.; Watanabe, M.; Takeda, M. UV radiation elevates arylalkylamine N-acetyltransferase activity and melatonin content in the two-spotted spider mite, Tetranychus urticae. J. Insect Physiol. 2008, 54, 1168–1174. [Google Scholar] [CrossRef] [PubMed]
- Urban, L.; Charles, F.; de Miranda, M.R.A.; Aarrouf, J. Understanding the physiological effects of UV-C light and exploiting its agronomic potential before and after harvest. Plant Physiol. Biochem. 2016, 105, 1–11. [Google Scholar] [CrossRef]
- Urban, L.; Sari, D.C.; Orsal, B.; Lopes, M.; Miranda, R.; Aarrouf, J. UV-C light and pulsed light as alternatives to chemical and biological elicitors for stimulating plant natural defenses against fungal diseases. Sci. Hortic. 2018, 235, 452–459. [Google Scholar] [CrossRef]
- Darras, A.I.; Demopoulos, V.; Bali, I.; Katsiloulis, O.; Kratimenou, E. Brief exposures of ultraviolet-C (UV-C) irradiation improves flowering of ornamental plants. Acta Hortic. 2013, 1002, 95–102. [Google Scholar] [CrossRef]
- Darras, A.I.; Bali, I.; Argyropoulou, E. Disease resistance and growth responses in Pelargonium × hortorum plants to brief pulses of UV-C irradiation. Sci. Hortic. 2015, 181, 95–101. [Google Scholar] [CrossRef]
- Darras, A.I.; Vlachodimitropoulou, A.; Dimitriadis, C. Regulation of corm sprouting, growth and flowering of pot Freesia hybrida L. plants by cold and UV-C irradiation forcing. Sci. Hortic. 2019, 252, 110–112. [Google Scholar] [CrossRef]
Publisher’s Note: MDPI stays neutral with regard to jurisdictional claims in published maps and institutional affiliations. |
© 2021 by the authors. Licensee MDPI, Basel, Switzerland. This article is an open access article distributed under the terms and conditions of the Creative Commons Attribution (CC BY) license (https://creativecommons.org/licenses/by/4.0/).



